Evidence for Soil Phosphorus Resource Partitioning in a Diverse Tropical Tree Community
Abstract
1. Introduction
2. Materials and Methods
2.1. Study Site
2.2. Soil Sampling and Preparation
2.3. Determination of Bioavailable Soil Phosphorus
2.4. Statistical Analysis
2.4.1. Spatial Models and Predictions of Soil Phosphorus Fractions
2.4.2. Point Process Models of Tree Species
2.4.3. J-Test
2.4.4. Comparison with Species Phosphorus Affinities
3. Results
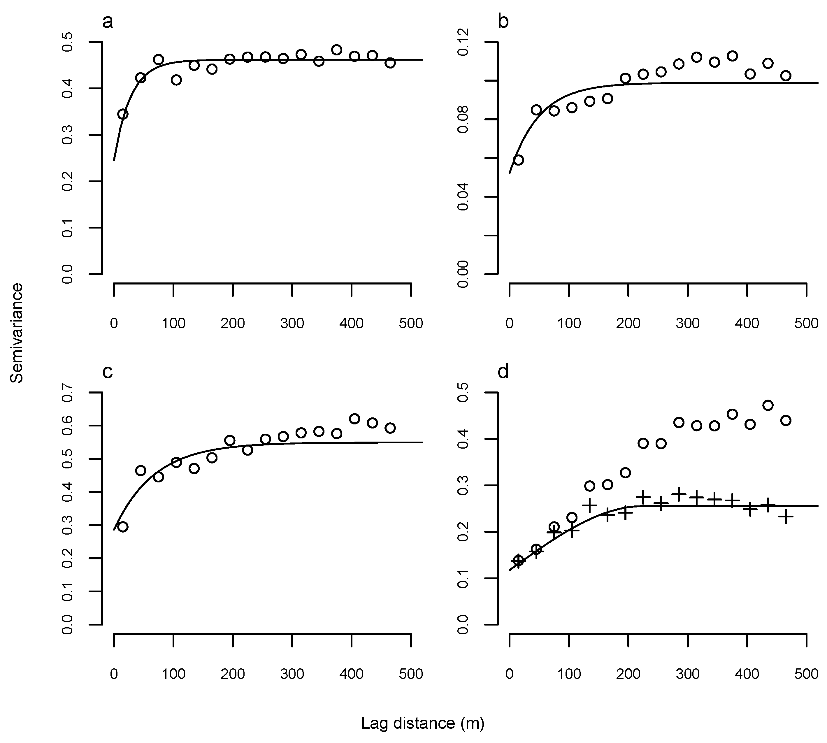
3.1. Geostatistics of Phosphorus Fractions
3.2. Point Process Models of Tree Species
3.3. Species–Phosphorus Associations
4. Discussion
4.1. Quality of Spatial Models and PPMs
4.2. Implications of Species–Phosphorus Associations for Phosphorus Resource Partitioning
4.3. Association of Soil Phosphorus Forms with Legumes
4.4. The Influence of Phosphorus Availability on Phosphorus Resource Partitioning
4.5. Limitations of the Methodology
5. Conclusions
Supplementary Materials
Author Contributions
Funding
Data Availability Statement
Acknowledgments
Conflicts of Interest
Abbreviations
| BCI | Barro Colorado Island |
| DCLF | Diggle–Cressie–Loosmore–Ford |
| EPSG | European Petroleum Survey Group Geodesy |
| ICP | inductively coupled plasma |
| MSDR | mean squared deviation ratio |
| M3 | Mehlich-III |
| M3-P | phosphorus, extracted by Mehlich-III solution |
| N | nitrogen |
| NHP | non-hydrolyzed phosphorus |
| NMR | nuclear magnetic resonance |
| NRMSE | normalized root mean squared error |
| P | phosphorus |
| PPM | point process model |
| RP | reactive phosphorus |
| TP | total phosphorus |
| UP | unreactive phosphorus |
References
- Elser, J.J.; Bracken, M.E.S.; Cleland, E.E.; Gruner, D.S.; Harpole, W.S.; Hillebrand, H.; Ngai, J.T.; Seabloom, E.W.; Shurin, J.B.; Smith, J.E. Global Analysis of Nitrogen and Phosphorus Limitation of Primary Producers in Freshwater, Marine and Terrestrial Ecosystems. Ecol. Lett. 2007, 10, 1135–1142. [Google Scholar] [CrossRef]
- Lang, F.; Bauhus, J.; Frossard, E.; George, E.; Kaiser, K.; Kaupenjohann, M.; Krüger, J.; Matzner, E.; Polle, A.; Prietzel, J.; et al. Phosphorus in Forest Ecosystems: New Insights from an Ecosystem Nutrition Perspective. J. Plant Nutr. Soil Sci. 2016, 179, 129–135. [Google Scholar] [CrossRef]
- Schachtman, D.P.; Reid, R.J.; Ayling, S.M. Phosphorus Uptake by Plants: From Soil to Cell. Plant Physiol. 1998, 116, 447–453. [Google Scholar] [CrossRef]
- Speir, T.W.; Ross, D.J. Soil Phosphatase and Sulphatase. In Soil Enzymes; Burns, R.G., Ed.; Academic Press: London, UK, 1978; pp. 198–250. [Google Scholar]
- Harrison, A.F. Soil Organic Phosphorus: A Review of World Literature; CAB International: Wallingford, UK, 1987. [Google Scholar]
- Turner, B.L.; Engelbrecht, B.M.J. Soil Organic Phosphorus in Lowland Tropical Rain Forests. Biogeochemistry 2011, 103, 297–315. [Google Scholar] [CrossRef]
- Nannipieri, P.; Giagnoni, L.; Landi, L.; Renella, G. Role of Phosphatase Enzymes in Soil. In Phosphorus in Action: Biological Processes in Soil Phosphorus Cycling, 1st ed.; Bünemann, E., Oberson, A., Frossard, E., Eds.; Number 26 in Soil Biology; Springer: Berlin/Heidelberg, Germany, 2011; pp. 215–243. [Google Scholar] [CrossRef]
