Vegetation Restoration Effectiveness in Mianshan Abandoned Mine, Dongzhi County, China: Considering Habitat Diversity and Critical Drivers
Abstract
1. Introduction
2. Materials and Methods
2.1. Site Description
2.2. Research Design and Methodology
2.3. The Drone Oblique Photography
2.4. Vegetation Survey Along Transect Lines
2.5. Evaluation Indicator System for Vegetation Restoration
2.5.1. Vegetation Recovery Rate
2.5.2. Transect Vegetation Recovery Rate
2.5.3. Plant Species Richness
2.5.4. Plant Species Evenness
2.5.5. Number of Invasive Species
2.5.6. Proportion of Invasive Species
2.5.7. Proportion of Planted Species
2.5.8. Health Status of Planted Species
2.6. Determining the Indicator Weights
2.6.1. Constructing the Judgment Matrix
2.6.2. Calculation of Weights
2.6.3. Consistency Check
2.7. Comprehensive Assessment of Mine Vegetation Restoration Effectiveness
2.7.1. Determination of Factor Set and Evaluation Set
2.7.2. Construction of Fuzzy Relation Matrix
2.7.3. Implementation of Fuzzy Comprehensive Evaluation
3. Results
3.1. Weights of Evaluation Indicators
3.2. Vegetation Growth Status
3.2.1. Vegetation Growth Status in the Mine Restoration Area
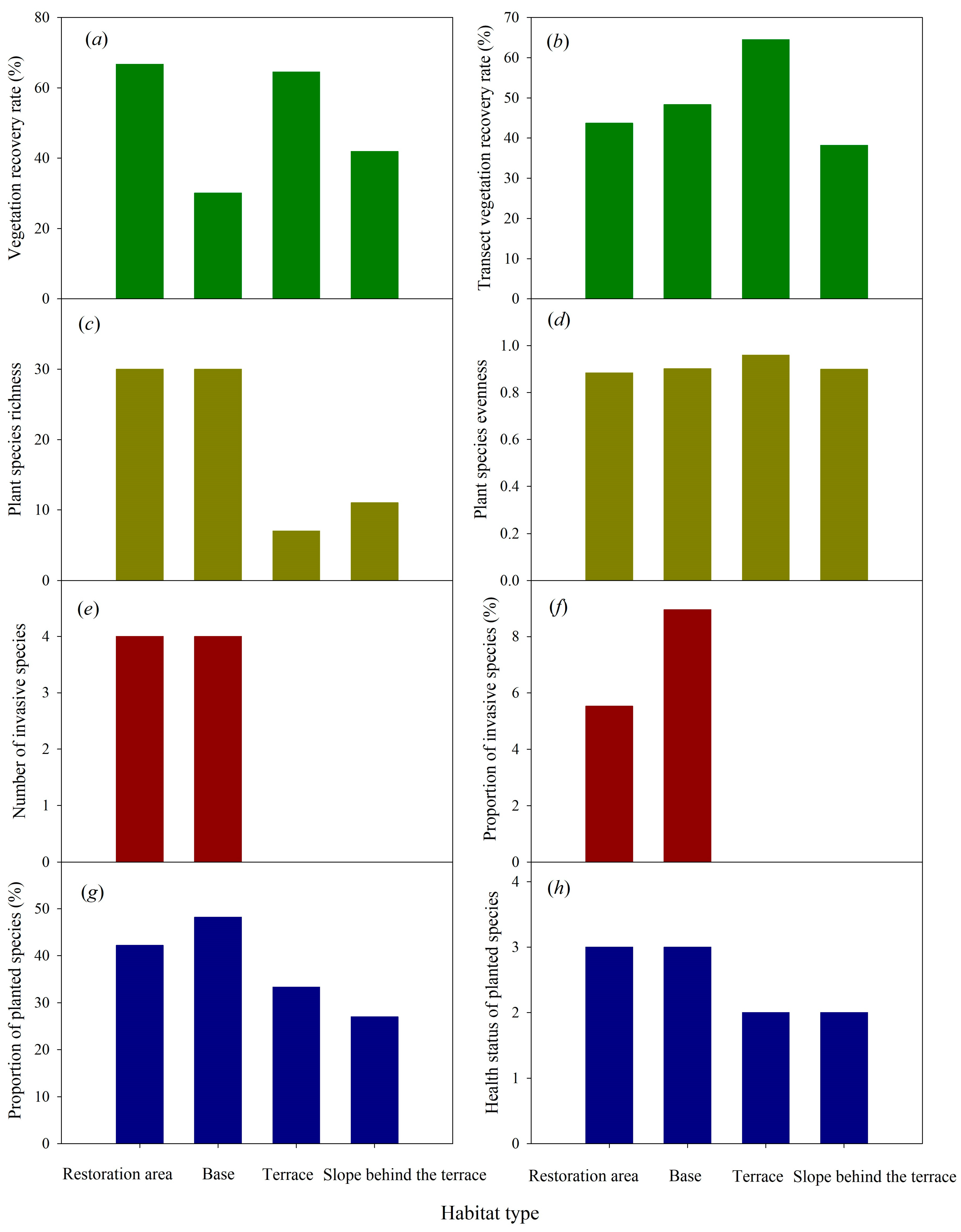
3.2.2. Vegetation Growth Status in Specific Habitats
3.3. Assessment of Vegetation Restoration Effects
4. Discussion
5. Conclusions
Author Contributions
Funding
Data Availability Statement
Conflicts of Interest
References
- Carvalho, F.P. Mining industry and sustainable development: Time for change. Food Energy Secur. 2017, 6, 61–77. [Google Scholar] [CrossRef]
- Zhang, L.; Wang, J.M.; Bai, Z.K.; Lv, C.J. Effects of vegetation on runoff and soil erosion on reclaimed land in an opencast coal-mine dump in a loess area. Catena 2015, 128, 44–53. [Google Scholar] [CrossRef]
- Ahirwal, J.; Pandey, V.C. Restoration of mine degraded land for sustainable environmental development. Restor. Ecol. 2021, 29, e13268. [Google Scholar] [CrossRef]
- Da Silva, C.F.A.; De Andrade, M.O.; Dos Santos, A.M.; Falcão, V.A.; Martins, S.F.S. The drivers of illegal mining on Indigenous Lands in the Brazilian Amazon. Extr. Ind. Soc. 2023, 16, 101354. [Google Scholar] [CrossRef]
- Maus, V.; Giljum, S.; da Silva, D.M.; Gutschlhofer, J.; da Rosa, R.P.; Luckeneder, S.; Gass, S.L.B.; Lieber, M.; McCallum, I. An update on global mining land use. Sci. Data 2022, 9, 433. [Google Scholar] [CrossRef] [PubMed]
- Dong, L.J.; Tong, X.J.; Li, X.B.; Zhou, J.; Wang, S.F.; Liu, B. Some developments and new insights of environmental problems and deep mining strategy for cleaner production in mines. J. Clean. Prod. 2019, 210, 1562–1578. [Google Scholar] [CrossRef]
- Feng, Y.; Wang, J.M.; Bai, Z.K.; Reading, L. Effects of surface coal mining and land reclamation on soil properties: A review. Earth-Sci. Rev. 2019, 191, 12–25. [Google Scholar] [CrossRef]
