Soil Nutrient Profiles in Three Types of Rocky Fissure Network Habitats of Typical Karst Formations in China: A Maolan World Heritage Perspective
Abstract
1. Introduction
2. Materials and Methods
2.1. Study Site Selection and Overview
2.2. Types and Characteristics of Three Karst Rocky Fissure Network Habitats
2.3. Community Ecology Survey
2.4. Field Soil Sample Collection and Testing
2.4.1. Field Soil Sample Collection
2.4.2. Selection and Testing Methods for Soil Nutrient Indicators
2.4.3. Comprehensive Evaluation of Soil Nutrients
2.5. Data Processing
3. Results
3.1. Analysis of Soil Nutrients in Three Types of Rocky Fissure Network Habitats
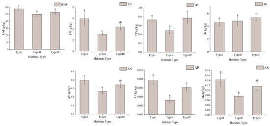
3.1.1. Distribution of Soil Nutrients in Three Types of Rocky Fissure Network Habitats
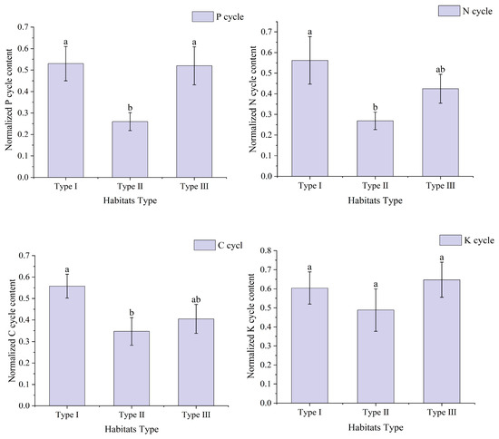
3.1.2. Analysis of Soil Nutrients Involved in the C, N, P, K Cycles in Three Types of Rocky Fissure Network Habitats
3.1.3. Stoichiometric Ratios of C, N, P, K in Soil from Three Rocky Fissure Network Habitats
3.2. Analysis of the Impact of Three Types of Karst Rocky Fissure Network Habitats on Soil Nutrients
3.2.1. Impact of Rocky Fissure Network Structure on Overall Soil Nutrients
3.2.2. Impact of Rocky Fissure Network Structure on Soil Nutrients in C, N, P, K Cycles
3.2.3. Impact of Rocky Fissure Network Structure on Soil Nutrient Stoichiometry
3.3. Comprehensive Evaluation of Soil Nutrient Quality in Three Types of Karst Rocky Fissure Network Habitats
4. Discussion
4.1. Characteristics of Soil Nutrients in Karst Rocky Fissure Network Habitats
4.2. Impact Characteristics and Insights of Different Rocky Fissure Network Structures on Soil Nutrients
4.3. Significance and Prospects of Soil Research in Karst Rocky Fissure Network Stone Habitats
5. Conclusions
Author Contributions
Funding
Data Availability Statement
Conflicts of Interest
References
- Wang, S. Discussion on the concept of karst desertification and its scientific connotation. Chin. Karst 2002, 21, 31–35. [Google Scholar]
- Long, J.; Jiang, X.; Deng, Q.; Qiong, L. Study on the essential characteristics of soil desertification in karst areas of Guizhou. Acta Pedol. Sin. 2005, 42, 419–427. [Google Scholar]
- He, X.J.; Wang, L.; Ke, B.; Ming, Q.Y.; Wang, K.L.; Cao, J.H.; Xiong, K.N. Progress in research on karst ecology protection and restoration in China. Acta Ecol. Sin. 2019, 39, 6577–6585. [Google Scholar]
- Yi, X.; Zhang, Y.; He, J.; Wang, Y.; Dai, Q.; Hu, Z.; Zhou, H.; Lu, Y. Characteristics and influencing factors of farmland abandonment in the karst rocky desertification area of Southwest China. Ecol. Indic. 2024, 160, 111802. [Google Scholar] [CrossRef]
- Zhu, S.Q. Karst Forest Ecology Research III; Guizhou Science and Technology Press: Guiyang, China, 2003; pp. 286–295. [Google Scholar]
- Wang, M.Q.; Guan, Q.W.; Sheng, H.Z.; Zhao, J.H.; Liu, Z.J.; Zhang, H.; Bao, X.W.Q.; Wang, L.; Ye, Y.Q. Morphological characteristics of rock fissure networks and the main factors affecting their soil nutrients and enzyme activities in Guizhou Province, China. J. Mt. Sci.-Engl. 2022, 19, 2587–2600. [Google Scholar] [CrossRef]
