Enhanced Seedling Growth and Physiological Performances of Melia azedarach L. by Foliar Application of 24-Epibrassinolide under Salt Stress
Abstract
1. Introduction
2. Materials and Methods
2.1. Plant Material and Experimental Design
2.2. Measurement of Growth Traits
2.3. Determination of Leaf Relative Water Content
2.4. Determination of Relative Electrical Conductivity
2.5. Determination of Chlorophyll and Lipid Peroxidation in Leaves
2.6. Determination of Osmolytes
2.7. Determination of Antioxidant Enzymes Activity
2.8. Statistical Analyses
3. Results
3.1. Effects of Salt and EBR Treatments on Growth Traits
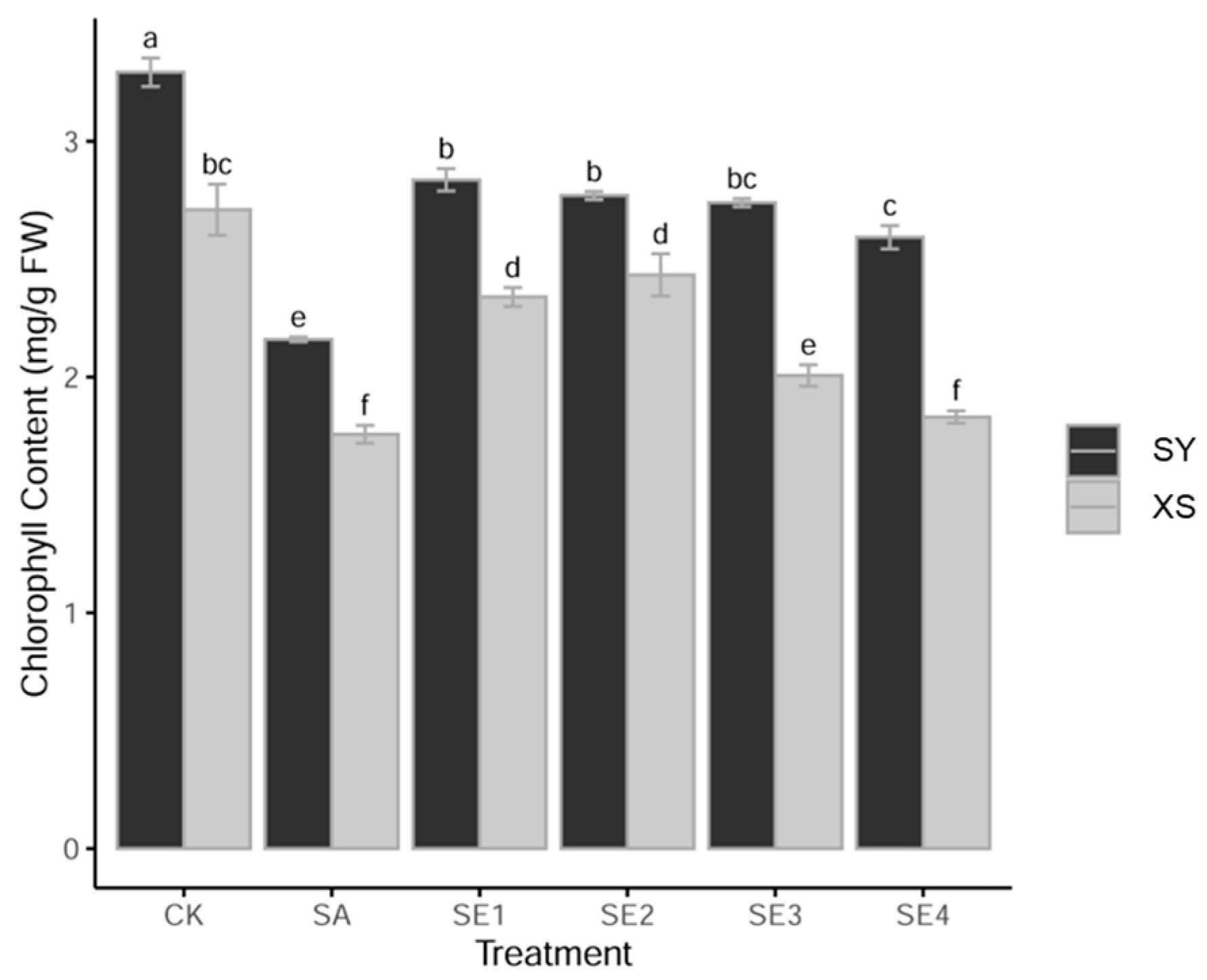
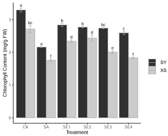
3.2. Effects of Salt and EBR Treatments on Chlorophyll Content
3.3. Effects of Salt and EBR Treatments on Relative Water Content
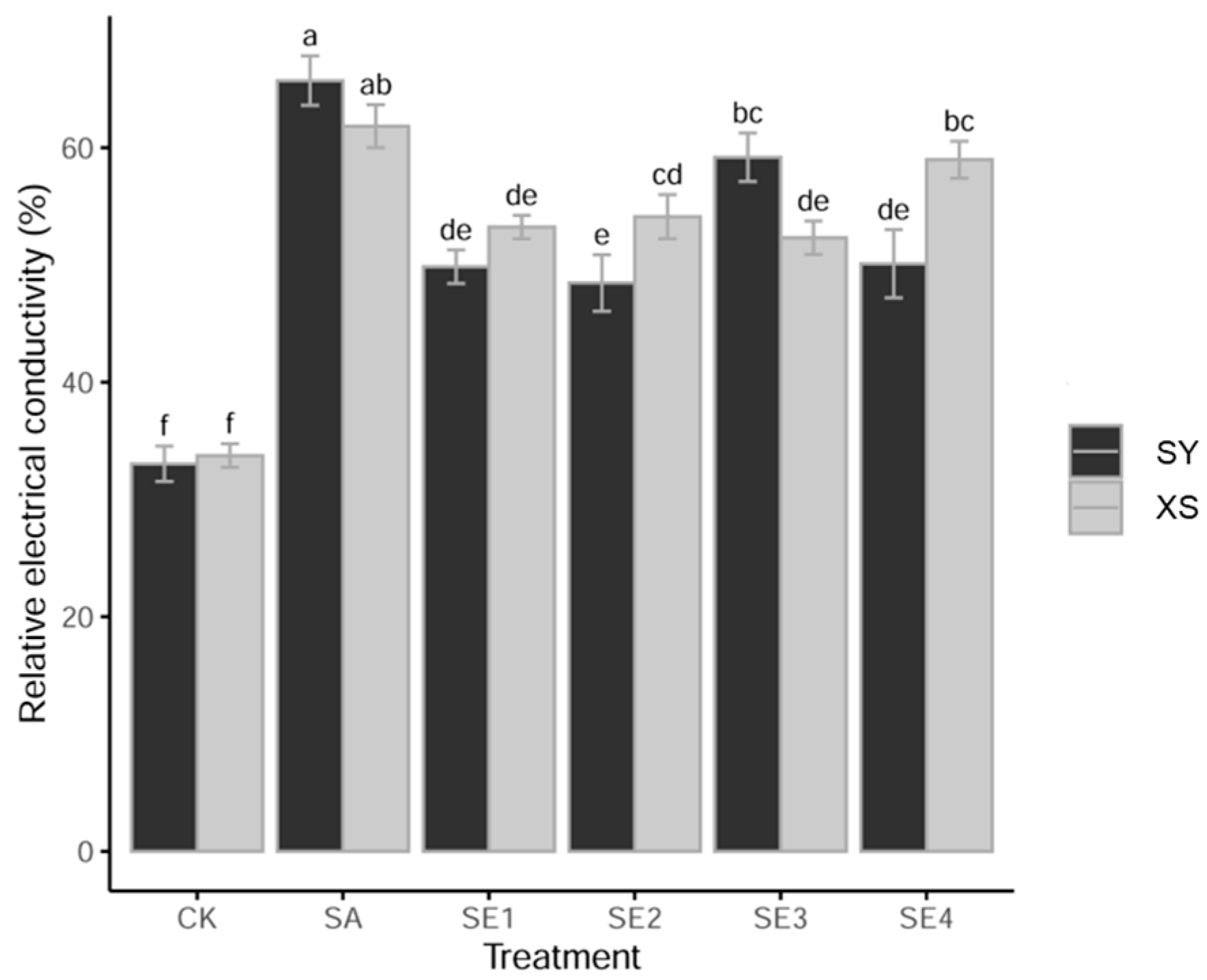
3.4. Effects of Salt and EBR Treatments on Relative Electrical Conductivity
3.5. Effects of Salt and EBR Treatments on Malondialdehyde (MDA) Content
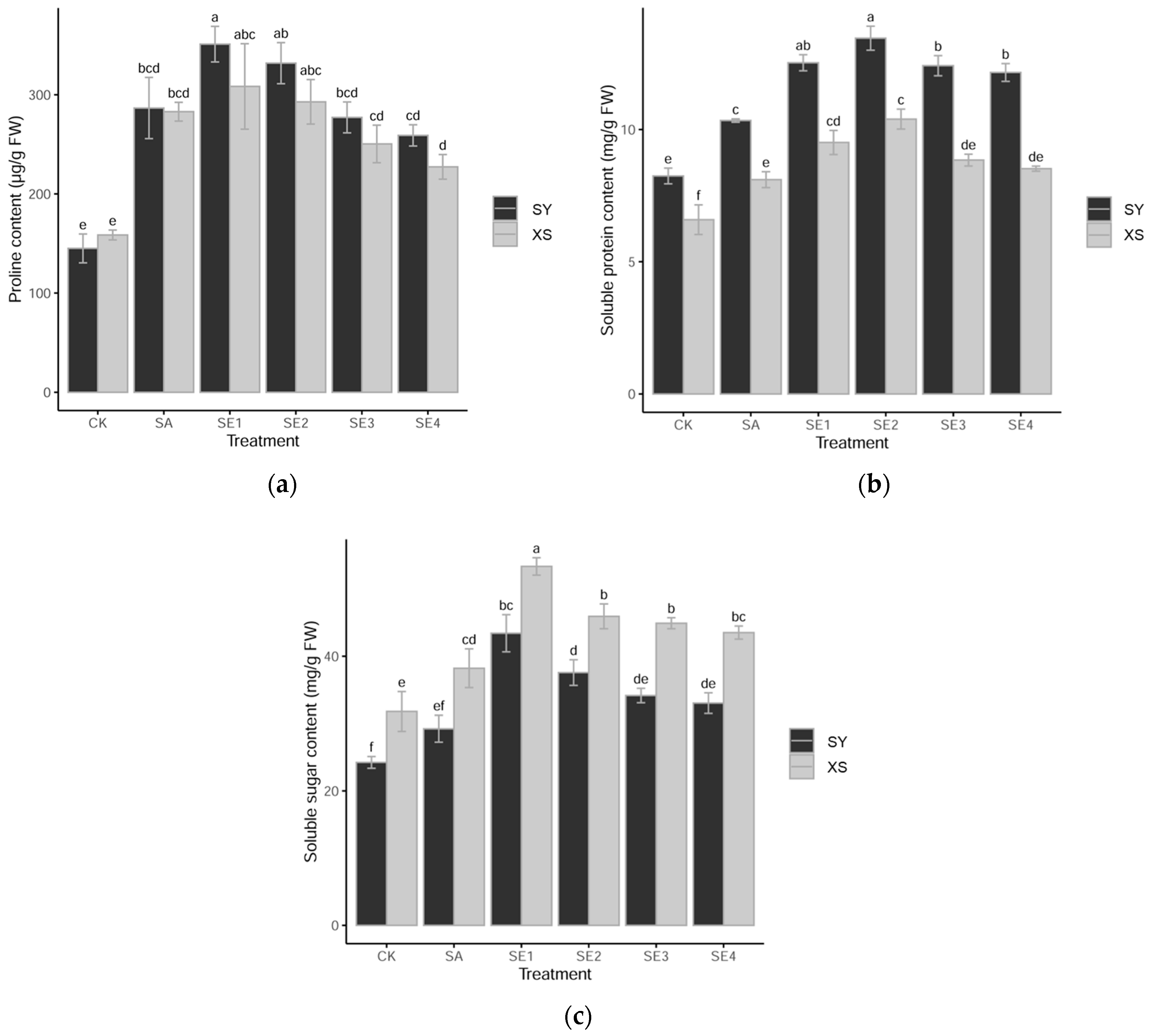
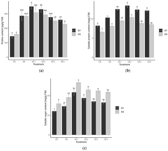
3.6. Effects of Salt and EBR Treatments on Osmolyte Content
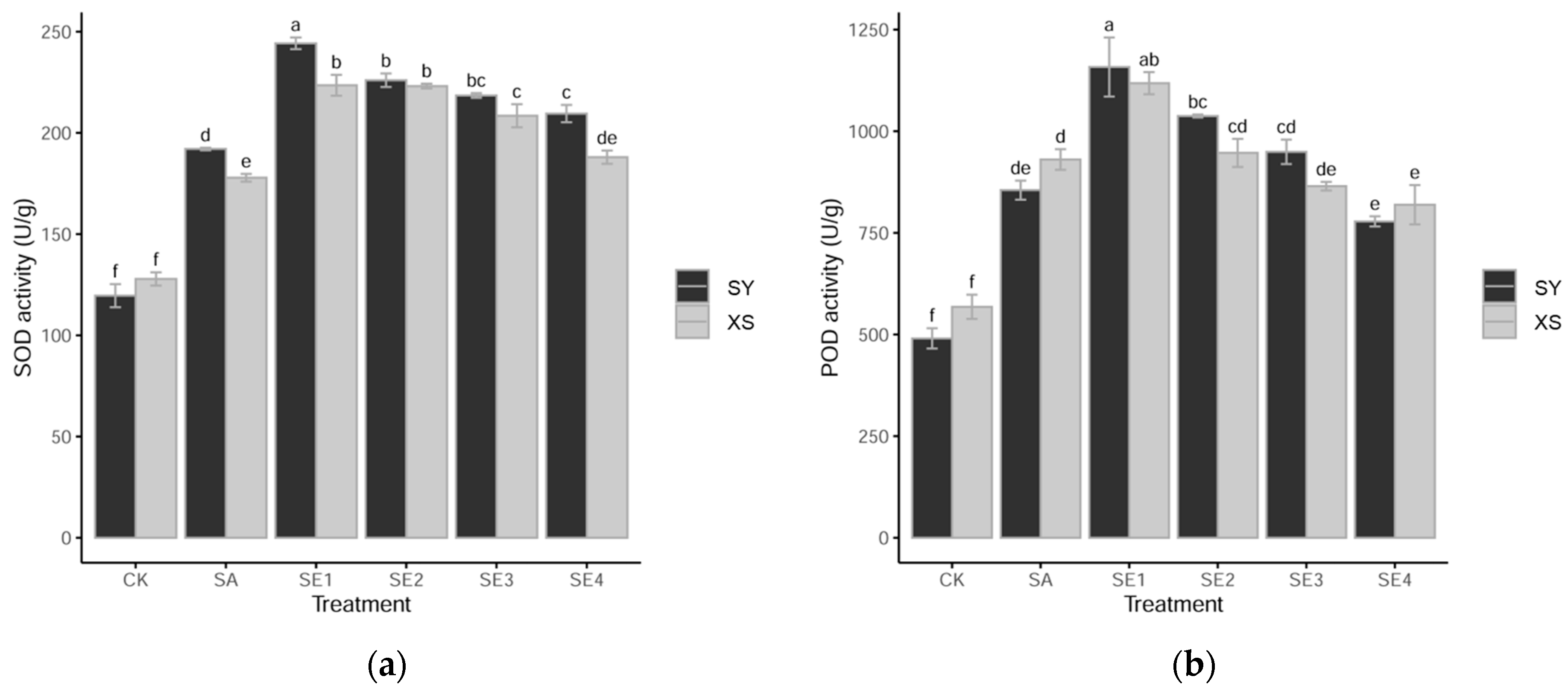
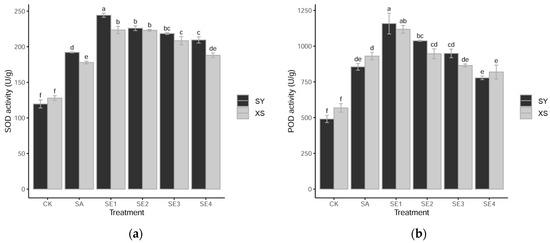
3.7. Effects of Salt and EBR Treatments on Superoxide Dismutase and Peroxidase Activity
3.8. Correlation Analysis
3.9. Principal Component Analysis
4. Discussion
4.1. Growth Performance under Salt and EBR Treatments
4.2. Leaf Chlorophyll and Photosynthesis Status under Salt and EBR Treatments
4.3. Seedling Leaves’ Water Status under Salt and EBR Treatments
4.4. Plant Cell Membrance Stability under Salt and EBR Treatments
4.5. Response of Osmolytes under Salt and EBR Treatments
4.6. Response of Antioxidant Enzymes under Salt and EBR Treatments
4.7. Sheyang (SY) and Xiashu (XS) Seedling Comparison
5. Conclusions
Author Contributions
Funding
Data Availability Statement
Acknowledgments
Conflicts of Interest
References
- Wai, A.H.; Naing, A.H.; Lee, D.-J.; Kim, C.K.; Chung, M.Y. Molecular Genetic Approaches for Enhancing Stress Tolerance and Fruit Quality of Tomato. Plant Biotechnol. Rep. 2020, 14, 515–537. [Google Scholar] [CrossRef]
- Füzy, A.; Kovács, R.; Cseresnyés, I.; Parádi, I.; Szili-Kovács, T.; Kelemen, B.; Rajkai, K.; Takács, T. Selection of Plant Physiological Parameters to Detect Stress Effects in Pot Experiments Using Principal Component Analysis. Acta Physiol. Plant. 2019, 41, 56. [Google Scholar] [CrossRef]
- Sun, K.; Mehari, T.G.; Fang, H.; Han, J.; Huo, X.; Zhang, J.; Chen, Y.; Wang, D.; Zhuang, Z.; Ditta, A.; et al. Transcriptome, Proteome and Functional Characterization Reveals Salt Stress Tolerance Mechanisms in Upland Cotton (Gossypium hirsutum L.). Front. Plant Sci. 2023, 14, 1092616. [Google Scholar] [CrossRef] [PubMed]
- Schiop, S.T.; Al Hassan, M.; Sestras, A.F.; Boscaiu, M.; Sestras, R.E.; Vicente, O. Identification of Salt Stress Biomarkers in Romanian Carpathian Populations of Picea abies (L.) Karst. PLoS ONE 2015, 10, e0135419. [Google Scholar] [CrossRef]