- Ngugi, M.R.; Neldner, V.J.; Doley, D.; Kusy, B.; Moore, D.; Richter, C. Soil moisture dynamics and restoration of self-sustaining native vegetation ecosystem on an open-cut coal mine. Restor. Ecol. 2015, 23, 615–624. [Google Scholar] [CrossRef]
- Yu, H.X.; Zahidi, I.; Chow, M.F. Vegetation as an ecological indicator in assessing environmental restoration in mining areas. iScience 2023, 26, 107667. [Google Scholar] [CrossRef] [PubMed]
- Li, T.; Wu, M.H.; Duan, C.Q.; Li, S.Y.; Liu, C.E. The effect of different restoration approaches on vegetation development in metal mines. Sci. Total Environ. 2021, 806, 150626. [Google Scholar] [CrossRef] [PubMed]
- Gairola, S.U.; Bahuguna, R.; Bhatt, S.S. Native plant species: A tool for restoration of mined lands. J. Soil Sci. Plant Nutr. 2023, 23, 1438–1448. [Google Scholar] [CrossRef] [PubMed]
- Tamura, N.; Lulow, M.E.; Halsch, C.A.; Major, M.R.; Balazs, K.R.; Austin, P.; Huxman, T.E.; Kimball, S. Effectiveness of seed sowing techniques for sloped restoration sites. Restor. Ecol. 2017, 25, 942–952. [Google Scholar] [CrossRef]
- Abraha, A.B.; Tesfamariam, E.H.; Truter, W.F. Can a blend of amendments be an important component of a rehabilitation strategy for surface coal mined soils? Sustainability 2019, 11, 4297. [Google Scholar] [CrossRef]
- Ren, H.; Zhao, Y.L.; Xiao, W.; Li, J.Q.; Yang, X. Influence of management on vegetation restoration in coal waste dump after reclamation in semi-arid mining areas: Examining ShengLi coalfield in Inner Mongolia, China. Environ. Sci. Pollut. Res. 2021, 28, 68460–68474. [Google Scholar] [CrossRef] [PubMed]
- Kondratenko, L.; Gura, D.; Shaidullina, V.; Rogulin, R.; Kondrashev, S. Restoration of vegetation around mining enterprises. Saudi J. Biol. Sci. 2022, 29, 1881–1886. [Google Scholar] [CrossRef]
- Wang, W.; Liu, R.Y.; Gan, F.P.; Zhou, P.; Zhang, X.W.; Ding, L. Monitoring and evaluating restoration vegetation status in mine region using remote sensing data: Case study in Inner Mongolia, China. Remote Sens. 2021, 13, 1350. [Google Scholar] [CrossRef]
- Mapaure, I.; Chimwamurombe, P.M.; Mapani, B.S.; Kamona, F.A. Impacts of mine dump pollution on plant species diversity, composition and structure of a semiarid savanna in Namibia. Afr. J. Range Forage Sci. 2011, 28, 149–154. [Google Scholar] [CrossRef]
- Liu, R.F.; Yuan, K.; Li, X.; Liu, X.L.; Zhao, X.T.; Guo, X.C.; Fu, J.; Cao, S.X. Extraction and spatiotemporal changes of open-pit mines during 1985–2020 using Google Earth Engine: A case study of Qingzhou City, Shandong Province, China. Environ. Monit. Assess. 2023, 195, 209. [Google Scholar] [CrossRef]