- Zhang, Z.H.; Hu, G.; Zhu, J.D.; Ni, J. Spatial heterogeneity of soil nutrients in karst forests and its effects on tree species distribution. J. Plant Ecol. 2011, 35, 1038–1049. [Google Scholar]
- Wang, D.L.; Zhu, S.Q.; Huang, B.L. Evaluation of karst desertification types and degrees in Guizhou. Acta Ecol. Sin. 2005, 25, 1057–1063. [Google Scholar]
- Fu, Y.H.; Peng, Q.; Li, A.D.; Huang, Z.S. Soil Quality of Underground Habitats in Karst Limestone Areas. J. For. Environ. 2017, 37, 353–359. [Google Scholar] [CrossRef]
- Fu, Y.H.; Yu, L.F.; Huang, Z.S.; Li, H.; Hou, D.H. Study on Root Zone Habitats and Their Types in Typical Karst Rocky Desertification Areas. Res. Soil Water Conserv. 2012, 10, 66–72. (In Chinese) [Google Scholar]
- Zhang, J.; Fu, Z.; Nie, Y.; Lian, J.; Luo, Z.; Wang, F.; Chen, H. Microclimate stability on the critical zone of a karst hillslope in southwest China: Insights from continuous temperature observations at the air oil pikarst interface. J. Environ. Manage 2023, 336, 117656. [Google Scholar] [CrossRef]
- He, J.; Dai, Q.; Yi, X.; Wang, Y.; Peng, X.; Yan, Y. Effects of soil and rock microhabitats on soil organic carbon stability in a karst peak-cluster depression region of Southwestern China. Geoderma Reg. 2023, 32, e00623. [Google Scholar] [CrossRef]
- Jiang, C.; Zhu, B.; Zeng, H. Soil extracellular enzyme stoichiometry reflects the unique habitat of karst tiankeng and helps to alleviate the P-limitation of soil microbes. Ecol. Indic. 2022, 144, 109552. [Google Scholar] [CrossRef]
- Wang, H.; Huang, B.; Zhao, H.; Dai, X.; Chen, M.; Ding, F.; Wu, P.; Hao, L.; Yang, R.; Yuan, C. Unraveling plant adaptation to nitrogen limitation from enzyme stoichiometry aspect in Karst soils: A case study of Rhododendron Pudingense. Front. Plant Sci. 2023, 14, 1267759. [Google Scholar] [CrossRef] [PubMed]
- Tang, S.; Liu, J.; Lambers, H.; Zhang, L.; Liu, Z.; Lin, Y.; Kuang, Y. Increase in leaf organic acids to enhance adaptability of dominant plant species in karst habitats. Ecol. Evol. 2021, 11, 10277–10289. [Google Scholar] [CrossRef]
- Wang, M.M.; Chen, H.S.; Fu, T.G.; Zhang, W.; Wang, K.L. Differences in soil nutrients among different vegetation types in a typical karst small watershed and their spatial prediction methods. Chin. J. Appl. Ecol. 2016, 27, 1759–1766. [Google Scholar] [CrossRef]
- Fan, F.J.; Song, T.Q.; Huang, G.Q.; Zeng, F.P.; Peng, W.X.; Du, H.; Lu, S.Y.; Shi, W.W.; Tan, Q.J. Spatial variability of soil nutrients in canyon-type karst slopes in Southwest China. Chin. J. Appl. Ecol. 2014, 25, 92–98. [Google Scholar] [CrossRef]
- Zhou, T.; Dai, Q.H.; Wu, X.Q.; Dong, Y.H.; Deng, Y.H. Soil nutrient effects and evaluation of converting cropland to forest in karst mountain areas. Res. Soil Water Conserv. 2011, 18, 71–74. [Google Scholar]
- Wei, X.; Fu, T.; He, G.; Zhong, Z.; Yang, M.; Fe, L.; He, T. Characteristics of rhizosphere and bulk soil microbial community of Chinese cabbage (Brassica campestris) grown in Karst area. Front. Microbiol. 2023, 14, 1241436. [Google Scholar] [CrossRef]
- Zeng, Z.X.; Wang, K.L.; Liu, X.L.; Zeng, F.P.; Song, T.Q.; Peng, W.X.; Zhang, H.; Du, H. Ecological stoichiometry characteristics of plants-litter-soil in northwestern Guangxi karst forests. J. Plant Ecol. 2015, 39, 682–693. [Google Scholar]