- Ondrasek, G.; Rengel, Z. Environmental Salinization Processes: Detection, Implications & Solutions. Sci. Total Environ. 2021, 754, 142432. [Google Scholar] [CrossRef] [PubMed]
- Sudhir, P.; Murthy, S.D. Effects of Salt Stress on Basic Processes of Photosynthesis. Photosynthetica 2004, 42, 481–486. [Google Scholar] [CrossRef]
- Munns, R.; Tester, M. Mechanisms of Salinity Tolerance. Annu. Rev. Plant Biol. 2008, 59, 651–681. [Google Scholar] [CrossRef]
- Gupta, B.; Huang, B. Mechanism of Salinity Tolerance in Plants: Physiological, Biochemical, and Molecular Characterization. Int. J. Genom. 2014, 2014, 701596. [Google Scholar] [CrossRef]
- López-Gómez, M.; Hidalgo-Castellanos, J.; Lluch, C.; Herrera-Cervera, J.A. 24-Epibrassinolide Ameliorates Salt Stress Effects in the Symbiosis Medicago truncatula-Sinorhizobium meliloti and Regulates the Nodulation in Cross-Talk with Polyamines. Plant Physiol. Biochem. 2016, 108, 212–221. [Google Scholar] [CrossRef] [PubMed]
- Rattan, A.; Kapoor, D.; Kapoor, N.; Bhardwaj, R.; Sharma, A. Brassinosteroids Regulate Functional Components of Antioxidative Defense System in Salt Stressed Maize Seedlings. J. Plant Growth Regul. 2020, 39, 1465–1475. [Google Scholar] [CrossRef]
- Munns, R. Genes and Salt Tolerance: Bringing Them Together. New Phytol. 2005, 167, 645–663. [Google Scholar] [CrossRef]
- Ahmad, H.; Hayat, S.; Ali, M.; Ghani, M.I.; Zhihui, C. Regulation of Growth and Physiological Traits of Cucumber (Cucumis sativus L.) through Various Levels of 28-Homobrassinolide under Salt Stress Conditions. Can. J. Plant Sci. 2018, 98, 132–140. [Google Scholar] [CrossRef]
- Guo, Q.; Liu, L.; Rupasinghe, T.W.T.; Roessner, U.; Barkla, B.J. Salt Stress Alters Membrane Lipid Content and Lipid Biosynthesis Pathways in the Plasma Membrane and Tonoplast. Plant Physiol. 2022, 189, 805–826. [Google Scholar] [CrossRef]
- Sun, Z.; Zou, Y.; Xie, C.; Han, L.; Zheng, X.; Tian, Y.; Ma, C.; Liu, X.; Wang, C. Brassinolide Improves the Tolerance of Malus Hupehensis to Alkaline Stress. Front. Plant Sci. 2022, 13, 1032646. [Google Scholar] [CrossRef]
- Fariduddin, Q.; Mir, B.A.; Yusuf, M.; Ahmad, A. 24-Epibrassinolide and/or Putrescine Trigger Physiological and Biochemical Responses for the Salt Stress Mitigation in Cucumis sativus L. Photosynthetica 2014, 52, 464–474. [Google Scholar] [CrossRef]
- Chaudhuri, A.; Halder, K.; Abdin, M.Z.; Majee, M.; Datta, A. Abiotic Stress Tolerance in Plants: Brassinosteroids Navigate Competently. Int. J. Mol. Sci. 2022, 23, 14577. [Google Scholar] [CrossRef] [PubMed]
- Ghoname, A.A.; Abdelmotlb, N.A.; Abdel-al, F.S.; Nashwa, A.I.; El-azm, A.; Elhady, S.A.A.; Merah, O.; Abdelhamid, M.T. Brassinosteroids or Proline Can Alleviate Yield Inhibition under Salt Stress via Modulating Physio- Biochemical Activities and Antioxidant Systems in Snap Bean. J. Hortic. Sci. Biotechnol. 2023, 98, 526–539. [Google Scholar] [CrossRef]
- Otie, V.; Udo, I.; Shao, Y.; Itam, M.O.; Okamoto, H.; An, P.; Eneji, E.A. Salinity Effects on Morpho-Physiological and Yield Traits of Soybean (Glycine max L.) as Mediated by Foliar Spray with Brassinolide. Plants 2021, 10, 541. [Google Scholar] [CrossRef] [PubMed]
