Passive Restoration Achieved through Natural Processes over 70 Years in the Korean DMZ
Abstract
1. Introduction
2. Materials and Methods
2.1. Study Area
2.2. Site Description
2.3. Methods
2.3.1. Landscape Analysis
2.3.2. Vegetation Analysis
3. Results
3.1. Characteristics of Landscape Structure in the DMZ and CCZ Compared with the Whole Country
3.2. Landscape Change in the DMZ and CCZ
3.3. Landscape Structure of the DMZ and CCZ Compared with Two Reference Sites
3.4. Landscape Change in the Suip Stream Watershed
3.5. Landscape Change in Abandoned Rice Paddies
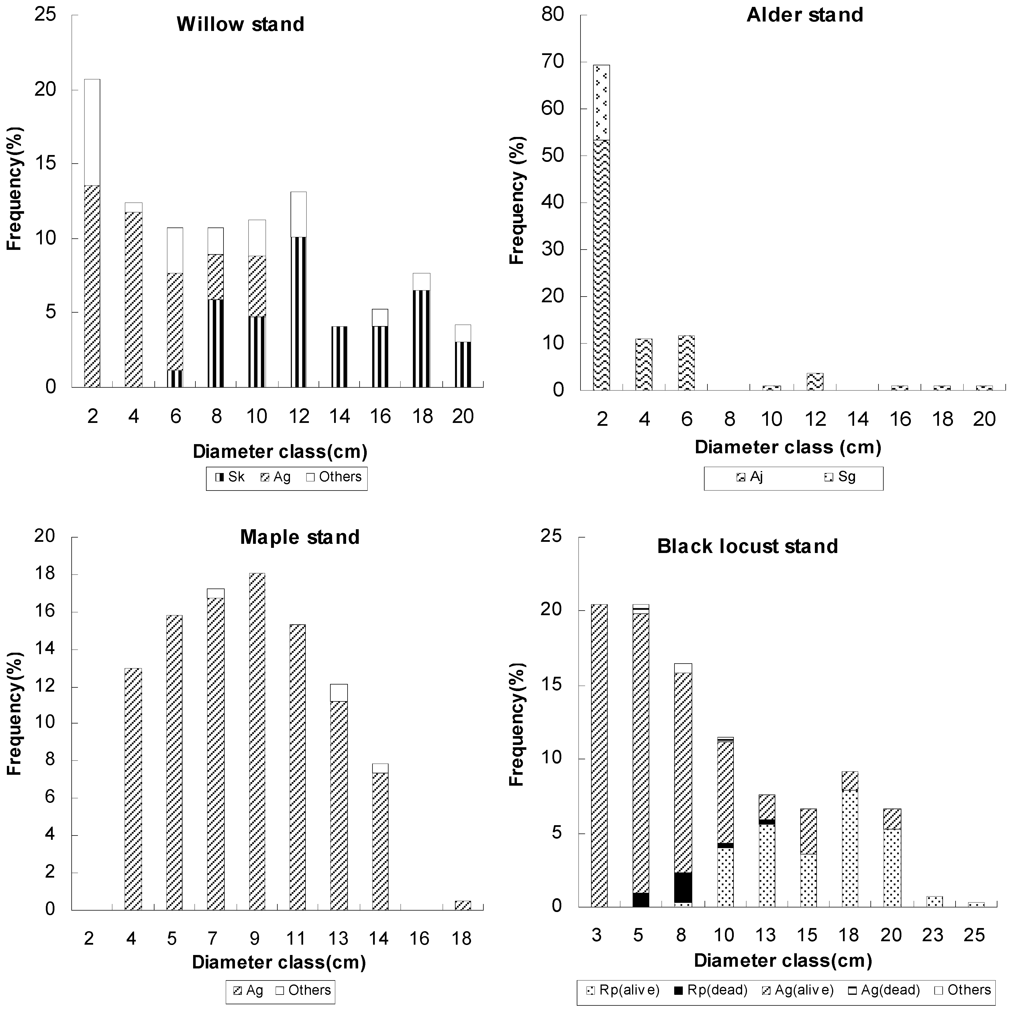
3.6. A Comparison of Riparian Vegetation among Areas with Different Land Use Intensity
3.7. Ordination of Riparian Vegetation Established in the DMZ and CCZ
3.8. Vegetation Dynamics
4. Discussion
4.1. Ecological Characteristics of the DMZ and CCZ Based on Landscape Structure
4.2. Evidence of Passive Restoration
4.3. The DMZ and CCZ as Hot Spots of Biodiversity in Korea
4.4. Ecological Value of the Restored DMZ
5. Conclusions
Author Contributions
Funding
Data Availability Statement
Conflicts of Interest
Appendix A

References
- Comparison: Population Growth by Country. Available online: https://www.worlddata.info/populationgrowth.php (accessed on 8 May 2024).
