Geoforms and Biogeography Defining Mangrove Primary Productivity: A Meta-Analysis for the American Pacific
Abstract
1. Introduction
2. Materials and Methods
3. Results
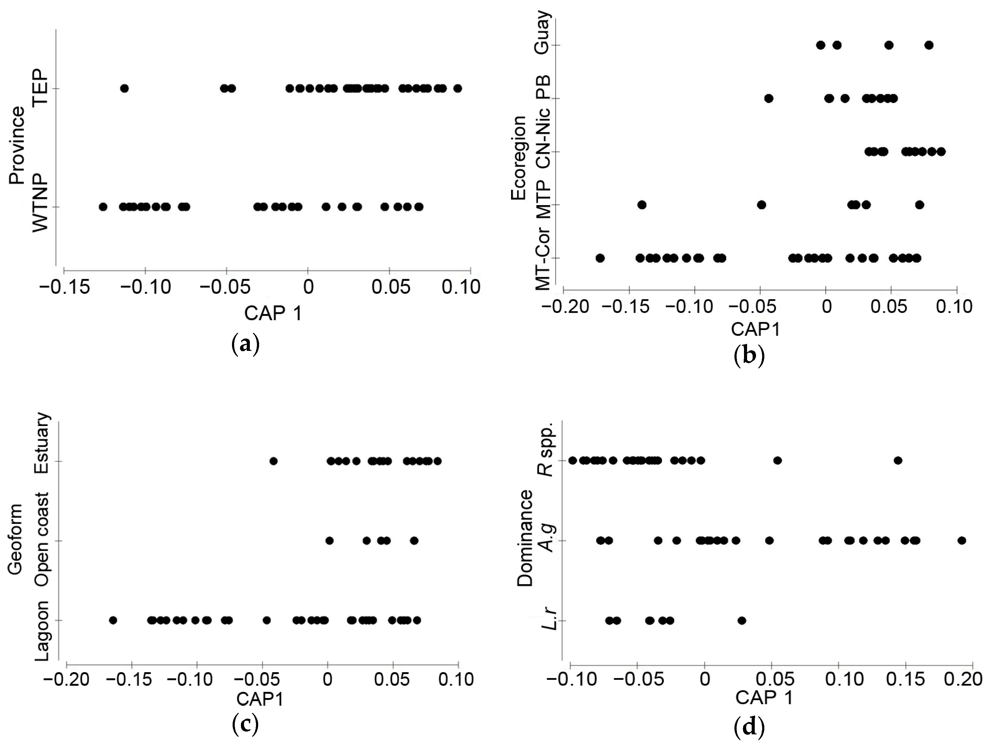
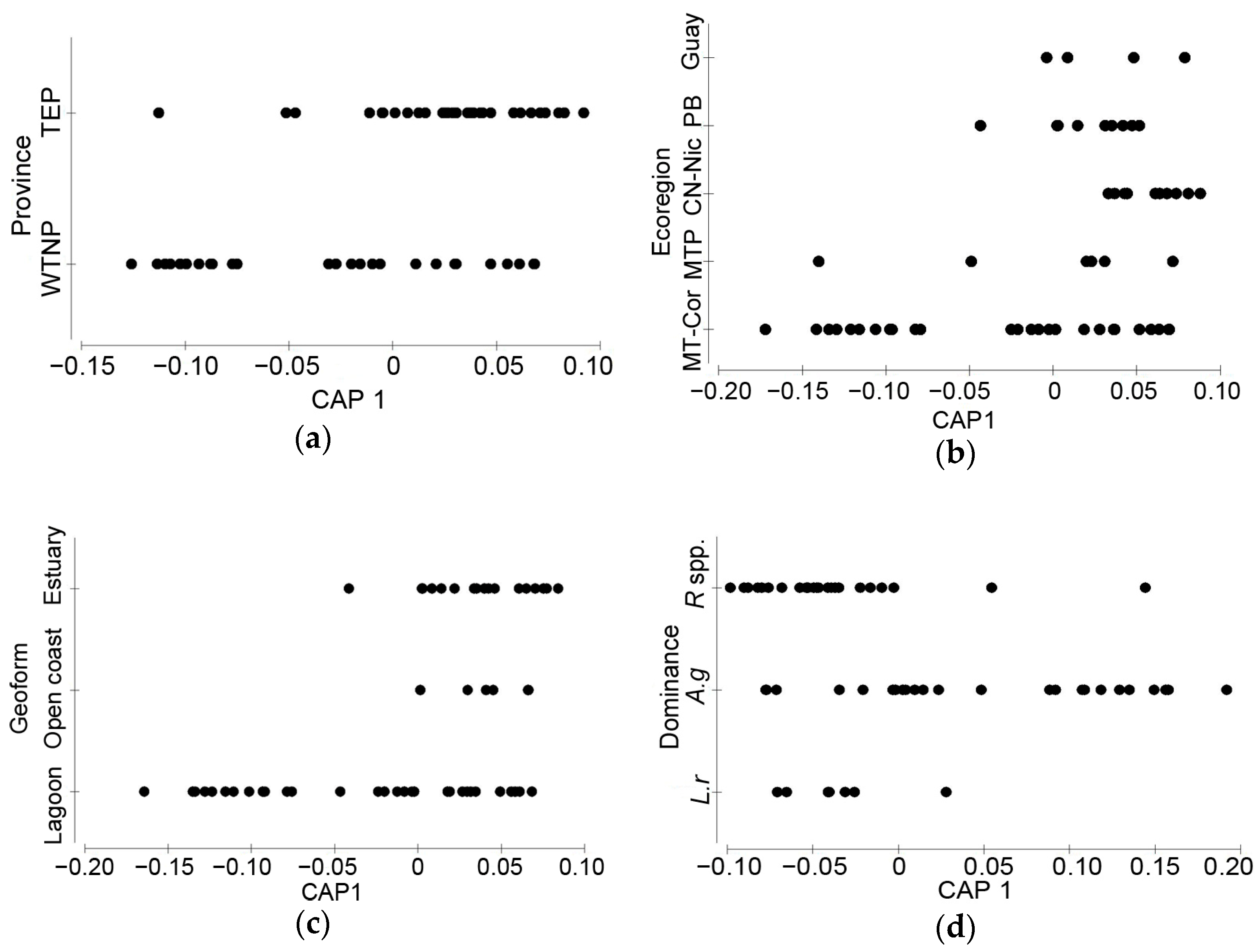
3.1. Distribution of Sites with Mangrove Litterfall by Category
3.2. Effect of Factors on Mangrove Litterfall
3.3. Influence of Environmental Variables on Mangrove Litterfall
4. Discussion
4.1. Effect of Geomorphic and Biogeographic Factors on Mangrove Litter-Based Primary Productivity
4.2. Influence of Environmental Variables on Mangrove Litter-Based Primary Productivity
5. Conclusions
Supplementary Materials
Author Contributions
Funding
Data Availability Statement
Acknowledgments
Conflicts of Interest
References
- Bouillon, S.; Borges, A.V.; Castañeda-Moya, E.; Diele, K.; Dittmar, T.; Duke, N.C.; Kristensen, E.; Lee, S.Y.; Marchand, C.; Middelburg, J.J.; et al. Mangrove production and carbon sinks: A revision of global budget estimates. Global Biogeochem. Cycles 2008, 22, GB2013. [Google Scholar] [CrossRef]
- Rodríguez-Zúñiga, M.T.; Villeda-Chávez, E.; Vázquez-Lule, A.D.; Bejarano, M.; Cruz-López, M.I.; Olguín, M.; Villela-Gaytán, S.A.; Flores, R.; Coords. Métodos Para la Caracterización de los Manglares Mexicanos: Un Enfoque Multiescala, 1st ed.; Comisión Nacional para el Conocimiento y Uso de la Biodiversidad: Ciudad de México, Mexico, 2018; p. 271. [Google Scholar]
- Kristensen, E.; Bouillon, S.; Dittmar, T.; Marchand, C. Organic carbon dynamics in mangrove ecosystems: A review. Aquat. Bot. 2008, 89, 201–219. [Google Scholar] [CrossRef]
