Anatomical Characteristics of the Xylem of Populus euphratica at Different Groundwater Burial Depths in the Lower Tarim River (China) and Its Response to Temperature Extremes
Abstract
1. Introduction
2. Materials and Methods
2.1. Study Area
2.2. Experimental Designs
2.3. Sample Processing
2.4. Data Processing
3. Results
3.1. Intra-Annual Variation in Groundwater Depth and Temperature
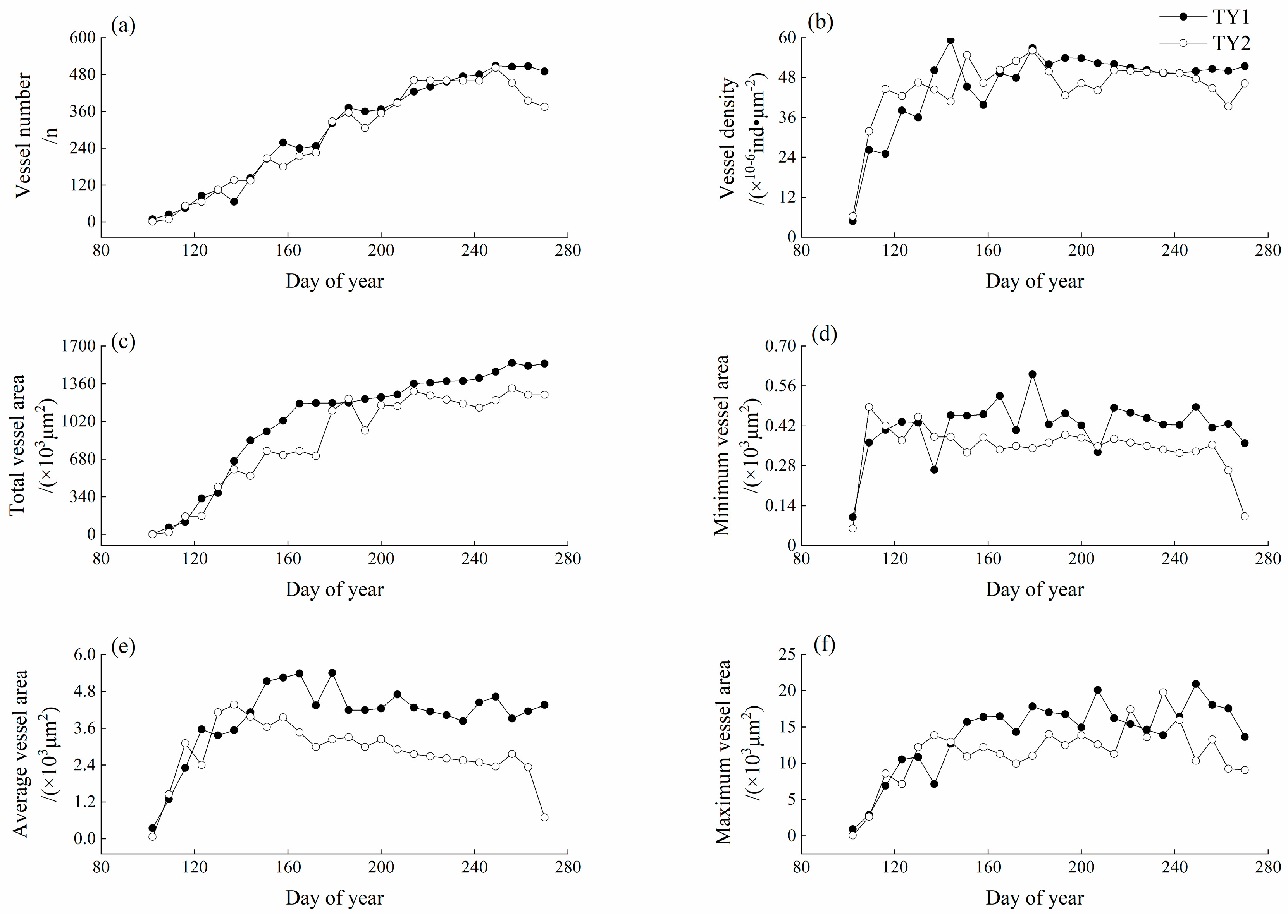
3.2. Intra-Annual Growth Changes in Xylem Anatomical Characteristics of Populus euphratica Oliv.
3.3. Anatomical Characteristics of Populus euphratica Xylem in Relation to Maximum and Minimum Air Temperatures
3.4. Relationship between the Main Components of Xylem Anatomical Parameters and Air Temperature in Populus euphratica
4. Discussions
4.1. Annual Variation in the Anatomical Characteristics of Populus euphratica Xylem
4.2. Anatomical Characteristics of Populus euphratica Xylem in Relation to Growing Season Temperatures
5. Conclusions
Supplementary Materials
Author Contributions
Funding
Institutional Review Board Statement
Informed Consent Statement
Data Availability Statement
Acknowledgments
Conflicts of Interest
References
- Bonan, G.B. Forests and climate change: Forcings, feedbacks, and the climate benefits of forests. Science 2008, 320, 1444–1449. [Google Scholar] [CrossRef] [PubMed]
- Dong, R.; Ren, X.; Gai, A.; He, H.; Zhang, L.; Li, P. Analysis of soil conservation function of typical forest ecosystems based on China Ecosystem Research Network. Acta Ecol. 2020, 40, 2310–2320. [Google Scholar]
- Piao, S.; Nan, H.; Huntingford, C.; Ciais, P.; Friedlingstein, P.; Sitch, S.; Peng, S.; Ahlström, A.; Canadell, J.G.; Cong, N.; et al. Evidence for a weakening relationship between interannual temperature variability and northern vegetation activity. Nat. Commun. 2014, 5, 5018. [Google Scholar] [CrossRef] [PubMed]
- Wei, C.; Karger, D.N.; Wilson, A.M. Spatial detection of alpine treeline ecotones in the Western United States. Remote Sens. Environ. 2020, 240, 11672. [Google Scholar] [CrossRef]
- Zhang, J.; Gou, X.; Zhao, Z.; Liu, W.; Zhang, F.; Cao, Z.; Zhou, F. Discussion on the method of making micro-core paraffin section in tree-ring ecology research. Acta Phytoecol. Sin. 2013, 37, 972–977. [Google Scholar]
- Fonti, P.; von Arx, G.; García-González, I.; Eilmann, B.; Sass-Klaassen, U.; Gärtner, H.; Eckstein, D. Studying global change through investigation of the plastic responses of xylem anatomy in tree rings. New Phytol. 2010, 185, 42–53. [Google Scholar] [CrossRef] [PubMed]
- Huang, J.; Bergeron, Y.; Zhai, L.; Denneler, B. Variation in intra-annual radial growth (xylem formation) of Picea mariana (Pinaceae) along a latitudinal gradient in western Quebec, Canada. Am. J. Bot. 2011, 98, 792–800. [Google Scholar] [CrossRef] [PubMed]