- Dodman, D. Blaming Cities for Climate Change? An Analysis of Urban Greenhouse Gas Emissions Inventories. Environ. Urban. 2009, 21, 185–201. [Google Scholar] [CrossRef]
- Kwon, S.; Kim, J.; Lee, E.H.; Jung, C.Y. Geography of Korea; Academy of Korean Studies: Seoul, Republic of Korea, 2016. [Google Scholar]
- Nakamura, K.; Tockner, K.; Amano, K. River and Wetland Restoration: Lessons from Japan. BioScience 2006, 56, 419–429. [Google Scholar] [CrossRef]
- Lee, H.; Lim, B.S.; Kim, D.U.; Kim, A.R.; Seol, J.W.; Lim, C.H.; Kil, J.H.; Moon, J.S.; Lee, C.S. Decline and Passive Restoration of Forest Vegetation around the Yeocheon Industrial Complex of Southern Korea. Forests 2020, 11, 674. [Google Scholar] [CrossRef]
- Lim, C.H.; Pi, J.H.; Kim, A.R.; Cho, H.J.; Lee, K.S.; You, Y.H.; Lee, K.H.; Kim, K.D.; Moon, J.S.; Lee, C.S. Diagnostic Evaluation and Preparation of the Reference Information for River Restoration in South Korea. Int. J. Environ. Res. Public Health 2021, 18, 1724. [Google Scholar] [CrossRef] [PubMed]
- An, J.H.; Lim, B.S.; Seol, J.; Kim, A.R.; Lim, C.H.; Moon, J.S.; Lee, C.S. Evaluation on the Restoration Effects in the River Restoration Projects Practiced in South Korea. Water 2022, 14, 2739. [Google Scholar] [CrossRef]
- Lim, B.S.; Seol, J.; Kim, A.R.; An, J.H.; Lim, C.H.; Lee, C.S. Succession of the Abandoned Rice Fields Restores the Riparian Forest. Int. J. Environ. Res. Public Health 2022, 19, 10416. [Google Scholar] [CrossRef] [PubMed]
- Gregory, S.V.; Swanson, F.J.; McKee, W.A.; Cummins, K.W. An Ecosystem Perspective of Riparian Zones. BioScience 1991, 41, 540–551. [Google Scholar] [CrossRef]
- Lee, C.S.; Cho, Y.C.; Shin, H.C.; Lee, S.M.; Cho, H.J. Effects of Partial Habitat Restoration by a Method Suitable for Riverine Environments in Korea. J. Ecol. Environ. 2007, 30, 171–177. [Google Scholar] [CrossRef]
- Rusnák, M.; Goga, T.; Michaleje, L.; Šulc Michalková, M.; Máčka, Z.; Bertalan, L.; Kidová, A. Remote Sensing of Riparian Ecosystems. Remote Sens. 2022, 14, 2645. [Google Scholar] [CrossRef]
- Johnson, R.R.; Simpson, J.M. Important Birds from Blue Point Cottonwoods, Maricopa County, Arizona. Condor 1971, 73, 379–380. [Google Scholar] [CrossRef]
- Carothers, S.W.; Roy Johnson, R.; Aitchison, S.W. Population Structure and Social Organization of Southwestern Riparian Birds. Am. Zool. 1974, 14, 97–108. [Google Scholar] [CrossRef]
- Graziano, M.P.; Deguire, A.K.; Surasinghe, T.D. Riparian Buffers as a Critical Landscape Feature: Insights for Riverscape Conservation and Policy Renovations. Diversity 2022, 14, 172. [Google Scholar] [CrossRef]
- Maestas, J.D.; Wheaton, J.M.; Bouwes, N.; Swanson, S.R.; Dickard, M. Water Is Life: Importance and Management of Riparian Areas for Rangeland Wildlife. In Rangeland Wildlife Ecology and Conservation; Springer International Publishing: Cham, Switzerland, 2023; pp. 177–208. [Google Scholar]
- Howard-Williams, C.; Pickmere, S.; Davies, J. Nutrient Retention and Processing in New Zealand Streams: The Influence of Riparian Vegetation. N. Z. Agric. Sci. 1986, 20, 11–114. [Google Scholar]
- Pinay, G.; Decamps, H. The Role of Riparian Woods in Regulating Nitrogen Fluxes between the Alluvial Aquifer and Surface Water: A Conceptual Model. Regul. Rivers Res. Manag. 1988, 2, 507–516. [Google Scholar] [CrossRef]
- Fustec, E.; Mariotti, A.; Grillo, X.; Sajus, J. Nitrate Removal by Denitrification in Alluvial Ground Water: Role of a Former Channel. J. Hydrol. 1991, 123, 337–354. [Google Scholar] [CrossRef]
- Haycock, N.; Burt, T. Handling Excess Nitrates. Nature 1990, 348, 291. [Google Scholar] [CrossRef]