- Castañeda-Moya, E.; Twilley, R.R.; Rivera-Monroy, V.H. Allocation of biomass and net primary productivity of mangrove forests along environmental gradients in the Florida Coastal Everglades, USA. For. Ecol. Manag. 2013, 307, 226–241. [Google Scholar] [CrossRef]
- Twilley, R.R.; Castañeda-Moya, E.; Rivera-Monroy, V.H.; Rovai, A.S. Productivity and carbon dynamics in mangrove wetlands. In Mangrove Ecosystems: A Global Biogeographic Perspective, 1st ed.; Rivera-Monroy, V.H., Lee, S.Y., Kristensen, E., Twilley, R.R., Eds.; Springer International Publishing: Cham, Switzerland, 2017; pp. 113–162. [Google Scholar] [CrossRef]
- Alongi, D.M. Present state and future of the world’s mangrove forests. Environ. Conserv. 2002, 29, 331–349. [Google Scholar] [CrossRef]
- Mohamed, S.M.; Mangion, P.; Mwangi, S.; Kairo, J.G.; Dahdouh-Guebas, F.; Koedam, N. Are Peri-Urban Mangroves Vulnerable? An Assessment Through Litter Fall Studies. In A Lifeline of Ecosystem Services in the Western Indian Ocean. Estuaries of the World, 1st ed.; Diop, S., Scheren, P., Ferdinand Machiwa, J., Eds.; Springer International Publishing: Cham, Switzerland, 2016; pp. 39–51. [Google Scholar]
- Twilley, R.R.; Rivera-Monroy, V.H. Developing performance measures of mangrove wetlands using simulation models of hydrology, nutrient biogeochemistry, and community dynamics. J. Coast. Res. 2005, 40, 79–93. Available online: https://www.jstor.org/stable/25736617 (accessed on 5 June 2024).
