Next Article in Journal
Nitrogen Deposition Modulates Litter Decomposition and Enhances Water Retention in Subtropical Forests
Previous Article in Journal
Climate Adaptation in White Oak (Quercus alba, L.): A Forty-Year Study of Growth and Phenology
 
 
Font Type:
Arial Georgia Verdana
Font Size:
Aa Aa Aa
Line Spacing:
Column Width:
Background:
Article

Effects of Payments for Ecosystem Services and Livelihoods on Non-Grain Agricultural Land Use

1
State Key Laboratory of Urban and Regional Ecology, Research Center for Eco-Environmental Sciences, Chinese Academy of Sciences, Beijing 100085, China
2
University of Chinese Academy of Sciences, Beijing 100049, China
*
Authors to whom correspondence should be addressed.
Forests 2024, 15(3), 521; https://doi.org/10.3390/f15030521
Submission received: 23 January 2024 / Revised: 9 March 2024 / Accepted: 10 March 2024 / Published: 12 March 2024
(This article belongs to the Section Forest Economics, Policy, and Social Science)

Abstract

Non-grain agricultural land use (NGALU) could be an alternative to payments for ecosystem services (PES) to achieve ecosystem benefits, given their joint contribution to forest transition. Unraveling the correlation between PES and NGALU can enhance cost-effective decisions. While farmland abandonment and non-grain cash crops (NGCCs) plantation are two main manifestations of NGALU, previous studies have primarily assessed the effects of PES on farmland abandonment. Little is known about the effects of PES on NGCC planting. This study evaluated the effects of China’s two nationwide PES programs (i.e., the Grain to Green Program, GTGP, and the Ecological Welfare Forest Program, EWFP) on NGALU in the Black River Basin of Shaanxi province. The study found a wide adoption of NGALU, with 52% of households adopting NGALU. The total area of NGALU is more than half of the afforested area through the GTGP. A quarter of the NGALU area is abandoned farmland, while the remaining NGALU area is planted with NGCCs. The two PES programs did not have effects on NGCC planting, but reduced farmland abandonment. Engagement in labor migration and local non-farm employment increased NGALU, while livestock breeding and farmland area reduced NGALU. Furthermore, the large area and unfavorable geographical conditions of farmland parcels promoted NGALU. These results highlight the important implications of leveraging NGALU to boost ecological gains from conservation investments.

