Non-Invasive Assessment of the Internal Condition of Urban Trees Infested by Two Cerambycid Beetles, Aromia bungii and Massicus raddei, Using Sonic Tomography
Abstract
1. Introduction
2. Materials and Methods
2.1. Study Areas and Tree Species
2.2. Visual Investigation for External Part of Trees
2.3. Sonic Tomography
2.4. Data Analysis
3. Results
3.1. Infestation Characteristics
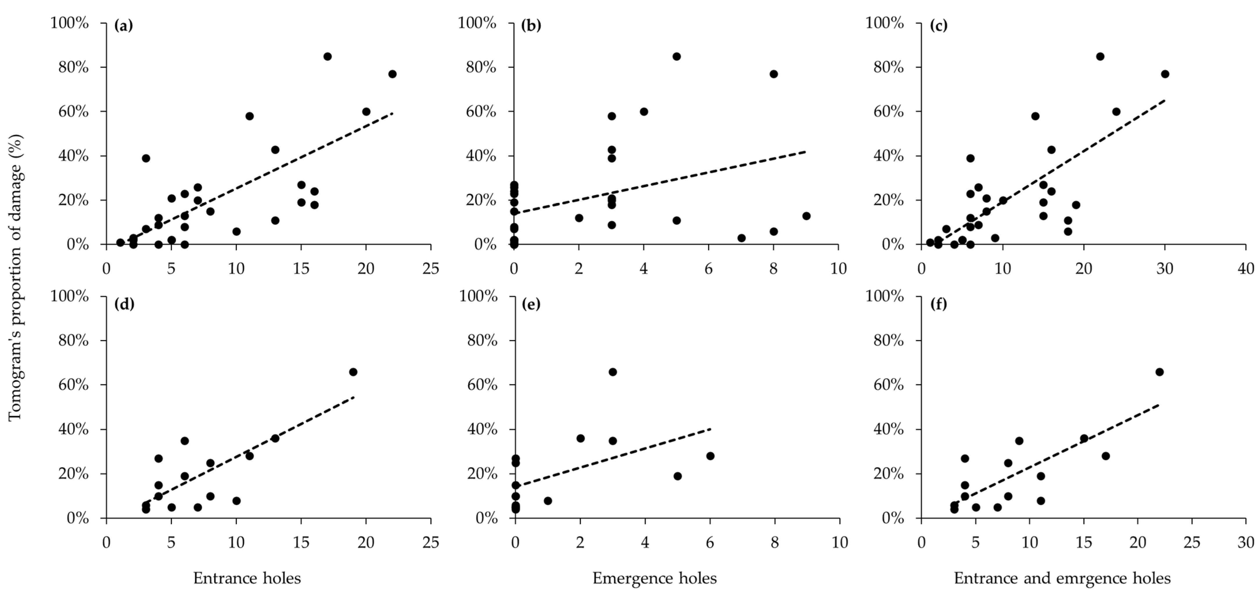
3.2. Relationship between Visual Investigations and ST
3.3. Comparison of Tomograms between Infested and Non-Infested Trees
4. Discussion
4.1. Usefulness of ST in Diagnosing Wood Decay in Borer-Infested Trees
4.2. Limitation of ST Diagnosing Wood Decay in Borer-Infested Trees
4.3. Importance of Cerambycid Beetles in Urban Trees and Wood Trade Worldwide
5. Conclusions and Prospects
Author Contributions
Funding
Data Availability Statement
Conflicts of Interest
Appendix A




References
- Nowak, D.J.; Pasek, J.E.; Sequeira, R.A.; Crane, D.E.; Mastro, V.C. Potential effect of Anoplophora glabripennis (Coleoptera: Cerambycidae) on urban trees in the United States. J. Econ. Entomol. 2001, 94, 116–122. [Google Scholar] [CrossRef] [PubMed]
- Cappaert, D.; McCullough, D.G.; Poland, T.M.; Siegert, N.W. Emerald ash borer in North America: A research and regulatory challenge. Am. Entomol. 2005, 51, 152–165. [Google Scholar] [CrossRef]
- Aukema, J.E.; Leung, B.; Kovacs, K.; Chivers, C.; Britton, K.O.; Englin, J.; Frankel, S.J.; Haight, R.G.; Holmes, T.P.; Liebhold, A.M. Economic impacts of non-native forest insects in the continental United States. PLoS ONE 2011, 6, e24587. [Google Scholar] [CrossRef]
- MacLeod, A.; Evans, H.; Baker, R. An analysis of pest risk from an Asian longhorn beetle (Anoplophora glabripennis) to hardwood trees in the European community. Crop Prot. 2002, 21, 635–645. [Google Scholar] [CrossRef]
- Baranchikov, Y.; Mozolevskaya, E.; Yurchenko, G.; Kenis, M. Occurrence of the emerald ash borer, Agrilus planipennis in Russia and its potential impact on European forestry. EPPO Bull. 2008, 38, 233–238. [Google Scholar] [CrossRef]
- Valenta, V.; Moser, D.; Kuttner, M.; Peterseil, J.; Essl, F. A high-resolution map of emerald ash borer invasion risk for southern central Europe. Forests 2015, 6, 3075–3086. [Google Scholar] [CrossRef]
- Lee, S.; Cha, D.; Nam, Y.; Jung, J. Genetic diversity of a rising invasive pest in the native range: Population genetic structure of Aomia bungii (Coleoptera: Cerambycidae) in South Korea. Diversity 2021, 13, 582. [Google Scholar] [CrossRef]
- Sun, Y. Control Techniques of Massicus raddei (Blessig); Liaoning Science and Technology Publishing House: Shenyang, China, 2001. [Google Scholar]
- Naka, H.; Horie, Y.; Mochizuki, F.; Le, V.V.; Yamamoto, M.; Saito, T.; Watarai, T.; Tsuchida, K.; Arita, Y.; Ando, T. Identification of the sex pheromone secreted by Synanthedon hector (Lepidoptera: Sesiidae). Appl. Entomol. Zool. 2008, 43, 467–474. [Google Scholar] [CrossRef]