- Li, W.; Sun, J.; Zhang, X.; Ahmad, N.; Hou, L.; Zhao, C.; Pan, J.; Tian, R.; Wang, X.; Zhao, S. The Mechanisms Underlying Salt Resistance Mediated by Exogenous Application of 24-Epibrassinolide in Peanut. Int. J. Mol. Sci. 2022, 23, 6376. [Google Scholar] [CrossRef] [PubMed]
- Karlidag, H.; Yildirim, E.; Turan, M. Role of 24-Epibrassinolide in Mitigating the Adverse Effects of Salt Stress on Stomatal Conductance, Membrane Permeability, and Leaf Water Content, Ionic Composition in Salt Stressed Strawberry (Fragaria × Ananassa). Sci. Hortic. 2011, 130, 133–140. [Google Scholar] [CrossRef]
- Su, Q.; Zheng, X.; Tian, Y.; Wang, C. Exogenous Brassinolide Alleviates Salt Stress in Malus Hupehensis Rehd. by Regulating the Transcription of NHX-Type Na+(K+)/H+ Antiporters. Front. Plant Sci. 2020, 11, 38. [Google Scholar] [CrossRef]
- Zhang, J.; Fang, H.; Jiang, J.; Gu, X.; Zhao, H.; Qiu, J.; Wang, Q.; Zheng, Y.; Zheng, K. Analysis of Transcriptomic Profiles and Physiological Traits of Exogenous 24-epibrassinolide Alleviating Salt Stress in Atractylodes macrocephala Koidz. Plant Biotechnol. Rep. 2023, 18, 161–175. [Google Scholar] [CrossRef]
- Zhang, M.; Liu, Y.; Han, G.; Zhang, Y.; Wang, B.; Chen, M. Salt Tolerance Mechanisms in Trees: Research Progress. Trees 2021, 35, 717–730. [Google Scholar] [CrossRef]
- Dagar, J.C. Greening Salty and Waterlogged Lands Through Agroforestry Systems for Livelihood Security and Better Environment. In Agroforestry Systems in India: Livelihood Security & Ecosystem Services, Advances in Agroforestry; Dagar, J., Singh, A., Arunachalam, A., Eds.; Springer: New Delhi, India, 2014; pp. 273–332. ISBN 9788132216629. [Google Scholar]
- Xu, L.; Liu, J.; Zhang, Z.; Yu, F.; Guo, J.; Yue, H. Effect of Salt Stress on Growth and Physiology in Melia azedarach Seedlings of Six Provenances. Int. J. Agric. Biol. 2018, 20, 471–480. [Google Scholar] [CrossRef]
- Han, C.; Chen, J.; Liu, Z.; Chen, H.; Yu, F.; Yu, W. Morphological and Physiological Responses of Melia Azedarach Seedlings of Different Provenances to Drought Stress. Agronomy 2022, 12, 1461. [Google Scholar] [CrossRef]
- Ahammed, G.J.; Xia, X.-J.; Li, X.; Shi, K.; Yu, J.-Q.; Zhou, Y.-H. Role of Brassinosteroid in Plant Adaptation to Abiotic Stresses and Its Interplay with Other Hormones. Curr. Protein Pept. Sci. 2015, 16, 462–473. [Google Scholar] [CrossRef]
- Marriboina, S.; Sengupta, D.; Kumar, S.; Reddy, A.R. Physiological and Molecular Insights into the High Salinity Tolerance of Pongamia pinnata (L.) Pierre, a Potential Biofuel Tree Species. Plant Sci. 2017, 258, 102–111. [Google Scholar] [CrossRef] [PubMed]
- Cao, W.-H.; Liu, J.; He, X.-J.; Mu, R.-L.; Zhou, H.-L.; Chen, S.-Y.; Zhang, J.-S. Modulation of Ethylene Responses Affects Plant Salt-Stress Responses. Plant Physiol. 2007, 143, 707–719. [Google Scholar] [CrossRef]
- Xu, X.; Wu, J.; Mo, B. Experimental Guide to Plant Physiology; South China University of Technology Press: Guangzhou, China, 2012. [Google Scholar]
