Topographic Variation in Ecosystem Multifunctionality in an Old-Growth Subtropical Forest
Abstract
1. Introduction
2. Materials and Methods
2.1. Study Site and 20 hm2 Permanent Forest Plot
2.2. Topography Classification
2.3. Quantification of FM
2.4. Statistical Analyses
3. Results
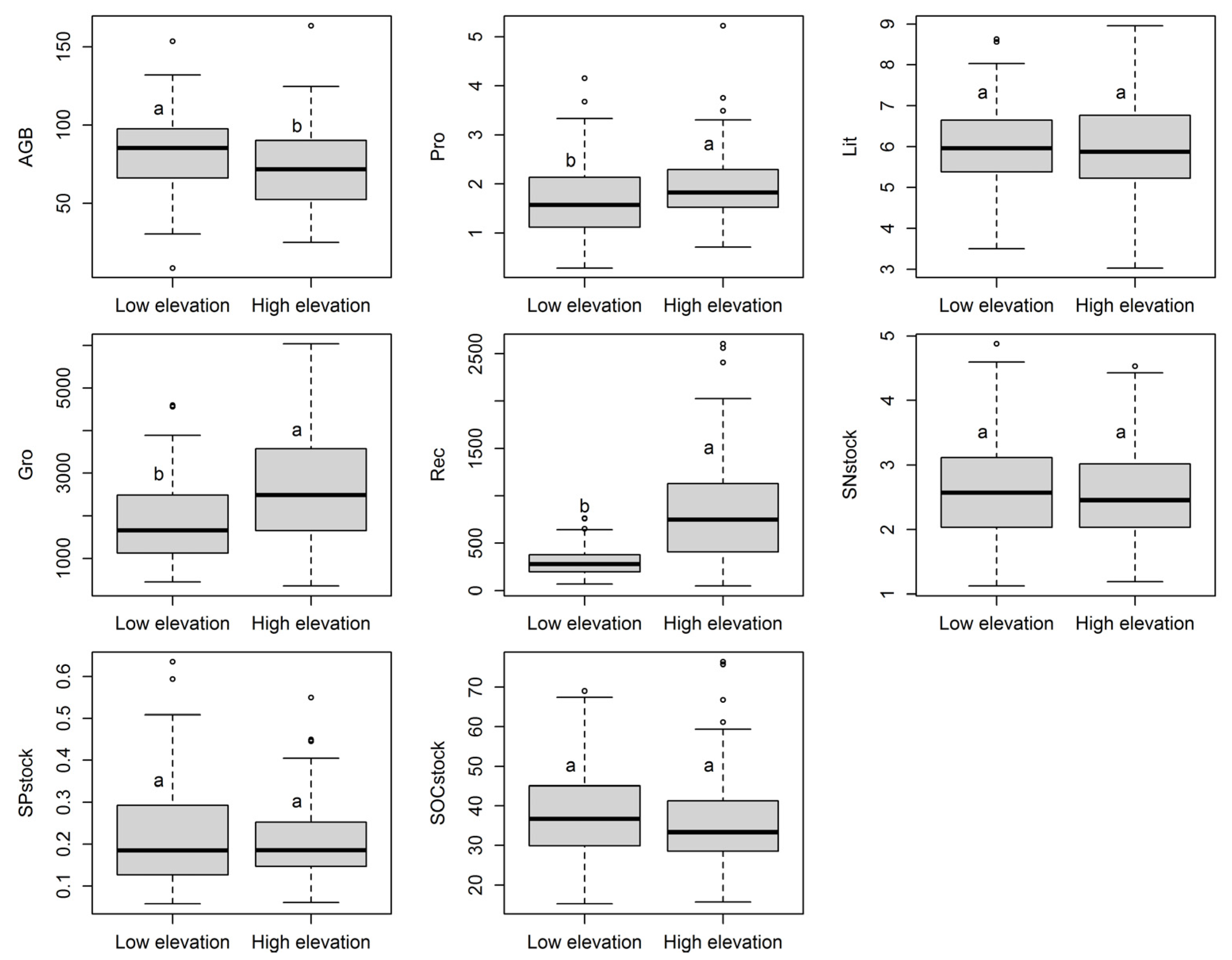
3.1. Topographic Variation in Individual Forest Functions
3.2. Topographic Variation in Forest Multifunctionality
3.3. Topographic Variation in Trade-Offs and Synergies between Functions
4. Discussion
4.1. Effects of Topography on Individual Forest Functions and Forest Multifunctionality
4.2. Effects of Topography on Trade-Offs and Synergies between Functions
5. Conclusions
Author Contributions
Funding
Data Availability Statement
Conflicts of Interest
References
- Costanza, R.; d’Arge, R.; de Groot, R.; Farber, S.; Grasso, M.; Hannon, B.; Limburg, K.; Naeem, S.; O’Neill, R.V.; Paruelo, J.; et al. The value of the world’s ecosystem services and natural capital. Nature 1997, 387, 253–260. [Google Scholar] [CrossRef]
- Manning, P.; Van Der Plas, F.; Soliveres, S.; Allan, E.; Maestre, F.T.; Mace, G.; Whittingham, M.J.; Fischer, M. Redefining ecosystem multifunctionality. Nat. Ecol. Evol. 2018, 2, 427–436. [Google Scholar] [CrossRef]
- Ratcliffe, S.; Wirth, C.; Jucker, T.; van Der Plas, F.; Scherer-Lorenzen, M.; Verheyen, K.; Allan, E.; Benavides, R.; Bruelheide, H.; Ohse, B.; et al. Biodiversity and ecosystem functioning relations in European forests depend on environmental context. Ecol. Lett. 2017, 20, 1414–1426. [Google Scholar] [CrossRef] [PubMed]
- Garland, G.; Banerjee, S.; Edlinger, A.; Oliveira, E.M.; Herzog, C.; Wittwer, R.; Philippot, L.; Maestre, F.; van der Heijden, M.G.A. A closer look at the functions behind ecosystem multifunctionality: A review. J. Ecol. 2021, 109, 600–613. [Google Scholar] [CrossRef]
- Byrnes, J.E.K.; Gamfeldt, L.; Isbell, F.; Lefcheck, J.S.; Griffin, J.N.; Hector, A.; Cardinale, B.J.; Hooper, D.U.; Dee, L.E.; Duffy, J.E. Investigating the relationship between biodiversity and ecosystem multifunctionality: Challenges and solutions. Methods Ecol. Evol. 2014, 5, 111–124. [Google Scholar] [CrossRef]
- Hector, A.; Bagchi, R. Biodiversity and ecosystem multifunctionality. Nature 2007, 448, 188–190. [Google Scholar] [CrossRef] [PubMed]
- Felipe-Lucia, M.R.; Soliveres, S.; Penone, C.; Manning, P.; van der Plas, F.; Boch, S.; Prati, D.; Ammer, C.; Schall, P.; Gossner, M.M.; et al. Multiple forest attributes underpin the supply of multiple ecosystem services. Nat. Commun. 2018, 9, 4839. [Google Scholar] [CrossRef] [PubMed]
- Jing, X.; He, J. Relationship between biodiversity, ecosystem multifunctionality and multiserviceability: Literature overview and research advances. Chin. J. Plant Ecol. 2021, 45, 1094–1111. [Google Scholar] [CrossRef]