- Pool, D.J.; Lugo, A.E.; Snedaker, S.C. Litter production in mangrove forests of southern Florida and Puerto Rico. In International Symposium on Biology and Management of Mangroves, 1st ed.; Walsh, G.E., Snedaker, S.C., Teas, H.J., Eds.; Institute of Food and Agricultural Sciences, University of Florida: Gainesville, FL, USA, 1975; pp. 213–237. [Google Scholar]
- Cintrón, G.; Lugo, A.E.; Pool, D.J.; Morris, G. Mangroves of arid environments in Puerto Rico and adjacent islands. Biotropica 1978, 10, 110–121. [Google Scholar] [CrossRef]
- Casteñeda-Moya, E.; Rivera-Monroy, V.H.; Twilley, R.R. Mangrove zonation in the dry life zone of the Gulf of Fonseca, Honduras. Estuaries Coasts 2006, 29, 751–764. [Google Scholar] [CrossRef]
- Rovai, A.S.; Riul, P.; Twilley, R.R.; Castañeda-Moya, E.; Rivera-Monroy, V.H.; Williams, A.A.; Simard, M.; Cifuentes-Jara, M.; Lewis, R.R.; Crooks, S.; et al. Scaling mangrove aboveground biomass from site-level to continental- scale. Glob. Ecol. Biogeogr. 2015, 25, 286–298. [Google Scholar] [CrossRef]
- Twilley, R.R.; Rovai, A.S.; Riul, P. Coastal morphology explains global blue carbon distributions. Front. Ecol. Environ. 2018, 16, 503–508. [Google Scholar] [CrossRef]
- Ribeiro, R.D.A.; Rovai, A.S.; Twilley, R.R.; Castañeda-Moya, E. Spatial variability of mangrove primary productivity in the neotropics. Ecosphere 2019, 10, e02841. [Google Scholar] [CrossRef]
- Duke, N.C. Mangrove Floristics and Biogeography Revisited: Further Deductions from Biodiversity Hot Spots, Ancestral Discontinuities, and Common Evolutionary Processes. In Mangrove Ecosystems: A Global Biogeographic Perspective, 1st ed.; Rivera-Monroy, V.H., Lee, S.Y., Kristensen, E., Twilley, R.R., Eds.; Springer International Publishing: Cham, Switzerland, 2017; pp. 17–53. [Google Scholar] [CrossRef]
- Santamaría-Damian, S.; Tovilla-Hernandez, C.; Romero-Berny, E.; Damon, A.; Navarro-Martinez, A.; Ortega-Argueta, A. Effect of Mangrove Complexity and Environmental Variables on Fish Assemblages Across a Tropical Estuarine Channel of the Mexican Pacific. Wetlands 2023, 43, 50. [Google Scholar] [CrossRef]
- Montes-Cartas, C.G.; Castillo-Argüero, S.; López-Portillo, J. Distribución del manglar en cuatro sistemas lagunares de Chiapas, México. B. Soc. Bot. Méx. 1999, 64, 25–34. [Google Scholar] [CrossRef][Green Version]
- Raw, J.L.; Van der Stocken, V.; Carroll, D.; Harris, L.R.; Rajkaran, A.; Van Niekerk, L.; Adams, J.B. Dispersal and coastal geomorphology limit potential for mangrove range expansion under climate change. J. Ecol. 2023, 111, 139–155. [Google Scholar] [CrossRef]
- Woodroffe, C.D.; Rogers, K.; McKee, K.L.; Lovelock, C.E.; Mendelssohn, I.A.; Saintilan, N. Mangrove Sedimentation and Response to Relative Sea-Level Rise. Annu. Rev. Mar. Sci. 2016, 8, 243–266. [Google Scholar] [CrossRef]
- Whorthington, T.A.; zu Ermgassen, P.S.E.; Friess, D.A.; Krauss, K.W.; Lovelock, C.E.; Thorley, J.; Tingey, R.; Woodroffe, C.D.; Bunting, P.; Cormier, N.; et al. A global biophysical typology of mangroves and its relevance for ecosystem structure and deforestation. Sci. Rep. 2020, 10, 14652. [Google Scholar] [CrossRef]
- Rovai, A.S.; Twilley, R.R.; Castañeda-Moya, E.; Midway, S.R.; Friess, D.A.; Trettin, C.C.; Bukoski, J.J.; Stovall, A.E.L.; Pagliosa, P.R.; Fonseca, A.L.; et al. Macroecological patterns of forest structure and allometric scaling in mangrove forests. Glob. Ecol. Biogeogr. 2021, 30, 1000–1013. [Google Scholar] [CrossRef]
- Saenger, P.; Snedaker, S.C. Pantropical Trends in Mangrove Above-Ground Biomass and Annual Litterfall. Oecologia 1993, 96, 293–299. [Google Scholar] [CrossRef]
- Lacerda, L.D.; Conde, J.E.; Kjerfve, B.; Alvarez-León, R.; Alarcón, C.; Polanía, J. American Mangroves. In Mangrove Ecosystem. Environmental Science, 1st ed.; Lacerda, L.D., Ed.; Springer: Heidelberg, Germany, 2002; pp. 1–62. [Google Scholar] [CrossRef]
- Bunting, P.; Rosenqvist, A.; Hilarides, L.; Lucas, R.M.; Thomas, T.; Tadono, T.; Worthington, T.A.; Spalding, M.; Murray, N.J.; Rebelo, L.-M. Global Mangrove Extent Change 1996–2020: Global Mangrove Watch Version 3.0. Remote Sens. 2022, 14, 3657. [Google Scholar] [CrossRef]
- Chowdhury, A.; Naz, A.; Maiti, S.K. Variations in Soil Blue Carbon Sequestration between Natural Mangrove Metapopulations and a Mixed Mangrove Plantation: A Case Study from the World’s Largest Contiguous Mangrove Forest. Life 2023, 13, 271. [Google Scholar] [CrossRef]
- Sidik, F.; Supriyanto, B.; Krisnawati, H.; Muttaquin, M.Z. Mangrove conservation for climate change mitigation in Indonesia. WIREs Clim. Chang. 2018, 9, e529. [Google Scholar] [CrossRef]
- Hamylton, S.; Kelleway, J.; Rogers, K.; McLean, R.; Tynan, Z.N.; Repina, O. Mangrove expansion on the low wooded islands of the Great Barrier Reef. P. Roy. Soc. B-Biol. Sci. 2023, 290, 20231183. [Google Scholar] [CrossRef] [PubMed]
