Seed Conservation Methods According to the Prediction of Suitable Distribution of Endangered Conifer Abies nephrolepis Maxim.
Abstract
1. Introduction
2. Materials and Methods
2.1. Species Occurrence Data
2.2. Climate Variable
2.3. MaxEnt Model
2.4. Seed Collection
2.5. Determination of Morphometrics of Seeds
2.6. Seed Germination Tests
2.7. Determination of Seed Equilibrium Moisture Content
2.8. Determination of Seed Storage Behavior
2.9. Statistical Analysis
3. Results
3.1. Model Evaluation
3.2. Habitat Distribution Prediction
3.3. Seed Morphometrics
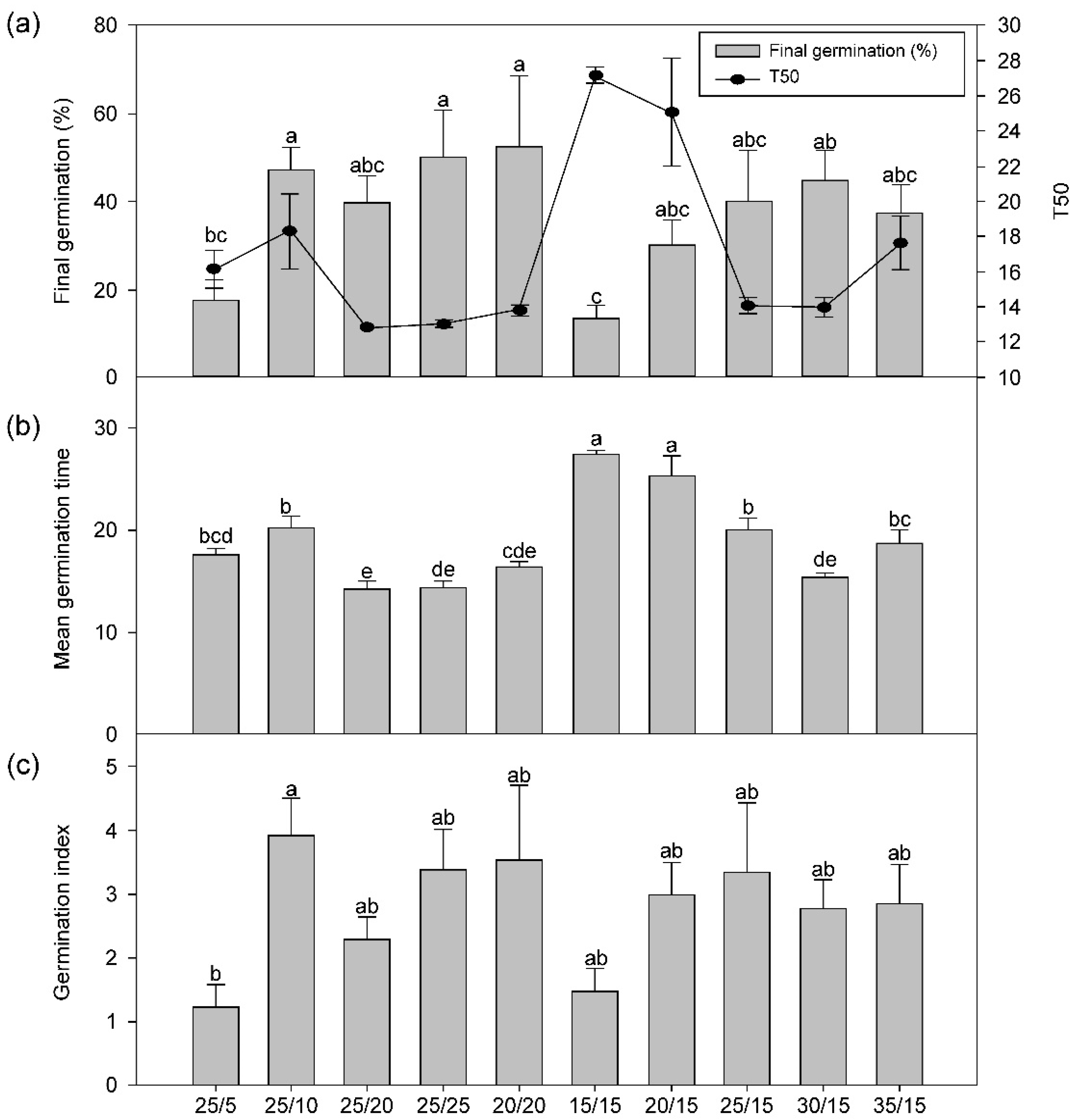
3.4. Seed Germination
3.5. Seed Equilibrium Moisture Content
3.6. Seed Storage Behavior
4. Discussion
5. Conclusions
Author Contributions
Funding
Institutional Review Board Statement
Informed Consent Statement
Data Availability Statement
Conflicts of Interest
Correction Statement
References
- Wuebbles, D.J. Climate Science Special Report: 4th US National Climate Assessment, Volume I. In World Scientific Encyclopedia of Climate Change: Case Studies of Climate Risk, Action, and Opportunity; World Scientific Publishing: Singapore, 2021; Chapter 2; pp. 213–220. [Google Scholar]
- Intergovernmental Panel on Climate Change (IPCC). Summary for Policymakers. Global Warming of 1.5 °C. Special Report on the Impacts of Global Warming of 1.5 °C Above Pre-industrial Levels and Related Global Greenhouse Gas Emission Pathways, in the Context of Strengthening the Global Response to the Threat of Climate Change, Sustainable Development, and Efforts to Eradicate Poverty; Masson-Delmotte, V., Zhai, P., Portner, H.-O., Skea, J., Shukla, P.R., Pirani, A., Eds.; United Nations Environment Programme: Nairobi, Kenya, 2018. [Google Scholar]
- Intergovernmental Panel on Climate Change (IPCC). Climate Change 2014: Synthesis Report. Contribution of Working Groups I, II And III to The Fifth Assessment Report of the Intergovernmental Panel on Climate Change; Core Writing Team, Pachauri, R.K., Meyer, L.A., Eds.; IPCC: Geneva, Switzerland, 2014; 151p. [Google Scholar]
- National Institute of Forest Science (NIFS). Endangered Alpine Coniferous Species in Korea; NIFS: Seoul, Republic of Korea, 2019. [Google Scholar]
- Farjon, A. Pinaceae. Drawings and Descriptions of the Genera Abies, Cedrus, Pseudolarix, Keteleeria, Nothotsuga, Tsuga, Cathaya, Pseudotsuga, Larix and Picea; Koeltz Scientific Books: Königstein, Germany, 1990. [Google Scholar]