- Arnold, E.; Toran, L. Effects of Bank Vegetation and Incision on Erosion Rates in an Urban Stream. Water 2018, 10, 482. [Google Scholar] [CrossRef]
- Zhang, Y.; Zhao, Q.; Cao, Z.; Ding, S. Inhibiting Effects of Vegetation on the Characteristics of Runoff and Sediment Yield on Riparian Slope along the Lower Yellow River. Sustainability 2019, 11, 3685. [Google Scholar] [CrossRef]
- Davis, M.M.; Mitchell, W.A.; Wakeley, J.S.; Fischenich, J.C.; Craft, M.M. Environmental Value of Riparian Vegetation; US Army Corps of Engineers, Waterways Experiment Station: Vicksburg, MS, USA, 1996. [Google Scholar]
- Salinas, M.J.; Guirado, J. Riparian Plant Restoration in Summer-dry Riverbeds of Southeastern Spain. Restor. Ecol. 2002, 10, 695–702. [Google Scholar] [CrossRef]
- Old, G.; Naden, P.; Rameshwaran, P.; Acreman, M.; Baker, S.; Edwards, F.; Sorensen, J.; Mountford, O.; Gooddy, D.; Stratford, C.; et al. Instream and Riparian Implications of Weed Cutting in a Chalk River. Ecol. Eng. 2014, 71, 290–300. [Google Scholar] [CrossRef]
- Chun, Y.M.; Lee, H.J.; Lee, C.S. Vegetation Trajectories of Korean Red Pine (Pinus densiflora Sieb. et Zucc.) Forests at Mt. Seorak, Korea. J. Plant Biol. 2006, 49, 141–152. [Google Scholar] [CrossRef]
- Lee, C.S.; Cho, Y.C.; Shin, H.C.; Moon, J.S.; Lee, B.C.; Bae, Y.S.; Byun, H.G.; Yi, H.B. Ecological Response of Streams in Korea under Different Management Regimes. Water Eng. Res. 2005, 6, 131–147. [Google Scholar]
- Foley, J.A.; Defries, R.; Asner, G.P.; Barford, C.; Bonan, G.; Carpenter, S.R.; Chapin, F.S.; Coe, M.T.; Daily, G.C.; Gibbs, H.K.; et al. Global Consequences of Land Use. Science 2005, 309, 570–574. [Google Scholar] [CrossRef] [PubMed]
- Suppula, M.; Hällfors, M.H.; Aapala, K.; Aalto, J.; Kemppainen, E.; Leikola, N.; Pirinen, P.; Heikkinen, R.K. Climate and Land-Use Change Drive Population Decline in a Red-Listed Plant Species. Glob. Ecol. Conserv. 2023, 45, e02526. [Google Scholar] [CrossRef]
- Xie, H.; Sun, Q.; Song, W. Exploring the Ecological Effects of Rural Land Use Changes: A Bibliometric Overview. Land 2024, 13, 303. [Google Scholar] [CrossRef]
- Aronson, J.C.; Blatt, C.M.; Aronson, T.B. Restoring Ecosystem Health to Improve Human Health and Well-Being: Physicians and Restoration Ecologists Unite in a Common Cause. Ecol. Soc. 2016, 21. [Google Scholar] [CrossRef]
- Gann, G.D.; McDonald, T.; Walder, B.; Aronson, J.; Nelson, C.R.; Jonson, J.; Hallett, J.G.; Eisenberg, C.; Guariguata, M.R.; Liu, J.; et al. International Principles and Standards for the Practice of Ecological Restoration. Restor. Ecol. 2019, 27, S1–S46. [Google Scholar] [CrossRef]
- SERI Primer: Society for Ecological Restoration International; Science & Policy Working Group. The SER International Primer on Ecological Restoration; Society for Ecological Restoration International: Washington, DC, USA, 2004. [Google Scholar]
- Clewell, A.F.; Aronson, J. Ecological Restoration: Principles, Values, and Structure of an Emerging Profession; Island Press: Washington, DC, USA, 2013; ISBN 978-1-61091-064-4. [Google Scholar]
- Morrison, E.B.; Lindell, C.A. Active or Passive Forest Restoration? Assessing Restoration Alternatives with Avian Foraging Behavior. Restor. Ecol. 2011, 19, 170–177. [Google Scholar] [CrossRef]
- Trujillo-Miranda, A.L.; Toledo-Aceves, T.; López-Barrera, F.; Gerez-Fernández, P. Active versus Passive Restoration: Recovery of Cloud Forest Structure, Diversity and Soil Condition in Abandoned Pastures. Ecol. Eng. 2018, 117, 50–61. [Google Scholar] [CrossRef]