- Perez-de-Lis, G.; Rossi, S.; Vázquez-Ruiz, R.A.; Rozas, V.; García-González, I. Do changes in spring phenology affect earlywood vessels? Perspective from the xylogenesis monitoring of two sympatric ring-porous oaks. New Phytol. 2016, 209, 521–530. [Google Scholar] [CrossRef] [PubMed]
- Wimmer, R.; Grabner, M. Effects of climate on vertical resin duct density and radial growth of Norway spruce [Picea abies (L.) Karst.]. Trees 1997, 11, 271–276. [Google Scholar] [CrossRef]
- Vázquez-González, C.; López-Goldar, X.; Zas, R.; Sampedro, L. Neutral and climate-driven adaptive processes contribute to explain population variation in resin duct traits in a Mediterranean pine species. Front. Plant Sci. 2019, 10, 498012. [Google Scholar] [CrossRef]
- Yuan, Y.; Li, J. Relationship between annual ring climate increment and climateof spruce forest in western Tianshan Mountains. J. Xinjiang Univ. 1994, 4, 93–98. [Google Scholar]
- Gruber, A.; Strobl, S.; Veit, B.; Oberhuber, W. Impact of drought on the temporal dynamics of wood formation in Pinus sylvestris. Tree Physiol. 2010, 30, 490–501. [Google Scholar] [CrossRef] [PubMed]
- Cheng, R.; Liu, Z.; Feng, X.; Xiao, W. Advances in Research on the Effect of Climatic Change on Xylem Growth of Trees. Sci. Silvae Sin. 2015, 51, 147–154. [Google Scholar]
- Gričar, J.; Zupančič, M.; Čufar, K.; Koch, G.; Schmitt, U.W.E.; Oven, P. Effect of local heating and cooling on cambial activity and cell differentiation in the stem of Norway spruce (Picea abies). Ann. Bot. 2006, 97, 943–951. [Google Scholar] [CrossRef] [PubMed]
- Oladi, R.; Pourtahmasi, K.; Eckstein, D.; Bräuning, A. Seasonal dynamics of wood formation in Oriental beech (Fagus orientalis Lipsky) along an altitudinal gradient in the Hyrcanian forest, Iran. Trees 2011, 25, 425–433. [Google Scholar] [CrossRef]
- Kirdyanov, A.; Hughes, M.; Vaganov, E.; Schweingruber, F.; Silkin, P. The importance of early summer temperature and date of snow melt for tree growth in the Siberian Subarctic. Trees 2003, 17, 61–69. [Google Scholar] [CrossRef]
- Lin, J.; Huang, T.; Chen, S.; Jia, X.; Lai, F. The correlation research on Populus euphratica DBH growth in response to climatic factors and NDVI in the middle reaches of the Tarim River. Ecol. Sci. 2017, 36, 164–170. [Google Scholar]
- Xiao, S.; Xiao, H.; Si, J.; Xi, H. Characterization of daily changes in radial growth of Populus euphratica. Glacial Permafr. 2010, 32, 816–822. [Google Scholar]
- Chen, Y.; Chen, Y.; Xu, C.; Li, W. Groundwater depth affects the daily course of gas exchange parameters of Populus euphratica in arid areas. Environ. Earth Sci. 2012, 66, 433–440. [Google Scholar] [CrossRef]
- Huang, Y.; Bao, A.; Wang, S.; Wang, Y.; Duan, Y. Eco-environmental change in the lower Tarim River under the influence of intermittent water transport. Acta Geogr. Sin. 2013, 68, 1251–1262. [Google Scholar]
- Bai, Y.; Xu, H.; Zhang, Q.; Ye, M. Evaluation on ecological water requirement in the lower reaches of Tarim River based on groundwater restoration. Acta Ecol. Sin. 2015, 35, 630–640. [Google Scholar]