- Hunt, R.S. Abies. In Flora of North America North of Mexico; Editorial Committee, Ed.; Oxford University Press: New York, NY, USA; Oxford, UK, 1993; pp. 353–362. [Google Scholar]
- Zhang, D.; Katsuki, T.; Rushforth, K. Abies nephrolepis. The IQHRWLUCN Red List of Threatened Species, Version 2014.3. 2013. Available online: https://www.iucnredlist.org/species/42292/76095986 (accessed on 13 June 2024).
- Lee, B.Y.; Nam, G.H.; Yun, J.H.; Cho, G.Y.; Lee, J.S.; Kim, J.H.; Park, T.S.; Kim, K.; Oh, K. Biological indicators to monitor responses against climate change in Korea. Korean J. Plant Taxon. 2010, 40, 202–207. [Google Scholar] [CrossRef]
- Lee, D.K.; Kim, J.U. Vulnerability assessment of sub-alpine vegetations by climate change in Korea. J. Korean Soc. Environ. Restor. Technol. 2007, 10, 110–119. [Google Scholar]
- Chun, J.H.; Lee, C.B.; Yoo, S.M. Shifts of geographic distribution of Pinus koraiensis based on climate change scenarios and GARP model. Korean J. Agric. For. Meteorol. 2015, 17, 348–357. [Google Scholar] [CrossRef][Green Version]
- Park, H.C.; Lee, J.H.; Lee, G.G.; Um, G.J. Environmental features of the distribution areas and climate sensitivity assesment of Korean Fir and Khinghan Fir. J. Environ. Impact Assess. 2015, 24, 260–277. [Google Scholar] [CrossRef]
- Yoo, S.; Lim, C.-H.; Kim, M.; Song, C.; Kim, S.J.; Lee, W.-K. Potential distribution of endangered coniferous tree species under climate change. J. Clim. Chang. Res. 2020, 11, 215–226. [Google Scholar] [CrossRef]
- Phillips, S.J.; Anderson, R.P.; Schapire, R.E. Maximum entropy modeling of species geographic distributions. Ecol. Model. 2006, 190, 231–259. [Google Scholar] [CrossRef]
- Phillips, S.J.; Dudík, M. Modeling of species distributions with Maxent: New extensions and a comprehensive evaluation. Ecography 2008, 31, 161–175. [Google Scholar] [CrossRef]
- Guerrant, E.O.; Fiedler, P.L. Accounting for sample decline during ex situ storage and reintroduction. In Ex Situ Plant Conservation: Supporting Species Survival in the Wild; Guerrant, E.O., Havens, K., Maunder, M., Eds.; Island Press: Washington, DC, USA, 2004; pp. 365–385. [Google Scholar]
- Convention on Biological Diversity. Global Strategy for Plant Conservation. Available online: https://www.cbd.int/gspc/ (accessed on 1 March 2022).