- Kim, S.; Jung, J.-K.; Park, I.; Lee, B.-W.; Kim, Y.-H. Integrated Identification and Genetic Diversity of Potentially Invasive Clearwing Moths (Lepidoptera: Cossoidea: Sesiidae) in Korea. Insects 2024, 15, 79. [Google Scholar] [CrossRef]
- EPPO. Pest Risk Analysis for Aromia bungii. 2014. Available online: https://www.eppo.int/ACTIVITIES/plant_quarantine/pra_activities (accessed on 10 January 2024).
- Cocquempot, C. Aromia bungii. EPPO datasheet on pests recommended for regulation. EPPO Bull. 2015, 45, 4–8. [Google Scholar]
- EPPO. EPPO Global Database. 2023. Available online: https://gd.eppo.int (accessed on 6 March 2024).
- The First Longicorn Beetle in Japan Confirmed in Aichi. Damaging Cherry and Japanese Apricot Trees. 2013. Available online: http://english.agrinews.co.jp/?p=482 (accessed on 6 March 2024).
- Kano, M.; Nonaka, T.; Kiriyama, S.; Iwata, R. Aromia bungii (Coleoptera: Cerambycidae), an invasive cerambycid, found at Soka, Saitama Pref., Japan, infesting cherry trees, Cerasus× yedoensis ‘Somei-yoshino’. For. Pests 2014, 63, 101–105. [Google Scholar]
- Tamura, S.; Shoda-Kagaya, E. Genetic differences among established populations of Aromia bungii (Faldermann, 1835) (Coleoptera: Cerambycidae) in Japan: Suggestion of multiple introductions. Insects 2022, 13, 217. [Google Scholar] [CrossRef] [PubMed]
- Burmeister, E.G.; Hendrich, L.; Balke, M. Der asiatische moschusbock Aromia bungii (Faldermann, 1835)—Erstfund für Deutschland (Coleoptera: Cerambycidae). Nachrichtenblatt Bayer. Entomol. 2012, 61, 29–31. [Google Scholar]
- Russo, E.; Nugnes, F.; Vicinanza, F.; Garonna, A.P.; Bernardo, U. Biological and molecular characterization of Aromia bungii (Faldermann, 1835) (Coleoptera: Cerambycidae), an emerging pest of stone fruits in Europe. Sci. Rep. 2020, 10, 7112. [Google Scholar] [CrossRef]
- Urano, T.; Taki, H.; Shoda-Kagaya, E. Comparison of the ecological traits and boring densities of Aromia bungii (Faldermann, 1835) (Coleoptera: Cerambycidae) in two host tree species. Insects 2022, 13, 151. [Google Scholar] [CrossRef] [PubMed]
- Authority, E.F.S.; de la Peña, E.; Schrader, G.; Vos, S. Pest survey card on Aromia bungii. EFSA Support. Publ. 2019, 16, 1731E. [Google Scholar]
- Jang, H.K.; Lee, S.H.; Choi, W. Cerambycidae of Korea; Geobook: Seoul, Republic of Korea, 2015; 400p. [Google Scholar]
- Iwata, R. Aromia bungii (Coleoptera: Cerambycidae): Taxonomy, distribution, biology and eradication. For. Pests 2018, 67, 189–216. [Google Scholar]
- EPPO (European and Mediterranean Plant Protection Organization). Pest Risk Analysis for Massicus raddei (Coleoptera: Cerambycidae), Oak Longhorn Beetle; EPPO: Paris, France, 2018. [Google Scholar]
- Jung, J.; (Kangwon National University, Chuncheon, Gangwon, Republic of Korea). Personal communication, 2024.