- Turner, B.L. Resource Partitioning for Soil Phosphorus: A Hypothesis. J. Ecol. 2008, 96, 698–702. [Google Scholar] [CrossRef]
- Liu, X.; Burslem, D.F.R.P.; Taylor, J.D.; Taylor, A.F.S.; Khoo, E.; Majalap-Lee, N.; Helgason, T.; Johnson, D. Partitioning of Soil Phosphorus among Arbuscular and Ectomycorrhizal Trees in Tropical and Subtropical Forests. Ecol. Lett. 2018, 21, 713–723. [Google Scholar] [CrossRef]
- Steidinger, B.S.; Turner, B.L.; Corrales, A.; Dalling, J.W. Variability in Potential to Exploit Different Soil Organic Phosphorus Compounds among Tropical Montane Tree Species. Funct. Ecol. 2014, 29, 121–130. [Google Scholar] [CrossRef]
- Reed, S.C.; Townsend, A.R.; Taylor, P.G.; Cleveland, C.C. Phosphorus Cycling in Tropical Forests Growing on Highly Weathered Soils. In Phosphorus in Action: Biological Processes in Soil Phosphorus Cycling, 1st ed.; Bünemann, E., Oberson, A., Frossard, E., Eds.; Number 26 in Soil Biology; Springer: Berlin/Heidelberg, Germany, 2011; pp. 339–369. [Google Scholar] [CrossRef]
- Nasto, M.K.; Osborne, B.B.; Lekberg, Y.; Asner, G.P.; Balzotti, C.S.; Porder, S.; Taylor, P.G.; Townsend, A.R.; Cleveland, C.C. Nutrient Acquisition, Soil Phosphorus Partitioning and Competition among Trees in a Lowland Tropical Rain Forest. New Phytol. 2017, 214, 1506–1517. [Google Scholar] [CrossRef]
- Ceulemans, T.; Bodé, S.; Bollyn, J.; Harpole, S.; Coorevits, K.; Peeters, G.; Van Acker, K.; Smolders, E.; Boeckx, P.; Honnay, O. Phosphorus Resource Partitioning Shapes Phosphorus Acquisition and Plant Species Abundance in Grasslands. Nat. Plants 2017, 3, 16224. [Google Scholar] [CrossRef]
- Phoenix, G.K.; Johnson, D.A.; Muddimer, S.P.; Leake, J.R.; Cameron, D.D. Niche Differentiation and Plasticity in Soil Phosphorus Acquisition among Co-Occurring Plants. Nat. Plants 2020, 6, 349–354. [Google Scholar] [CrossRef] [PubMed]
- Leigh, E.G.; de Lao, S.L.; Condit, R.; Hubbell, S.P.; Foster, R.B.; Pérez, R. Barro Colorado Island Forest Dynamics Plot, Panama. In Tropical Forest Diversity and Dynamism: Findings from a Large-Scale Plot Network; Losos, E.C., Leigh, E.G., Eds.; University of Chicago Press: Chicago, IL, USA, 2004; pp. 451–463. [Google Scholar]
- Baillie, I.; Elsenbeer, H.; Barthold, F.; Grimm, R.; Stallard, R. Semi-Detailed Soil Survey of Barro Colorado Island, Panama; Smithsonian Tropical Research Institute: Ancón, Panama, 2007. [Google Scholar]
- John, R.; Dalling, J.W.; Harms, K.E.; Yavitt, J.B.; Stallard, R.F.; Mirabello, M.; Hubbell, S.P.; Valencia, R.; Navarrete, H.; Vallejo, M.; et al. Soil Nutrients Influence Spatial Distributions of Tropical Tree Species. Proc. Natl. Acad. Sci. USA 2007, 104, 864–869. [Google Scholar] [CrossRef]
- Zemunik, G.; Davies, S.J.; Turner, B.L. Soil Drivers of Local-Scale Tree Growth in a Lowland Tropical Forest. Ecology 2018, 99, 2844–2852. [Google Scholar] [CrossRef]
- Leigh, E.G. Tropical Forest Ecology: A View from Barro Colorado Island; Oxford University Press: New York, NY, USA, 1999. [Google Scholar]