- Atkinson, J.; Bonser, S.P. “Active” and “Passive” Ecological Restoration Strategies in Meta-analysis. Restor. Ecol. 2020, 28, 1032–1035. [Google Scholar] [CrossRef]
- Aide, T.M.; Ruiz-Jaen, M.C.; Grau, H.R. What Is the State of Tropical Montane Cloud Forest Restoration? In Tropical Montane Cloud Forests: Science for Conservation and Management; Scatena, F.N., Bruijnzeel, L.A., Hamilton, L.S., Eds.; International Hydrology Series; Cambridge University Press: Cambridge, UK, 2011; pp. 101–110. ISBN 978-0-521-76035-5. [Google Scholar]
- Guariguata, M.R.; Ostertag, R. Neotropical Secondary Forest Succession: Changes in Structural and Functional Characteristics. For. Ecol. Manag. 2001, 148, 185–206. [Google Scholar] [CrossRef]
- Reid, J.L.; Fagan, M.E.; Zahawi, R.A. Positive Site Selection Bias in Meta-Analyses Comparing Natural Regeneration to Active Forest Restoration. Sci. Adv. 2018, 4, eaas9143. [Google Scholar] [CrossRef] [PubMed]
- Prach, K.; Šebelíková, L.; Řehounková, K.; del Moral, R. Possibilities and Limitations of Passive Restoration of Heavily Disturbed Sites. Landsc. Res. 2020, 45, 247–253. [Google Scholar] [CrossRef]
- Ellwanger, G.; Reiter, K. Nature Conservation on Decommissioned Military Training Areas—German Approaches and Experiences. J. Nat. Conserv. 2019, 49, 1–8. [Google Scholar] [CrossRef]
- Comer, P.; Platt, W.; Orzell, S. Conserving Biodiversity on Military Lands: A Guide for Natural Resources Managers, 3rd ed.; Nature Reserve and Center for Environmental Management Military Lands: Fort Collins, CO, USA, 2021. [Google Scholar]
- Kim, K. Preserving Biodiversity in Korea’s Demilitarized Zone. Science 1997, 278, 242–243. [Google Scholar] [CrossRef]
- Westing, A.H. A Korean DMZ Park for Peace and Nature: Towards a Code of Conduct. In Korean DMZ Reverting Beyond Division; Kim, C.H., Ed.; Sowha Company: Seoul, Republic of Korea, 2001; pp. 157–191. [Google Scholar]
- Sungcheon Cultural Foundation. DMZ; Hyunamsa: Seoul, Republic of Korea, 1996. [Google Scholar]
- Ministry of Environment. Comprehensive Report on Biodiversity in the DMZ Area; National Institute of Ecology: Seocheon, Republic of Korea, 2016. [Google Scholar]
- Kim, K.G. The Demilitarized Zone (DMZ) of Korea: Protection, Conservation and Restoration of a Unique Ecosystem; Springer Science and Business Media: Berlin, Germany, 2013; ISBN 3-642-38463-3. [Google Scholar]
- Kim, Y. Land of Nature, Free from Human Intrusion. Available online: https://www.kocis.go.kr/eng/webzine/201806/sub02.html (accessed on 13 June 2024).
- Healy, H. Korean Demilitarized Zone: Peace and Nature Park. In Parks Peace Partnership: Global Initiatives in Transboundary Conservation; Michael, S., Quinn, L.B., Wayne, F., Eds.; University of Calgary Press: Calgary, AB, Canada, 2007; pp. 383–410. [Google Scholar] [CrossRef]
- Choi, H.A.; Bernhard, S.; Lee, W.K. Ecological Cooperation beyond the DMZ on the Korean Peninsula: Birds Know No Man-Made Borders. Korea J. 2023, 63, 128–150. [Google Scholar] [CrossRef]
- Lee, C.; Hong, S. Landscape Ecological Perspectives in the Structure and Dynamics of Fire-Disturbed Vegetation in a Rural Landscape, Eastern Korea. In Landscape Ecology Applied in Land Evaluation, Development and Conservation; Van der Zee, D., Zonneveld, I.S., Eds.; ITC: Enschede, The Netherlands, 2001; Volume 81, pp. 81–94. [Google Scholar]
- Korean Ministry of Environment. Ecosystem Approach for the Investigation, Analysis and Impact Assessment of Demilitarized Zone of Korea; Ministry of Environment: Seoul, Republic of Korea, 2004.