- Bacar, F.F.; Lisboa, S.N.; Sitoe, A. The Mangrove Forest of Quirimbas National Park Reveals High Carbon Stock Than Previously Estimated in Southern Africa. Wetlands 2023, 43, 60. [Google Scholar] [CrossRef]
- Gandhi, S.; Jones, T.G. Identifying Mangrove Deforestation Hotspots in South Asia, Southeast Asia and Asia-Pacific. Remote Sens. 2019, 11, 728. [Google Scholar] [CrossRef]
- Bosboom, J.; Stive, M. Coastal Dynamics, v1.2.; Delft University of Technology: Delft, The Netherlands, 2023; pp. 39–46. [Google Scholar] [CrossRef]
- Spalding, M.D.; Fox, H.E.; Allen, G.R.; Davidson, N.; Ferdana, Z.A.; Finlayson, M.; Halpern, B.S.; Jorge, M.A.; Lombana, A.; Lourie, S.A.; et al. Marine Ecoregions of the World: A Bioregionalization of Coastal and Shelf Areas. Bioscience 2007, 57, 573–583. [Google Scholar] [CrossRef]
- Page, M.J.; McKenzie, J.E.; Bossuyt, P.M.; Boutron, I.; Hoffmann, T.C.; Mulrow, C.D.; Shamseer, L.; Tetzlaff, J.M.; Akl, E.A.; Brennan, S.E.; et al. The PRISMA 2020 statement: An updated guideline for reporting systematic reviews. BMJ 2021, 372, 71. [Google Scholar] [CrossRef] [PubMed]
- Bunt, J.S. Studies of mangrove litter fall in tropical Australia. In Mangrove Ecosystems in Australia. Structure, Function and Management; Clough, R.F., Ed.; Australian National University Press: Canberra, Australia, 1982; pp. 223–237. [Google Scholar]
- Fick, S.E.; Hijmans, R.J. WorldClim 2: New 1km spatial resolution climate surfaces for global land areas. Int. J. Climatol. 2017, 37, 4302–4315. [Google Scholar] [CrossRef]
- ESRI. ArcGIS Desktop: Release 10; Environmental Systems Research Institute: Redlands, CA, USA, 2011. [Google Scholar]
- Anderson, M.J.; Willis, T.J. Canonical Analysis of Principal Coordinates: A Useful Method of Constrained Ordination for Ecology. Ecology 2003, 84, 511–525. [Google Scholar] [CrossRef]
- Dormann, C.F.; Elith, J.; Bacher, S.; Buchmann, C.; Carl, G.; Carré, G.; Marquéz, J.R.G.; Gruber, B.; Lafourcade, B.; Leitão, P.J.; et al. Collinearity: A review of methods to deal with it and a simulation study evaluating their performance. Ecography 2013, 36, 27–46. [Google Scholar] [CrossRef]
- Anderson, M.J.; Gorley, R.N.; Clarke, K.R. PERMANOVA + for PRIMER: Guide to Software and Statistical Methods, 1st ed.; PRIMER-E Ltd.: Plymouth, UK, 2008. [Google Scholar]
- Feller, I.C.; Lovelock, C.E.; Berger, U.; McKee, K.L.; Joye, S.B.; Ball, M.C. Biocomplexity in Mangrove Ecosystems. Annu. Rev. Mar. Sci. 2010, 2, 395–417. [Google Scholar] [CrossRef]
- Hernandez, J.O.; Park, B.B. Litterfall Production and Decomposition in Tropical and Subtropical Mangroves: Research Trends and Interacting Effects of Biophysical, Chemical, and Anthropogenic Factors. Wetlands 2024, 44, 23. [Google Scholar] [CrossRef]
- Arifanti, V.B.; Sidik, F.; Mulyanto, B.; Susilowati, A.; Wahyuni, T.; Subarno; Yulianti; Yuniarti, N.; Aminah, A.; Suita, E.; et al. Challenges and Strategies for Sustainable Mangrove Management in Indonesia: A Review. Forests 2022, 13, 695. [Google Scholar] [CrossRef]
- Alongi, D.M.; Clough, B.F.; Robertson, A.I. Nutrient-use efficiency in arid-zone forests of the mangroves Rhizophora stylosa and Avicennia marina. Aquat. Bot. 2005, 82, 121–131. [Google Scholar] [CrossRef]
- Maderey-R, L.E.; Torres-Ruata, C. Hidrografía. In Extraído de Hidrografía e Hidrometría, IV.6.1 (A). Atlas Nacional de México. Volume II. Scale 1: 4,000,000; Instituto de Geografía, UNAM: Mexico City, México, 1990. [Google Scholar]
- Instituto Privado de Investigación Sobre Cambio Climático IPICC ¿Conoces los ríos de Guatemala? Available online: https://icc.org.gt/es/conoces-los-rios-de-guatemala/ (accessed on 5 April 2024).
- Ministerio de Agricultura y Ganadería MAG. Catálogo de Bocatomas por Cuencas Hidrográficas de El Salvador, C.A. El Salvador, 2012, p. 26. Available online: https://www.mag.gob.sv/wp-content/uploads/2021/06/5catalogo_de_bocatomas_por_cuencas_hidrograficas_de_El_Salvador.pdf (accessed on 5 June 2024).
- Ministerio del Ambiente y Energía MINAE, Ministerio del Ambiente y Recursos Naturales MARENA, Programa de las Naciones Unidas Para el Medio Ambiente PNUMA y Organización de los Estados Americanos OEA Estudio de Diagnóstico de la Cuenca del rio San Juan y Lineamientos del Plan de Acción. Available online: https://www.oas.org/dsd/publications/unit/oea05s/begin.htm#Contents (accessed on 5 April 2024).
- Ministerio de Ambiente y Desarrollo Sostenible MADS Planificación del Recurso Hídrico, Avances Macrocuenca Pacífico. Available online: https://www.minambiente.gov.co/gestion-integral-del-recurso-hidrico/avances-macrocuenca-pacifico/ (accessed on 5 April 2024).