- Flower, C.E.; Knight, K.S.; Gonzalez-Meler, M.A. Using stable isotopes as a tool to investigate impacts of EAB on tree physiology and EAB spread. In Proceedings of the Emerald Ash Borer Research and Technology Development Meeting, Pittsburgh, PA, USA, 20–21 October 2009; Forest Service Health Technology Enterprise Team: Pittsburgh, PA, USA, 2010; pp. 54–55. [Google Scholar]
- Chen, S.X.; Xie, Y.Z.; Deng, G.F. Economic Insects of China Vol. 1 Coleoptera Cerambycidae; Science Press: Beijing, China, 1959. (In Chinese) [Google Scholar]
- Timms, L.L.; Smith, S.M.; De Groot, P. Patterns in the within-tree distribution of the emerald ash borer Agrilus planipennis (Fairmaire) in young, green-ash plantations of south-western Ontario, Canada. Agric. For. Entomol. 2006, 8, 313–321. [Google Scholar] [CrossRef]
- Nahrung, H.F.; Smith, T.E.; Wiegand, A.N.; Lawson, S.A.; Debuse, V.J. Host tree influences on longicorn beetle (Coleoptera: Cerambycidae) attack in subtropical Corymbia (Myrtales: Myrtaceae). Environ. Entomol. 2014, 43, 37–46. [Google Scholar] [CrossRef]
- Rinn, F. Basics of typical resistance-drilling profiles. West. Arborist 2012, 17, 30–36. [Google Scholar]
- Kang, B.; Cho, S.-J.; Son, J.; Kim, N.-C.; Kim, M.-h. The health analysis of protected tree ‘Zelkova serrata’ using an ultrasonic tomograph. J. Korean Soc. Environ. Restor. Technol. 2014, 17, 73–83. [Google Scholar] [CrossRef]
- Bodig, J. The process of NDE research for wood and wood composites. E-J. Nondestruct. Test. 2001, 6, 3. [Google Scholar]
- Deflorio, G.; Fink, S.; Schwarze, F.W. Detection of incipient decay in tree stems with sonic tomography after wounding and fungal inoculation. Wood Sci. Technol. 2008, 42, 117–132. [Google Scholar] [CrossRef]
- Brazee, N.J.; Marra, R.E.; Göcke, L.; Van Wassenaer, P. Non-destructive assessment of internal decay in three hardwood species of northeastern North America using sonic and electrical impedance tomography. Forestry 2011, 84, 33–39. [Google Scholar] [CrossRef]
- Arciniegas, A.; Prieto, F.; Brancheriau, L.; Lasaygues, P. Literature review of acoustic and ultrasonic tomography in standing trees. Trees 2014, 28, 1559–1567. [Google Scholar] [CrossRef]
- Son, J.; Lee, G.; Shin, J. Noninvasive sonic tomography for detecting internal defects in old, large oriental white oak in cultural heritage areas. Forests 2022, 13, 638. [Google Scholar] [CrossRef]
- Gapyeong Country Office. Street Trees Status. 2022. Available online: https://www.gp.go.kr/portal/index.do (accessed on 4 December 2023).
- KFS (Korea Forest Service). Street Tree Information in Chuncheon-si. 2022. Available online: https://www.forest.go.kr/kfsweb/kfs/idx/Index.do (accessed on 4 December 2023).
- Wonju Country Office. Street Trees Status. 2022. Available online: https://www.wonju.go.kr/www/index.do (accessed on 4 December 2023).
- Gilbert, E.A.; Smiley, E.T. Picus sonic tomography for the quantification of decay in white oak (Quercus alba) and hickory (Carya spp.). J. Arboric. 2004, 30, 277–281. [Google Scholar] [CrossRef]
- Gao, Y.; Cha, B.J. The non-destructive test for the vitality measurements and inside diagnosis of old Trees. Mun Wha Jae 2009, 42, 144–157. [Google Scholar]
- IML Electronic. PiCUS Sonic Tomograph: Software Manual Q74. 2017, p. 92. Available online: https://www.iml-electronic.com/wp-content/uploads/2022/09/PiCUSQ74manual.pdf (accessed on 9 July 2024).