- Windsor, D.M. Climate and Moisture Variability in a Tropical Forest: Long-Term Records from Barro Colorado Island, Panamá. Smithson. Contrib. Earth Sci. 1990, 29, 1–145. [Google Scholar] [CrossRef]
- Condit, R.; Watts, K.; Bohlman, S.A.; Pérez, R.; Foster, R.B.; Hubbell, S.P. Quantifying the Deciduousness of Tropical Forest Canopies under Varying Climates. J. Veg. Sci. 2000, 11, 649–658. [Google Scholar] [CrossRef]
- Condit, R. Research in Large, Long-Term Tropical Forest Plots. Trends Ecol. Evol. 1995, 10, 18–22. [Google Scholar] [CrossRef]
- Condit, R. Tropical Forest Census Plots, 1st ed.; Springer: Berlin, Germany, 1998. [Google Scholar] [CrossRef]
- Condit, R.; Aguilar, S.; Pérez, R.; Lao, S.; Hubbell, S.P.; Foster, R.B. [Dataset] Barro Colorado 50-Ha Plot Taxonomy; Smithsonian DSpace Digital Repository; Smithsonian Institution: Washington, DC, USA, 2017. [Google Scholar] [CrossRef]
- Condit, R.; Lao, S.; Pérez, R.; Dolins, S.B.; Foster, R.; Hubbell, S.P. [Dataset] Barro Colorado Forest Census Plot Data; Smithsonian DSpace Digital Repository; Smithsonian Institution: Washington, DC, USA, 2012. [Google Scholar] [CrossRef]
- OpenStreetMap. [Dataset] Feature Set with Key = Nature and Value = Water within Bounding Box [−79.9°, 9.1°, −79.8°, 9.2°]. 2023. Available online: https://www.openstreetmap.org/copyright (accessed on 31 December 2023).
- STRI GIS Laboratory; Solano, M. [Dataset] BCI Plot 50 ha, Updated Dataset from Original Work by Paton S. and Stallard R. STRI GIS Data Portal. 2008. Available online: https://stridata-si.opendata.arcgis.com/datasets/SI::bci-plot-50ha/about (accessed on 17 January 2024).
- STRI GIS Laboratory; Solano, M. [Dataset] Barro Colorado Nature Monument Boundaries, Updated from Original Datasets Generated by Paton S., Stallard R. with LiDAR Datasets. STRI GIS Data Portal. 2009. Available online: https://stridata-si.opendata.arcgis.com/datasets/SI::barro-colorado-nature-monument-boundaries/about (accessed on 17 January 2024).
- STRI GIS Laboratory; Solano, M. [Dataset] Panama Province Boundaries, Digitized from 1:25K Topographic Sheets Published by IGNTG, 2018. STRI GIS Data Portal. 2022. Available online: https://stridata-si.opendata.arcgis.com/datasets/SI::panama-province-boundaries-2022/about (accessed on 17 January 2024).
- Darch, T.; Blackwell, M.S.; Chadwick, D.; Haygarth, P.M.; Hawkins, J.M.; Turner, B.L. Assessment of Bioavailable Organic Phosphorus in Tropical Forest Soils by Organic Acid Extraction and Phosphatase Hydrolysis. Geoderma 2016, 284, 93–102. [Google Scholar] [CrossRef]
- Murphy, J.; Riley, J. A Modified Single Solution Method for the Determination of Phosphate in Natural Waters. Anal. Chim. Acta 1962, 27, 31–36. [Google Scholar] [CrossRef]
- Rowland, A.P.; Haygarth, P.M. Determination of Total Dissolved Phosphorus in Soil Solutions. J. Environ. Qual. 1997, 26, 410–415. [Google Scholar] [CrossRef]
- R Core Team. R: A Language and Environment for Statistical Computing; R Foundation for Statistical Computing: Vienna, Austria, 2018; Available online: https://www.R-project.org/ (accessed on 17 January 2024).