1. Introduction

The urgent needs to reverse land degradation and promote ecosystem restoration have increasingly received international attention, such as in the United Nations Sustainable Development Goal 15 (“Life on Land”) and the Post-2020 Global Biodiversity Conservation Framework [1,2], which emphasize the diverse roles of forested landscapes with multiple ecosystem services (ES) and the benefits that ecosystems provide for human society [3]. However, how to reconcile the protection and restoration of natural landscapes with the maintenance of food security remains one of the greatest challenges that both decisionmakers and academic communities encounter in the 21st century [4]. Rapid urbanization with the increasing imbalance in economic development between urban and rural areas has raised global concerns about non-grain agricultural land use (NGALU), a phenomenon where farmland used for grain production is converted into land uses with non-grain agricultural activities (e.g., cash crops and nursery plantation, farmland abandonment) [5,6], which has been addressed in China’s public policy [7]. Under the context of agricultural restructuring, NAGLU could affect food production by altering the quality of soil conditions [8] and could contribute to forest transition, which characterizes the shift of forest cover from shrinkage to expansion over time [9,10] and triggers variations in forest ES, such as freshwater provision, flood mitigation, and soil retention, which are strongly associated with ecological security and human wellbeing at the local and regional levels.
As a global phenomenon, NGALU facilitates forest transition primarily through farmland abandonment caused by labor migration from rural areas to urban areas and by extensive plantation of non-grain cash crops (NGCCs) with the increasing pursuit of economic diversification [11,12]. As the two main manifestations of NGALU, farmland abandonment followed by secondary forest succession reflects a decline in traditional agricultural management and interlinks with ecological and socioeconomic aspects of agricultural practices [8], whereas diverse plantation of NGCCs could enhance the resilience of smallholders in the face of external shocks from uncertainties caused by market price and disease infection [5]. Here, this study integrated farmland abandonment and NGCC planting into the concept of NGALU for two reasons. Firstly, both of these land use conversions represent the transition of agricultural land use from traditional grain production to non-grain production under the backdrop of socioeconomic development. Secondly, both of these land use conversions contribute to the increase in tree cover, thereby holding potential for promoting forest transition.
While the contribution of NGALU to forest transition was determined by the combination of household consumption structure and market demand, governmental financial investments in forest improvement made in response to ecological security concerns have proliferated worldwide over the past decades [13,14]. One of the most important policy responses to biodiversity loss and ecosystem degradation that has negative impacts on people is payment for ecosystem services (PES), which has been implemented with variable manifestations in many countries [13,15,16]. The implementation of these PES programs offers valuable opportunities for ecosystem structure and composition to stabilize with increasing service provision over a time horizon along which landowners could make alternative reformulations of land use plans [17]. The occurrence of NGALU with the altering agricultural structure and livelihood strategy after the initialization of PES programs reveals a time-lag effect of forest restoration and rehabilitation policies [18] which is crucial for policy evaluation and management plans designation aiming to ensure rapid and fitting ecosystem responses, especially in the face of the increasing pace of global change.
The occurrence and evolution of NGALU areas were associated with environmental factors ranging from geographical conditions [19,20] and households’ individual and family characteristics [5,21] to ecological conservation policies [22]. For example, the adoption of cash crop plantation was affected by the demographic and economic characteristics of households [5,23], while poor geographical conditions (e.g., rough topography, high elevation) that are unfavorable for plant growth and human accessibility [19,24] are conducive to low grain production or farmland abandonment. Assessments of farmland abandonment under different policy and economic environments have revealed the effects of PES on land decisions by redistributing rural economic opportunities and altering the livelihood strategy of rural households, like labor allocation and non-farm employment [22,25]. Additionally, studies evaluating rural land decisions highlighted the important role played by household capital assets (e.g., farmland area, breeding stock) in the diversification of livelihood strategies [25,26] and emphasized the effectiveness of PES programs in shaping multiple livelihood strategies from an integrated perspective [22,27]. Previous studies relating to policy evaluation mainly focused on the effects of PES on farmland abandonment. However, little is known about how PES affects NGCC planting.
To bridge this knowledge gap, we took China’s two PES programs (i.e., the Grain to Green Program, GTGP, and the Ecological Welfare Forest Program, EWFP) to illustrate how these two programs affected NGALU by taking the Black River Basin within the Shaanxi province as a case study. Since the occurrence of severe droughts and massive floods in 1998, the detrimental impacts of ecosystem degradation and accelerated ES losses have promoted the Chinese government to implement a series of PES programs for protecting forests, including GTGP and EWFP. The GTGP aims to convert farmlands on steep slopes area into forest or grassland to protect soil and water [28].The GTGP was piloted in the Sichuan, Shaanxi, and Gansu provinces in 1999 and then implemented nationwide in 2002, covering 2435 counties in 25 provinces [29]. By 2019, China had completed afforestation of 34.33 million hectares through the GTGP, with an investment of 517.4 billion RMB, benefiting an estimated 41 million households and 158 million farmers directly [29]. The EWFP, on the other hand, was initiated in 2001, and aimed to protect ecologically important or vulnerable forests by providing subsidies to households living within and around forests to enforce logging bans [30]. The successful implementation of these programs has significantly increased forest cover and brought a wide range of ecological and socioeconomic benefits to human society [13]. Understanding the correlations of PES with the process of NGALU is critical for systematically elucidating how PES contributes to sustainable development by promoting forest transition while enhancing poverty alleviation in rural areas [11]. This study hypothesizes that changes in household assets resulting from PES, such as decreases in farmland area, will increase households’ investments in remaining farmland and reduce the adoption of NGALU. Drawing on in-depth household survey data, this study aimed to gain a complicated understanding of NGALU and its driving mechanism. Specific tasks of this study included: (1) investigating the characteristics of NGALU by analyzing the heterogeneity of farmland abandonment and NGCC planting across households; (2) exploring the effects of PES programs (i.e., GTGP, EWFP) and livelihood strategies on NGALU. Given the great challenges in achieving sustainability of the ES provision both in China and worldwide, our study provided critical implications for improving PES and leveraging NGALU to boost ecological gains from conservation investments. The framework and analytical approaches can be applied to evaluate conservation investments and land use strategies in other countries around the world.

2. Methods

2.1. Study Area

The study area covering 159,900 ha includes four towns located in the southern mountainous area of Xi’an city, Shaanxi province, China (Figure 1). This region is characterized by an average annual precipitation of 850.5 mm, and an average annual temperature of 8.4 °C [31]. The topography is rough, with elevations ranging from 506 m to 3730 m. The population is sparsely distributed, with a population density of 13.7 people per square kilometer [25]. Serving as the most important source of freshwater for the Guanzhong plain, this region provides about 420 million m3 of freshwater annually to over 13 million residents in Xi’an, accounting for over 70% of the total demand for the freshwater resource by the city [32]. Household livelihood strategies in this region include traditional agricultural practices, like grain cultivation and livestock breeding, as well as non-farm activities, like the tourism business and out-migrating for work. Agriculture is the primary means of livelihood strategy, with corn and potatoes being the main food crops. With decreased quality and quantity of cultivated lands during the past decades, NGCC plantations with diversified livelihood strategies that could make large profits have become an important pathway for income growth [33]. NGCCs that replace food crops include Chinese medicinal herbs and economic trees, such as cornus (Cornus officinalis Sieb), pine (Pinus), cypress (Cupressus funebris), walnut (Juglans regia), and pepper (Zanthoxylum bungeanum). To ensure ecological security and to enhance the ES provision while achieving the sustainability of socioeconomic development, the local government has initiated PES programs since the year 2002, and households enrolled in the GTGP converted their farmland at steep slopes into non-grain land use areas with economic trees, like cornus and walnut, while households receiving a subsidy from EWFP were encouraged to protect forested landscapes by enacting logging bans.