- Zhu, D.Y.; Chen, T.; Zhen, N.; Niu, R.Q. Monitoring the effects of open-pit mining on the eco-environment using a moving window-based remote sensing ecological index. Environ. Sci. Pollut. Res. 2020, 27, 15716–15728. [Google Scholar] [CrossRef] [PubMed]
- Zhang, Y.M.; Shang, K.J. Evaluation of mine ecological environment based on fuzzy hierarchical analysis and grey relational degree. Environ. Res. 2024, 257, 119370. [Google Scholar] [CrossRef]
- Yu, X.Y.; Mu, C.; Zhang, D.D. Assessment of land reclamation benefits in mining areas using fuzzy comprehensive evaluation. Sustainability 2020, 12, 2015. [Google Scholar] [CrossRef]
- Gachlou, M.; Roozbahani, A.; Banihabib, M.E. Comprehensive risk assessment of river basins using Fault Tree Analysis. J. Hydrol. 2019, 577, 123974. [Google Scholar] [CrossRef]
- Ozdemir, A.C. Use of integrated AHP-TOPSIS method in selection of optimum mine planning for open-pit mines. Arch. Min. Sci. 2023, 68, 35–53. [Google Scholar] [CrossRef]
- Zhou, S.L.; Li, X.K.; Zhang, P.C.; Lu, G.; Zhang, X.L.; Zhang, H.Q.; Zhang, F.M. Carbon sequestration capacity after ecological restoration of open-pit mines: A case study in Yangtze River Basin, Jurong City, Jiangsu Province. Sustainability 2024, 16, 8149. [Google Scholar] [CrossRef]
- Yang, Y.S.; Liu, D.X.; Xiao, H.; Chen, J.G.; Ding, Y.; Xia, D.; Xia, Z.Y.; Xu, W.N. Evaluating the effect of the ecological restoration of quarry slopes in Caidian district, Wuhan city. Sustainability 2019, 11, 6624. [Google Scholar] [CrossRef]
- Zhao, W.; Wu, S.Y.; Chen, X.; Shen, J.S.; Wei, F.L.; Li, D.L.; Liu, L.B.; Li, S.C. How would ecological restoration affect multiple ecosystem service supplies and tradeoffs? A study of mine tailings restoration in China. Ecol. Indic. 2023, 153, 110451. [Google Scholar] [CrossRef]
- Huang, Y.L.; Li, X.Y.; Liu, D.; Duan, B.Y.; Huang, X.Y.; Chen, S. Evaluation of Vegetation restoration effectiveness along the Yangtze River shoreline and its response to land use changes. Sci. Rep. 2024, 14, 7611. [Google Scholar] [CrossRef] [PubMed]
- Chau, N.L.; Jim, C.Y.; Zhang, H. Species-specific holistic assessment of tree structure and defects in urban Hong Kong. Urban For. Urban Green. 2020, 55, 126813. [Google Scholar] [CrossRef]
- Rocha Martins, W.B.; Roque Lima, M.D.; de Oliveira Barros Junior, U.; Villas-Boas Amorim, L.S.; de Oliveira, F.A.; Schwartz, G. Ecological methods and indicators for recovering and monitoring ecosystems after mining: A global literature review. Ecol. Eng. 2020, 145, 105707. [Google Scholar] [CrossRef]
- Xiong, P.F.; Chen, Z.F.; Zhou, J.J.; Lai, S.B.; Jian, C.X.; Wang, Z.; Xu, B.C. Aboveground biomass production and dominant species type determined canopy storage capacity of abandoned grassland communities. Ecohydrology 2021, 14, e2265. [Google Scholar] [CrossRef]