- Liu, J.; Li, J.; Li, X.; Song, Y.; Zhang, Z.; Sun, J.; Sun, X. Melatonin-Induced Transcriptome Variation of Melon Seedlings under Salt Stress. Mater. Express 2023, 13, 495–507. [Google Scholar] [CrossRef]
- Bates, L.S.; Waldren, R.P.; Teare, I.D. Rapid Determination of Free Proline for Water-Stress Studies. Plant Soil 1973, 39, 205–207. [Google Scholar] [CrossRef]
- Fan, X.; Zang, J.; Xu, Z.; Guo, S.; Jiao, X.; Liu, X.; Gao, Y. Effects of Different Light Quality on Growth, Chlorophyll Concentration and Chlorophyll Biosynthesis Precursors of Non-Heading Chinese Cabbage (Brassica campestris L.). Acta Physiol. Plant 2013, 35, 2721–2726. [Google Scholar] [CrossRef]
- Beauchamp, C.; Fridovich, I. Superoxide Dismutase: Improved Assays and an Assay Applicable to Acrylamide Gels. Anal. Biochem. 1971, 44, 276–287. [Google Scholar] [CrossRef] [PubMed]
- Gao, J. Experimental Guide to Plant Physiology; Higher Education Press: Beijing, China, 2006. [Google Scholar]
- R-Core-Team R: A Language and Environment for Statistical Computing. Available online: https://www.r-project.org/ (accessed on 29 November 2023).
- Chourasia, K.N.; Lal, M.K.; Tiwari, R.K.; Dev, D.; Kumar, D.; Bhardwaj, V.; Meena, J.K.; Mangal, V.; Shelake, R.M.; Kim, J.-Y.; et al. Salinity Stress in Potato: Understanding Physiological, Biochemical and Molecular Responses. Life 2021, 11, 545. [Google Scholar] [CrossRef] [PubMed]
- Mahajan, M.M.; Goyal, E.; Singh, A.K.; Gaikwad, K.; Kanika, K. Transcriptome Dynamics Provide Insights into Long-Term Salinity Stress Tolerance in Triticum aestivum Cv. Kharchia Local. Plant Physiol. Biochem. 2017, 121, 128–139. [Google Scholar] [CrossRef] [PubMed]
- Miranda, D.; Fischer, G.; Mewis, I.; Rohn, S.; Ulrichs, C. Salinity Effects on Proline Accumulation and Total Antioxidant Activity in Leaves of the Cape Gooseberry (Physalis peruviana L.). J. Appl. Bot. Food Qual. 2014, 87, 67–73. [Google Scholar] [CrossRef]
- Porras-Soriano, A.; Soriano-Martín, M.L.; Porras-Piedra, A.; Azcón, R. Arbuscular Mycorrhizal Fungi Increased Growth, Nutrient Uptake and Tolerance to Salinity in Olive Trees under Nursery Conditions. J. Plant Physiol. 2009, 166, 1350–1359. [Google Scholar] [CrossRef] [PubMed]
- Sarker, U.; Oba, S. The Response of Salinity Stress-Induced A. tricolor to Growth, Anatomy, Physiology, Non-Enzymatic and Enzymatic Antioxidants. Front. Plant Sci. 2020, 11, 559876. [Google Scholar] [CrossRef]
- Dong, Y.J.; Wang, W.W.; Hu, G.Q.; Chen, W.F.; Zhuge, Y.P.; Wang, Z.L.; He, M.R. Role of Exogenous 24-Epibrassinolide in Enhancing the Salt Tolerance of Wheat Seedlings. J. Soil Sci. Plant Nutr. 2017, 17, 554–569. [Google Scholar] [CrossRef]
- Munsif, F.; Kong, X.; Arif, M.; Jahangir, M.; Akhtar, K.; Tang, D.; Zheng, J.; Ahmad, P.; Zhou, R.; Ali, I.; et al. Identification of Differentially Expressed Genes and Pathways in Isonuclear Kenaf Genotypes under Salt Stress. Physiol. Plant. 2021, 173, 1295–1308. [Google Scholar] [CrossRef]