- Westing, A.H. Transfrontier Reserves for Peace and Nature: A Contribution to Human Security; UNEP: Nairobi, Kenya, 1993; ISBN 92-807-1409-0. [Google Scholar]
- Kim, J.I.; Lee, O.J.; Park, H.C. Insects of Demilitarized Zone and Civilian Controlled Zone; Korean Ministry of Cultural Affairs: Seoul, Republic of Korea, 1992.
- Park, K.T. Insects of the Civilian Controlled Zone and Demilitarized Zone; Ganwon University Press: Chunchon, Republic of Korea, 1987. [Google Scholar]
- National Institute for Reunification. Fishes, Amphibians, and Reptile in the Demilitarized Zone and Civilian Controlled Zone; National Institute for Reunification: Seoul, Republic of Korea, 1989.
- Won, B.O.; Park, J.Y. Birds in the Demilitarized Zone and Its Vicinity; Hyunamsa: Seoul, Republic of Korea, 1996. [Google Scholar]
- Kim, C.H.; Park, J.K.; Kim, J.I.; Oh, J.K.; Noh, Y.T.; Shin, Y.H. Insects in the Vicinity of Demilitarized Zone; Korean Nature Protection Association: Seoul, Republic of Korea, 1974; pp. 182–257. [Google Scholar]
- Kim, K. Biota of Demilitarized Zone and Civilian Controlled Zone near Paju City; Seoul National University Press: Seoul, Republic of Korea, 2000. [Google Scholar]
- Korean Forestry Research Institute. Forest Ecosystems of Demilitarized Zone and Its Vicinity: Final Report; Korean Forestry Research Institute: Seoul, Republic of Korea, 2000. [Google Scholar]
- Korea Meteorological Administration. Climatological Normals. Available online: https://data.kma.go.kr (accessed on 8 May 2024).
- Küchler, A.; Zonneveld, I. Vegetation Mapping; Kluwer Academic Publishers: Dordrecht, The Netherlands, 1988. [Google Scholar]
- Braun-Blanquet Pflanzensoziologie; Springer: Berlin/Heidelberg, Germany, 1964.
- Ellenberg, D.; Mueller-Dombois, D. Aims and Methods of Vegetation Ecology; John Wiley & Sons: New York, NY, USA, 1974. [Google Scholar]
- Lee, T. Illustrated Flora of Korea; Hyang Moon Sa: Seoul, Republic of Korea, 1985. [Google Scholar]
- Korean Plant Names Index. Available online: http://www.nature.go.kr/main/Main.do (accessed on 8 May 2024).
- Hill, M. A FORTRAN Program for Detrended Correspondence Analysis and Reciprocal Averaging. In Ecology and Systematics; Cornell University: Ithaca, NY, USA, 1979. [Google Scholar]
- Magurran, A.E. Measuring Biological Diversity; John Wiley & Sons: Hoboken, NJ, USA, 2004. [Google Scholar]
- Kent, M.; Coker, P. Vegetation Description and Data Analysis: A Practical Approach; John Wiley & Sons: New York, NY, USA, 1992; ISBN 0-8493-7756-0. [Google Scholar]
- Shannon, C.; Weaver, W. The Mathematical Theory of Communication; University of Illinois Press: Champaign, IL, USA, 1949. [Google Scholar]
- Krummel, J.; Gardner, R.; Sugihara, G.; O’neill, R.; Coleman, P. Landscape Patterns in a Disturbed Environment. Oikos 1987, 48, 321–324. [Google Scholar] [CrossRef]
- Thies, C.; Rosoman, G.; Cotter, J.; Meaden, S. Intact Forest Landscapes. Why It Is Crucial to Protect Them from Industrial Exploitation; Greenpeace Research Laboratories (Technical Note, Bd, 5); Greenpeace International: Amsterdam, The Netherlands, 2011. [Google Scholar]
- Maekawa, M.; Nakagoshi, N. Riparian Landscape Changes over a Period of 46 Years, on the Azusa River in Central Japan. Landsc. Urban Plan. 1997, 37, 37–43. [Google Scholar] [CrossRef]
