Growth, Physiological, and Transcriptome Analyses Reveal Mongolian Oak Seedling Responses to Shading
Abstract
1. Introduction
2. Materials and Methods
2.1. Overview of the Experimental Site
2.2. Experimental Design
2.3. Determination of Seedling Growth Morphology and Physiological Indicators
2.4. Transcriptomic Analysis
2.5. Quantitative Reverse-Transcription Polymerase Chain Reaction (qRT-PCR) Analysis
2.6. Data Analyses
3. Results
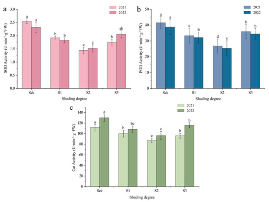
3.1. Growth and Physiological Response of Mongolian Oak Seedlings to Shading
3.2. Analysis of DEGs
3.3. Trend Analysis of DEGs
3.4. Enrichment Analysis of DEGs
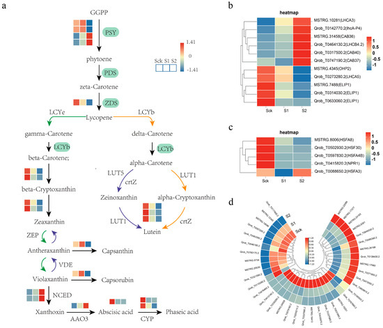
3.5. Analysis of DEGs Related to Photosynthesis
3.6. Analysis of DEGs Related to Antioxidant Enzymes
3.7. Validation of qRT-PCR Results
4. Discussion
5. Conclusions
Supplementary Materials
Author Contributions
Funding
Data Availability Statement
Acknowledgments
Conflicts of Interest
References
- Chen, K.; Zhang, H.; Lei, X. Spatial pattern of Quercus mongolica in natural secondary forest. Acta Ecol. Sin. 2018, 38, 3462–3470. [Google Scholar]
- Xu, X.H.; Yang, B.S.; Wang, H.; Cao, Y.A.; Li, K.; Gao, S.W. Temperature sensitivity of soil heterotrophic respiration is altered by carbon substrate along the development of Quercus mongolica forest in northeast China. Appl. Soil Ecol. 2019, 133, 52–61. [Google Scholar] [CrossRef]
- Sun, J.J.; Zhou, T.; Zhang, R.T.; Jia, Y.; Zhao, Y.M.; Yang, J.; Zhao, G.F. Comparative transcriptomes and development of expressed sequence tag-simple sequence repeat markers for two closely related oak species. J. Syst. Evol. 2019, 57, 440–450. [Google Scholar] [CrossRef]
- Xiu-Qin, W.; Wei-Dong, H. Effects of weak light on the ultrastructural variations of phloemtissues in source leaves of three-year-old nectarine trees (Prunus persica L. var. nectarina Ait.). Acta. Bot. Sin. 2003, 45, 688–697. [Google Scholar]
- Muller, P.; Li, X.P.; Niyogi, K.K. Non-photochemical quenching. A response to excess light energy. Plant Physiol. 2001, 125, 1558–1566. [Google Scholar] [CrossRef]
- Wei, S.Q.; Chen, H.G.; Liu, S.N.; Mo, D.Y. Effect of Shade on Growth and Physiology of Ormosia henryi Seedlings. J. Beihua Univ. Nat. Sci. 2023, 24, 513–521. [Google Scholar]
- Zhang, S.; Zuo, L.H.; Zhang, J.; Chen, P.F.; Wang, J.M.; Yang, M.S. Transcriptome analysis of Ulmus pumila ‘Jinye’ responses to different shading involved in chlorophyll metabolism. Tree Genet. Genomes 2017, 13, 1–6. [Google Scholar] [CrossRef]
- Zhang, L.; Zhang, J.L.; Jiao, Z.Y.; Hao, R.M. Diurnal photosynthetic changes of three Ilex species under different light circumstances. Acta Bot. Boreali-Occident. Sin. 2006, 3, 490–495. [Google Scholar]