- Zhao, Z.; Wang, R.; Zhang, H. The ecological mechanism of natural vegetation restoration in the lower reaches of the Tarim River. Arid. Area Res. 2005, 1, 94–100. [Google Scholar]
- An, H.; Xu, H.; Ye, M.; Yu, P.; Gong, J. The relationship between Populus euphratica’s radial increment and groundwater level at the lower reach of Tarim River. J. Ecol. 2011, 31, 2053–2059. [Google Scholar]
- Buttó, V.; Millan, M.; Rossi, S.; Delagrange, S. Contrasting carbon allocation strategies of ring-porous and diffuse-porous species converge toward similar growth responses to drought. Front. Plant Sci. 2021, 12, 760859. [Google Scholar] [CrossRef] [PubMed]
- Chen, Y.; Li, W.; Xu, H.; Liu, J.; Zhang, H.; Chen, Y. Impact of groundwater level on vegetation in the lower Tarim River. J. Geogr. 2003, 04, 542–549. [Google Scholar]
- Islam, M.; Rahman, M.; Bräuning, A. Long-term wood anatomical time series of two ecologically contrasting tropical tree species reveal differential hydraulic adjustment to climatic stress. Agric. For. Meteorol. 2019, 265, 412–423. [Google Scholar] [CrossRef]
- Yuan, D.; Zhu, L.; Cherubini, P.; Li, Z.; Zhang, Y.; Wang, X. Species-specific indication of 13 tree species growth on climate warming in temperate forest community of northeast China. Ecol. Indic. 2021, 133, 108389. [Google Scholar] [CrossRef]
- Zhang, D.; Shi, F. Molecular anatomy of the conduit of Betulaceae in Heilongjiang. Plant Res. 2004, 2, 158–161+257–258. [Google Scholar]
- Chen, L.; Li, Y. Response of hydraulic characteristics of Salix psammophila and Caragana korshinskii stems to simulated rainfall changes. J. Appl. Ecol. 2018, 29, 507–514. [Google Scholar]
- Brodribb, T.J. Xylem hydraulic physiology: The functional backbone of terrestrial plant productivity. Plant Sci. 2009, 177, 245–251. [Google Scholar] [CrossRef]
- Vaganov, E.A.; Anchukaitis, K.J.; Evans, M.N. How well understood are the processes that create dendroclimatic records? A mechanistic model of the climatic control on conifer tree-ring growth dynamics. Dendroclimatol. Prog. Prospect. 2011, 11, 37–75. [Google Scholar]
- Rossi, S.; Deslauriers, A.; Griçar, J.; Seo, J.W.; Rathgeber, C.B.; Anfodillo, T.; Morin, H.; Levanic, T.; Oven, P.; Jalkanen, R. Critical temperatures for xylogenesis in conifers of cold climates. Glob. Ecol. Biogeogr. 2008, 17, 696–707. [Google Scholar] [CrossRef]
- Zheng, Q.; Zhang, G.; Zhao, B.; Wang, X. Xylem anatomical characteristics of Fraxinus mandshurica and relationship with climate in different slope positions. Chin. J. Appl. Ecol. 2021, 32, 3428–3436. [Google Scholar]
- He, Q.; Ye, M.; Pan, X.; Zhao, F.; Zhang, K. The xylem formation process of Populus euphratica and its response to hydrothermal factors in the lower reaches of Tarim River. J. Appl. Ecol. 2023, 34, 1244–1252. [Google Scholar]