- Martin, A.J. Factors Influencing the Use of Introduced Black Locust (Robinia Pseudoacacia) for Slope Stabilization in Post-War South Korea. Trees For. People 2023, 14, 100444. [Google Scholar] [CrossRef]
- Lee, C.S.; Cho, H.J.; Yi, H. Stand Dynamics of Introduced Black Locust (Robinia Pseudoacacia L.) Plantation under Different Disturbance Regimes in Korea. For. Ecol. Manag. 2004, 189, 281–293. [Google Scholar] [CrossRef]
- Lee, C.S.; Hong, S.K.; Moon, J.S.; You, Y.H. Landscape Structure in the Greenbelt Zone around the Seoul, the Metropolis of Korea. Korean J. Ecol. 2001, 24, 385–394. [Google Scholar]
- Lim, C.H. Establishing an Ecological Network to Enhance Forest Connectivity in South Korea’s Demilitarized Zone. Land 2024, 13, 106. [Google Scholar] [CrossRef]
- Carrasco-Rueda, F.; Loiselle, B.A. Do Riparian Forest Strips in Modified Forest Landscapes Aid in Conserving Bat Diversity? Ecol. Evol. 2019, 9, 4192–4209. [Google Scholar] [CrossRef] [PubMed]
- Zhao, S.; Ma, Y.; Wang, J.; You, X. Landscape Pattern Analysis and Ecological Network Planning of Tianjin City. Urban For. Urban Green. 2019, 46, 126479. [Google Scholar] [CrossRef]
- Hidalgo, P.J.; Hernández, H.; Sánchez-Almendro, A.J.; López-Tirado, J.; Vessella, F.; Porras, R. Fragmentation and Connectivity of Island Forests in Agricultural Mediterranean Environments: A Comparative Study between the Guadalquivir Valley (Spain) and the Apulia Region (Italy). Forests 2021, 12, 1201. [Google Scholar] [CrossRef]
- Biswas, G.; Sengupta, A.; Alfaisal, F.M.; Alam, S.; Alharbi, R.S.; Jeon, B.-H. Evaluating the Effects of Landscape Fragmentation on Ecosystem Services: A Three-Decade Perspective. Ecol. Inform. 2023, 77, 102283. [Google Scholar] [CrossRef]
- Bradshaw, A. The Biology of Land Restoration. In Applied Population Biology; Springer: Dordrecht, The Netherlands, 1992; pp. 25–44. [Google Scholar]
- Lee, C.; You, Y.; Robinson, G.R. Secondary Succession and Natural Habitat Restoration in Abandoned Rice Fields of Central Korea. Restor. Ecol. 2002, 10, 306–314. [Google Scholar] [CrossRef]
- Niering, W.A. Vegetation Dynamics in Relation to Wetland Creation. In Wetland Creation and Restoration: The Status of the Science; Island Press: Covelo, CA, USA, 1990; pp. 479–486. [Google Scholar]
- Niering, W. Wetland Vegetation Change: A Dynamic Process. Wetl. J. 1994, 6, 6–15. [Google Scholar]
- Naveh, Z. From Biodiversity to Ecodiversity: A Landscape-ecology Approach to Conservation and Restoration. Restor. Ecol. 1994, 2, 180–189. [Google Scholar] [CrossRef]
- Primack, R. A Primer of Conservation Biology; Boston University: Boston, MA, USA, 1995. [Google Scholar]
- Norton, B.G. Why Preserve Natural Variety? Princeton University Press: Princeton, NJ, USA, 2014; Volume 64, ISBN 1-4008-5923-9. [Google Scholar]
- Harris, L.D. The Fragmented Forest: Island Biogeography Theory and the Preservation of Biotic Diversity; University of Chicago Press: Chicago, IL, USA, 1984; ISBN 0-226-31764-1. [Google Scholar]
- Wilcove, D.S. Habitat Fragmentation in the Temperatezone. Conserv. Biol. 1986, 237–256. [Google Scholar]