- Instituto Geológico Minero y Metalúrgico IGMM. Mapa Hidrológico. Available online: https://mapadeecuador.com/rios (accessed on 5 April 2024).
- Day, J.W., Jr.; Coronado-Molina, C.; Vera-Herrera, F.R.; Twilley, R.R.; Rivera-Monroy, V.H.; Alvarez- Guillen, H.; Day, R.; Conner, W. A 7 year record of above-ground net primary production in a southeastern Mexican mangrove forest. Aquat. Bot. 1996, 55, 39–60. [Google Scholar] [CrossRef]
- Twilley, R.R.; Pozo, M.; Garcia, V.H.; Rivera-Monroy, V.H.; Zambrano, R.; Bodero, A. Litter dynamics in riverine mangrove forests in the Guayas river estuary, Ecuador. Oecologia 1997, 111, 109–122. [Google Scholar] [CrossRef]
- Félix-Pico, E.F.; Holguín-Quiñones, O.E.; Hernández-Herrera, A.; Flores Verdugo, F. Producción primaria de los mangles del estero El Conchalito en Bahía de La Paz (Baja California Sur, México). Cienc Mar. 2006, 32, 53–63. [Google Scholar] [CrossRef]
- Chávez, R.S. El Papel de los Manglares en la Producción de las Comunidades Acuáticas en Bahía Magdalena, BCS. Ph.D. Thesis, CICIMAR-IPN, La Paz, Baja California Sur, México, May 2006. [Google Scholar]
- Ochoa-Gómez, J.; Serviere-Zaragoza, E.; Lluch-Cota, D.; Rivera-Monroy, V.; Oechel, W.; Troyo-Diéguez, E.; Lluch-Cota, S. Structural Complexity and Biomass of Arid Zone Mangroves in the Southwestern Gulf of California: Key Factors That Influence Fish Assemblages. J. Coast. Res. 2018, 34, 979–986. [Google Scholar] [CrossRef]
- Espinoza, M.; Sánchez, P.; Muñoz, P. Ecología de manglares. In Technical Report; CIB: La Paz, Mexico, 1981; pp. 137–179. [Google Scholar]
- Jiménez-Quiroz, M.d.C. Contribución al Conocimiento de los Productores Primarios de La Ensenada de La Paz. Análisis de la Comunidad de Manglar. Master’s Thesis, Centro Interdisciplinario de Zonas Marinas, IPN, La Paz, Baja California Sur, México, 1991. [Google Scholar]
- Torres, J.; Sanchez-Mejia, Z.; Alcudia-Aguilar, A.; Medrano-Perez, O.; Barraza-Guardado, R.; Suzuky-Pinto, R. Estimation of Mangrove Blue Carbon in Three Semi-arid Lagoons in the Gulf of California. Wetlands 2023, 43, 11. [Google Scholar] [CrossRef]
- López-Medellín, J.; Ezcurra, E. The productivity of mangroves in northwestern Mexico: A meta-analysis of current data. J. Coast. Conserv. 2012, 16, 399–403. [Google Scholar] [CrossRef]
- Sánchez-Andrés, R.; Sánchez-Carrillo, S.; Alatorre, L.C.; Cirujano, S.; Álvarez-Cobelas, M. Litterfall dynamics and nutrient decomposition of arid mangroves in the Gulf of California: Their role sustaining ecosystem heterotrophy. Estuar. Coast. Shelf Sci. 2010, 89, 191–199. [Google Scholar] [CrossRef]
- Torres, J.; Sánchez-Mejia, Z.; Arreola-Lizárraga, J.; Galindo-Félix, J.; Mascareño-Grijalva, J.; Rodríguez-Pérez, J. Environmental factors controlling structure, litter productivity, and phenology of mangroves in arid region of the Gulf of California. Acta Oecol. 2022, 117, 103861. [Google Scholar] [CrossRef]
- Flores-Cardenas, F.; Hurtado-Oliva, M.A.; Doyle, T.W.; Nieves-Soto, M.; Diaz-Castro, S.; Manzano-Sarabia, M. Litterfall Production of Mangroves in Huizache-Caimanero Lagoon System, México. J. Coast. Res. 2016, 331, 118–124. [Google Scholar] [CrossRef]
- Sandoval-Castro, E. Productividad del Manglar de la Bahía “El Colorado”, Ahome, Sinaloa y su Relación con la Pesquería Local. Bachelor’s Thesis, Departamento de Ciencias Biológicas, Universidad de Occidente, Los Mochis, Sinaloa, México, September 2005. [Google Scholar]
- Agraz-Hernández, C.M. Reforestación Experimental de Manglares en Ecosistema Lagunares Estuarinos de la Costa Noroccidental de México. Ph.D. Thesis, Facultad de Ciencias Biológicas, Universidad Autónoma de Nuevo León, Monterrey, Nuevo León, México, April 1999. [Google Scholar]
- Flores-Verdugo, F.; Day, J.W.; Briseño-Dueñas, R. Structure, litter fall, decomposition, and detritus dynamics of mangroves in a Mexican coastal lagoon with an ephemeral inlet. Mar. Ecol. Prog. Ser. 1987, 35, 83–90. [Google Scholar] [CrossRef]
- Flores-Verdugo, F.; González-Farías, F.; Ramírez-Flores, O.; Amezcua- Linares, F.; Yañez-Arancibia, A.; Alvarez-Rubio, M.; Day, J.W., Jr. Mangrove ecology, aquatic productivity and fish community dynamics in Teacapan-AguaBrava Lagoon Estuarine system (Mexican Pacific). Estuaries 1990, 13, 219–230. [Google Scholar] [CrossRef]