- Kumar, S.; Li, G.; Yang, J.; Huang, X.; Ji, Q.; Liu, Z.; Ke, W.; Hou, H. Effect of Salt Stress on Growth, Physiological Parameters, and Ionic Concentration of Water Dropwort (Oenanthe javanica) Cultivars. Front. Plant Sci. 2021, 12, 660409. [Google Scholar] [CrossRef]
- Wani, A.S.; Hayat, S.; Ahmad, A.; Tahir, I. Efficacy of Brassinosteroid Analogues in the Mitigation of Toxic Effects of Salt Stress in Brassica juncea Plants. J. Environ. Biol. 2017, 38, 27–36. [Google Scholar] [CrossRef]
- Yan, K.; Shao, H.; Shao, C.; Chen, P.; Zhao, S.; Brestic, M.; Chen, X. Physiological Adaptive Mechanisms of Plants Grown in Saline Soil and Implications for Sustainable Saline Agriculture in Coastal Zone. Acta Physiol. Plant. 2013, 35, 2867–2878. [Google Scholar] [CrossRef]
- Ventura, Y.; Myrzabayeva, M.; Alikulov, Z.; Omarov, R.; Khozin-goldberg, I.; Sagi, M. Effects of Salinity on Flowering, Morphology, Biomass Accumulation and Leaf Metabolites in an Edible Halophyte. AoB Plants 2014, 6, plu053. [Google Scholar] [CrossRef]
- Keun, O.; Manjulatha, K.; Ki, M.; Kim, S. Effect of Salinity Stress on Photosynthesis and Related Physiological Responses in Carnation (Dianthus caryophyllus). Hortic. Environ. Biotechnol. 2019, 60, 831–839. [Google Scholar] [CrossRef]
- Mu, D.; Feng, N.; Zheng, D.; Zhou, H.; Liu, L.; Chen, G.; Mu, B. Physiological Mechanism of Exogenous Brassinolide Alleviating Salt Stress Injury in Rice Seedlings. Sci. Rep. 2022, 12, 20439. [Google Scholar] [CrossRef] [PubMed]
- Akça, Y.; Samsunlu, E. The Effect of Salt Stress on Growth, Chlorophyll Content, Proline and Nutrient Accumulation, and K/NA Ratio in Walnut. Pak. J. Bot. 2012, 44, 1513–1520. [Google Scholar]
- Hu, Y.; Li, Z.; Tang, M.; Luo, D.; Kashif, M.H.; Cao, S.; Wang, C.; Yue, J.; Huang, Z.; Pan, J.; et al. Comparative Physiological and Transcriptomic Analysis Provide New Insights of Crucial Pathways and Genes Regulating Kenaf Salt Tolerance. J. Plant Growth Regul. 2023, 42, 3582–3605. [Google Scholar] [CrossRef]
- Talaat, N.B.; Shawky, B.T. Protective Effects of Arbuscular Mycorrhizal Fungi on Wheat (Triticum aestivum L.) Plants Exposed to Salinity. Environ. Exp. Bot. 2014, 98, 20–31. [Google Scholar] [CrossRef]
- Gu, R.; Wan, Z.Q.; Tang, F.; Liu, X.T.; Yang, Y.T.; Shi, F.L. Physiological and Transcriptomic Analysis of Salt Tolerant Glaux maritima Grown under High Saline Condition. Front. Plant Sci. 2023, 14, 1173191. [Google Scholar] [CrossRef] [PubMed]
- Galal, A. 24-Epibrassinolide Application Enhances Growth and Biochemical Aspects of Squash under Salt Stress Conditons. Acta Biol. Hung. 2018, 69, 182–196. [Google Scholar] [CrossRef] [PubMed]
- Pérez-López, U.; Robredo, A.; Lacuesta, M.; Sgherri, C.; Muñoz-Rueda, A.; Navari-Izzo, F.; Mena-Petite, A. The Oxidative Stress Caused by Salinity in Two Barley Cultivars Is Mitigated by Elevated CO2. Physiol. Plant. 2009, 135, 29–42. [Google Scholar] [CrossRef] [PubMed]
- Sekmen, A.H.; Turkan, I.; Tanyolac, Z.O.; Ozfidan, C.; Dinc, A. Different Antioxidant Defense Responses to Salt Stress during Germination and Vegetative Stages of Endemic Halophyte Gypsophila oblanceolata Bark. Environ. Exp. Bot. 2012, 77, 63–76. [Google Scholar] [CrossRef]