- Saunders, D.A.; Hobbs, R.J.; Margules, C.R. Biological Consequences of Ecosystem Fragmentation: A Review. Conserv. Biol. 1991, 5, 18–32. [Google Scholar] [CrossRef]
- Noss, R.F.; Cooperrider, A.Y. Saving Nature’s Legacy: Protecting and Restoring Biodiversity; Island Press: Washington, DC, USA, 1994; ISBN 1-55963-248-8. [Google Scholar]
- Lee, C.S.; Lee, A.N.; Rhim, S.J.; Lee, W.S.; Lim, J.H.; Lee, B.C.; Shin, J.H. Landscape Ecological Characteristics of DMZ and CCZ as a Background for High Biodiversity. In Proceedings of the International Symposium on DMZ, Harbin, China, 26 April 2003. [Google Scholar]
- Comer, P.J.; McIntyre, P.; Seddon, E. Assessing Vulnerability and Resilience of Major Vegetation Types of Air Force Installations in the U.S. NatureServe for the Center for Environmental Management of Military Lands; Colorado State University: Fort Collins, CO, USA, 2021. [Google Scholar]









| Landscape Element | Forest | Young Forest | Shrubland | Grassland | Paddy Field | Bare Ground | Wetland | Waters | Built-in | ||
|---|---|---|---|---|---|---|---|---|---|---|---|
| 1950s–2019 | DMZ | Forest | 31,543.1 (44.3) | 4226.5 (5.9) | 496.4 (0.7) | 1206.2 (1.7) | 550.4 (0.8) | 1008.2 (1.4) | 8.3 (0.0) | 336.6 (0.5) | 62.9 (0.1) |
| Grassland | 11,084.6 (15.6) | 4093.8 (5.7) | 333.4 (0.5) | 1396.2 (2.0) | 156.0 (0.2) | 399.8 (0.6) | 23.4 (0.0) | 262.4 (0.4) | 27.9 (0.0) | ||
| Paddy field | 5994.5 (8.4) | 2793.5 (3.9) | 56.2 (0.1) | 1021.0 (1.4) | 2318.6 (3.3) | 342.9 (0.5) | 80.0 (0.1) | 223.4 (0.3) | 264 (0.4) | ||
| Bare ground | 16.2 (0.0) | 17.5 (0.0) | - | - | 53.9 (0.1) | 11.6 (0.0) | - | 2.1 (0.0) | - | ||
| Waters | 443.5 (0.6) | 105.1 (0.1) | 1.5 (0.0) | 63.0 (0.1) | 72.5 (0.1) | 34.6 (0.0) | 8.1 (0.0) | 84.5 (0.1) | 6.2 (0.0) | ||
| CCZ | Forest | 50,353.3 (46.8) | 2408.7 (2.2) | 10.8 (0.0) | 68.5 (0.1) | 7444.1 (6.9) | 1985.6 (1.8) | 39.6 (0.0) | 349.4 (0.3) | - | |
| Grassland | 18,706.8 (17.4) | 289.7 (0.3) | - | 18.8 (0.0) | 6772.2 (6.3) | 289.8 (0.3) | 26.4 (0.0) | 554.2 (0.5) | - | ||
| Paddy field | 5249.0 (4.9) | 689.9 (0.6) | 1.0 (0.0) | 119.2 (0.1) | 8983.2 (8.4) | 232.7 (0.2) | 191.7 (0.2) | 526.2 (0.5) | 75.6 (0.1) | ||
| Wetland | 74.3 (0.1) | 4.4 (0.0) | - | 30 (0.0) | 174.2 (0.2) | 9.4 (0.0) | 139.9 (0.1) | 203.2 (0.2) | - | ||
| Waters | 391.7 (0.4) | 8.4 (0.0) | - | 36.1 (0.0) | 520.5 (0.5) | 36.6 (0.0) | 132.7 (0.1) | 360.6 (0.3) | - | ||
| Landscape Element Type | DMZ and CCZ | Rural Area | Urban Area | |||
|---|---|---|---|---|---|---|
| (ha) | % | (ha) | % | (ha) | % | |
| Secondary forest | ||||||
| Quercus mongolica Fisch. ex Ledeb. | 1219.0 | 76.6 | 3832.9 | 25.2 | 1684.3 | 37.9 |
| Betula costata Trautv. | 141.8 | 8.9 | - | - | - | - |
| Quercus aliena Blume | - | - | - | 1.2 | 0 | |
| Quercus variabilis Blume | 9.2 | 0.6 | - | - | 441.9 | 37.6 |
| Quercus acutissima Carruth. | - | - | 412.7 | 9.2 | ||
| Pinus densiflora Siebold & Zucc. | 4.4 | 0.3 | 2805.1 | 18.5 | 131.3 | 2.9 |
| Mixed forest | 87.4 | 5.5 | 4782.7 | 31.5 | - | - |
| Subtotal | 1461.8 | 91.9 | 11,420.7 | 75.2 | 2671.3 | 59.6 |
| Introduced plantation | ||||||
| Pinus rigida Mill. | - | - | 89.9 | 0.6 | 100.4 | 2.2 |
| Pinus koraiensis Siebold & Zucc. | - | - | 121.6 | 0.8 | 16.5 | 0.4 |