- Meyer, V.; Saatchi, S.S.; Chave, J.; Dalling, J.W.; Fricker, G.A.; Robinson, C.; Neumann, M.; Hubbel, S. Detecting tropical forest biomass dynamics from repeated airborne lidar measurements. Biogeosciences 2013, 10, 5421–5438. [Google Scholar] [CrossRef]
- Xu, Y.; Franklin, S.B.; Wang, Q.; Shi, Z.; Luo, Y.; Lu, Z.; Zhang, J.; Qiao, X.; Jiang, M. Topographic and biotic factors determine forest biomass spatial distribution in a subtropical mountain moist forest. For. Ecol. Manag. 2015, 357, 95–103. [Google Scholar] [CrossRef]
- Jin, Y.; Russo, S.E.; Yu, M. Effects of light and topography on regeneration and coexistence of evergreen and deciduous tree species in a Chinese subtropical forest. J. Ecol. 2018, 106, 1634–1645. [Google Scholar] [CrossRef]
- Kubota, Y.; Murata, H.; Kikuzawa, K. Effects of topographic heterogeneity on tree species richness and stand dynamics in a subtropical forest in Okinawa Island, southern Japan. J. Ecol. 2004, 92, 230–240. [Google Scholar] [CrossRef]
- Jucker, T.; Bongalov, B.; Burslem, D.F.R.P.; Nilus, R.; Dalponte, M.; Lewis, S.L.; Phillips, O.L.; Qie, L.; Coomes, D.A. Topography shapes the structure, composition and function of tropical forest landscapes. Ecol. Lett. 2018, 21, 989–1000. [Google Scholar] [CrossRef] [PubMed]
- Zhang, Z.; Ma, Z.; Liu, H.; Zeng, Z.; Xie, Y.; Fang, X.; Wang, X. Topographic distribution patterns of forest gap within an evergreen broad-leaved forest in Tiantong region of Zhejiang Province, eastern China. Chin. J. Appl. Ecol. 2013, 24, 621–625. [Google Scholar]
- Wang, J.; Xu, H.; Li, Y.; Zhou, Z.; Lin, M.; Luo, T.; Chen, D. Effects of topographic heterogeneity on community structure and diversity of woody plants in Jianfengling tropical montane rainforest. Sci. Silvae Sin. 2018, 54, 1–11. [Google Scholar] [CrossRef]
- Van der Plas, F.; Ratcliffe, S.; Ruiz-Benito, P.; Scherer-Lorenzen, M.; Verheyen, K.; Wirth, C.; Zavala, M.A.; Ampoorter, E.; Baeten, L.; Barbaro, L.; et al. Continental mapping of forest ecosystem functions reveals a high but unrealised potential for forest multifunctionality. Ecol. Lett. 2018, 21, 31–42. [Google Scholar] [CrossRef] [PubMed]
- Vinebrooke, R.D.; Cottingham, K.L.; Norberg, J.; Scheffer, M.; Dodson, S.; Maberly, S.; Sommer, U. Impacts of multiple stressors on biodiversity and ecosystem functioning: The role of species co-tolerance. Oikos 2004, 104, 451–457. [Google Scholar] [CrossRef]
- Zavaleta, E.S.; Pasari, J.R.; Hulvey, K.B.; Tilman, G.D. Sustaining multiple ecosystem functions in grassland communities requires higher biodiversity. Proc. Natl. Acad. Sci. USA 2010, 107, 1443–1446. [Google Scholar] [CrossRef]