- Ramírez, F.O.M. Producción de Hojarasca y Metabolismo Estuarino en un Ecosistema de Manglar en la Laguna de Agua Brava, Nayarit. Bachelor’s Thesis, Universidad Nacional Autónoma de México, Mexico City, México, 1987. [Google Scholar]
- Flores-Verdugo, F.; González-Farías, F.; Zamorano, D.S.; Ramírez-García, P. Mangrove Ecosystems of the Pacific coast of Mexico: Distribution, structure, litterfall and detritus dynamics. In Coastal Plant Communities of Latin America; Seeliger, U., Ed.; Academic: San Diego, CA, USA, 1992; pp. 269–288. [Google Scholar]
- Estrada-Durán, G.; Cupul-Magaña, F.G.; Cupul-Magaña, A.L. Aspectos de la estructura y producción de hojarasca del bosque de manglar del Estero El Salado, Puerto Vallarta, Jalisco. Ciencia y Mar. 2001, 5, 3–12. [Google Scholar]
- Mendoza-Morales, A.J.; González-Sansón, G.; Aguilar-Betancourt, C. Producción espacial y temporal de hojarasca del manglar en la laguna Barra de Navidad, Jalisco, México. Rev. Biol. Trop. 2016, 64, 275–289. [Google Scholar] [CrossRef] [PubMed][Green Version]
- Tovilla-Hernández, C.; De-la-Lanza, E.G. Ecología, producción y aprovechamiento del mangle Conocarpus erectus L. en Barra de Tecoanapa Guerrero, México. Biotropica 1999, 31, 121–134. [Google Scholar] [CrossRef]
- Juárez, A.; García, S.; Salomé, O.; Torres, S. Producción primaria en manglar y su relación con variables fisicoquímicas del agua en Laguna Negra, Puerto Marques, Acapulco, Guerrero, México. Tlamati 2019, 10, 27–40. [Google Scholar]
- Tovilla-Hernández, C.; Serrano-Figueroa, E.; Orihuela-Belmonte, D.E. Producción de hojarasca en Laguna La Pastoría, en el Parque Nacional Lagunas de Chacahua. In Proceedings of the Memorias del Segundo Congreso Mexicano de Ecosistemas de Manglar, Ciudad del Carmen, Campeche, México, 22–26 October 2012; Universidad Autónoma del Carmen, Centro de Investigación de Ciencias Ambientales: Ciudad del Carmen, Mexico, 2012. [Google Scholar]
- Chan-Keb, C.A.; Agraz-Hernández, C.M.; Osti-Sáenz, J.; Gallegos, M.E. Modelación matemática de la producción de hojarasca y comportamiento fenológico en manglares, con base a la calidad del agua. Jaina Boletín Inf. 2014, 25, 5–19. [Google Scholar]
- Montoya, J. Análisis de la Dinámica de la Producción de Hojarasca del Bosque de Mangle en el Estero El Salitral, Chiapas, México. Bachelor’s Thesis, Universidad de Guayaquil, Guayaquil, Ecuador, September 2021. [Google Scholar]
- Tovilla-Hernández, C.; Romero-Berny, E.I. Producción de hojarasca en manglares ribereños. In Reserva de la Biosfera La Encrucijada, dos Décadas de Investigación Para su Conservación, 1st ed.; Velázquez-Velázquez, E., Romero-Berny, E.I., Rivera-Velázquez, G., Eds.; UNICACH: Tuxtla Gutiérrez, Chiapas, México, 2016; pp. 127–138. [Google Scholar]
- Salas, R.L. Producción de Hojarasca y Estructura Forestal en un Manglar Tipo Ribereño del Pacífico Sur, México. Master’s Thesis, El Colegio de la Frontera Sur, Tapachula, Chiapas, México, 2021. [Google Scholar]
- Orihuela-Belmonte, D.E.; Tovilla-Hernández, C.; Franciscus, M.H.; Álvarez-Legorreta, T. Flujo de materia en un manglar de la costa de Chiapas, México. Madera y Bosques 2004, 10, 45–61. [Google Scholar] [CrossRef][Green Version]
- Grimaldi, S. Productividad Primaria y Retorno de Nutrientes al Ecosistema de Manglar de las Islas Colindantes al Canal El Zapatero, Área Natural Protegida Barra de Santiago, Departamento de Ahuachapán. Bachelor’s Thesis, Universidad de El Salvador, San Salvador, El Salvador, October 2012. [Google Scholar]
- Grimaldi, F.; Cuellar, T.C.; Rivera, S.G. Productividad a través del seguimiento de caída de hojarasca en el bosque de manglar. In Proyecto El Ecosistema de Manglar de Bahía de Jiquilisco; Rivera, C.G., Cuellar, T.C., Eds.; Universidad de El Salvador-Asociación Mangle-Fondo de la iniciativa para las Américas: San Salvador, El Salvador, 2010; pp. 43–58. [Google Scholar]
- Wolff, M. Biomass flow structure and resource potential of two mangrove estuaries: Insights from comparative modelling in Costa Rica and Brazil. Rev. Biol. Trop. 2006, 54, 69–86. [Google Scholar] [CrossRef]
- Rodríguez, E.; Chang, J.; Goti, I. Productividad primaria del manglar de Rhizophora mangle L. en el canal estuarino de Isla de Cañas, Provincia de los Santos, República de Panamá. Tecnociencia 2012, 14, 85–99. [Google Scholar]
- Palacios, M.A.; Vargas, E.L. Determinación de la productividad primaria del manglar en cabo manglares Costa Pacífica Colombiana. Bol. Cient. CCCP 1991, 2, 50–68. [Google Scholar]