2.2. Household Survey

We interviewed the heads of households within the study area from July to August in 2022. The locations of households were identified according to the spatial distribution of building infrastructures, which were extracted through a visual interpretation based on satellite image data from the Resource and Environment Science and Data Center (https://www.resdc.cn, accessed on 1 September 2021). The interpretation was validated with Google Images and field investigations. In total, 310 households were randomly selected for interviews, and 275, amounting to 89% of the total number of households, completed an interview. For each household, a questionnaire survey was conducted to collect socioeconomic information related to demographic characteristics, livelihood strategies, and agricultural practices. The questionnaire consisted of serval parts relating to the household’s demographic features, such as gender, age, education level, employment status, and the income of each family members; participation in PES, such as whether the household participated in PES, when they participated, and the subsidies received in the last year; their agricultural practices, such as area, land use type, and crops grown in each farmland parcel, as well as livestock breeding. Additionally, we identified the geographical location and extracted topographical characteristics (i.e., elevation; slope; Euclidean distances to the household, the nearest road, and the nearest forest patch) for each farmland parcel of the surveyed households using ArcGIS10.3 (Environmental Systems Research Institute, Redlands, CA, USA. The elevation and road data used in this study were from the Resource and Environment Science and Data Center (https://www.resdc.cn, accessed on 1 September 2021). The slope data were derived from the elevation data using Slope analysis in the ArcGIS10.3 software. The road data contain highways, railways, national highways, provincial highways, county roads, and urban roads. Forest patches were extracted from the 2020 global 30 m surface coverage fine classification products from the CASEarth thematic data system (https://data.casearth.cn/thematic/glc_fcs30/88, accessed on 1 May 2022).

2.3. Statistical Analyses

Statistical analyses were conducted using Stata17.0 (StataCorp LLC, College Station, TX, USA). Difference in environmental variables between NGALU and traditional farmland was evaluated at parcel and household levels using Student’s t-test at a significant level of 0.05. To explore the effects of PES on NGALU, we fitted a random-effects multinomial logistic model with a mvaghermite integration algorism at a farmland parcel level [34]. The mvaghermite performs mean and variance adaptive Gauss–Hermite quadrature and is a common integration method used for the random effects model. The model was run by taking different types of farmland parcels (1 = grain crop parcel, 2 = NGCC parcel, 3 = abandoned parcel) as dependent variable, and different environmental factors for the households and land parcels as independent variables. The model converged with statistic values of Wald chi-square = 76.770 and log likelihood = −324.040, suggesting a good performance for the fitness [34].

3. Results

3.1. Characteristics of NGALU

Among the surveyed households, 52%, with a total of 69.4 ha farmland, experienced NGALU, and these areas contributed to an overall third of the total farmland area (Figure 2). Farmland parcels with NGCC planting accounted for 75% of the total NGALU area, which was almost three times higher than those abandoned without agricultural practices. The NGCCs encompass cornus, Chinese medicinal herbs, nursery trees, and other economic trees (i.e., walnut, pepper) (Table 1). Households adopting cornus, nursery trees, and other economic trees account for 34.9%, 4.7%, and 4.7% of the surveyed households, respectively.
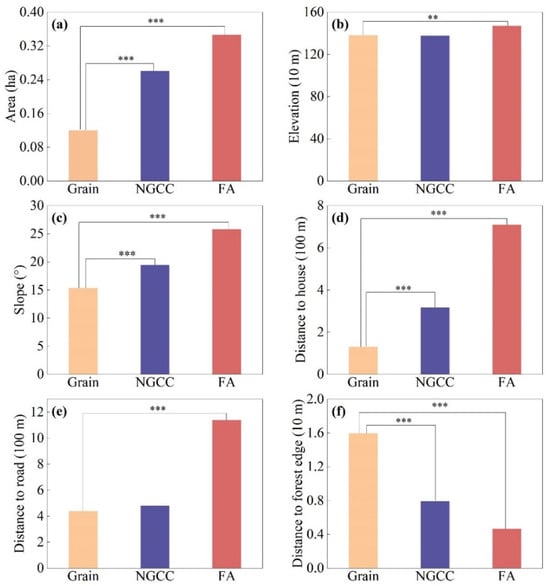
Compared to grain parcels, NGALU parcels with NGCC planting or being abandoned without agricultural practices tended to be larger in area, with a steeper topography, and they were closer to forest landscapes (Figure 3). More abandoned farmland areas were observed at distant locations, with higher elevation than the grain parcels. Additionally, comparative analyses showed that households with NGCC planting received a higher EWFP subsidy and were more likely to breed livestock compared to those without NGCC planting (Figure 4). Moreover, the households with abandoned farmlands had a smaller GTGP area but more willingness for out-migrating work than those without farmland abandonment.

3.2. Drivers of NGALU

The GTGP land area and EWFP subsidy showed negative effects on farmland abandonment but showed no significant effects on NGCC planting (Table 2). Quantitative analyses showed that an increase of 0.01 ha in the GTGP parcel area resulted in a 7.4% reduction in the probability of farmland abandonment, and an additional subsidy of 100 yuan decreased the abandonment probability by 15%. The choice of either farmland abandonment or NGCC planting was positively affected by non-farm employment and land attributes, like plot area and distance to household, but was negatively affected by farmland area and the distance to the nearest forest landscape. An additional factor that positively affected farmland abandonment was elevation, which could lead to a 4.9% increase in abandonment probability with a shift of 10 m in elevation. Contrast directions were found for the effects of livelihood strategies (i.e., a positive effect for out-migrating work, but a negative effect for livestock breeding) on NGCC planting.