- Jan, A.U.; Hadi, F.; Midrarullah; Nawaz, M.A.; Rahman, K. Potassium and Zinc Increase Tolerance to Salt Stress in Wheat (Triticum aestivum L.). Plant Physiol. Biochem. 2017, 116, 139–149. [Google Scholar] [CrossRef] [PubMed]
- Singh, P.; Choudhary, K.K.; Chaudhary, N.; Gupta, S.; Sahu, M.; Tejaswini, B.; Sarkar, S. Salt Stress Resilience in Plants Mediated through Osmolyte Accumulation and Its Crosstalk Mechanism with Phytohormones. Front. Plant Sci. 2022, 13, 1006617. [Google Scholar] [CrossRef]
- Cha-um, S.; Kirdmanee, C. Effect of Salt Stress on Proline Accumulation, Photosynthetic Ability and Growth Characters in Two Maize Cultivars. J. Bot. 2009, 41, 87–98. [Google Scholar]
- Ghosh, U.K.; Islam, M.N.; Siddiqui, M.N.; Cao, X.; Khan, M.A.R. Proline, a Multifaceted Signalling Molecule in Plant Responses to Abiotic Stress: Understanding the Physiological Mechanisms. Plant Biol. 2022, 24, 227–239. [Google Scholar] [CrossRef] [PubMed]
- Alhasnawi, A.N. Role of Proline in Plant Stress Tolerance: A Mini Review. Res. Crops 2019, 20, 223–229. [Google Scholar] [CrossRef]
- Filippou, P.; Bouchagier, P.; Skotti, E.; Fotopoulos, V. Proline and Reactive Oxygen/Nitrogen Species Metabolism Is Involved in the Tolerant Response of the Invasive Plant Species Ailanthus altissima to Drought and Salinity. Environ. Exp. Bot. 2014, 97, 1–10. [Google Scholar] [CrossRef]
- Shin, Y.K.; Bhandari, S.R.; Cho2, M.C.; Lee, J.G. Evaluation of Chlorophyll Fluorescence Parameters and Proline Content in Tomato Seedlings Grown under Different Salt Stress Conditions. Hortic. Environ. Biotechnol. 2020, 61, 433–443. [Google Scholar] [CrossRef]
- Karimi, G.; Ghorbanli, M.; Heidari, H.; Khavari Nejad, R.A.; Assareh, M.H. The Effects of NaCl on Growth, Water Relations, Osmolytes and Ion Content in Kochia prostrata. Biol. Plant. 2005, 49, 301–304. [Google Scholar] [CrossRef]
- El-Mashad, A.A.A.; Mohamed, H.I. Brassinolide Alleviates Salt Stress and Increases Antioxidant Activity of Cowpea Plants (Vigna sinensis). Protoplasma 2012, 249, 625–635. [Google Scholar] [CrossRef] [PubMed]
- Azarmi, F.; Mozafari, V.; Abbaszadeh Dahaji, P.; Hamidpour, M. Biochemical, Physiological and Antioxidant Enzymatic Activity Responses of Pistachio Seedlings Treated with Plant Growth Promoting Rhizobacteria and Zn to Salinity Stress. Acta Physiol. Plant. 2016, 38, 21. [Google Scholar] [CrossRef]
- Arora, N.; Bhardwaj, R.; Sharma, P.; Arora, H.K. Effects of 28-Homobrassinolide on Growth, Lipid Peroxidation and Antioxidative Enzyme Activities in Seedlings of Zea mays L. under Salinity Stress. Acta Physiol. Plant. 2008, 30, 833–839. [Google Scholar] [CrossRef]
- Zhang, H.; Zhao, D.; Tang, Z.; Zhang, Y.; Zhang, K.; Dong, J.; Wang, F. Exogenous Brassinosteroids Promotes Root Growth, Enhances Stress Tolerance, and Increases Yield in Maize. Plant Signal. Behav. 2022, 17, 2095139. [Google Scholar] [CrossRef] [PubMed]
- Kitayama, M.; Samphumphuang, T.; Tisarum, R.; Cha-um, K.; Takagaki, M.; Cha-um, S. Calcium and Soluble Sugar Enrichments and Physiological Adaptation to Mild NaCl Salt Stress in Sweet Potato (Ipomoea batatas) Genotypes. J. Hortic. Sci. Biotechnol. 2020, 95, 782–793. [Google Scholar] [CrossRef]