- Ribeiro, P.J., Jr.; Diggle, P.; Christensen, O.; Schlather, M.; Bivand, R.; Ripley, B. geoR: Analysis of Geostatistical Data. R Package Version 1.8-1. 2020. Available online: https://CRAN.R-project.org/package=geoR (accessed on 17 January 2024).
- Baddeley, A.; Rubak, E.; Turner, R. Spatial Point Patterns: Methodology and Applications with R, 1st ed.; Chapman & Hall/CRC Press: London, UK, 2015. [Google Scholar] [CrossRef]
- Hijmans, R.J. Raster: Geographic Data Analysis and Modeling. R Package Version 3.0-12. 2019. Available online: https://CRAN.R-project.org/package=raster (accessed on 17 January 2024).
- Müller, R.; Elsenbeer, H.; Turner, B.L.; John, R. ppartition: Test for Associations between Plant Species and Soil Nutrients. R Package Version 1.0.0. 2024. Available online: https://doi.org/10.5281/zenodo.10525337 (accessed on 17 January 2024).
- Krige, D.G. A Statistical Approach to Some Basic Mine Valuation Problems on the Witwatersrand. J. South. Afr. Inst. Min. Metall. 1951, 52, 119–139. [Google Scholar]
- Matheron, G. Les Variables Régionalisées et Leur Estimation: Une Application de La Théorie Des Fonctions Aléatoires Aux Sciences de La Nature; Masson et CIE: Paris, France, 1965. [Google Scholar]
- Matheron, G. Principles of Geostatistics. Econ. Geol. 1963, 58, 1246–1266. [Google Scholar] [CrossRef]
- Brys, G.; Hubert, M.; Struyf, A. A Comparison of Some New Measures of Skewness. In Developments in Robust Statistics, 1st ed.; Dutter, R., Filzmoser, P., Gather, U., Rousseeuw, P.J., Eds.; Physica: Heidelberg, Germany, 2003; pp. 98–113. [Google Scholar] [CrossRef]
- Hinkley, D.V. On Power Transformations to Symmetry. Biometrika 1975, 62, 101–111. [Google Scholar] [CrossRef]
- Rawlins, B.G.; Lark, R.M.; O’Donnell, K.E.; Tye, A.M.; Lister, T.R. The Assessment of Point and Diffuse Metal Pollution of Soils from an Urban Geochemical Survey of Sheffield, England. Soil Use Manag. 2005, 21, 353–362. [Google Scholar] [CrossRef]
- Box, G.; Cox, D. An Analysis of Transformations. J. R. Stat. Soc. 1964, 26, 211–252. [Google Scholar] [CrossRef]
- Nussbaum, M.; Papritz, A.; Baltensweiler, A.; Walthert, L. Estimating Soil Organic Carbon Stocks of Swiss Forest Soils by Robust External-Drift Kriging. Geosci. Model Dev. 2014, 7, 1197–1210. [Google Scholar] [CrossRef]
- Diggle, P.J.; Ribeiro, P.J., Jr. Model-Based Geostatistics, 1st ed.; Springer Series in Statistics; Springer: New York, NY, USA, 2007. [Google Scholar] [CrossRef]
- Patterson, H.D.; Thompson, R. Recovery of Inter-Block Information When Block Sizes Are Unequal. Biometrika 1971, 58, 545–554. [Google Scholar] [CrossRef]
- Webster, R.; Oliver, M.A. Geostatistics for Environmental Scientists, 2nd ed.; Statistics in Practice; Wiley: Chichester, UK, 2007. [Google Scholar] [CrossRef]
- Isaaks, E.H.; Srivastava, R.M. Applied Geostatistics; Oxford University Press: New York, NY, USA, 1989. [Google Scholar]
- Oliver, M.; Webster, R. A Tutorial Guide to Geostatistics: Computing and Modelling Variograms and Kriging. CATENA 2014, 113, 56–69. [Google Scholar] [CrossRef]
- Batista, J.L.F.; Maguire, D.A. Modeling the Spatial Structure of Topical Forests. For. Ecol. Manag. 1998, 110, 293–314. [Google Scholar] [CrossRef]
- Bell, G. Neutral Macroecology. Science 2001, 293, 2413–2418. [Google Scholar] [CrossRef] [PubMed]
- Hubbell, S.P. A Unified Theory of Biogeography and Relative Species Abundance and Its Application to Tropical Rain Forests and Coral Reefs. Coral Reefs 1997, 16, S9–S21. [Google Scholar] [CrossRef]
- Hubbell, S.P. The Unified Neutral Theory of Biodiversity and Biogeography; Number 32 in Monographs in Population Biology; Princeton University Press: Princeton, NJ, USA, 2001. [Google Scholar]