- Wu, P.; Zhou, H.; Ying, C.C.; Wen, J.Z.; Yi, J.H.; Zhu, J.; Fang, J.D. Stoichiometric Characteristics of Leaf Nutrients in Karst Plant Species During Natural Restoration in Maolan National Nature Reserve, Guizhou, China. J. Sustain. Forest. 2023, 42, 95–119. [Google Scholar] [CrossRef]
- Wu, P.; Zhou, H.; Cui, Y.C.; Zhao, W.J.; Hou, Y.J.; Tan, C.J.; Yang, G.N.; Ding, F.J. Stoichiometric Characteristics of Leaf, Litter and Soil during Vegetation Succession in Maolan National Nature Reserve, Guizhou, China. Sustainability 2022, 14, 16517. [Google Scholar] [CrossRef]
- Shuang, L.; Ni, S.N.; Du, J.; Teng, Z.Y.; Shi, C.G. Determination of organic carbon content in geochemical soil samples by potassium dichromate oxidation-external heating method. Anhui Chem. Ind. 2016, 42, 110–112. [Google Scholar]
- Quirino, D.F.; Lima, N.S.A.; Palma, M.N.N.; Franco, M.; Detmann, E. Variations of the Kjeldahl method for assessing nitrogen concentration in tropical forages. Grass Forage Sci. 2023, 78, 648–654. [Google Scholar] [CrossRef]
- Roberts, T.L.; Norman, R.J.; Slaton, N.A.; Wilson, C.E., Jr. Changes in Alkaline Hydrolyzable Nitrogen Distribution with Soil Depth: Fertilizer Correlation and Calibration Implications. Soil Sci. Soc. Am. J. 2009, 73, 2151–2158. [Google Scholar] [CrossRef]
- Bei, M.R.; Luo, X.H.; Yang, H.Z.; Cha, Z.Z.; Lin, Q.H. Rapid determination of total phosphorus in soils by alkaline melting method using a continuous flow analyzer. J. Trop. Crops 2018, 39, 2290–2295. [Google Scholar]
- Matula, J. Differences in available phosphorus evaluated by soil tests in relation to detection by colorimetric and ICP-AES techniques. Plant Soil Environ. 2010, 56, 297–304. [Google Scholar] [CrossRef]
- Gao, C.; Li, C.; Zhang, L.; Guo, H.; Li, Q.; Kou, Z.; Li, Y. The influence of soil depth and tree age on soil enzyme activities and stoichiometry in apple orchards. Appl. Soil Ecol. 2024, 202, 105600. [Google Scholar] [CrossRef]
- Zeng, Q.C.; Li, X.; Dong, Y.H.; Li, Y.Y.; Cheng, M.; An, S.S. Latitude variation characteristics of soil properties and ecological stoichiometry in the Loess Plateau of Northern Shanxi. J. Nat. Resour. 2015, 30, 870–879. [Google Scholar]
- Jiao, F.; Wen, Z.; An, S.; Yuan, Z. Successional changes in soil stoichiometry after land abandonment in Loess Plateau, China. Ecol. Eng. 2013, 58, 249–254. [Google Scholar] [CrossRef]
- Wang, J.J.; Huang, G.; Lu, K.; Su, Y.G. Soil nutrient and chemical stoichiometry characteristics of different vegetation types in tropical-subtropical forests. J. Appl. Environ. Biol. 2023, 29, 423–431. [Google Scholar] [CrossRef]
- Ma, Y.; Li, L.Z.; Zhang, D.G.; Xiao, H.L.; Chen, J.G. Response of rhizosphere soil chemical stoichiometry to grassland degradation in alpine meadows. Chin. J. Appl. Ecol. 2019, 30, 3039–3048. [Google Scholar] [CrossRef]
- Wang, X.; Li, Y.; Wang, L.; Duan, Y.; Yao, B.; Chen, Y.; Cao, W. Soil extracellular enzyme stoichiometry reflects microbial metabolic limitations in different desert types of northwestern China. Sci. Total Environ. 2023, 874, 162504. [Google Scholar] [CrossRef] [PubMed]