- Hajlaoui, H.; EI Ayeb, N.; Garrec, J.P.; Denden, M. Differential Effects of Salt Stress on Osmotic Adjustment and Solutes Allocation on the Basis of Root and Leaf Tissue Senescence of Two Silage Maize (Zea mays L.) Varieties. Ind. Crops Prod. 2010, 31, 122–130. [Google Scholar] [CrossRef]
- Zhang, M.; Yu, Z.; Zeng, D.; Si, C.; Zhao, C.; Wang, H.; Li, C.; He, C.; Duan, J. Transcriptome and Metabolome Reveal Salt-Stress Responses of Leaf Tissues from Dendrobium officinale. Biomolecules 2021, 11, 736. [Google Scholar] [CrossRef]
- Wei, T.; Wang, Y.; Liu, J.H. Comparative Transcriptome Analysis Reveals Synergistic and Disparate Defense Pathways in the Leaves and Roots of Trifoliate Orange (Poncirus trifoliata) Autotetraploids with Enhanced Salt Tolerance. Hortic. Res. 2020, 7, 88. [Google Scholar] [CrossRef]
- Chen, Y.; Xiang, Y.; Hu, Z.; Gao, Y.; Zhang, Y.; Chen, M.; Khaldun, A.B.M.; Yan, X.; Fan, J. Transcriptomic Profiling Revealed the Role of 24-Epibrassinolide in Alleviating Salt Stress Damage in Tall Fescue (Festuca arundinacea). Front. Plant Sci. 2022, 13, 976341. [Google Scholar] [CrossRef]
- Nejad-Alimoradi, F.; Nasibi, F.; Kalantari, K.M. 24-Epibrassinolide Pre-Treatment Alleviates the Salt-Induced Deleterious Effects in Medicinal Pumpkin (Cucurbita pepo) by Enhancement of GABA Content and Enzymatic Antioxidants. S. Afr. J. Bot. 2019, 124, 111–117. [Google Scholar] [CrossRef]
- Zeng, L.; Song, L.; Wu, X.; Ma, D.; Song, S.; Wang, X.; Zheng, H. Brassinosteroid Enhances Salt Tolerance via S-nitrosoglutathione Reductase and Nitric Oxide Signaling Pathway in Mangrove Kandelia obovata. Plant Cell Environ. 2023, 47, 511–526. [Google Scholar] [CrossRef] [PubMed]
- Ashraf, M.; Harris, P.J.C. Potential Biochemical Indicators of Salinity Tolerance in Plants. Plant Sci. 2004, 166, 3–16. [Google Scholar] [CrossRef]
- Atou, R.; Tonouewa, G.; Agapit, W.; Kpochemè, A.O.E.K.; Missihoun, A.A.; Ahoton, L.; Agbangla, C.; Lutts, S.; Gandonou, C.B. Salt Resistance Strategies of Amaranth Salt-Resistant Mutant Lines. Int. J. Plant Physiol. Biochem. 2023, 15, 1–12. [Google Scholar] [CrossRef]







| Seed Source | Treatment | Height Growth (cm) | Relative Increment (%) |
|---|---|---|---|
| SY | CK | 9.23 ± 2.03 a | 5.05 |
| SA | 4.97 ± 0.35 b | 2.90 | |
| SE1 | 7.53 ± 1.37 ab | 4.35 | |
| SE2 | 5.97 ± 1.21 ab | 3.38 | |
| SE3 | 5.13 ± 1.42 b | 3.07 | |
| SE4 | 4.73 ± 1.62 b | 2.93 | |
| XS | CK | 8.47 ± 2.41 ab | 4.72 |
| SA | 5.17 ± 0.84 b | 3.02 | |
| SE1 | 6.97 ± 1.33 ab | 4.15 | |
| SE2 | 6.03 ± 1.14 ab | 3.77 | |
| SE3 | 5.93 ± 0.55 ab | 3.62 | |
| SE4 | 5.33 ± 0.6 ab | 3.18 |
| Seed Source | Treatment | Diameter Growth (mm) | Relative Increment (%) |
|---|---|---|---|
| SY | CK | 1.77 ± 0.31 a | 9.73 |
| SA | 0.93 ± 0.06 bc | 6.11 | |
| SE1 | 1.23 ± 0.12 abc | 8.62 | |
| SE2 | 1.13 ± 0.15 abc | 7.55 | |
| SE3 | 1.03 ± 0.12 bc | 7.02 | |
| SE4 | 0.83 ± 0.15 bc | 5.50 | |
| XS | CK | 1.43 ± 0.15 ab | 9.62 |