4. Discussion

Given the fact that global urbanization has accelerated in the past decades, rural revitalization concentrating on exploring rural value and promoting the income growth of farmers has been increasingly recognized in order to improve the passive role of rural areas regarding the population and capital resource competition with urban areas [35,36]. Proper land use planning is vital in guiding the transformation processes of rural development, and the importance of controlling and managing NGALU has been increasingly integrated into various land use policies [5]. Previous studies relating to NGALU mainly focused on a single type of land use conversions, such as farmland abandonment or NGCC planting, without considering the commonalities between different land use conversions. This lack of integration may hinder collaborative management across sectors (such as agriculture and forestry) to maximize the benefits of various land use conversions. NGALU offers an integrated concept that encompasses various forms of agricultural land use transitions to non-agricultural land use, thereby providing an opportunity for multi-sectoral collaboration in managing different agricultural land conversions to enhance ecosystem services. The NGCC planting emphasizes high value-added components and innovation in the rural economy through diversified agricultural production in order to meet the increasing demand of residents’ consumption from both urban and rural areas [37]. In this study, the larger areas of NGCC planting compared to traditional grain cultivation suggested a wide adoption of NGALU in the study area.
The interactions between land resources and human society could alter the structure and biophysical attributes of soil layers, thus providing a basis for the conversion of land use types [8]. Our quantitative analyses were in support of the conclusion that the comprehensive effects of different environmental factors lead to distinct driving forces of NGALU at different scales, which is in line with previous studies on the determinants of the non-grain production of cultivated lands at parcel and administrative region levels [5,38]. The significantly negative effects of GTGP parcel area and EWFP subsidies on farmland abandonment indicated that the implementation of PES programs could reduce farmland abandonment, which decreased the benefits from secondary forest succession, but contributed to the maintenance of food security. On the one hand, the conversion of farmland on steep slopes into forests and grassland under the policy context of GTGP reduces the opportunity for grain production, thus promoting high-efficient utility of farmlands on flatter areas in order to meet the increasing food demand by human society [23]. On the other hand, the negative association of farmland abandonment with EWFP subsidies was probably attributed to the reassignment and focus of financial investments on traditional cultivation, especially for households that were less likely to switch to non-grain livelihood strategies. These findings support the hypothesis that the decreases in farmland area caused by PES and the economic benefits from PES subsidies could lead to increases in investments in agricultural practices, thereby reducing the adoption of NGALU.
The weak correlations of GTGP parcel area and EWFP subsidies with NGCC planting revealed that the effects of PES programs could be mediated by environmental factors that could shape the choice of agricultural practices. This study demonstrated that labor mitigation followed by non-farm employment appeared to be the major factors that contributed to the decision to adopt NGCC planting. The positive effects of these two major factors on NGCC planting were partially explained by the fact that labor migration to cities resulted in decreased number of labors in the rural areas, thus stimulating local farm labors to explore efficient agricultural practices with high financial returns to meet the increasing consumption level caused by rapid economic development. These results confirmed the important role of household livelihood in mediating the effects of PES on forest transition, which is consistent with previous studies focusing on labor allocation and the variations of farmland areas [5,22,39]. Additionally, our study provided evidence on the significantly negative effect of livestock breeding on NGCC planting, which was attributed to the massive requirements of forage from grain production.
While PES programs played an important role in the evolution of NGALU, geographical factors determined the skeleton of the NAGLU patterns. In this study, we identified farmland parcels with NGCC planting or being abandoned at marginal locations which were far away from the households. This is in line with previous studies [8,24] and was partially attributed to the increased farming costs caused by poor geographical conditions (e.g., long distance, high elevation) in remote areas. Moreover, farmland parcels that are distant from the household, but near the forests, are vulnerable to damages caused by wild animals [40], resulting in potentially high costs for grain production at these parcels.
While PES and NGALU were found to contribute jointly to forest transition [10,41], the process of NGALU results in land use conversion from traditional grain cultivation to non-grain plantation based on a landowner’s decisions, thus provides a cost-effective pathway of forest restoration and offering opportunities for decisionmakers to save financial funds and make much more centralized and efficient fiscal investment plans in the future. The close relationships between PES and NGALU indicated that coordinated enforcement of these two policies through optimizing design and management strategies could benefit stakeholders to achieve an enhancement of ES from increased forest cover across landscapes. Given the critical role of grain production in food security, scientific measures aimed at increasing per unit yield of grain outcomes with a dynamic equilibrium for the total cultivated lands have been emphasized by well-established local and national policies [4,42]. With a premise of compacting basic farmland protection, our study suggested that expansion of NGCC planting at a cost of appropriately reducing cultivated land areas with increased total grain outcomes should be considered by decisionmakers to meet the diversified dietary demands with the increasing living standards of the human population. Moreover, the diversification of grain and NGCC planting could benefit stakeholders by helping them to better adapt to the shocks from economic fluctuations by comprehensively considering the evolution of NGALU and its response to environmental factors.
Quantitative analyses on the relationships between NAGLU and different environmental factors ranging from the biophysical attributes of land parcels to household livelihood strategies revealed varying types and strengths for the driving forces of different manifestations. Across the landscapes, NGALU occurred with different manifestations, depending on the locations and the primary factors that affect the land transfer processes at both household and parcel levels. The identification and comprehensive analyses of the NGALU manifestation and its varying responses to different environmental factors are a prerequisite for understanding and managing the occurrence and evolution of NGALU at different locations. Additionally, linking PES programs with the occurrence of NGALU as illustrated in our study could inform coordinated management plans by incorporating local-scale targets, like high-efficient returns from economic diversification, into national-scale targets which focus on ensuring the security of ecosystem and food supply [42], thus supporting the idea that rural revitalization with sustainable economic development requires a basis of ecological conservation and environmental improvement [27].
While this study provided an in-depth understanding of NGALU and its driving forces, there were several limitations. Suggestions were proposed for future studies. Firstly, we investigated the characteristics of NGALU with a combination of descriptive and quantitative analyses and focused on a single-time statistical feature based on field survey data. Spatially explicit information on the heterogeneity of NGALU and its dynamic changes over time could facilitate the improvement of management plans in terms of their accuracy and efficiency. Secondly, this study assessed the effects of PES and livelihoods on NGALU, without considering the ecological benefits of NGALU, such as changes in forest cover and forest ecosystem services. Thirdly, policy outcomes involve complex linkages and feedback among individual and household decisions and land use conversion, with potential time-lags and heterogeneity [43]. The development of comprehensive models considering these reciprocal feedback effects in the coupled human-natural systems is underway in our follow-up works. Furthermore, while the current study delineated simple linear relationships of NGALU with different driving forces, incorporating non-linear and interactive effects of different environmental factors into future models could help decisionmakers unravel the complex driving mechanism of NGALU.