- R: A Language and Environment for Statistical Computing. Available online: https://www.R-project.org/ (accessed on 21 November 2023).
- Lee, G.; Son, J. Reliability analysis of non-invasive sonic tomography for detection and quantification of internal defects in Prunus × Yedoensis Matsum. Available online: https://ssrn.com/abstract=4142200 (accessed on 10 December 2023).
- Krasutskii, B. Beetles (Coleoptera) associated with the polypore Daedaleopsis confragosa (Bolton: Fr.) J. Schrot (Basidiomycetes, Aphyllophorales) in forests of the urals and transurals. Entomol. Rev. 2007, 87, 512–523. [Google Scholar] [CrossRef]
- Krasutskii, B. Coleoptera associated with the tree fungus Trichaptum biforme (Fr. in Klotzsch) (Basidiomycetes, Aphyllophorales) in the forests of the Urals and the Trans-Ural area. Entomol. Rev. 2010, 90, 679–688. [Google Scholar] [CrossRef]
- Linnakoski, R.; Kasanen, R.; Lasarov, I.; Marttinen, T.; Oghenekaro, A.O.; Sun, H.; Asiegbu, F.O.; Wingfield, M.J.; Hantula, J.; Heliövaara, K. Cadophora margaritata sp. nov. and other fungi associated with the longhorn beetles Anoplophora glabripennis and Saperda carcharias in Finland. Antonie Van Leeuwenhoek 2018, 111, 2195–2211. [Google Scholar] [CrossRef] [PubMed]
- Mohammed, W.S.; Ziganshina, E.E.; Shagimardanova, E.I.; Gogoleva, N.E.; Ziganshin, A.M. Comparison of intestinal bacterial and fungal communities across various xylophagous beetle larvae (Coleoptera: Cerambycidae). Sci. Rep. 2018, 8, 10073. [Google Scholar] [CrossRef]
- Rust, S. Accuracy and reproducibility of acoustic tomography significantly increase with precision of sensor position. J. Landsc. Res. 2017, 1, 1–6. [Google Scholar] [CrossRef]
- Nakano, A.; Watanabe, T. Damage caused by the red-necked longhorn beetle, Aromia bungii in peach orchards in Tokushima Prefecture and trial control method. Plant Prot. 2017, 71, 723–728. [Google Scholar]
- Meng, P.; Hoover, K.; Keena, M. Asian longhorned beetle (Coleoptera: Cerambycidae), an introduced pest of maple and other hardwood trees in North America and Europe. J. Integr. Pest Manag. 2015, 6, 4. [Google Scholar] [CrossRef]
- Qin, R.; Qiu, Q.; Lam, J.H.; Tang, A.M.; Leung, M.W.; Lau, D. Health assessment of tree trunk by using acoustic-laser technique and sonic tomography. Wood Sci. Technol. 2018, 52, 1113–1132. [Google Scholar] [CrossRef]
- Eyre, D.; Haack, R.A. Invasive cerambycid pests and biosecurity measures. In Cerambycidae of the World; CRC Press: Boca Raton, FL, USA, 2017; pp. 577–632. [Google Scholar]
- Wu, Y.; Trepanowski, N.F.; Molongoski, J.J.; Reagel, P.F.; Lingafelter, S.W.; Nadel, H.; Myers, S.W.; Ray, A.M. Identification of wood-boring beetles (Cerambycidae and Buprestidae) intercepted in trade-associated solid wood packaging material using DNA barcoding and morphology. Sci. Rep. 2017, 7, 40316. [Google Scholar] [CrossRef] [PubMed]
- Lee, S.; Choi, J.; Jang, H.; Choi, W.; Kwon, W.; Kim, D.; Gim, J.; Park, J.; Park, S.; Kim, S. Establishment of non-native Anoplophora horsfieldii (Coleoptera: Cerambycidae) in South Korea. J. Integr. Pest Manag. 2023, 14, 9. [Google Scholar] [CrossRef]
- Zhang, Y.; Dang, Y.; Wang, X. Risk assessment of the worldwide expansion and outbreak of Massicus raddei (Blessig) (Coleoptera: Cerambycidae) based on host plant and climatic factors. Insects 2022, 13, 730. [Google Scholar] [CrossRef]







| Tree Species | Group | n | DBH (cm, Mean ± s.d.) | TH (cm, Mean ± s.d.) | CH (cm, Mean ± s.d.) |