- Center for Plant Conservation. CPC Best Plant Conservation Practices to Support Species Survival in the Wild; Center for Plant Conservation: Escondido, CA, USA, 2019. [Google Scholar]
- Harrington, J.F. Seed storage and longevity. In Seed Biology: Insects, and Seed Collection, Storage, Testing, and Certification. Physiological Ecology; Kozlowski, T.T., Ed.; Academic Press: New York, NY, USA; London, UK, 1972; pp. 145–245. [Google Scholar]
- Roberts, E.H. Predicting the storage life of seeds. Seed Sci. Technol. 1973, 1, 499–514. [Google Scholar]
- Ellis, R.H.; Hong, T.D.; Roberts, E.H. An intermediate category of seed storage behaviour? I. Coffee. J. Exp. Bot. 1990, 41, 1167–1174. [Google Scholar] [CrossRef]
- WorldClim. Global Climate Data, Free Climate Data for Ecological Modeling and GIS. Available online: http://www.worldclim.org/ (accessed on 1 April 2020).
- Fick, S.E.; Hijmans, R.J. WorldClim 2: New 1-km spatial resolution climate surfaces for global land areas. Int. J. Climatol. 2017, 37, 4302–4315. [Google Scholar] [CrossRef]
- IPCC. Climate Change 2021. In The Physical Science Basis. Contribution of Working Group I to the Sixth Assessment Report of the Intergovernmental Panel on Climate Change; Masson-Delmotte, V., Zhai, P., Pirani, A., Connors, S.L., Péan, C., Berger, S., Caud, N., Chen, Y., Goldfarb, L., Gomis, M.I., et al., Eds.; Cambridge University Press: Cambridge, UK, 2021. [Google Scholar]
- Swets, J. Measuring the accuracy of diagnostic systems. Science 1988, 240, 1285–1293. [Google Scholar] [CrossRef] [PubMed]
- Hajian-Tilaki, K. Receiver operating characteristic (ROC) curve analysis for medical diagnostic test evaluation. Casp. J. Intern. Med. 2013, 4, 627. [Google Scholar]
- Merow, C.; Smith, M.J.; Silander, J.A., Jr. A Practical Guide to MaxEnt for Modeling Species’ Distributions: What It Does, and Why Inputs and Settings Matter. Ecography 2013, 36, 1058–1069. [Google Scholar] [CrossRef]
- Phillips, S.J. A Brief Tutorial on Maxent. AT&T Res. 2005, 190, 231–259. [Google Scholar]
- Ranal, M.A.; Santana, D.G. How and Why to Measure the Germination Process? Rev. Bras. Botânica Braz. J. Bot. 2006, 29, 1–11. [Google Scholar] [CrossRef]
- Gold, K.; Manger, K. Measuring Seed Moisture Status Using a Hygrometer; Technical Information Sheet_04; Royal Botanic Gardens Kew: Richmond, UK, 2008. [Google Scholar]
- Gold, K.; Hay, F. Equilibrating Seeds to Specific Moisture Levels; Technical Information Sheet_09; Royal Botanic Gardens Kew: Richmond, UK, 2014. [Google Scholar]
- International Seed Testing Association (ISTA). Chapter 5: The Germination Test, International Rules for Seed Testing, 1st ed.; The International Seed Testing Association (ISTA): Bassersdorf, Switzerland, 2006. [Google Scholar]
- Hong, T.D.; Ellis, R.H. A Protocol to Determine Seed Storage Behaviour; IPGRI Technical Bulletin No. 1; International Plant Genetic Resources Institute: Rome, Italy, 1996. [Google Scholar]
- Chau, M.M.; Chambers, T.; Weisenberger, L.; Keir, M.; Kroessig, T.I.; Wolkis, D.; Yoshinaga, A.Y. Seed freeze sensitivity and ex situ longevity of 295 species in the native Hawaiian flora. Am. J. Bot. 2019, 106, 1248–1270. [Google Scholar] [CrossRef]