- Plotkin, J.B.; Potts, M.D.; Leslie, N.; Manokaran, N.; Lafrankie, J.; Ashton, P.S. Species-Area Curves, Spatial Aggregation, and Habitat Specialization in Tropical Forests. J. Theor. Biol. 2000, 207, 81–99. [Google Scholar] [CrossRef]
- Diggle, P.J. Statistical Analysis of Spatial Point Patterns; Mathematics in Biology; Academic Press: London, UK, 1983. [Google Scholar]
- Ripley, B.D. The Second-Order Analysis of Stationary Point Processes. J. Appl. Probab. 1976, 13, 255–266. [Google Scholar] [CrossRef]
- Thomas, M. A Generalization of Poisson’s Binomial Limit For Use in Ecology. Biometrika 1949, 36, 18–25. [Google Scholar] [CrossRef]
- Diggle, P.J. On Parameter Estimation for Spatial Point Processes. J. R. Stat. Soc. Ser. Methodol. 1978, 40, 178–181. [Google Scholar] [CrossRef]
- Matérn, B. Spatial Variation, 2nd ed.; Number 36 in Lecture Notes in Statistics; Springer: New York, NY, USA, 1986. [Google Scholar] [CrossRef]
- Jalilian, A.; Guan, Y.; Waagepetersen, R. Decomposition of Variance for Spatial Cox Processes. Scand. J. Stat. 2013, 40, 119–137. [Google Scholar] [CrossRef] [PubMed]
- Cressie, N.A.C. Statistics for Spatial Data, 1st ed.; Wiley Series in Probability and Statistics; Wiley: New York, NY, USA, 1993. [Google Scholar] [CrossRef]
- Diggle, P.J. Displaced Amacrine Cells in the Retina of a Rabbit: Analysis of a Bivariate Spatial Point Pattern. J. Neurosci. Methods 1986, 18, 115–125. [Google Scholar] [CrossRef] [PubMed]
- Loosmore, N.B.; Ford, E.D. Statistical Inference Using the G or K Point Pattern Spatial Statistics. Ecology 2006, 87, 1925–1931. [Google Scholar] [CrossRef] [PubMed]
- Baddeley, A.; Diggle, P.J.; Hardegen, A.; Lawrence, T.; Milne, R.K.; Nair, G. On Tests of Spatial Pattern Based on Simulation Envelopes. Ecol. Monogr. 2014, 84, 477–489. [Google Scholar] [CrossRef]
- Condit, R.; Engelbrecht, B.M.J.; Pino, D.; Perez, R.; Turner, B.L. Species Distributions in Response to Individual Soil Nutrients and Seasonal Drought across a Community of Tropical Trees. Proc. Natl. Acad. Sci. USA 2013, 110, 5064–5068. [Google Scholar] [CrossRef] [PubMed]
- Müller, R.; Elsenbeer, H.; Turner, B.L. [Dataset] Inorganic and Enzyme-Labile Organic Phosphorus of Soil Samples at 300 Locations within the Forest Dynamics Plot on Barro Colorado Island, Panama; Version 1; Figshare: London, UK, 2024. [Google Scholar] [CrossRef]
- Turner, B.L.; Brenes-Arguedas, T.; Condit, R. Pervasive Phosphorus Limitation of Tree Species but Not Communities in Tropical Forests. Nature 2018, 555, 367–370. [Google Scholar] [CrossRef]
- Condit, R.; Pérez, R.; Aguilar, S.; Lao, S.; Foster, R.B.; Hubbell, S.P. [Dataset] BCI 50-ha Plot Taxonomy; Version 7 July 2020; Dryad: Davis, CA, USA, 2020. [Google Scholar] [CrossRef]
- Chai, T.; Draxler, R. Root Mean Square Error (RMSE) or Mean Absolute Error (MAE)? – Arguments against Avoiding RMSE in the Literature. Geosci. Model Dev. 2014, 7, 1247–1250. [Google Scholar] [CrossRef]
- Lark, R.M.; Cullis, B.R.; Welham, S.J. On Spatial Prediction of Soil Properties in the Presence of a Spatial Trend: The Empirical Best Linear Unbiased Predictor (E-BLUP) with REML. Eur. J. Soil Sci. 2006, 57, 787–799. [Google Scholar] [CrossRef]
- Dalling, J.W.; Heineman, K.; Lopez, O.R.; Wright, S.J.; Turner, B.L. Nutrient Availability in Tropical Rain Forests: The Paradigm of Phosphorus Limitation. In Tropical Tree Physiology; Goldstein, G., Santiago, L.S., Eds.; Number 6 in Tree Physiology; Springer: Cham, Switzerland, 2016; pp. 261–273. [Google Scholar] [CrossRef]
- Cade-Menun, B.J.; Elkin, K.R.; Liu, C.W.; Bryant, R.B.; Kleinman, P.J.A.; Moore, P.A. Characterizing the Phosphorus Forms Extracted from Soil by the Mehlich III Soil Test. Geochem. Trans. 2018, 19, 7. [Google Scholar] [CrossRef]