| Larix kaempferi (Lamb.) Carrière | - | - | 381.4 | 2.5 | 69.8 | 1.6 |
| Populus × tomentiglandulosa T.B.Lee | - | - | - | - | 22.7 | 0.5 |
| Castanea crenata Siebold & Zucc. | - | - | - | - | 169.3 | 3.8 |
| Robinia pseudoacacia L. | - | - | - | - | 439.6 | 9.8 |
| Subtotal | 0.0 | 0.0 | 595.9 | 3.9 | 818.3 | 18.3 |
| Agricultural field | ||||||
| Cropland | - | - | 2578.2 | 17.0 | 527.4 | 11.8 |
| Orchard | - | - | - | - | - | - |
| Abandoned field | 16.5 | 1.0 | - | - | - | - |
| Subtotal | 16.5 | 1.0 | 2578.2 | 17.0 | 527.4 | 11.8 |
| Riparian forest | ||||||
| Riparian forest | 112.2 | 7.1 | - | - | - | - |
| Subtotal | 112.2 | 7.1 | - | - | - | - |
| Others | ||||||
| Stream and reservoir | - | - | 601.6 | 4.0 | - | - |
| Graveyard | - | - | - | - | 11.3 | 0.3 |
| Urbanized area | - | - | - | - | 449.4 | 10.0 |
| Subtotal | 0.0 | 0.0 | 601.6 | 4.0 | 460.7 | 10.3 |
| Total | 1590.5 | 100.0 | 15,193.4 | 100.0 | 4477.7 | 100.0 |
| Districts | Landscape Shape Index | Fractal Dimension | Euclidean Nearest-Neighbor Distance |
|---|---|---|---|
| DMZ and CCZ | 7.46 | 1.15 | 424.42 |
| Rural | 17.44 | 1.10 | 178.34 |
| Urban | 15.69 | 1.11 | 250.03 |
| Landscape Element | DMZ | CCZ | ||
|---|---|---|---|---|
| Area (ha) | Percentage (%) | Area (ha) | Percentage (%) | |
| Forest | 3361.5 | 60.0 | 4041.9 | 30.3 |
| Young forest | 865.9 | 15.5 | 494.1 | 3.7 |
| Shrubland | 550.5 | 9.8 | 791.4 | 5.9 |
| Grassland | 95.1 | 1.7 | 167.7 | 1.3 |
| Paddy field | 344.6 | 6.2 | 6402.2 | 47.9 |
| Bare ground | 191.2 | 3.4 | 1000.4 | 7.5 |
| Aquatic area | 189.7 | 3.4 | 456.0 | 3.4 |
| Total | 5598.0 | 100.0 | 13,153.7 | 100.0 |
Disclaimer/Publisher’s Note: The statements, opinions and data contained in all publications are solely those of the individual author(s) and contributor(s) and not of MDPI and/or the editor(s). MDPI and/or the editor(s) disclaim responsibility for any injury to people or property resulting from any ideas, methods, instructions or products referred to in the content. |
© 2024 by the authors. Licensee MDPI, Basel, Switzerland. This article is an open access article distributed under the terms and conditions of the Creative Commons Attribution (CC BY) license (https://creativecommons.org/licenses/by/4.0/).
Share and Cite
Lim, C.H.; Kim, D.U.; Lim, B.S.; Cho, Y.C.; Shin, H.C.; Lee, C.S. Passive Restoration Achieved through Natural Processes over 70 Years in the Korean DMZ. Forests 2024, 15, 1104. https://doi.org/10.3390/f15071104
Lim CH, Kim DU, Lim BS, Cho YC, Shin HC, Lee CS. Passive Restoration Achieved through Natural Processes over 70 Years in the Korean DMZ. Forests. 2024; 15(7):1104. https://doi.org/10.3390/f15071104
Chicago/Turabian StyleLim, Chi Hong, Dong Uk Kim, Bong Soon Lim, Yong Chan Cho, Hyun Chul Shin, and Chang Seok Lee. 2024. "Passive Restoration Achieved through Natural Processes over 70 Years in the Korean DMZ" Forests 15, no. 7: 1104. https://doi.org/10.3390/f15071104
APA StyleLim, C. H., Kim, D. U., Lim, B. S., Cho, Y. C., Shin, H. C., & Lee, C. S. (2024). Passive Restoration Achieved through Natural Processes over 70 Years in the Korean DMZ. Forests, 15(7), 1104. https://doi.org/10.3390/f15071104