- DaCosta, M.; Huang, B. Changes in antioxidant enzyme activities and lipid peroxidation for bentgrass species in response to drought stress. J. Am. Soc. Hortic. Sci. 2007, 132, 319–326. [Google Scholar] [CrossRef]
- Holmes, J.J.; Weger, H.G.; Turpin, D.H. Chlorophyll a fluorescence predicts total photosynthetic electron flow to CO2 or NO3−/NO2− under transient conditions. Plant Physiol. 1989, 91, 331–337. [Google Scholar] [CrossRef]
- Nayyar, H. Accumulation of osmolytes and osmotic adjustment in water-stressed wheat (Triticum aestivum) and maize (Zea mays) as affected by calcium and its antagonists. Environ. Exp. Bot. 2003, 50, 253–264. [Google Scholar] [CrossRef]
- Shukla, N.; Awasthi, R.P.; Rawat, L.; Kumar, J. Biochemical and physiological responses of rice (Oryza sativa L.) as influenced by Trichoderma harzianum under drought stress. Plant Physiol. Bioch. 2012, 54, 78–88. [Google Scholar] [CrossRef] [PubMed]
- Bradford, M.M. A rapid and sensitive method for the quantitation of microgram quantities of protein utilizing the principle of protein-dye binding. Anal. Biochem. 1976, 72, 248–254. [Google Scholar] [CrossRef] [PubMed]
- Jan, B.; Roel, M. An improved colorimetric method to quantify sugar content of plant tissue. J. Exp. Bot. 1993, 10, 1627–1629. [Google Scholar]
- Xu, C.; Li, Z.; Wang, J. Linking heat and adaptive responses across temporal proteo-transcriptome and physiological traits of Solidago canadensis. Environ. Exp. Bot. 2020, 175, 104035. [Google Scholar] [CrossRef]
- Zhang, L.; Zhang, Z.J.; Fang, S.Z.; Liu, Y.; Shang, X.L. Integrative analysis of metabolome and transcriptome reveals molecular regulatory mechanism of flavonoid biosynthesis in Cyclocarya paliurus under salt stress. Ind. Crop. Prod. 2021, 170, 113823. [Google Scholar] [CrossRef]
- Ashburner, M.; Ball, C.A.; Blake, J.A.; Botstein, D.; Butler, H.; Cherry, J.M.; Davis, A.P.; Dolinski, K.; Dwight, S.S.; Eppig, J.T.; et al. Gene ontology: Tool for the unification of biology. Nat. Genet. 2000, 25, 25. [Google Scholar] [CrossRef]
- Kanehisa, M.; Goto, S. KEGG: Kyoto encyclopedia of genes and genomes. Nucleic Acids Res. 2000, 28, 27–30. [Google Scholar] [CrossRef]
- Chatwin, W.B.; Carpenter, K.K.; Jimenez, F.R.; Elzinga, D.B.; Johnson, L.A.; Maughan, P.J. Microsatellite primer development for Post Oak, Quercus stellata (Fagaceae). Appl. Plant Sci. 2014, 2, 1400070. [Google Scholar] [CrossRef]
- Livak, K.J.; Schmittgen, T.D. Analysis of relative gene expression data using real-time quantitative PCR and the 2−∆∆Ct. Methods 2001, 25, 402–408. [Google Scholar] [CrossRef]
- Li, Y.F.; Guo, P.F.; Zhang, X.Y.; Deng, B. Influence of shading on photosynthetic characteristics and growth of Cyclocarya paliurus Seedlings. J. Northeast. Forest. Univ. 2021, 49, 6–10. [Google Scholar]