- Turner, B.L. Institute of Agriculture and Life Sciences, Gyeongsang National University, Jinju, South Gyeongsang, Republic of Korea. 2020; unpublished dataset. [Google Scholar]
- Houlton, B.Z.; Wang, Y.P.; Vitousek, P.M.; Field, C.B. A Unifying Framework for Dinitrogen Fixation in the Terrestrial Biosphere. Nature 2008, 454, 327–330. [Google Scholar] [CrossRef]
- Png, G.K.; Turner, B.L.; Albornoz, F.E.; Hayes, P.E.; Lambers, H.; Laliberté, E. Greater Root Phosphatase Activity in Nitrogen-Fixing Rhizobial but Not Actinorhizal Plants with Declining Phosphorus Availability. J. Ecol. 2017, 105, 1246–1255. [Google Scholar] [CrossRef]
- Batterman, S.A.; Hall, J.S.; Turner, B.L.; Hedin, L.O.; LaHaela Walter, J.K.; Sheldon, P.; van Breugel, M. Phosphatase Activity and Nitrogen Fixation Reflect Species Differences, Not Nutrient Trading or Nutrient Balance, across Tropical Rainforest Trees. Ecol. Lett. 2018, 21, 1486–1495. [Google Scholar] [CrossRef]
- Hayes, J.E.; Richardson, A.E.; Simpson, R.J. Phytase and Acid Phosphatase Activities in Extracts from Roots of Temperate Pasture Grass and Legume Seedlings. Funct. Plant Biol. 1999, 26, 801–809. [Google Scholar] [CrossRef]
- Olde Venterink, H. Legumes Have a Higher Root Phosphatase Activity than Other Forbs, Particularly under Low Inorganic P and N Supply. Plant Soil 2011, 347, 137–146. [Google Scholar] [CrossRef]
- Treseder, K.K.; Vitousek, P.M. Effects of Soil Nutrient Availability on Investment in Acquisition of N and P in Hawaiian Rain Forests. Ecology 2001, 82, 946–954. [Google Scholar] [CrossRef]
- Batterman, S.A.; Wurzburger, N.; Hedin, L.O. Nitrogen and Phosphorus Interact to Control Tropical Symbiotic N2 Fixation: A Test in Inga punctata. J. Ecol. 2013, 101, 1400–1408. [Google Scholar] [CrossRef]
- Dieter, D.; Elsenbeer, H.; Turner, B.L. Phosphorus Fractionation in Lowland Tropical Rainforest Soils in Central Panama. CATENA 2010, 82, 118–125. [Google Scholar] [CrossRef]
- Hou, E.; Tan, X.; Heenan, M.; Wen, D. A Global Dataset of Plant Available and Unavailable Phosphorus in Natural Soils Derived by Hedley Method. Sci. Data 2018, 5, 180166. [Google Scholar] [CrossRef] [PubMed]
- Turner, B.L. (Institute of Agriculture and Life Sciences, Gyeongsang National University, Jinju, South Gyeongsang, Republic of Korea); Müller, R. (Geological Survey, State Office for Mining, Geology and Raw Materials of Brandenburg, Cottbus, Brandenburg, Germany). 2018; unpublished dataset. [Google Scholar]
- Tan, S.; Yamakura, T.; Tani, M.; Palmiotto, P.; Mamit, J.D.; Pin, S.; Davies, S.; Ashton, P.; Baillie, I. Review of Soils on the 52 Ha Long Term Ecological Research Plot in Mixed Dipterocarp Forest at Lambir, Sarawak, Malaysian Borneo. Tropics 2009, 18, 61–86. [Google Scholar] [CrossRef]
- Townsend, A.R.; Cleveland, C.C.; Asner, G.P.; Bustamante, M.M.C. Controls over Foliar N:P Ratios in Tropical Rain Forests. Ecology 2007, 88, 107–118. [Google Scholar] [CrossRef] [PubMed]
- Turner, B.L.; Yavitt, J.B.; Harms, K.E.; Garcia, M.N.; Wright, S.J. Seasonal Changes in Soil Organic Matter after a Decade of Nutrient Addition in a Lowland Tropical Forest. Biogeochemistry 2015, 123, 221–235. [Google Scholar] [CrossRef]
- Richardson, A.E.; Simpson, R.J. Soil Microorganisms Mediating Phosphorus Availability Update on Microbial Phosphorus. Plant Physiol. 2011, 156, 989–996. [Google Scholar] [CrossRef]
- Dalling, J.; Hubbell, S.; Dewalt, S. [Dataset] Barro Colorado Natural Monument DTM—LiDAR; STRI GIS Data Portal. 2009. Available online: https://stridata-si.opendata.arcgis.com/datasets/barro-colorado-natural-monument-dtm-lidar- (accessed on 21 April 2021).