- Louizos, C.; Welling, M.; Kingma, D.P. Learning sparse neural networks through L0 regularization. arXiv 2017, arXiv:1712.01312. [Google Scholar]
- Vandelook, F.; Bolle, N.; Van Assche, J.A. Seed dormancy and germination of the European Chaerophyllum temulum (Apiaceae), a member of a trans-Atlantic genus. Ann. Bot. 2007, 100, 233–239. [Google Scholar] [CrossRef] [PubMed]
- Van Dooren, T. Banking seed: Use and value in the conservation of agricultural diversity. Sci. Cult. 2009, 19, 373–395. [Google Scholar] [CrossRef]
- Lee, H.J. Effects of Pretreatments on Seed Germination of Abies koreana; Korea University Graduate School: Seoul, Republic of Korea, 2007. [Google Scholar]
- Kimball, S.; Angert, A.L.; Huxman, T.E.; Venable, D.L. Contemporary climate change in the Sonoran Desert favors cold-adapted species. Glob. Chang. Biol. 2010, 16, 1555–1565. [Google Scholar] [CrossRef]
- Baskin, J.M.; Baskin, C.C. The annual dormancy cycle in buried weed seeds: A continuum. BioScience 1985, 35, 492–498. [Google Scholar] [CrossRef]
- Kueppers, L.M.; Faist, A.; Ferrenberg, S.; Castanha, C.; Conlisk, E.; Wolf, J. Lab and field warming similarly advance germination date and limited germination rate for high and low elevation provenances of two widespread subalpine conifers. Forests 2017, 8, 433. [Google Scholar] [CrossRef]
- Lubetkin, K.C.; Westerling, A.L.-R.; Kueppers, L.M. Climate and landscape drive the pace and pattern of conifer encroachment into subalpine meadows. Ecol. Appl. 2017, 27, 1876–1887. [Google Scholar] [CrossRef] [PubMed]
- Lett, S.; Dorrepaal, E. Global drivers of tree seedling establishment at alpine treelines in a changing climate. Funct. Ecol. 2018, 32, 1666–1680. [Google Scholar] [CrossRef]
- Shen, W.; Zhang, L.; Guo, Y.; Luo, T. Causes for treeline stability under climate warming: Evidence from seeds and seedling transplant experiments in southeast Tibet. For. Ecol. Manag. 2018, 408, 45–53. [Google Scholar] [CrossRef]
- Davis, E.L.; Gedalof, Z. Limited prospects for future alpine treeline advance in the Canadian Rocky Mountains. Glob. Chang. Biol. 2018, 24, 4489–4504. [Google Scholar] [CrossRef] [PubMed]
- Giménez-Benavides, L.; Escudero, A.; García-Camacho, R.; García-Fernández, A.; Iriondo, J.M.; Lara-Romero, C.; Morente-López, J. How does climate change affect regeneration of Mediterranean high-mountain plants? An integration and synthesis of current knowledge. Plant Biol. 2018, 20, 50–62. [Google Scholar] [CrossRef] [PubMed]
- Baskin, C.C.; Baskin, J.M. Plant Regeneration from Seeds: A Global Warning Perspective; Academic Press: Cambridge, MA, USA, 2022. [Google Scholar]
- Whitehouse, K.J.; Hay, F.R.; Lusty, C. Why seed physiology is important for gene banking. Plants 2020, 9, 584. [Google Scholar] [CrossRef]








| Index | Description | Unit |
|---|---|---|
| bio01 | Annual Mean Temperature | °C |
| bio02 | Annual Mean Diurnal Range | °C |
| bio03 | Isothermality | % |
| bio04 | Temperature Seasonality | °C |
| bio04a | Temperature Seasonality | % |