- Ruberti, I.; Morelli, G.; Sessa, G.; Possenti, M.; Carabelli, M.; Ciolfi, A. Plant adaptation to dynamically changing environment: The shade avoidance response. Biotechnol. Adv. 2012, 30, 1047–1058. [Google Scholar] [CrossRef]
- Liu, Y.J.; Dawson, W.; Prati, D.; Haeuser, E.; Feng, Y.H.; van Kleunen, M. Does greater specific leaf area plasticity help plants to maintain a high performance when shaded? Ann. Bot. 2016, 118, 1329–1336. [Google Scholar] [CrossRef]
- Wu, M.; Li, Z.; Wang, J. Transcriptional analyses reveal the molecular mechanism governing shade tolerance in the invasive plant Solidago canadensis. Ecol. Evol. 2020, 10, 4391–4406. [Google Scholar] [CrossRef]
- Yan, X.F.; Fang, S.; Zhou, L.B.; Ren, Y.F. Responses of Fraxinus rhynchophylla seedlings to shading under different lilght regimes. J. Northwest Forestry Univ. 2010, 25, 20–23, 29. [Google Scholar]
- Ma, X.H.; Song, L.L.; Yu, W.W.; Hu, Y.Y.; Liu, Y.; Wu, J.S.; Ying, Y.Q. Growth, physiological, and biochemical responses of Camptotheca acuminata seedlings to different light environments. Front. Plant Sci. 2015, 6, 321. [Google Scholar] [CrossRef]
- Centritto, M.; Loreto, F.; Massacci, A.; Pietrini, F.; Villani, M.; Zacchini, M. Improved growth and water use efficiency of cherry saplings under reduced light intensity. Ecol. Res. 2000, 15, 385–392. [Google Scholar] [CrossRef]
- Chang, P.T.; Hsieh, C.C.; Jiang, Y.L. Responses of ‘Shih Huo Chuan’ pitaya (Hylocereus polyrhizus (Weber) Britt. & Rose) to different degrees of shading nets. Sci. Hortic. 2016, 198, 154–162. [Google Scholar]
- Mittler, R.; Vanderauwera, S.; Gollery, M.; Van Breusegem, F. Reactive oxygen gene network of plants. Trends Plant Sci. 2004, 9, 490–498. [Google Scholar] [CrossRef]
- Baxter, A.; Mittler, R.; Suzuki, N. ROS as key players in plant stress signaling. J. Exp. Bot. 2014, 65, 1229–1240. [Google Scholar] [CrossRef]
- Tjia, T.O.S.; Meitha, K.; Septiani, P.; Awaludin, R.; Sumardi, D. Extracellular self-DNA induces local inhibition of growth, regulates production of reactive oxygen species, and gene expression in rice roots. Biol. Plant. 2023, 67, 9–18. [Google Scholar] [CrossRef]
- Kawano, T. Roles of the reactive oxygen species-generating peroxidase reactions in plant defense and growth induction. Plant Cell Rep. 2003, 21, 829–837. [Google Scholar] [CrossRef]
- Wang, M.; Wang, Z.; He, S.L.; Liu, W.C.; Song, Y.L. Effect of light intensity on growth and antioxidant enzyme activities of Chrysanthemum morifolium in vitro. J. Northwest A. F. Univ. NAT. Sci. Ed. 2020, 48, 71–76+86. [Google Scholar]
- Wu, Y.Q.; Huang, Z.J.; Zhang, C.H.; Shi, C.; Lyu, L.F.; Li, W.L.; Wu, W.L. Comparative analysis of the morphological, physiological, proteomic, and metabolic mechanisms of the “Biloxi” blueberry response to shade stress. Front. Plant Sci. 2022, 13, 877789. [Google Scholar] [CrossRef]