5. Conclusions

This study evaluated the effects of PES (i.e., GTGP, EWFP) and livelihoods on NGALU and explored the driving forces of two NGALU manifestations by focusing on the heterogeneity of households and land parcels. Over half of the surveyed households adopted NGALU, with its total area being over half of the afforested area through the GTGP. Quantitative analyses showed that PES had no significant effects on NGCC planting but that it reduced farmland abandonment. Participation in non-farm livelihoods increased the adoption of NGALU, while livestock breeding and farmland area decreased NGALU. Additionally, the biophysical conditions of farmland parcels, such as large area, distant from households, and being adjacent to the forest edge or at a high elevation increased NGALU. This study highlights the importance of leveraging NGALU to boost ecological gains from conservation investments and provides critical implication for the extension of future PES programs with greater cost-efficiency, which can benefit the sustainable management of land resources in mountainous areas or other regions experiencing stresses for ES enhancement and human wellbeing insurance in the future.

Author Contributions

Conceptualization, X.C.; Methodology, J.N.; Formal analysis, Y.W.; Investigation, Y.W.; Writing—original draft, Y.W.; Writing—review & editing, Y.Z. and H.Y.; Supervision, X.C.; Funding acquisition, X.C. All authors have read and agreed to the published version of the manuscript.

Funding

This work was supported by the National Natural Science Foundation of China (42071265; 41701549).

Data Availability Statement

Data are contained within the article.

Conflicts of Interest

The authors declare no conflict of interest.