| bio05 | Max Temperature of Warmest Month | °C |
| bio06 | Min Temperature of Coldest Month | °C |
| bio07 | Annual Temperature Range | °C |
| bio08 | Mean Temperature of Wettest Quarter | °C |
| bio09 | Mean Temperature of Driest Quarter | °C |
| bio10 | Mean Temperature of Warmest Quarter | °C |
| bio11 | Mean Temperature of Coldest Quarter | °C |
| bio12 | Annual Precipitation | mm |
| bio13 | Precipitation of Wettest Month | mm |
| bio14 | Precipitation of Driest Month | mm |
| bio15 | Precipitation Seasonality (CV) | % |
| bio16 | Precipitation of Wettest Quarter | mm |
| bio17 | Precipitation of Driest Quarter | mm |
| bio18 | Precipitation of Warmest Quarter | mm |
| bio19 | Precipitation of Coldest Quarter | mm |
| Environmental Variables | Percent Contribution (%) | Percent Importance (%) |
|---|---|---|
| bio01 | 97.2 | 97.8 |
| bio14 | 1.5 | 0 |
| bio12 | 0.6 | 1.2 |
| bio03 | 0.5 | 0.3 |
| bio07 | 0.1 | 0.7 |
| bio13 | 0.1 | 0 |
| Length (mm) | Width (mm) | 1000-Seed Weight (g) | E:S Ratio 1 |
|---|---|---|---|
| 6.86 ± 0.12 2 | 2.89 ± 0.05 | 10.960 ± 0.165 | 0.320 ± 0.018 |
| Germination (%) | Viability (%) | |
|---|---|---|
| Stored seeds at −20 °C | 39.0 ± 2.5 | 43.0 ± 1.0 |
| Stored seeds at 5 °C | 46.0 ± 7.4 | 52.0 ± 5.6 |
| p-value | 0.4046 | 0.1682 |
Disclaimer/Publisher’s Note: The statements, opinions and data contained in all publications are solely those of the individual author(s) and contributor(s) and not of MDPI and/or the editor(s). MDPI and/or the editor(s) disclaim responsibility for any injury to people or property resulting from any ideas, methods, instructions or products referred to in the content. |
© 2024 by the authors. Licensee MDPI, Basel, Switzerland. This article is an open access article distributed under the terms and conditions of the Creative Commons Attribution (CC BY) license (https://creativecommons.org/licenses/by/4.0/).
Share and Cite
Lee, D.H.; Park, C.Y.; Kim, J.H.; Kim, H.M.; Byeon, J.G.; Park, W.G.; Hong, S.H.; Na, C.S. Seed Conservation Methods According to the Prediction of Suitable Distribution of Endangered Conifer Abies nephrolepis Maxim. Forests 2024, 15, 1067. https://doi.org/10.3390/f15061067
Lee DH, Park CY, Kim JH, Kim HM, Byeon JG, Park WG, Hong SH, Na CS. Seed Conservation Methods According to the Prediction of Suitable Distribution of Endangered Conifer Abies nephrolepis Maxim. Forests. 2024; 15(6):1067. https://doi.org/10.3390/f15061067
Chicago/Turabian StyleLee, Da Hyun, Chung Youl Park, Jun Hyeok Kim, Hyeon Min Kim, Jun Gi Byeon, Wan Geun Park, Sun Hee Hong, and Chae Sun Na. 2024. "Seed Conservation Methods According to the Prediction of Suitable Distribution of Endangered Conifer Abies nephrolepis Maxim." Forests 15, no. 6: 1067. https://doi.org/10.3390/f15061067
APA StyleLee, D. H., Park, C. Y., Kim, J. H., Kim, H. M., Byeon, J. G., Park, W. G., Hong, S. H., & Na, C. S. (2024). Seed Conservation Methods According to the Prediction of Suitable Distribution of Endangered Conifer Abies nephrolepis Maxim. Forests, 15(6), 1067. https://doi.org/10.3390/f15061067