- Dai, E.; Wang, X.; Zhu, J.; Gao, J. Progress and perspective on ecosystem services trade-offs. Adv. Earth Sci. 2015, 30, 1250–1259. [Google Scholar] [CrossRef]
- Markesteijn, L. Drought Tolerance of Tropical Tree Species: Functional Traits, Trade-Offs and Species Distribution. Ph.D. Thesis, Wageningen University, Wageningen, The Netherlands, 2010. [Google Scholar]
- Powers, B.F.; Ausseil, A.G.; Perry, G.L.W. Ecosystem service management and spatial prioritisation in a multifunctional landscape in the Bay of Plenty, New Zealand. Australas. J. Environ. Manag. 2020, 27, 275–293. [Google Scholar] [CrossRef]
- Zhang, J. Quantification of Tradeoffs on Forest Ecosystem Services in MOUNT FUNIU REGION. Ph.D. Thesis, Henan University, Zhengzhou, China, 2019. [Google Scholar] [CrossRef]
- Song, Y.; Chen, X.; Wang, X. Studies on evergreen broad-leaved forests of China: A retrospect and prospect. J. East China Norm. Univ. Nat. Sci. 2005, 1, 1–8. [Google Scholar] [CrossRef]
- Ouyang, S.; Xiang, W.; Gou, M.; Chen, L.; Lei, P.; Xiao, W.; Deng, X.; Zeng, L.; Li, J.; Zhang, T.; et al. Stability in subtropical forests: The role of tree species diversity, stand structure, environmental and socio-economic conditions. Glob. Ecol. Biogeogr. 2021, 30, 500–513. [Google Scholar] [CrossRef]
- Melillo, J.M.; McGuire, A.D.; Kicklighter, D.W.; Moore, B.; Vorosmarty, C.J.; Schloss, A.L. Global climate change and terrestrial net primary production. Nature 1993, 363, 234–240. [Google Scholar] [CrossRef]
- Yu, G.; Chen, Z.; Piao, S.; Peng, C.; Ciais, P.; Wang, Q.; Li, X.; Zhu, X. High carbon dioxide uptake by subtropical forest ecosystems in the East Asian monsoon region. Proc. Natl. Acad. Sci. USA 2014, 111, 4910–4915. [Google Scholar] [CrossRef] [PubMed]
- Zhang, Y.; Cristiano, P.M.; Zhang, Y.F.; Campanello, P.I.; Tan, Z.H.; Zhang, Y.P.; Cao, K.F.; Goldstein, G. Carbon Economy of Subtropical Forests. In Tropical Tree Physiology; Springer: Cham, Switzerland, 2016; pp. 337–355. [Google Scholar] [CrossRef]
- Fan, D.; Hu, W.; Li, B.; Morris, A.B.; Zheng, M.; Soltis, D.E.; Soltis, P.S.; Zhang, Z. Idiosyncratic responses of evergreen broad-leaved forest constituents in China to the late Quaternary climate changes. Sci. Rep. 2016, 6, 31044. [Google Scholar] [CrossRef] [PubMed]
- Yang, Q.; Shen, G.; Liu, H.; Wang, Z.; Ma, Z.; Fang, X.; Zhang, J.; Wang, X. Detangling the effects of environmental filtering and dispersal limitation on aggregated distributions of tree and shrub species: Life stage matters. PLoS ONE 2016, 11, e0156326. [Google Scholar] [CrossRef] [PubMed]
- Song, Y.Q.; Wang, X.R. Vegetation and Flora of Tiang Tong National Forest Park, Zhejiang Province, China; Shanghai Science and Technical Literature Press: Shanghai, China, 1995. [Google Scholar]