- Qin, J.; Bai, H.; Zhou, Q.; Zhou, Q.; Wang, J.; Li, S.; Gan, Z.; Bao, G. Response of radial growthof Abies fargesii at different altitudes to climate change in Niubeiliang Nature Reserve. Geogr. Arid. Area 2017, 40, 147–155. [Google Scholar]
- Liu, K.; Zhang, T.; Zhang, R.; Yu, S.; Huang, L.; Jiang, S.; Hu, D. Radial growth characteristics of Picea schrenkiana trees with different stem heights and their responses to climate change in the Ili Mountains, China. Geogr. Arid. Area 2022, 45, 1010–1021. [Google Scholar]
- Barbaroux, C.; Bréda, N. Contrasting distribution and seasonal dynamics of carbohydrate reserves in stem wood of adult ring-porous sessile oak and diffuse-porous beech trees. Tree Physiol. 2002, 22, 1201–1210. [Google Scholar] [CrossRef]
- Denne, M.P. Temperature and tracheid development in Pinus sylvestris seedlings. J. Exp. Bot. 1971, 22, 362–370. [Google Scholar] [CrossRef]
- Fonti, P.; Bryukhanova, M.V.; Myglan, V.S.; Kirdyanov, A.V.; Naumova, O.V.; Vaganov, E.A. Temperature-induced responses of xylem structure of Larix sibirica (Pinaceae) from the Russian Altay. Am. J. Bot. 2013, 100, 1332–1343. [Google Scholar] [CrossRef]
- Sun, Y.; Zhang, J.; Zhou, X.; Tao, Y.; Zhang, Y. Hydraulic structure of Malus sieversii stem in degraded wild fruit forest in Ili River Valley. J. Appl. Ecol. 2020, 31, 3340–3348. [Google Scholar]
- Kastridis, A.; Kamperidou, V.; Stathis, D. Dendroclimatological Analysis of Fir (A. borisii-regis) in Greece in the frame of Climate Change Investigation. Forests 2022, 13, 879. [Google Scholar] [CrossRef]
- Campelo, F.; Nabais, C.; Gutiérrez, E.; Freitas, H.; García-González, I. Vessel features of Quercus ilex L. growing under Mediterranean climate have a better climatic signal than tree-ring width. Trees 2010, 24, 463–470. [Google Scholar] [CrossRef]
- Yuan, F.; Zhao, H.; Li, Z.; Zhu, L.; Guo, M.; Zhang, Y.; Wang, X. Response of Pinus koraiensis and Picea koraiensis spruce radial growth to climate change in Yichun. J. Ecol. 2020, 40, 1150–1160. [Google Scholar]
- Ling, H.; Zhang, P.; Xu, H.; Zhao, X. How to regenerate and protect desert riparian Populus euphratica forest in arid areas. Sci. Rep. 2015, 5, 15418. [Google Scholar] [CrossRef]
- Zolfaghar, S.; Villalobos-Vega, R.; Zeppel, M.; Eamus, D. The hydraulic architecture of Eucalyptus trees growing across a gradient of depth-to-groundwater. Funct. Plant Biol. 2015, 42, 888–898. [Google Scholar] [CrossRef] [PubMed]
- Zhou, H.; Chen, Y.; Li, W.; Chen, Y. Photosynthesis of Populus euphratica in relation to groundwater depths and high temperature in arid environment, northwest China. Photosynthetica 2010, 48, 257–268. [Google Scholar] [CrossRef]
- Oberhuber, W.; Stumböck, M.; Kofler, W. Climate-tree-growth relationships of Scots pine stands (Pinus sylvestris L.) exposed to soil dryness. Trees 1998, 13, 19–27. [Google Scholar] [CrossRef]