- Sun, B.D.; Tang, J.C.; Yu, D.H.; Song, Z.W.; Wang, P.G. Ecosystem health assessment: A PSR analysis combining AHP and FCE methods for Jiaozhou Bay, China. Ocean Coast. Manag. 2019, 168, 41–50. [Google Scholar] [CrossRef]
- Zhu, Y.; Zhong, S.H.; Wang, Y.; Liu, M.H. Land use evolution and land ecological security evaluation based on AHP-FCE model: Evidence from China. Int. J. Environ. Res. Public Health 2021, 18, 12076. [Google Scholar] [CrossRef] [PubMed]
- Yuan, M.; Ouyang, J.Y.; Zheng, S.N.; Tian, Y.; Sun, R.; Bao, R.; Li, T.; Yu, T.S.; Li, S.; Wu, D.; et al. Research on ecological effect assessment method of ecological restoration of open-pit coal mines in alpine regions. Int. J. Environ. Res. Public Health 2022, 19, 7682. [Google Scholar] [CrossRef]
- Harries, K.L.; Woinarski, J.; Rumpff, L.; Gardener, M.; Erskine, P.D. Characteristics and gaps in the assessment of progress in mine restoration: Insights from five decades of published literature relating to native ecosystem restoration after mining. Restor. Ecol. 2024, 32, e14016. [Google Scholar] [CrossRef]
- Zhang, D.; Yang, S.K.; Wang, Z.Z.; Yang, C.Y.; Chen, Y.Y. Assessment of ecological environment impact in highway construction activities with improved group AHP-FCE approach in China. Environ. Monit. Assess. 2020, 192, 451. [Google Scholar] [CrossRef]
- Han, Y.; Ke, Y.H.; Zhu, L.J.; Feng, H.; Zhang, Q.; Sun, Z.; Zhu, L. Tracking vegetation degradation and recovery in multiple mining areas in Beijing, China, based on time-series Landsat imagery. GISci. Remote Sens. 2021, 58, 1477–1496. [Google Scholar] [CrossRef]
- Xie, J.Y.; Liu, Y.X.; Xie, M.M.; Xia, L.; Yang, R.J.; Li, J.A. Exploring the restoration stability of abandoned open-pit mines by vegetation resilience indicator based on the LandTrendr algorithm. Ecol. Indic. 2024, 166, 112392. [Google Scholar] [CrossRef]
- Mao, Z.J.; Wang, M.N.; Chu, J.W.; Sun, J.W.; Liang, W.; Yu, H.Y. Feature extraction and analysis of reclaimed vegetation in ecological restoration area of abandoned mines based on hyperspectral remote sensing images. J. Arid Land 2024, 16, 1409–1425. [Google Scholar] [CrossRef]
- Ruggles, T.A.; Gerrath, J.A.; Ruhm, C.T.; Jefferson, A.J.; Davis, C.A.; Blackwood, C.B. Surface mines show little progress towards native species forest restoration following 35 years of passive management after initial reclamation. Land Degrad. Dev. 2021, 32, 2351–2359. [Google Scholar] [CrossRef]
- Chen, J.H.; Jiskani, I.M.; Li, G.Q. Ecological restoration of Coalmine-Degraded lands: Influence of plant species and revegetation on soil development. Sustainability 2023, 15, 13772. [Google Scholar] [CrossRef]
- Li, Y.Y.; Wen, H.Y.; Chen, L.Q.; Yin, T.T. Succession of bacterial community structure and diversity in soil along a chronosequence of reclamation and re-vegetation on coal mine spoils in China. PLoS ONE 2014, 9, e115024. [Google Scholar] [CrossRef]