- Nelder, J.A.; Mead, R. A Simplex Method for Function Minimization. Comput. J. 1965, 7, 308–313. [Google Scholar] [CrossRef]
- Bélisle, C.J.P. Convergence Theorems for a Class of Simulated Annealing Algorithms on Rd. J. Appl. Probab. 1992, 29, 885–895. [Google Scholar] [CrossRef]




| Family | Species | Authority | RP | MP | NP | NHP | P Specialist | ||||
|---|---|---|---|---|---|---|---|---|---|---|---|
| Anacardiaceae | Spondias radlkoferi | Donn. Sm. | 0.933 | 0.633 | 0.018 | 0.008 | 0.422 | 0.200 | 0.060 | 0.036 | high P |
| Annonaceae | Guatteria lucens | Standl. | 0.144 | 0.059 | 0.002 | 0.001 | 0.649 | 0.317 | 0.002 | 0.001 | |
| Annonaceae | Mosannona garwoodii | Chatrou & Welzenis | 0.505 | 0.185 | 0.018 | 0.007 | 0.104 | 0.049 | 0.050 | 0.014 | |
| Annonaceae | Unonopsis pittieri | Saff. | 0.507 | 0.251 | 0.144 | 0.084 | 0.480 | 0.736 | 0.044 | 0.022 | |
| Apocynaceae | Tabernaemontana arborea | Rose ex J. D. Sm. | 0.404 | 0.249 | 0.392 | 0.209 | 0.018 | 0.020 | 0.951 | 0.399 | |
| Burseraceae | Protium costaricense | (Rose) Engl. | 0.366 | 0.164 | 0.068 | 0.034 | 0.991 | 0.496 | 0.048 | 0.017 | |
| Burseraceae | Protium panamense | (Rose) I. M. Johnst. | 0.160 | 0.075 | 0.052 | 0.027 | 0.018 | 0.007 | 0.072 | 0.033 | low P |
| Burseraceae | Protium stevensonii | (Standl.) Daly | 0.865 | 0.371 | 0.174 | 0.074 | 0.637 | 0.282 | 0.034 | 0.017 | |
| Burseraceae | Trattinnickia aspera | (Standl.) Swart | 0.400 | 0.816 | 0.304 | 0.146 | 0.236 | 0.135 | 0.036 | 0.018 | low P |
| Cannabaceae | Celtis schippii | Standl. | 0.917 | 0.477 | 0.106 | 0.053 | 0.284 | 0.809 | 0.010 | 0.003 | |
| Celastraceae | Monteverdia sieberiana | (Krug & Urb.) Biral | 0.613 | 0.680 | 0.036 | 0.019 | 0.777 | 0.547 | 0.044 | 0.029 | |
| Chrysobalanaceae | Hirtella triandra | Sw. | 0.066 | 0.032 | 0.034 | 0.018 | 0.607 | 0.645 | 0.020 | 0.008 | |
| Clusiaceae | Chrysochlamys eclipes | L. O. Williams | 0.120 | 0.071 | 0.010 | 0.005 | 0.607 | 0.254 | 0.002 | 0.001 | low P |
| Clusiaceae | Symphonia globulifera | L. f. | 0.585 | 0.306 | 0.040 | 0.028 | 0.839 | 0.386 | 0.044 | 0.022 | low P |
| Elaeocarpaceae | Sloanea terniflora | (Moc. & Sessé ex DC.) Standl. | 0.731 | 0.295 | 0.262 | 0.111 | 0.314 | 0.138 | 0.018 | 0.010 | |
| Fabaceae (Mimosoideae) | Inga cocleensis | Pittier | 0.913 | 0.583 | 0.010 | 0.009 | 0.603 | 0.271 | 0.162 | 0.106 | |
| Fabaceae (Papilionoideae) | Erythrina costaricensis | Micheli | 0.501 | 0.329 | 0.032 | 0.012 | 0.144 | 0.062 | 0.092 | 0.028 | |
| Fabaceae (Papilionoideae) | Lonchocarpus heptaphyllus | (Poir.) DC. | 0.963 | 0.765 | 0.218 | 0.089 | 0.016 | 0.011 | 0.048 | 0.023 | |
| Fabaceae (Papilionoideae) | Platypodium elegans | Vogel | 0.372 | 0.168 | 0.372 | 0.176 | 0.022 | 0.019 | 0.827 | 0.534 | |
| Fabaceae (Papilionoideae) | Swartzia simplex var. continentalis | (Sw.) Spreng. | 0.312 | 0.160 | 0.044 | 0.020 | 0.176 | 0.085 | 0.008 | 0.004 | |
| Malvaceae | Herrania purpurea | (Pittier) R.E. Schult. | 0.372 | 0.156 | 0.202 | 0.105 | 0.482 | 0.165 | 0.014 | 0.006 | |
| Moraceae | Maquira guianensis | Aubl. | 0.573 | 0.252 | 0.563 | 0.282 | 0.484 | 0.204 | 0.004 | 0.002 | |