| SA | 0.73 ± 0.15 c | 4.76 | |
| SE1 | 1.17 ± 0.25 abc | 6.56 | |
| SE2 | 0.97 ±0.31 bc | 6.46 | |
| SE3 | 1.07 ± 0.35 bc | 7.27 | |
| SE4 | 0.70 ± 0.26 c | 4.96 |
| Seed Source | Treatment | Biomass (g FW) |
|---|---|---|
| SY | CK | 231.62 ± 39.16 a |
| SA | 188.36 ± 19.45 a | |
| SE1 | 214.70 ± 46.61 a | |
| SE2 | 211.66 ± 54.15 a | |
| SE3 | 215.89 ± 14.11 a | |
| SE4 | 215.00 ± 31.23 a | |
| XS | CK | 289.53 ± 68.27 a |
| SA | 248.38 ± 26.77 a | |
| SE1 | 271.96 ± 90.05 a | |
| SE2 | 285.06 ± 60.07 a | |
| SE3 | 253.51 ± 55.23 a | |
| SE4 | 236.58 ± 52.33 a |
| Hgt | Dia | BM | Chl | RWC | EC | MDA | Prol | SProt | SSuga | POD | |
|---|---|---|---|---|---|---|---|---|---|---|---|
| Hgt | |||||||||||
| Dia | 0.67 *** | ||||||||||
| BM | 0.27 | 0.14 | |||||||||
| Chl | 0.49 ** | 0.67 *** | −0.07 | ||||||||
| RWC | 0.33 * | 0.43 ** | 0.08 | 0.60 *** | |||||||
| EC | −0.71 *** | −0.71 *** | −0.17 | −0.71 *** | −0.59 *** | ||||||
| MDA | −0.53 *** | −0.41 * | −0.41 * | −0.22 | −0.41 * | 0.62 *** | |||||
| Prol | −0.49 ** | −0.42 ** | −0.31 | −0.19 | −0.03 | 0.57 *** | 0.52 *** | ||||
| Sprot | −0.36 * | −0.17 | −0.35 * | 0.31 | 0.18 | 0.27 | 0.40 * | 0.68 *** | |||
| SSuga | −0.19 | −0.30 | 0.21 | −0.45 ** | 0.04 | 0.32 | −0.24 | 0.53 *** | 0.06 | ||
| POD | −0.41 * | −0.35 * | −0.11 | −0.25 | −0.00 | 0.57 *** | 0.35 * | 0.92 *** | 0.59 *** | 0.69 *** | |
| SOD | −0.47 ** | −0.43 ** | −0.12 | −0.18 | 0.03 | 0.56 *** | 0.29 | 0.87 *** | 0.75 *** | 0.63 *** | 0.90 *** |
Disclaimer/Publisher’s Note: The statements, opinions and data contained in all publications are solely those of the individual author(s) and contributor(s) and not of MDPI and/or the editor(s). MDPI and/or the editor(s) disclaim responsibility for any injury to people or property resulting from any ideas, methods, instructions or products referred to in the content. |
© 2024 by the authors. Licensee MDPI, Basel, Switzerland. This article is an open access article distributed under the terms and conditions of the Creative Commons Attribution (CC BY) license (https://creativecommons.org/licenses/by/4.0/).
Share and Cite
Htet, Z.M.; Li, X.; Yu, F. Enhanced Seedling Growth and Physiological Performances of Melia azedarach L. by Foliar Application of 24-Epibrassinolide under Salt Stress. Forests 2024, 15, 427. https://doi.org/10.3390/f15030427
Htet ZM, Li X, Yu F. Enhanced Seedling Growth and Physiological Performances of Melia azedarach L. by Foliar Application of 24-Epibrassinolide under Salt Stress. Forests. 2024; 15(3):427. https://doi.org/10.3390/f15030427
Chicago/Turabian StyleHtet, Zin Myo, Xiaoxian Li, and Fangyuan Yu. 2024. "Enhanced Seedling Growth and Physiological Performances of Melia azedarach L. by Foliar Application of 24-Epibrassinolide under Salt Stress" Forests 15, no. 3: 427. https://doi.org/10.3390/f15030427
APA StyleHtet, Z. M., Li, X., & Yu, F. (2024). Enhanced Seedling Growth and Physiological Performances of Melia azedarach L. by Foliar Application of 24-Epibrassinolide under Salt Stress. Forests, 15(3), 427. https://doi.org/10.3390/f15030427