- Zhu, L.; Li, Z.; Wang, X. Anatomical characteristics of xylem in tree rings and its relationship with environments. Chin. J. Plant Ecol. 2017, 41, 238–251. [Google Scholar]
- Qin, L.; Shang, H.; Su, J.; Yuan, Y.; Zhang, T.; Yu, S.; Fan, Z.; Chen, F. Radial Growth of Populus euphratica Response to Climate Change at Southwest Edge of Badain Jaran Desert. Desert Oasis Meteorol. 2016, 10, 77–81. [Google Scholar]
- Vicente, E.; Didion-Gency, M.; Morcillo, L.; Morin, X.; Vilagrosa, A.; Grossiord, C. Aridity and cold temperatures drive divergent adjustments of European beech xylem anatomy, hydraulics and leaf physiological traits. Tree Physiol. 2022, 42, 1720–1735. [Google Scholar] [CrossRef]







| Site | Tree Age | DBH | Vessel Number | Vessel Density | Total Vessel | Maximum Vessel Area | Average Vessel Area | Minimum Vessel Area |
|---|---|---|---|---|---|---|---|---|
| a | cm | n | (×10−6 ind·μm−2) | (×103 μm2) | (×103 μm2) | (×103 μm2) | (×103 μm2) | |
| TY1 | 40.81 | 24.67 | 300.95 ± 172.80 | 45.81 ± 11.98 | 1032.15 ± 489.55 | 13.95 ± 4.96 | 3.97 ± 1.17 | 0.42 ± 0.09 |
| TY2 | 45.00 | 28.45 | 283.44 ± 162.59 | 45.11 ± 9.57 | 862.74 ± 435.12 | 11.45 ± 4.12 | 2.82 ± 0.99 | 0.34 ± 0.09 |
Disclaimer/Publisher’s Note: The statements, opinions and data contained in all publications are solely those of the individual author(s) and contributor(s) and not of MDPI and/or the editor(s). MDPI and/or the editor(s) disclaim responsibility for any injury to people or property resulting from any ideas, methods, instructions or products referred to in the content. |
© 2024 by the authors. Licensee MDPI, Basel, Switzerland. This article is an open access article distributed under the terms and conditions of the Creative Commons Attribution (CC BY) license (https://creativecommons.org/licenses/by/4.0/).
Share and Cite
Che, J.; Ye, M.; He, Q.; Pan, X. Anatomical Characteristics of the Xylem of Populus euphratica at Different Groundwater Burial Depths in the Lower Tarim River (China) and Its Response to Temperature Extremes. Forests 2024, 15, 1087. https://doi.org/10.3390/f15071087
Che J, Ye M, He Q, Pan X. Anatomical Characteristics of the Xylem of Populus euphratica at Different Groundwater Burial Depths in the Lower Tarim River (China) and Its Response to Temperature Extremes. Forests. 2024; 15(7):1087. https://doi.org/10.3390/f15071087
Chicago/Turabian StyleChe, Jing, Mao Ye, Qingzhi He, and Xiaoting Pan. 2024. "Anatomical Characteristics of the Xylem of Populus euphratica at Different Groundwater Burial Depths in the Lower Tarim River (China) and Its Response to Temperature Extremes" Forests 15, no. 7: 1087. https://doi.org/10.3390/f15071087
APA StyleChe, J., Ye, M., He, Q., & Pan, X. (2024). Anatomical Characteristics of the Xylem of Populus euphratica at Different Groundwater Burial Depths in the Lower Tarim River (China) and Its Response to Temperature Extremes. Forests, 15(7), 1087. https://doi.org/10.3390/f15071087