- Wei, J.P.; Zheng, G.Q.; Yu, X.W.; Liu, S.S.; Dong, X.Y.; Cao, X.D.; Fang, X.L.; Li, H.; Jin, J.J.; Mi, W.B.; et al. Comparative transcriptomics and proteomics analyses of leaves reveals a freezing stress-responsive molecular network in winter rapeseed (Brassica rapa L.). Front. Plant Sci. 2021, 12, 664311. [Google Scholar] [CrossRef]
- Yin, L.; Lin, J.F.; Ye, Z.W.; Guo, L.Q.; Jian, J.H. Peogress on regulation of carotenoid biosythesis by external factors. Food Mach. 2016, 32, 214–219. [Google Scholar]
- Zhou, Q.; Zhang, P.; Zhang, G. Biomass and carotenoid production in photosynthetic bacteria wastewater treatment: Effects of light intensity. Bioresour. Technol. 2014, 171, 330–335. [Google Scholar] [CrossRef]
- Cheng, Y.C.; Fleming, G.R. Dynamics of light harvesting in photosynthesis. Annu. Rev. Phys. Chem. 2009, 60, 241–262. [Google Scholar] [CrossRef]
- Engelken, J.; Brinkmann, H.; Adamska, I. Taxonomic distribution and origins of the extended LHC (light-harvesting complex) antenna protein superfamily. BMC Evol. Biol. 2010, 10, 233. [Google Scholar] [CrossRef]
- Saibo, N.J.M.; Lourenco, T.; Oliveira, M.M. Transcription factors and regulation of photosynthetic and related metabolism under environmental stresses. Ann. Bot. 2009, 103, 609–623. [Google Scholar] [CrossRef]
- Bowler, C.; Fluhr, R. The role of calcium and activated oxygens as signals for controlling cross-tolerance. Trends Plant Sci. 2000, 5, 241–246. [Google Scholar] [CrossRef]
- Knight, H.; Knight, M.R. Abiotic stress signalling pathways: Specificity and cross-talk. Trends Plant Sci. 2001, 6, 262–267. [Google Scholar] [CrossRef]
- Mittler, R. ROS are good. Trends Plant Sci. 2017, 22, 11–19. [Google Scholar] [CrossRef]
- Pei, Z.M.; Murata, Y.; Benning, G.; Thomine, S.; Klüsener, B.; Allen, G.J.; Grill, E.; Schroeder, J.I. Calcium channels activated by hydrogen peroxide mediate abscisic acid signalling in guard cells. Nature 2000, 406, 731–734. [Google Scholar] [CrossRef]
- Gill, S.S.; Tuteja, N. Reactive oxygen species and antioxidant machinery in abiotic stress tolerance in crop plants. Plant Physiol. Biochem. 2010, 48, 909–930. [Google Scholar] [CrossRef]
- Bartoli, C.G.; Gomez, F.; Martinez, D.E.; Guiamet, J.J. Mitochondria are the main target for oxidative damage in leaves of wheat (Triticum aestivum L.). J. Exp. Bot. 2004, 55, 1663–1669. [Google Scholar] [CrossRef]













| Treatment | Pn | Gs | Tr | Ci | WUE |
|---|---|---|---|---|---|
| (μmol m−2 s−1) | (mmol m−2 s−1) | (mmol m−2 s−1) | (μmol mol−1) | (μmol/mmol) | |
| Sck | 6.976 ± 0.956 bc | 2.892 ± 1.051 b | 2.073 ± 0.272 c | 332.383 ± 13.543 b | 3.119 ± 0.286 b |
| S1 | 7.903 ± 1.039 b | 3.303 ± 0.914 ab | 2.381 ± 0.322 b | 318.375 ± 10.001 b | 3.355 ± 0.315 b |
| S2 | 15.784 ± 0.421 a | 4.946 ± 1.229 a | 2.603 ± 0.232 a | 293.961 ± 14.587 c | 6.073 ± 0.313 a |