- Zhang, L.; Bai, K.Z.; Wang, M.J.; Karthikeyan, R. Basin-scale spatial soil erosion variability: Pingshuo opencast mine site in Shanxi Province, Loess Plateau of China. Nat. Hazards 2016, 80, 1213–1230. [Google Scholar] [CrossRef]
- Deng, L.; Wang, K.B.; Li, J.P.; Zhao, G.W.; Shangguan, Z. Effect of soil moisture and atmospheric humidity on both plant productivity and diversity of native grasslands across the Loess Plateau, China. Ecol. Eng. 2016, 94, 525–531. [Google Scholar] [CrossRef]
- Freyman, W.A.; Masters, L.A.; Packard, S. The universal floristic quality assessment (FQA) calculator: An online tool for ecological assessment and monitoring. Methods Ecol. Evol. 2016, 7, 380–383. [Google Scholar] [CrossRef]
- Li, C.H.; Ji, Y.K.; Ma, N.; Zhang, J.; Zhang, H.; Ji, C.J.; Zhu, J.L.; Shao, J.J.; Li, Y. Positive effects of vegetation restoration on the soil properties of post-mining land. Plant Soil 2024, 497, 93–103. [Google Scholar] [CrossRef]
- Gastauer, M.; Silva, J.R.; Caldeira Junior, C.F.; Ramos, S.J.; Martins Souza Filho, P.W.; Furtini Neto, A.E.; Siqueira, J.O. Mine land rehabilitation: Modern ecological approaches for more sustainable mining. J. Clean. Prod. 2018, 172, 1409–1422. [Google Scholar] [CrossRef]
- Xu, D.L.; Li, X.F.; Chen, J.; Li, J.H. Research progress of soil and vegetation restoration technology in open-pit coal mine: A review. Agriculture 2023, 13, 226. [Google Scholar] [CrossRef]






| Relative Importance of Factor i Compared to Factor j | Quantitative Value |
|---|---|
| Equally important | 1 |
| Slightly more important | 3 |
| Moderately more important | 5 |
| Significantly more important | 7 |
| Absolutely more important | 9 |
| Intermediate values between two adjacent judgments | 2, 4, 6, 8 |
| Reciprocal | If the importance ratio of element i to element j is Qij, then the ratio of j to i is Qij = 1/Qij, |
| n | 1 | 2 | 3 | 4 | 5 | 6 | 7 |
|---|---|---|---|---|---|---|---|
| RI | 0 | 0 | 0.58 | 0.90 | 1.12 | 1.24 | 1.32 |
| Model Level | Judgment Matrix | Weight (W) | ||||
|---|---|---|---|---|---|---|
| A-Bi | A | B1 | B2 | B3 | B4 | — |
| B1 | 1 | 4 | 5 | 5 | 0.5894 | |
| B2 | 1/4 | 1 | 3 | 2 | 0.2063 | |
| B3 | 1/5 | 1/3 | 1 | 1/2 | 0.0796 | |
| B4 | 1/5 | 1/2 | 2 | 1 | 0.1247 | |
| B1-Ci | B1 | C1 | C2 | — | — | — |
| C1 | 1 | 2 | — | — | 0.6667 | |
| C2 | 1/2 | 1 | — | — | 0.3333 | |
| B2-Ci | B2 | C3 | C4 | — | — | — |
| C3 | 1 | 1 | — | — | 0.5000 | |
| C4 | 1 | 1 | — | — | 0.5000 | |
| B3-Ci | B3 | C5 | C6 | — | — | — |
| C5 | 1 | 1 | — | — | 0.5000 | |
| C6 | 1 | 1 | — | — | 0.5000 | |
| B4-Ci | B4 | C7 | C8 | — | — | — |
| C7 | 1 | 1/2 | — | — | 0.3333 | |