|---|---|---|---|---|---|
| Prunus × yedoensis | Infested | 30 | 37.1 ± 10.7 | 48.6 ± 26.5 | 133.5 ± 36.8 |
| Non-infested | 26 | 30.0 ± 8.5 | 46.4 ± 14.5 | 99.0 ± 27.0 | |
| Quercus palustris | Infested | 15 | 22.3 ± 3.6 | 41.5 ± 15.7 | 95.9 ± 23.2 |
| Non-infested | 25 | 21.1 ± 4.6 | 29.6 ± 18.5 | 89.3 ± 37.3 |
| PC1 | PC2 | PC3 | PC4 | |
|---|---|---|---|---|
| Eigenvalue | 4.5796 | 1.4901 | 0.7198 | 0.6414 |
| Proportion of variance (%) | 57.24 | 18.63 | 9.00 | 8.02 |
| Visual investigation | ||||
| Larval entrance holes | −0.90 *** | −0.12 | 0.12 | −0.24 |
| Adult emergence holes | −0.70 *** | 0.23 | 0.57 *** | 0.25 |
| Entrance and emergence holes | −0.94 *** | −0.02 | 0.27 * | −0.11 |
| Sonic tomography | ||||
| Solid wood | 0.92 *** | 0.21 | 0.25 | −0.17 |
| Green | −0.72 *** | −0.34 ** | −0.18 | −0.50 *** |
| Damaged | −0.85 *** | −0.12 | −0.24 | 0.42 ** |
| Tree characteristics | ||||
| DBH | −0.52 *** | 0.67 *** | −0.39 ** | 0.06 |
| Tree height | −0.19 | 0.90 *** | 0.02 | −0.24 |
| PC1 | PC2 | PC3 | PC4 | |
|---|---|---|---|---|
| Eigenvalue | 4.7524 | 1.1090 | 0.9014 | 0.5354 |
| Proportion of variance (%) | 59.41 | 13.86 | 11.27 | 6.69 |
| Visual investigation | ||||
| Larval entrance holes | −0.93 *** | −0.02 | −0.02 | 0.00 |
| Adult emergence holes | −0.77 *** | −0.14 | −0.28 | −0.42 ** |
| Entrance and emergence holes | −0.96 *** | −0.02 | −0.06 | −0.11 |
| Sonic tomography | ||||
| Solid wood | 0.95 *** | −0.01 | −0.03 | −0.25 |
| Green | −0.81 *** | −0.20 | −0.10 | −0.13 |
| Damaged | −0.85 *** | 0.14 | 0.10 | 0.44 ** |
| Tree characteristics | ||||
| DBH | −0.29 | 0.70 *** | 0.60 *** | −0.27 |
| Tree height | 0.08 | −0.74 *** | −0.67 *** | 0.04 |
Disclaimer/Publisher’s Note: The statements, opinions and data contained in all publications are solely those of the individual author(s) and contributor(s) and not of MDPI and/or the editor(s). MDPI and/or the editor(s) disclaim responsibility for any injury to people or property resulting from any ideas, methods, instructions or products referred to in the content. |
© 2024 by the authors. Licensee MDPI, Basel, Switzerland. This article is an open access article distributed under the terms and conditions of the Creative Commons Attribution (CC BY) license (https://creativecommons.org/licenses/by/4.0/).
Share and Cite
Lee, B.-j.; Son, S.; Jung, J.-k.; Park, Y. Non-Invasive Assessment of the Internal Condition of Urban Trees Infested by Two Cerambycid Beetles, Aromia bungii and Massicus raddei, Using Sonic Tomography. Forests 2024, 15, 1231. https://doi.org/10.3390/f15071231
Lee B-j, Son S, Jung J-k, Park Y. Non-Invasive Assessment of the Internal Condition of Urban Trees Infested by Two Cerambycid Beetles, Aromia bungii and Massicus raddei, Using Sonic Tomography. Forests. 2024; 15(7):1231. https://doi.org/10.3390/f15071231
Chicago/Turabian StyleLee, Byeong-jong, Seulki Son, Jong-kook Jung, and Yonghwan Park. 2024. "Non-Invasive Assessment of the Internal Condition of Urban Trees Infested by Two Cerambycid Beetles, Aromia bungii and Massicus raddei, Using Sonic Tomography" Forests 15, no. 7: 1231. https://doi.org/10.3390/f15071231
APA StyleLee, B.-j., Son, S., Jung, J.-k., & Park, Y. (2024). Non-Invasive Assessment of the Internal Condition of Urban Trees Infested by Two Cerambycid Beetles, Aromia bungii and Massicus raddei, Using Sonic Tomography. Forests, 15(7), 1231. https://doi.org/10.3390/f15071231