References

  1. CBD. Convention on Biological Diversity (2020) CBD/WG2020/2/3 CBD Zero Draft of the Post-2020 Global Biodiversity Framework. Published Online February 2020. UNEP/CBD. Available online: https://www.cbd.int/doc/c/efb0/1f84/a892b98d2982a829962b6371/wg2020-02-03-en.pdf (accessed on 8 January 2021).
  2. UN. United Nations (2015) Transforming Our World: The 2030 Agenda for Sustainable Development. Published Online 2015. Available online: https://sustainabledevelopment.un.org/post2015/transformingourworld/publication (accessed on 8 January 2021).
  3. Daily, G.C.; Polasky, S.; Goldstein, J.; Kareiva, P.M.; Mooney, H.A.; Pejchar, L.; Ricketts, T.H.; Salzman, J.; Shallenberger, R. Ecosystem services in decision making: Time to deliver. Front. Ecol. Environ. 2009, 7, 21–28. [Google Scholar] [CrossRef]
  4. Meyfroidt, P. Trade-offs between environment and livelihoods: Bridging the global land use and food security discussions. Glob. Food Secur. 2018, 16, 9–16. [Google Scholar] [CrossRef]
  5. Su, Y.; Qian, K.; Lin, L.; Wang, K.; Guan, T.; Gan, M. Identifying the driving forces of non-grain production expansion in rural China and its implications for policies on cultivated land protection. Land Use Policy 2020, 92, 104435. [Google Scholar] [CrossRef]
  6. Cheng, X.; Tao, Y.; Huang, C.; Yi, J.; Yi, D.; Wang, F.; Tao, Q.; Xi, H.; Ou, W. Unraveling the Causal Mechanisms for Non-Grain Production of Cultivated Land: An Analysis Framework Applied in Liyang, China. Land 2022, 11, 1888. [Google Scholar] [CrossRef]
  7. GOSC. Opinions on Preventing Non-Grain Activities and Stabilizing Grain Production of Cultivated Land. 2020. Available online: https://www.gov.cn/zhengce/content/2020-11/17/content_5562053.htm (accessed on 1 January 2021).
  8. Zhang, C.; Liu, G.; Song, Z.; Qu, D.; Fang, L.; Deng, L. Natural succession on abandoned cropland effectively decreases the soil erodibility and improves the fungal diversity. Ecol. Appl. 2017, 27, 2142–2154. [Google Scholar] [CrossRef] [PubMed]
  9. Mather, A.S.; Needle, C.L. The Forest Transition: A Theoretical Basis. Area 1998, 30, 117–124. [Google Scholar] [CrossRef]
  10. Martín-Forés, I.; Magro, S.; Bravo-Oviedo, A.; Alfaro-Sánchez, R.; Espelta, J.M.; Frei, T.; Valdés-Correcher, E.; Rodríguez Fernández-Blanco, C.; Winkel, G.; Gerzabek, G.; et al. Spontaneous forest regrowth in South-West Europe: Consequences for nature’s contributions to people. People Nat. 2020, 2, 980–994. [Google Scholar] [CrossRef]
  11. Lambin, E.F.; Meyfroidt, P. Land use transitions: Socio-ecological feedback versus socio-economic change. Land Use Policy 2010, 27, 108–118. [Google Scholar] [CrossRef]
  12. Kimambo, N.E.; L’Roe, J.; Naughton-Treves, L.; Radeloff, V.C. The role of smallholder woodlots in global restoration pledges–Lessons from Tanzania. For. Policy Econ. 2020, 115, 102144. [Google Scholar] [CrossRef]
  13. Liu, J.; Li, S.; Ouyang, Z.; Tam, C.; Chen, X. Ecological and socioeconomic effects of China’s policies for ecosystem services. Proc. Natl. Acad. Sci. USA 2008, 105, 9477–9482. [Google Scholar] [CrossRef]
  14. Ouyang, Z.; Zheng, H.; Xiao, Y.; Polasky, S.; Liu, J.; Xu, W.; Wang, Q.; Zhang, L.; Xiao, Y.; Rao, E.; et al. Improvements in ecosystem services from investments in natural capital. Science 2016, 352, 1455–1459. [Google Scholar] [CrossRef]
  15. Muñoz-Piña, C.; Guevara, A.; Torres, J.M.; Braña, J. Paying for the hydrological services of Mexico’s forests: Analysis, negotiations and results. Ecol. Econ. 2008, 65, 725–736. [Google Scholar] [CrossRef]
  16. Vorlaufer, T.; Engel, S.; de Laat, J.; Vollan, B. Payments for ecosystem services did not crowd out pro-environmental behavior: Long-term experimental evidence from Uganda. Proc. Natl. Acad. Sci. USA 2023, 120, e2215465120. [Google Scholar] [CrossRef]
  17. Kelly, P.; Huo, X. Land Retirement and Nonfarm Labor Market Participation: An Analysis of China’s Sloping Land Conversion Program. World Dev. 2013, 48, 156–169. [Google Scholar] [CrossRef]
  18. Rastetter, E.B.; Ohman, M.D.; Elliott, K.J.; Rehage, J.S.; Rivera-Monroy, V.H.; Boucek, R.E.; Castañeda-Moya, E.; Danielson, T.M.; Gough, L.; Groffman, P.M.; et al. Time lags: Insights from the U.S. Long Term Ecological Research Network. Ecosphere 2021, 12, e03431. [Google Scholar] [CrossRef]
  19. Gollin, D.; Rogerson, R. Productivity, transport costs and subsistence agriculture. J. Dev. Econ. 2014, 107, 38–48. [Google Scholar] [CrossRef]
  20. Vinogradovs, I.; Nikodemus, O.; Elferts, D.; Brūmelis, G. Assessment of site-specific drivers of farmland abandonment in mosaic-type landscapes: A case study in Vidzeme, Latvia. Agric. Ecosyst. Environ. 2018, 253, 113–121. [Google Scholar] [CrossRef]
  21. Kuang, F.; Jin, J.; He, R.; Wan, X.; Ning, J. Influence of livelihood capital on adaptation strategies: Evidence from rural households in Wushen Banner, China. Land Use Policy 2019, 89, 104228. [Google Scholar] [CrossRef]
  22. Wang, Y.; Zhang, Q.; Bilsborrow, R.; Tao, S.; Chen, X.; Sullivan-Wiley, K.; Huang, Q.; Li, J.; Song, C. Effects of payments for ecosystem services programs in China on rural household labor allocation and land use: Identifying complex pathways. Land Use Policy 2020, 99, 105024. [Google Scholar] [CrossRef]
  23. Khatri, N.D.; Paudel, D.; Bhusal, P.; Ghimire, S.; Bhandari, B. Determinants of farmers’ decisions to adopt agroforestry practices: Insights from the Mid-hills of Western Nepal. Agrofor. Syst. 2023, 97, 833–845. [Google Scholar] [CrossRef]
  24. Paudel, B.; Wu, X.; Zhang, Y.; Rai, R.; Liu, L.; Zhang, B.; Khanal, N.R.; Koirala, H.L.; Nepal, P. Farmland abandonment and its determinants in the different ecological villages of the Koshi river basin, central Himalayas: Synergy of high-resolution remote sensing and social surveys. Environ. Res. 2020, 188, 109711. [Google Scholar] [CrossRef]
  25. Li, J.; Feldman, M.W.; Li, S.; Daily, G.C. Rural household income and inequality under the Sloping Land Conversion Program in western China. Proc. Natl. Acad. Sci. USA 2011, 108, 7721–7726. [Google Scholar] [CrossRef]
  26. Johny, J.; Wichmann, B.; Swallow, B.M. Characterizing social networks and their effects on income diversification in rural Kerala, India. World Dev. 2017, 94, 375–392. [Google Scholar] [CrossRef]
  27. Lemaire, G.; Franzluebbers, A.; Carvalho, P.C.d.F.; Dedieu, B. Integrated crop–livestock systems: Strategies to achieve synergy between agricultural production and environmental quality. Agric. Ecosyst. Environ. 2014, 190, 4–8. [Google Scholar] [CrossRef]
  28. Uchida, E.; Xu, J.; Scott, R. Grain for Green: Cost-Effectiveness and Sustainability of China’s Conservation Set-Aside Program. Land Econ. 2005, 81, 247–264. [Google Scholar] [CrossRef]
  29. National Forestry and Grassland Administration. Twenty Years of Returning Farmland to Forest and Grass in China (1999–2019); NFGA: Beijing, China, 2020. [Google Scholar]
  30. SFA; MOF. Notice of the Two Departments on Printing and Distributing the Measures for the Definition of Zoning of National Ecological Welfare Forest and the Measures for the Management of National Ecological Welfare Forest. Available online: http://www.gov.cn/xinwen/2017-05/08/content_5191672.htm (accessed on 8 May 2023).