| C8 | 2 | 1 | — | — | 0.6667 | |
| Judgment Matrix | λmax | CR |
|---|---|---|
| A-Bi | 4.0978 | 0.0362 |
| B1-Ci | 2.0000 | 0 |
| B2-Ci | 2.0000 | 0 |
| B3-Ci | 2.0000 | 0 |
| B4-Ci | 2.0000 | 0 |
| Indicator Ci | W |
|---|---|
| C1 (Vegetation recovery rate) | 0.3930 |
| C2 (Transect vegetation recovery rate) | 0.1965 |
| C3 (Plant species richness) | 0.1031 |
| C4 (Plant species evenness) | 0.1031 |
| C5 (Number of invasive plant species) | 0.0398 |
| C6 (Proportion of invasive species) | 0.0398 |
| C7 (Proportion of planted species) | 0.0415 |
| C8 (Health status of planted species) | 0.0831 |
| Habitat Type | Slope Gradient (°) | Soil Texture | Soil Thickness (cm) | Soil Average Temperature (°C) | Soil Average Moisture (%) |
|---|---|---|---|---|---|
| Base | <5 | Clay soil, gravelly soil | 0–50 | 27.6 | 22.1 |
| Terrace | <5 | Clay soil | 40 | 27.4 | 16.1 |
| Slope behind the terrace | 45 | Clay soil | 10 | 27.9 | 12.6 |
Disclaimer/Publisher’s Note: The statements, opinions and data contained in all publications are solely those of the individual author(s) and contributor(s) and not of MDPI and/or the editor(s). MDPI and/or the editor(s) disclaim responsibility for any injury to people or property resulting from any ideas, methods, instructions or products referred to in the content. |
© 2024 by the authors. Licensee MDPI, Basel, Switzerland. This article is an open access article distributed under the terms and conditions of the Creative Commons Attribution (CC BY) license (https://creativecommons.org/licenses/by/4.0/).
Share and Cite
Gao, C.; Min, A.; Zhang, W.; Long, Y.; Zhang, D.; Wu, H.; Wu, B.; Zhang, Z.; Xiong, P. Vegetation Restoration Effectiveness in Mianshan Abandoned Mine, Dongzhi County, China: Considering Habitat Diversity and Critical Drivers. Forests 2024, 15, 2213. https://doi.org/10.3390/f15122213
Gao C, Min A, Zhang W, Long Y, Zhang D, Wu H, Wu B, Zhang Z, Xiong P. Vegetation Restoration Effectiveness in Mianshan Abandoned Mine, Dongzhi County, China: Considering Habitat Diversity and Critical Drivers. Forests. 2024; 15(12):2213. https://doi.org/10.3390/f15122213
Chicago/Turabian StyleGao, Chenglong, Aoyun Min, Wen Zhang, Yiyi Long, Dandan Zhang, Hongmiao Wu, Boren Wu, Zhen Zhang, and Peifeng Xiong. 2024. "Vegetation Restoration Effectiveness in Mianshan Abandoned Mine, Dongzhi County, China: Considering Habitat Diversity and Critical Drivers" Forests 15, no. 12: 2213. https://doi.org/10.3390/f15122213
APA StyleGao, C., Min, A., Zhang, W., Long, Y., Zhang, D., Wu, H., Wu, B., Zhang, Z., & Xiong, P. (2024). Vegetation Restoration Effectiveness in Mianshan Abandoned Mine, Dongzhi County, China: Considering Habitat Diversity and Critical Drivers. Forests, 15(12), 2213. https://doi.org/10.3390/f15122213