- Chen, B.; Chen, L.; Jiang, L.; Zhu, J.; Chen, J.; Huang, Q.; Liu, J.; Xu, D.; He, Z. C:N:P Stoichiometry of Plant, Litter and Soil along an Elevational Gradient in Subtropical Forests of China. Forests 2022, 13, 372. [Google Scholar] [CrossRef]
- Fang, Z.; Yu, H.; Li, C.; Wang, B.; Huang, J. Soil microbial biomass C:N:P stoichiometry is driven more by climate, soil properties and plant traits than by N enrichment in a desert steppe. Catena 2022, 216, 106402. [Google Scholar] [CrossRef]
- de Castro, D.L.; Bezerra, F.H.R. Characterization of a ghost-rock karst system controlled by fracture network and bedding planes in a semiarid region (NE Brazil) using ground penetrating radar (GPR). Environ. Earth Sci. 2023, 82, 336. [Google Scholar] [CrossRef]
- Méndez, J.N.; Jin, Q.; González, M.; Zhang, X.; Lobo, C.; Boateng, C.D.; Zambrano, M. Fracture characterization and modeling of karsted carbonate reservoirs: A case study in Tahe oilfield, Tarim Basin (western China). Mar. Petrol. Geol. 2020, 112, 104104. [Google Scholar] [CrossRef]
- Liu, P.W.; Tan, Y.B.; Mo, H.T.; Zhou, Z.H.; Meng, W.M.; Huang, Q.X.; Ma, J.M. Effects of changes in litter and root input on soil nutrients and extracellular enzymes in karst regions. J. Guangxi Norm. Univ. (Nat. Sci. Ed.) 2023, 41, 179–191. [Google Scholar] [CrossRef]
- Zhang, Y.; Liu, C.; Song, A.; Jin, Z.J.; Li, Q. Study on the relationship between soil physicochemical properties and soil enzyme activity in the Huixian karst wetland based on canonical correspondence analysis. China Karst 2016, 35, 11–18. (In Chinese) [Google Scholar]
- Xu, Z.W.; Yu, G.R.; Zhang, X.Y.; Ge, J.P.; He, N.P.; Wang, Q.F.; Wang, D. The variations in soil microbial communities, enzyme activities and their relationships with soil organic matter decomposition along the northern slope of Changbai Mountain. Appl. Soil Ecol. 2015, 86, 19–29. [Google Scholar] [CrossRef]
- Hayano, K.; Watanabe, K.; Asakawa, S. Activity of protease extracted from rice-rhizosphere soils under double cropping of rice and wheat. Soil Sci. Plant Nutr. 2012, 41, 597–603. [Google Scholar] [CrossRef]
- Xin, Y.; Zhang, D.; Qi, Q.; Zhang, Z.; Zhang, M.; Tong, S.; Xing, X. Disturbance alters soil organic carbon content and stability in Carex tussock wetland, Northeast China. Sci. Total Environ. 2024, 951, 175417. [Google Scholar] [CrossRef] [PubMed]
- Yan, Y.; Yang, Y.; Dai, Q. Effects of preferential flow on soil nutrient transport in karst slopes after recultivation. Environ. Res. Lett. 2023, 18, 034012. [Google Scholar] [CrossRef]
- Zhang, H.; Jiang, N.; Wang, H.; Zhang, S.; Zhao, J.; Liu, H.; Zhang, H.; Yang, D. Importance of plant community composition and aboveground biomass in shaping microbial communities following long-term nitrogen and phosphorus addition in a temperate steppe ecosystem. Plant Soil 2024, 1–18. [Google Scholar] [CrossRef]
- Seid, H.; Kessy, J.; Asfaw, Z.; Dahlin, A.S. Soil Physicochemical Properties under Selected Avocado Cultivars in Ethiopian Smallholder Agroforestry. J. Soil Sci. Plant Nut. 2024, 24, 5552–5564. [Google Scholar] [CrossRef]