- Yang, Q.; Ma, Z.; Xie, Y.; Zhang, Z.; Wang, Z.; Liu, H.; Li, P.; Zhang, N.; Wang, D.; Yang, H.; et al. Community structure and species composition of an evergreen broadleaved forest in Tiantong’s 20 ha dynamic plot, Zhejiang Province, eastern China. Biodivers. Sci. 2011, 19, 215–223. [Google Scholar] [CrossRef]
- Condit, R. Tropical Forest Census Plots: Methods and Results from Barro Colorado Island, Panama and a Comparison with Other Plots; Springer Science & Business Media: Dordrecht, The Netherlands, 1998. [Google Scholar]
- Wang, J.; Liu, H.; Yang, Q.; Shen, G.; Zhu, X.; Xu, Y.; Wang, X. Topography and structural diversity regulate ecosystem multifunctionality in a subtropical evergreen broadleaved forest. Front. For. Glob. Chang. 2023, 6, 1309660. [Google Scholar] [CrossRef]
- Harms, K.E.; Condit, R.; Hubbell, S.P.; Foster, R.B. Habitat associations of trees and shrubs in a 50-ha neotropical forest plot. J. Ecol. 2001, 89, 947–959. [Google Scholar] [CrossRef]
- Lai, J.; Mi, X.; Ren, H.; Ma, K. Species-habitat associations change in a subtropical forest of China. J. Veg. Sci. 2009, 20, 415–423. [Google Scholar] [CrossRef]
- Xie, Y.; Ma, Z.; Yang, Q.; Fang, X.; Zhang, Z.; Yan, E.; Wang, X. Coexistence mechanisms of evergreen and deciduous trees based on topographic factors in Tiantong region, Zhejiang Province, eastern China. Biodivers. Sci. 2012, 20, 159–167. [Google Scholar] [CrossRef]
- Li, S.; Huang, X.; Lang, X.; Shen, J.; Xu, F.; Su, J. Cumulative effects of multiple biodiversity attributes and abiotic factors on ecosystem multifunctionality in the Jinsha River valley of southwestern China. For. Ecol. Manag. 2020, 472, 118281. [Google Scholar] [CrossRef]
- Chave, J.; Réjou-Méchain, M.; Búrquez, A.; Chidumayo, E.; Colgan, M.S.; Delitti, W.B.; Duque, A.; Eid, T.; Fearnside, P.M.; Goodman, R.C.; et al. Improved allometric models to estimate the aboveground biomass of tropical trees. Glob. Chang. Biol. 2014, 20, 3177–3190. [Google Scholar] [CrossRef] [PubMed]
- Ali, A. The Forest Strata-Dependent Relationships among Environment, Biodiversity and Aboveground Biomass in a Subtropical Forest in Tiantong, Zhejiang Province. Ph.D. Thesis, East China Normal University, Shanghai, China, 2017. [Google Scholar]
- Ali, A.; Chen, H.Y.; You, W.H.; Yan, E.R. Multiple abiotic and biotic drivers of aboveground biomass shift with forest stratum. For. Ecol. Manag. 2019, 436, 1–10. [Google Scholar] [CrossRef]
- Ren, S.Y. Responses of Plant Diversity-Productivity Relationship to Canopy Gap Disturbance in Tiantong Evergreen Broad-Leaved Forest. Ph.D. Thesis, East China Normal University, Shanghai, China, 2021. [Google Scholar] [CrossRef]