  31. Shi, H. Research on Land Use Optimization of Qinling Mountain Based on Resource and Environment Carrying Capacity-Taking Four Towns in Zhouzhi County as an Example; Northwest University: Xi’an, China, 2021. [Google Scholar]
  32. Wu, Q.; Song, J.; Sun, H.; Huang, P.; Jing, K.; Xu, W.; Wang, H.; Liang, D. Spatiotemporal variations of water conservation function based on EOF analysis at multi time scales under different ecosystems of Heihe River Basin. J. Environ. Manag. 2023, 325, 116532. [Google Scholar] [CrossRef]
  33. SBZ. Statistics Bureau of Zhouzhi County. Statistical Bulletin of National Economic and Social Development. 2022. Available online: http://www.zhouzhi.gov.cn/ (accessed on 1 January 2021).
  34. Hartzel, J.; Agresti, A.; Caffo, B. Multinomial logit random effects models. Stat. Model. 2001, 1, 81–102. [Google Scholar] [CrossRef]
  35. Bren d’Amour, C.; Reitsma, F.; Baiocchi, G.; Barthel, S.; Güneralp, B.; Erb, K.-H.; Haberl, H.; Creutzig, F.; Seto, K.C. Future urban land expansion and implications for global croplands. Proc. Natl. Acad. Sci. USA 2017, 114, 8939–8944. [Google Scholar] [CrossRef]
  36. Huang, Z.; Du, X.; Castillo, C.S.Z. How does urbanization affect farmland protection? Evidence from China. Resour. Conserv. Recycl. 2019, 145, 139–147. [Google Scholar] [CrossRef]
  37. Huang, Y.; Hui, E.C.M.; Zhou, J.; Lang, W.; Chen, T.; Li, X. Rural Revitalization in China: Land-Use Optimization through the Practice of Place-making. Land Use Policy 2020, 97, 104788. [Google Scholar] [CrossRef]
  38. Yang, Q.; Zhang, D. The influence of agricultural industrial policy on non-grain production of cultivated land: A case study of the “one village, one product” strategy implemented in Guanzhong Plain of China. Land Use Policy 2021, 108, 105579. [Google Scholar] [CrossRef]
  39. Ervin, D.; Lopéz-Carr, D.; Riosmena, F.; Ryan, S.J. Examining the relationship between migration and forest cover change in Mexico from 2001 to 2010. Land Use Policy 2020, 91, 104334. [Google Scholar] [CrossRef]
  40. Yang, H.; Lupi, F.; Zhang, J.; Liu, J. Hidden cost of conservation: A demonstration using losses from human-wildlife conflicts under a payments for ecosystem services program. Ecol. Econ. 2020, 169, 106462. [Google Scholar] [CrossRef]
  41. Zhang, Q.; Wang, Y.; Tao, S.; Bilsborrow, R.E.; Qiu, T.; Liu, C.; Sannigrahi, S.; Li, Q.; Song, C. Divergent socioeconomic-ecological outcomes of China’s conversion of cropland to forest program in the subtropical mountainous area and the semi-arid Loess Plateau. Ecosyst. Serv. 2020, 45, 101167. [Google Scholar] [CrossRef]
  42. Bennett, M.T. China’s sloping land conversion program: Institutional innovation or business as usual? Ecol. Econ. 2008, 65, 699–711. [Google Scholar] [CrossRef]
  43. Chen, X.; Zhang, Q.; Peterson, M.N.; Song, C. Feedback effect of crop raiding in payments for ecosystem services. Ambio 2019, 48, 732–740. [Google Scholar] [CrossRef] [PubMed]
Figure 1. The study area.
Figure 1. The study area.
Forests 15 00521 g001
Figure 2. Farmland area with and without non-grain agricultural land use (NGALU). Farmland abandonment and NGCC planting are two types of NGALU.
Figure 2. Farmland area with and without non-grain agricultural land use (NGALU). Farmland abandonment and NGCC planting are two types of NGALU.
Forests 15 00521 g002
Figure 3. Differences between parcel-level variables ((a), farmland area; (b), elevation; (c), slope; (d), distance to house; (e), distance to road; (f), distance to forest edge) with grain production and those with non-grain agricultural land use. FA refer to farmland abandonment. *** and ** represent significant levels of 0.001, and 0.01, respectively.
Figure 3. Differences between parcel-level variables ((a), farmland area; (b), elevation; (c), slope; (d), distance to house; (e), distance to road; (f), distance to forest edge) with grain production and those with non-grain agricultural land use. FA refer to farmland abandonment. *** and ** represent significant levels of 0.001, and 0.01, respectively.
Forests 15 00521 g003
Figure 4. Differences between household-level variables ((a), GTGP area; (b), EWFP subsidy of households; (c), proportion of households involved in tourism; (d), proportion of households involved in labor migration; (e), proportion of households involved in local non-farm; (f), proportion of households with livestock breeding; (g), farm labors; (h), farmland area; (i), proportion of households with agricultural machinery; (j), age of household head; (k), education of household head) with and without non-grain agricultural land use. FA refer to farmland abandonment. ***, **, and * represent significant levels of 0.001, 0.01, and 0.05, respectively.
Figure 4. Differences between household-level variables ((a), GTGP area; (b), EWFP subsidy of households; (c), proportion of households involved in tourism; (d), proportion of households involved in labor migration; (e), proportion of households involved in local non-farm; (f), proportion of households with livestock breeding; (g), farm labors; (h), farmland area; (i), proportion of households with agricultural machinery; (j), age of household head; (k), education of household head) with and without non-grain agricultural land use. FA refer to farmland abandonment. ***, **, and * represent significant levels of 0.001, 0.01, and 0.05, respectively.
Forests 15 00521 g004
Table 1. Adoption of different types of NGCCs.
Table 1. Adoption of different types of NGCCs.
Number of Plantation HouseholdsProportion of Plantation Households to Total Households Surveyed (%)
Cornus9634.9
Chinese medicinal herbs217.6
Nursery trees134.7
Other economic trees134.7
Table 2. Effects of household and parcel variables on NGALU.
Table 2. Effects of household and parcel variables on NGALU.
VariablesNGCC PlantingFarmland AbandonmentVIF
Odds Ratiop-Value > |z|Odds Ratiop-Value > |z|
Household level
GTGP area0.9930.1040.9260.020 **1.300
EWFP subsidy0.9970.7650.8500.020 **1.280
Livestock breeding0.5490.071 *0.2850.3081.170
Tourism business0.5430.1351.2790.8681.370
Labor migration1.8270.029 **1.7310.5921.180
Local non-farm employment1.6910.060 *8.7850.068 *1.220
Number of farm labors1.0030.9830.8680.8061.210
Farmland area0.9920.001 ***0.9750.057 *1.340
Mechanization1.0770.7843.5970.2941.240
Age of household head0.9890.2851.0360.2941.190
Education of household head0.9780.5540.9620.7911.200
Parcel level
Parcel area1.0710.000 ***1.1340.000 ***1.270
Elevation1.0100.1671.0490.058 **1.780
Slope1.0140.1121.0410.1051.180
Distance to house1.0910.020 **1.3680.007 ***1.240
Distance to road0.9920.5541.0720.1851.230
Distance to forest edge0.8010.003 **0.6250.075 *1.400
Constant0.3120.3220.0000.013-
Likelihood-ratio−324.040
Wald chi-square76.770 ***
Note: Odds ratio indicates the positive (odds ratio > 1) or negative (odds ratio < 1) effect of an environmental variable on the adoption of NGALU. VIF represents the variation inflation factor. A value of VIF < 2 suggests no collinearity for a variable with other variables. *** p < 0.01, ** p < 0.05, * p < 0.1.
Disclaimer/Publisher’s Note: The statements, opinions and data contained in all publications are solely those of the individual author(s) and contributor(s) and not of MDPI and/or the editor(s). MDPI and/or the editor(s) disclaim responsibility for any injury to people or property resulting from any ideas, methods, instructions or products referred to in the content.