| Moraceae | Poulsenia armata | (Miq.) Standl. | 0.250 | 0.124 | 0.028 | 0.015 | 0.833 | 0.329 | 0.008 | 0.004 | |
| Moraceae | Sorocea affinis | Hemsl. | 0.559 | 0.204 | 0.004 | 0.002 | 0.088 | 0.034 | 0.002 | 0.002 | |
| Moraceae | Trophis caucana | (Pittier) C. C. Berg | 0.855 | 0.433 | 0.056 | 0.037 | 0.803 | 0.539 | 0.028 | 0.015 | high P |
| Myristicaceae | Virola nobilis | A. C. Sm. | 0.657 | 0.317 | 0.056 | 0.028 | 0.589 | 0.591 | 0.024 | 0.013 | |
| Myristicaceae | Virola sebifera | Aubl. | 0.136 | 0.066 | 0.400 | 0.166 | 0.200 | 0.111 | 0.046 | 0.017 | |
| Myrtaceae | Chamguava schippii | (Standl.) Landrum | 0.358 | 0.217 | 0.028 | 0.033 | 0.084 | 0.059 | 0.597 | 0.310 | |
| Rubiaceae | Pentagonia macrophylla | Benth. | 0.146 | 0.094 | 0.060 | 0.028 | 0.517 | 0.184 | 0.002 | 0.001 | |
| Rubiaceae | Psychotria limonensis | K. Krause | 0.567 | 0.094 | 0.266 | 0.056 | 0.741 | 0.459 | 0.046 | 0.008 | |
| Rutaceae | Zanthoxylum acuminatum | (Sw.) Sw. | 0.156 | 0.089 | 0.004 | 0.001 | 0.521 | 0.333 | 0.104 | 0.032 | |
| Rutaceae | Zanthoxylum ekmanii | (Urb.) Alain | 0.821 | 0.399 | 0.302 | 0.166 | 0.118 | 0.057 | 0.024 | 0.016 | |
| Salicaceae | Laetia thamnia | L. | 0.917 | 0.462 | 0.068 | 0.034 | 0.006 | 0.004 | 0.188 | 0.079 | |
| Sapotaceae | Chrysophyllum argenteum | Jacq. | 0.218 | 0.096 | 0.320 | 0.120 | 0.494 | 0.192 | 0.002 | 0.001 | |
| Simaroubaceae | Simarouba amara | Aubl. | 0.983 | 0.457 | 0.238 | 0.083 | 0.022 | 0.013 | 0.430 | 0.144 | |
| Solanaceae | Cestrum schlechtendalii | G. Don. | 0.450 | 0.203 | 0.008 | 0.004 | 0.404 | 0.140 | 0.020 | 0.011 | high P |
Disclaimer/Publisher’s Note: The statements, opinions and data contained in all publications are solely those of the individual author(s) and contributor(s) and not of MDPI and/or the editor(s). MDPI and/or the editor(s) disclaim responsibility for any injury to people or property resulting from any ideas, methods, instructions or products referred to in the content. |
© 2024 by the authors. Licensee MDPI, Basel, Switzerland. This article is an open access article distributed under the terms and conditions of the Creative Commons Attribution (CC BY) license (https://creativecommons.org/licenses/by/4.0/).
Share and Cite
Müller, R.; Elsenbeer, H.; Turner, B.L. Evidence for Soil Phosphorus Resource Partitioning in a Diverse Tropical Tree Community. Forests 2024, 15, 361. https://doi.org/10.3390/f15020361
Müller R, Elsenbeer H, Turner BL. Evidence for Soil Phosphorus Resource Partitioning in a Diverse Tropical Tree Community. Forests. 2024; 15(2):361. https://doi.org/10.3390/f15020361
Chicago/Turabian StyleMüller, Robert, Helmut Elsenbeer, and Benjamin L. Turner. 2024. "Evidence for Soil Phosphorus Resource Partitioning in a Diverse Tropical Tree Community" Forests 15, no. 2: 361. https://doi.org/10.3390/f15020361
APA StyleMüller, R., Elsenbeer, H., & Turner, B. L. (2024). Evidence for Soil Phosphorus Resource Partitioning in a Diverse Tropical Tree Community. Forests, 15(2), 361. https://doi.org/10.3390/f15020361