- Ren, S.; Yang, Q.; Liu, H.; Shen, G.; Zheng, Z.; Zhou, S.; Liang, M.; Yin, H.; Zhou, Z.; Wang, X. The driving factors of subtropical mature forest productivity: Stand structure matters. Forests 2021, 12, 998. [Google Scholar] [CrossRef]
- Wang, Z.H. The Temporal and Spatial Distribution Characteristics of Litter Production in an Evergreen Broad-Leaved Forest in Tiantong, Zhejiang Province, Eastern China. Master’s Thesis, East China Normal University, Shanghai, China, 2013. [Google Scholar]
- Condit, R.; Ashton, P.S.; Manokaran, N.; LaFrankie, J.V.; Hubbell, S.P.; Foster, R.B. Dynamics of the forest communities at Pasoh and Barro Colorado: Comparing two 50-ha plots. Philos. Trans. R. Soc. B-Biol. Sci. 1999, 354, 1739–1748. [Google Scholar] [CrossRef] [PubMed]
- Bin, Y.; Spence, J.; Wu, L.; Li, B.; Hao, Z.; Ye, W.; He, F. Species-habitat associations and demographic rates of forest trees. Ecography 2016, 39, 9–16. [Google Scholar] [CrossRef]
- Guo, L.B.; Gifford, R.M. Soil carbon stocks and land use change: A meta analysis. Glob. Change Biol. 2002, 8, 345–360. [Google Scholar] [CrossRef]
- Li, S.; Su, J.; Liu, W.; Lang, X.; Huang, X.; Jia, C.; Zhang, Z.; Tong, Q. Changes in biomass carbon and soil organic carbon stocks following the conversion from a secondary coniferous forest to a pine plantation. PLoS ONE 2015, 10, e0135946. [Google Scholar] [CrossRef]
- Bleam, W.F. Soil and Environmental Chemistry; Academic Press: Pittsburgh, PA, America, 2016. [Google Scholar]
- Mann, L.K. Changes in soil carbon storage after cultivation. Soil Sci. 1986, 142, 279–288. [Google Scholar] [CrossRef]
- Tuo, B.; Tian, W.B.; Guo, C.; Xu, M.S.; Zheng, L.; Su, T.; Liu, X.; Yan, E. Latitudinal variation in soil carbon, nitrogen and phosphorus pools across island forests and shrublands in eastern China. Chin. J. Appl. Ecol. 2019, 30, 2631–2638. [Google Scholar] [CrossRef]
- John, R.; Dalling, J.W.; Harms, K.E.; Yavitt, J.B.; Stallard, R.F.; Mirabello, M.; Hubbell, S.P.; Valencia, R.; Navarrete, H.; Vallejo, M.; et al. Soil nutrients influence spatial distributions of tropical tree species. Proc. Natl. Acad. Sci. USA 2007, 104, 864–869. [Google Scholar] [CrossRef] [PubMed]
- Bao, S.D. Agricultural and Chemistry Analysis of Soil; China Agriculture Press: Beijing, China, 2000. [Google Scholar]
- Lu, R.K. Analytical Methods of Soil Agrochemistry; China Agricultural Science and Technology Press: Beijing, China, 2000. [Google Scholar]
- Hölting, L.; Beckmann, M.; Volk, M.; Cord, A.F. Multifunctionality assessments-more than assessing multiple ecosystem functions and services? A quantitative literature review. Ecol. Indic. 2019, 103, 226–235. [Google Scholar] [CrossRef]