Share and Cite

MDPI and ACS Style

Wang, Y.; Zhang, Y.; Yang, H.; Niu, J.; Chen, X. Effects of Payments for Ecosystem Services and Livelihoods on Non-Grain Agricultural Land Use. Forests 2024, 15, 521. https://doi.org/10.3390/f15030521

AMA Style

Wang Y, Zhang Y, Yang H, Niu J, Chen X. Effects of Payments for Ecosystem Services and Livelihoods on Non-Grain Agricultural Land Use. Forests. 2024; 15(3):521. https://doi.org/10.3390/f15030521

Chicago/Turabian Style

Wang, Yujun, Yan Zhang, Hongbo Yang, Jiamei Niu, and Xiaodong Chen. 2024. "Effects of Payments for Ecosystem Services and Livelihoods on Non-Grain Agricultural Land Use" Forests 15, no. 3: 521. https://doi.org/10.3390/f15030521

APA Style

Wang, Y., Zhang, Y., Yang, H., Niu, J., & Chen, X. (2024). Effects of Payments for Ecosystem Services and Livelihoods on Non-Grain Agricultural Land Use. Forests, 15(3), 521. https://doi.org/10.3390/f15030521

Note that from the first issue of 2016, this journal uses article numbers instead of page numbers. See further details here.

Article Metrics

Back to TopTop