- Palacios, M.A.; Mosquera, A.I. Estudio de la productividad primaria del ecosistema de manglar en la zona de Hojas Blancas, Costa Pacífica Nariñense. Bol. Cient. CCCP 1992, 13, 15–29. [Google Scholar] [CrossRef] [PubMed][Green Version]
- Satizábal, C.A.; Bejarano, M.A.; Zapata, F.A. Producción de hojarasca y descomposición de materia orgánica de un manglar de Ribera de Nariño, Costa Pacífica. Bol. Cient. CCCP 1993, 4, 27–36. [Google Scholar] [CrossRef]
- Palacios, M.A.; Vargas, E.L.; de la Pava, M.L. Determinación del aporte de materia orgánica del Manglar en la zona de Bocagrande. Bol. Cient. CCCP 1990, 1, 55–72. [Google Scholar] [CrossRef]
- Castillo, E. Acumulación de Biomasa y Materia Orgánica en el Manglar del Refugio de vida Silvestre Manglares Estuario río Esmeraldas. Bachelor’s Thesis, Pontificia Universidad Católica del Ecuador, Esmeraldas, Ecuador, August 2018. [Google Scholar]
- Pérez, A. Implementación de Parcelas Para Medir la Productividad Primaria en la Zona de Custodia de Manglares por la Asociación 21 de Mayo de Puerto Roma. Bachelor’s Thesis, Universidad de Guayaquil, Guayaquil, Ecuador, September 2022. [Google Scholar]
- Tenorio, S.; Timana, D. Ecosistema Manglares de San Pedro, Vice—Piura: Variación Estacional en su Cobertura, Características Fisiográficas y Componentes Fisicoquímicos. Noviembre 2014–Octubre 2015. Bachelor’s Thesis, Universidad Nacional “Pedro Ruiz Gallo”, Lambayeque, Perú, 2017. [Google Scholar]
- Convention of Wetlands. Ficha Informativa de los Humedales Ramsar de Complejo Barra de Santiago. 2013, 86p. Available online: https://rsis.ramsar.org/RISapp/files/RISrep/SV2207RIS.pdf (accessed on 5 June 2024).
- Chaves, M.L.M.; Mejía, C.M.E.; Reyes, R.O.A. Evaluación del Índice de Calidad de Agua en la Bahía de Jiquilísco, Definición de Metodologías de Muestreo, Validación y Cuantificaciones Analíticas Para Agua Salada. Bachelor’s Thesis, Universidad de El Salvador, San Salvador, El Salvador, November 2012. [Google Scholar]
- Tabash, B.F.A. Un modelo biogeoquímico para el Golfo de Nicoya, Costa Rica. Rev. Biol. Trop. 2007, 55, 33–42. [Google Scholar]
- Cantero, Y.; Astaiza, C.; Ruz, C. Influencia de la temperatura y salinidad en la velocidad del sonido en aguas someras de la bahía de Tumaco. Bol. Cient. CIOH 2022, 41, 19–32. [Google Scholar] [CrossRef]
- Bejarano, M.A.; Satizabal, C.A.; Zapata, F.A. Estructura del bosque y granulometría del suelo en un manglar de ribera de la Costa Pacífica Colombiana. Bol. Cient. CCCP 1993, 4, 37–45. [Google Scholar] [CrossRef] [PubMed]
- Drouet, Y.A.M. Evaluación del Estado Actual de la Regeneración Natural del Bosque del Manglar del Refugio de Vida Silvestre Manglares Estuario río Esmeraldas. Bachelor’s Thesis, Pontificia Universidad Católica del Ecuador, Esmeraldas, Ecuador, January 2019. [Google Scholar]
- Arreaga, V.P. Análisis del comportamiento de la salinidad (intrusión salina) en el sistema Rio Guayas canal de Jambeli como parte del cambio climático. Acta Oceanogr. Pac. INOCAR 2000, 10, 37–49. [Google Scholar]
- Lugo, A.E.; Snedaker, S.C. The ecology of mangroves. Annu. Rev. Ecol. Syst. 1974, 5, 39–64. [Google Scholar] [CrossRef]
- Mahmood, H.; Fazlul, H. Litter production and descomposition in mangroves—A review. Indian J. For. 2008, 31, 227–238. [Google Scholar] [CrossRef]
- Kauffman, J.B.; Donato, D. Protocols for Measurement, Monitoring and Reporting Structure, Biomass and Carbon Stocks in Mangrove Forest. Working Paper 86; Center for International Forestry Research (CIFOR): Bogor, Indonesia, 2012; p. 40. [Google Scholar]
- Twilley, R.R.; Chen, R.H.; Hargis, T. Carbon sinks in mangrove forests and their implications to the carbon budget of tropical coastal ecosystems. Water Air Soil Pollut. 1992, 64, 265–288. [Google Scholar] [CrossRef]
- Duarte, C.M.; Cebrian, J. The fate of marine autotrophic production. Limnol. Oceanogr. 1996, 41, 1758–1766. [Google Scholar] [CrossRef]
- Jennerjahn, T.C.; Ittekkot, V. Relevance of mangroves for the production and deposition of organic matter along tropical continental margins. Naturwissenschaften 2002, 89, 23–30. [Google Scholar] [CrossRef]
- Adame, M.; Santini, N.; Tovilla, C.; Vázquez-Lule, A.; Castro, L.; Guevara, M. Carbon stocks and soil sequestration rates of tropical riverine wetlands. Biogeosciences 2015, 12, 3805–3818. [Google Scholar] [CrossRef]