- Jing, X.; Sanders, N.J.; Shi, Y.; Chu, H.; Classen, A.T.; Zhao, K.; Chen, L.T.; Shi, Y.; Jiang, Y.X.; He, J.S. The links between ecosystem multifunctionality and above-and belowground biodiversity are mediated by climate. Nat. Commun. 2015, 6, 8159. [Google Scholar] [CrossRef]
- Xu, W.; Ma, Z.; Jing, X.; He, J. Biodiversity and ecosystem multifunctionality: Advances and perspectives. Biodivers. Sci. 2016, 24, 55–71. [Google Scholar] [CrossRef]
- Schuldt, A.; Assmann, T.; Brezzi, M.; Buscot, F.; Eichenberg, D.; Gutknecht, J.; Härdtle, W.; He, J.; Klein, A.M.; Kühn, P.; et al. Biodiversity across trophic levels drives multifunctionality in highly diverse forests. Nat. Commun. 2018, 9, 2989. [Google Scholar] [CrossRef]
- Maestre, F.T.; Castillo-Monroy, A.P.; Bowker, M.A.; Ochoa-Hueso, R. Species richness effects on ecosystem multifunctionality depend on evenness, composition and spatial pattern. J. Ecol. 2012, 100, 317–330. [Google Scholar] [CrossRef]
- Gamfeldt, L.; Hillebrand, H.; Jonsson, P.R. Multiple functions increase the importance of biodiversity for overall ecosystem functioning. Ecology 2008, 89, 1223–1231. [Google Scholar] [CrossRef]
- Gamfeldt, L.; Roger, F. Revisiting the biodiversity-ecosystem multifunctionality relationship. Nat. Ecol. Evol. 2017, 1, 0168. [Google Scholar] [CrossRef]
- R Development Core Team. R Version 3.6.0; R Foundation for Statistical Computing: Vienna, Austria, 2019. [Google Scholar]
- Jennrich, R.I. An asymptotic χ2 test for the equality of two correlation matrices. J. Am. Stat. Assoc. 1970, 65, 904–912. [Google Scholar] [CrossRef]
- Diedenhofen, B.; Musch, J. cocor: A comprehensive solution for the statistical comparison of correlations. PLoS ONE 2015, 10, e0121945. [Google Scholar] [CrossRef]
- Yu, K.; Chen, D.; Xie, H.; Wan, X.; Wu, Y. Characters of typhoon affected Ningbo City and preventive measures. China Water Resour. 2017, 11, 11–13. [Google Scholar]
- Chen, Z.; Hsieh, C.; Jiang, F.; Hsieh, T.; Sun, I. Relations of soil properties to topography and vegetation in a subtropical rain forest in southern Taiwan. Plant Ecol. 1997, 132, 229–241. [Google Scholar] [CrossRef]
- Zhu, J.; Liu, S. Ecological Research on Forest Disturbances; China Forestry Publishing House: Beijing, China, 2007. [Google Scholar]
- Girardin, C.A.J.; Farfan-Rios, W.; Garcia, K.; Feeley, K.J.; Jørgensen, P.M.; Murakami, A.A.; Pérez, L.C.; Seidel, R.; Paniagua, N.; Claros, A.F.F.; et al. Spatial patterns of above-ground structure, biomass and composition in a network of six Andean elevation transect. Plant Ecol. Divers. 2014, 7, 161–171. [Google Scholar] [CrossRef]