| S3 | 5.909 ± 1.564 c | 1.817 ± 0.711 b | 1.484 ± 0.179 d | 391.055 ± 15.645 a | 3.555 ± 0.595 b |
| Year | Treatment | Chl a (mg g−1) | Chl b (mg g−1) | Car (mg g−1) | Chl (a + b) (mg g−1) | Chl a/b |
|---|---|---|---|---|---|---|
| 2021 | Sck | 0.333 ± 0.029 d | 0.176 ± 0.038 c | 0.461 ± 0.071 c | 0.509 ± 0.065 c | 1.940 ± 0.285 a |
| S1 | 1.085 ± 0.074 c | 0.997 ± 0.141 b | 1.451 ± 0.190 a | 2.083 ± 0.211 b | 1.097 ± 0.079 c | |
| S2 | 2.224 ± 0.155 a | 1.572 ± 0.202 a | 1.481 ± 0.201 a | 3.796 ± 0.355 a | 1.423 ± 0.082 b | |
| S3 | 1.259 ± 0.165 b | 1.175 ± 0.266 b | 1.181 ± 0.273 b | 2.434 ± 0.426 b | 1.091 ± 0.125 c | |
| 2022 | Sck | 1.050 ± 0.028 b | 0.287 ± 0.006 b | 0.207 ± 0.005 b | 1.337 ± 0.033 b | 3.656 ± 0.029 a |
| S1 | 1.084 ± 0.061 b | 0.325 ± 0.018 b | 0.206 ± 0.011 b | 1.409 ± 0.079 b | 3.341 ± 0.013 b | |
| S2 | 1.660 ± 0.142 a | 0.540 ± 0.052 a | 0.310 ± 0.031 a | 2.200 ± 0.194 a | 3.077 ± 0.037 c | |
| S3 | 1.572 ± 0.169 a | 0.541 ± 0.068 a | 0.292 ± 0.027 a | 2.112 ± 0.237 a | 2.912 ± 0.054 d |
Disclaimer/Publisher’s Note: The statements, opinions and data contained in all publications are solely those of the individual author(s) and contributor(s) and not of MDPI and/or the editor(s). MDPI and/or the editor(s) disclaim responsibility for any injury to people or property resulting from any ideas, methods, instructions or products referred to in the content. |
© 2024 by the authors. Licensee MDPI, Basel, Switzerland. This article is an open access article distributed under the terms and conditions of the Creative Commons Attribution (CC BY) license (https://creativecommons.org/licenses/by/4.0/).
Share and Cite
Li, X.; Jiang, M.; Ren, Y.; Pang, J.; Ren, J.; Li, G.; Yuan, Y.; Xing, X.; Zhou, M.; Wang, J.; et al. Growth, Physiological, and Transcriptome Analyses Reveal Mongolian Oak Seedling Responses to Shading. Forests 2024, 15, 538. https://doi.org/10.3390/f15030538
Li X, Jiang M, Ren Y, Pang J, Ren J, Li G, Yuan Y, Xing X, Zhou M, Wang J, et al. Growth, Physiological, and Transcriptome Analyses Reveal Mongolian Oak Seedling Responses to Shading. Forests. 2024; 15(3):538. https://doi.org/10.3390/f15030538
Chicago/Turabian StyleLi, Xinman, Min Jiang, Yachao Ren, Jiushuai Pang, Junjie Ren, Guifen Li, Yangchen Yuan, Xueding Xing, Miaomiao Zhou, Jinmao Wang, and et al. 2024. "Growth, Physiological, and Transcriptome Analyses Reveal Mongolian Oak Seedling Responses to Shading" Forests 15, no. 3: 538. https://doi.org/10.3390/f15030538
APA StyleLi, X., Jiang, M., Ren, Y., Pang, J., Ren, J., Li, G., Yuan, Y., Xing, X., Zhou, M., Wang, J., & Yang, M. (2024). Growth, Physiological, and Transcriptome Analyses Reveal Mongolian Oak Seedling Responses to Shading. Forests, 15(3), 538. https://doi.org/10.3390/f15030538