| Geoforms for This Classification | Definition and Geomorphic Setting | Woodroffe et al. [19] | Whortington et al. [20] |
|---|---|---|---|
| Lagoon | Sheltered coastal waters (coastal lagoons and tidal creeks) that are usually shallow and intermittently separated from oceanic inputs by wave-dominated barriers. | Lagoon; Tidal estuary | Lagoonal; Estuarine |
| Estuary | Permanently or temporarily open linear systems, deltaic fans, and channels with high fluvial input, where mixing processes are dominated by fluvial and tidal inputs, producing horizontal salinity gradients. | Delta | Deltaic |
| Open coast | High-energy systems dominated by waves and protected by coastal protrusions, such as bays, coves, and sub-merged rocky beds. | - | Open coast |
| Factor | d.f. | SS | MS | F | p |
|---|---|---|---|---|---|
| Province | 1 | 261.82 | 261.82 | 18.53 | 0.0003 * |
| Ecoregion | 4 | 84.99 | 21.24 | 1.5 | 0.221 |
| Geoform | 2 | 131.9 | 65.95 | 4.67 | 0.015 * |
| Dominant species | 2 | 185.86 | 92.93 | 6.58 | 0.003 * |
| Province × Geoform | 2 | 78.11 | 39.06 | 2.76 | 0.076 |
| Province × Dominant species | 2 | 4.56 | 2.28 | 0.16 | 0.847 |
| Ecoregion × Geoform | 4 | 6.59 | 1.65 | 0.12 | 0.972 |
| Ecoregion × Dominant species | 2 | 19.3 | 9.65 | 0.68 | 0.504 |
| Residuals | 38 |
| Factor | δ2 | p | n | Allocation Success % | |
|---|---|---|---|---|---|
| Correct for Individual Reclassification | Correct for Global Reclassification | ||||
| Province | 0.21 | 0.0003 * | 74.14 | ||
| WTNP | 28 | 60.71 | |||
| TEP | 30 | 86.67 | |||
| Ecoregion | 0.27 | 0.002 * | 34.48 | ||
| MT-Cor | 28 | 46.42 | |||
| MTP | 6 | 0 | |||
| CN-Nic | 11 | 54.54 | |||
| PB | 9 | 11.11 | |||
| Guay | 4 | 0 | |||
| Geoform | 0.25 | 0.0006 * | 48.27 | ||
| Lagoon | 34 | 58.82 | |||
| Estuary | 18 | 33.33 | |||
| Open coast | 6 | 33.33 | |||
| Dominant species | 0.34 | 0.0002 * | 60.34 | ||
| A. germinans | 26 | 64 | |||
| L. racemosa | 7 | 37.5 | |||
| Rhizophora spp. | 25 | 64 | |||
| Marginal Test | Selected Model | |||||
|---|---|---|---|---|---|---|
| Variables | SS | F | p | % Variation Explained | Selection | Overall Best Solution |
| Salinity | 186.56 | 9.298 | 0.0034 * | 14.2 | +Max Temp | Adj R2 = 0.3047 |
| Temperature | 83.305 | 3.802 | 0.0609 | 6.36 | + P wettest month | R2 = 0.3413 |
| Precipitation | 283.19 | 15.44 | 0.0007 * | 21.62 | + P driest month | RSS = 862.97 |
| Max Temp | 160.14 | 7.798 | 0.0074 * | 12.22 | ||
| P wettest month | 396.39 | 24.294 | 0.0001 * | 30.26 | ||
| P driest month | 32.711 | 1.434 | 0.2382 | 2.5 | ||
| Radiation | 36.073 | 1.585 | 0.2111 | 2.75 | ||
Disclaimer/Publisher’s Note: The statements, opinions and data contained in all publications are solely those of the individual author(s) and contributor(s) and not of MDPI and/or the editor(s). MDPI and/or the editor(s) disclaim responsibility for any injury to people or property resulting from any ideas, methods, instructions or products referred to in the content. |
© 2024 by the authors. Licensee MDPI, Basel, Switzerland. This article is an open access article distributed under the terms and conditions of the Creative Commons Attribution (CC BY) license (https://creativecommons.org/licenses/by/4.0/).
Share and Cite
Velázquez-Pérez, C.; Romero-Berny, E.I.; Miceli-Méndez, C.L.; Moreno-Casasola, P.; López, S. Geoforms and Biogeography Defining Mangrove Primary Productivity: A Meta-Analysis for the American Pacific. Forests 2024, 15, 1215. https://doi.org/10.3390/f15071215
Velázquez-Pérez C, Romero-Berny EI, Miceli-Méndez CL, Moreno-Casasola P, López S. Geoforms and Biogeography Defining Mangrove Primary Productivity: A Meta-Analysis for the American Pacific. Forests. 2024; 15(7):1215. https://doi.org/10.3390/f15071215
Chicago/Turabian StyleVelázquez-Pérez, Carolina, Emilio I. Romero-Berny, Clara Luz Miceli-Méndez, Patricia Moreno-Casasola, and Sergio López. 2024. "Geoforms and Biogeography Defining Mangrove Primary Productivity: A Meta-Analysis for the American Pacific" Forests 15, no. 7: 1215. https://doi.org/10.3390/f15071215
APA StyleVelázquez-Pérez, C., Romero-Berny, E. I., Miceli-Méndez, C. L., Moreno-Casasola, P., & López, S. (2024). Geoforms and Biogeography Defining Mangrove Primary Productivity: A Meta-Analysis for the American Pacific. Forests, 15(7), 1215. https://doi.org/10.3390/f15071215