- Ediriweera, S.; Singhakumara, B.M.P.; Ashton, M.S. Variation in canopy structure, light and soil nutrition across elevation of a Sri Lankan tropical rain forest. For. Ecol. Manag. 2008, 256, 1339–1349. [Google Scholar] [CrossRef]
- Liu, H.; Ma, J.; Yang, Q.; Fang, X.; Lin, K.; Zong, Y.; Ar-dak, A.; Wang, X. Relationships between established seedling survival and growth in ever-green broad-leaved forest in Tiantong. Biodivers. Sci. 2017, 25, 11–22. [Google Scholar] [CrossRef][Green Version]
- Bellingham, P.J.; Tanner, E.V.J. The influence of topography on tree growth, mortality, and recruitment in a tropical montane forest. Biotropica 2000, 32, 378–384. [Google Scholar] [CrossRef]
- Fei, X.Y. Study on Factors Affecting the Stem Growth in an Evergreen Broadleaved Forest in Zhejiang Tiantong. Master’s Thesis, East China Normal University, Shanghai, China, 2016. [Google Scholar]
- Aerts, R.; Chapin, F.S., III. The Mineral Nutrition of Wild Plants Revisited: A Re-Evaluation of Processes and Patterns. Adv. Ecol. Res. 1999, 30, 1–67. [Google Scholar] [CrossRef]
- Cornwell, W.K.; Cornelissen, J.H.C.; Amatangelo, K.; Dorrepaal, E.; Eviner, V.T.; Godoy, O.; Hobbie, S.E.; Hoorens, B.; Kurokawa, H.; Perez-Harguindeguy, N.; et al. Plant species traits are the predominant control on litter decomposition rates within biomes worldwide. Ecol. Lett. 2008, 11, 1065–1071. [Google Scholar] [CrossRef]
- Yang, Y.; Luo, Y.; Finzi, A.C. Carbon and nitrogen dynamics during forest stand development: A global synthesis. New Phytol. 2011, 190, 977–989. [Google Scholar] [CrossRef]
- Lu, N.; Fu, B.; Jin, T.; Chang, R. Trade-off analyses of multiple ecosystem services by plantations along a precipitation gradient across Loess Plateau landscapes. Landsc. Ecol. 2014, 29, 1697–1708. [Google Scholar] [CrossRef]
- Mokany, K.; Raison, R.J.; Prokushkin, A.S. Critical analysis of root: Shoot ratios in terrestrial biomes. Glob. Chang. Biol. 2006, 12, 84–96. [Google Scholar] [CrossRef]
- Gewin, V. Food: An underground revolution. Nat. News 2010, 466, 552–553. [Google Scholar] [CrossRef]
- Zhang, C.; Qian, W.; Song, L.; Zhao, Q. Growth patterns and environmental adaptions of the tree species planted for ecological remediation in typhoon-disturbed areas-A case study in Zhuhai, China. Front. Sustain. Cities 2022, 4, 1064525. [Google Scholar] [CrossRef]
- Wang, J. Spatial Variation Pattern and Drivers of Multifunctionality of Subtropical Forests in Tiantong, Zhejiang. Ph.D. Thesis, East China Normal University, Shanghai, China, 2023. [Google Scholar] [CrossRef]
- Sanaei, A.; Ali, A.; Yuan, Z.; Liu, S.; Lin, F.; Fang, S.; Ye, J.; Hao, Z.Q.; Loreau, M.; Bai, E.D.; et al. Context-dependency of tree species diversity, trait composition and stand structural attributes regulate temperate forest multifunctionality. Sci. Total Environ. 2023, 757, 143724. [Google Scholar] [CrossRef]
- Queenborough, S.A.; Burslem, D.F.R.P.; Garwood, N.C.; Valencia, R. Habitat niche partitioning by 16 species of Myristicaceae in Amazonian Ecuador. Plant Ecol. 2007, 192, 193–207. [Google Scholar] [CrossRef]
- Punchi-Manage, R.; Getzin, S.; Wiegand, T.; Kanagaraj, R.; Gunatilleke, C.V.S.; Gunatilleke, I.A.U.N.; Wiegand, K.; Huth, A. Effects of topography on structuring local species assemblages in a Sri Lankan mixed dipterocarp forest. J. Ecol. 2013, 101, 149–160. [Google Scholar] [CrossRef]








| Forest Functions | Mean Value | Maximum Value | Minimum Value | Coefficient of Variance |
|---|---|---|---|---|
| AGB (Mg/hm2) | 79.22 | 163.38 | 8.70 | 0.32 |
| Pro (Mg/hm2) | 1.82 | 5.22 | 0.29 | 0.43 |
| Lit (Mg/hm2) | 6.00 | 9.92 | 3.03 | 0.19 |
| Gro (cm2/hm2) | 2180.32 | 6040.16 | 350.55 | 0.53 |
| Rec (stems/hm2) | 545.72 | 2605 | 50 | 0.90 |
| SNstock (Mg/hm2) | 2.59 | 4.88 | 1.12 | 0.30 |
| SPstock (Mg/hm2) | 0.22 | 0.63 | 0.06 | 0.54 |
| SOCstock (Mg/hm2) | 37.16 | 76.42 | 15.15 | 0.33 |
Disclaimer/Publisher’s Note: The statements, opinions and data contained in all publications are solely those of the individual author(s) and contributor(s) and not of MDPI and/or the editor(s). MDPI and/or the editor(s) disclaim responsibility for any injury to people or property resulting from any ideas, methods, instructions or products referred to in the content. |
© 2024 by the authors. Licensee MDPI, Basel, Switzerland. This article is an open access article distributed under the terms and conditions of the Creative Commons Attribution (CC BY) license (https://creativecommons.org/licenses/by/4.0/).
Share and Cite
Wang, J.; Xu, H.; Yang, Q.; Li, Y.; Ji, M.; Li, Y.; Chang, Z.; Qin, Y.; Yu, Q.; Wang, X. Topographic Variation in Ecosystem Multifunctionality in an Old-Growth Subtropical Forest. Forests 2024, 15, 1032. https://doi.org/10.3390/f15061032
Wang J, Xu H, Yang Q, Li Y, Ji M, Li Y, Chang Z, Qin Y, Yu Q, Wang X. Topographic Variation in Ecosystem Multifunctionality in an Old-Growth Subtropical Forest. Forests. 2024; 15(6):1032. https://doi.org/10.3390/f15061032
Chicago/Turabian StyleWang, Jiaming, Han Xu, Qingsong Yang, Yuying Li, Mingfei Ji, Yepu Li, Zhongbing Chang, Yangyi Qin, Qiushi Yu, and Xihua Wang. 2024. "Topographic Variation in Ecosystem Multifunctionality in an Old-Growth Subtropical Forest" Forests 15, no. 6: 1032. https://doi.org/10.3390/f15061032
APA StyleWang, J., Xu, H., Yang, Q., Li, Y., Ji, M., Li, Y., Chang, Z., Qin, Y., Yu, Q., & Wang, X. (2024). Topographic Variation in Ecosystem Multifunctionality in an Old-Growth Subtropical Forest. Forests, 15(6), 1032. https://doi.org/10.3390/f15061032