- Li, Y.; Zhang, K.; Li, Y.; Wan, P.; Zhou, Z.; Zhao, W.; Zhang, N.; Chai, N.; Li, Z.; Huang, Y.; et al. Temperature sensitivity of soil respiration to elevated temperature and nitrogen availability. Soil Till Res. 2024, 244, 106267. [Google Scholar] [CrossRef]
- Zhao, Y.; Han, Z.; Zhang, G.; Chen, D.; Zang, L.; Liu, Q.; Guo, Y.; Xie, P.; Chen, H.; He, Y. Variability of soil enzyme activities and nutrients with forest gap renewal interacting with soil depths in degraded karst forests. Ecol. Indic. 2024, 166, 112332. [Google Scholar] [CrossRef]








| Habitat Types | Ads | ATL | Fra | Lac | Dag | Int | Con |
|---|---|---|---|---|---|---|---|
| Type I | 0.167 | 4.331 | 1.211 | 1.422 | 24.504 | 0.561 | 1.634 |
| Type II | 0.263 | 3.820 | 1.395 | 1.784 | 51.550 | 0.678 | 1.844 |
| Type III | 0.173 | 5.196 | 1.316 | 1.441 | 12.973 | 0.488 | 1.877 |
| Rock Habitat Type | I | II | III | |||||||
|---|---|---|---|---|---|---|---|---|---|---|
| Plot ID | 1 | 2 | 3 | 4 | 5 | 6 | 7 | 8 | 9 | |
| Elevation (m) | 602 | 684 | 610 | 673 | 656 | 629 | 598 | 600 | 620 | |
| Slope direction | WS | WS | WS | |||||||
| Dominant species | Tree layer | Bauhinia purpurea; Cyclobalanopsis delavayi; Rauvolfia verticillata | Staphylea forrestii; Clerodendrum mandarinorum; Photinia bodinieri | Bauhinia purpurea; Eurycorymbus cava-leriei; Pinus massoni-ana | ||||||
| Shrub layer | Mallotus philippensis; Tirpitzia sinensis | Lindera com-munis; Zanthox-ylum armatum | Lindera com-munis; Rhus chinensis; Zan-thoxylum simulans | |||||||
| Herb layer | Nephrolepis cordifolia; Pilea peploides; Selaginella uncinata | Elatostema oblongifo-lium; Microstegium vimineum; Nephro-lepis cordifolia | Selaginella uncinata; Scleria levis Retz; Pilea peploides | |||||||
| Average height (m) | Tree layer | 5.62 | 6.10 | 5.45 | 5.85 | 6.90 | 6.62 | 6.32 | 6.52 | 6.14 |
| Shrub layer | 1.30 | 1.16 | 1.21 | 1.43 | 1.08 | 1.11 | 1.25 | 1.17 | 1.42 | |
| Average canopy cover | Herb layer | 72% | 85% | 80% | 70% | 74% | 80% | 78% | 75% | 73% |
| Average diameter at Breast height (cm) | Tree layer | 27.07 | 25.07 | 27.05 | 19.05 | 23.31 | 22.30 | 26.96 | 32.18 | 32.89 |
| Number | Tree layer | 95 | 107 | 105 | 74 | 78 | 85 | 105 | 87 | 102 |
| Soil Nutrient | Main Function | Flame Photometry Method |
|---|---|---|
| Organic carbon | Carbon cycle participation | Dichromate sulfuric acid external heating method [23] |
| Total nitrogen | Nitrogen cycle participation | Kjeldahl method [24] |
| Alkaline hydrolysable nitrogen | Diffusion method [25] | |
| Total phosphorus | Phosphorus cycle participation | Alkaline fusion method [26] |
| Available phosphorus | Colorimetric method [27] | |
| Total potassium | Potassium cycle participation | Alkaline fusion method [28] |
| Available potassium | Flame photometry method [28] |
| C/N | C/K | C/P | N/K | N/P | P/K | |
|---|---|---|---|---|---|---|
| Type I | 13.05 ± 1.18 a | 15.85 ± 2.18 a | 91.88 ± 9.09 b | 1.91 ± 0.72 a | 8.50 ± 1.53 a | 0.18 ± 0.02 a |
| Type II | 17.19 ± 1.41 a | 15.74 ± 2.81 a | 144.85 ± 25.50 a | 0.88 ± 0.13 a | 7.93 ± 1.09 a | 0.11 ± 0.01 ab |
| Type III | 14.25 ± 1.59 a | 10.48 ± 0.67 b | 86.74 ± 10.08 b | 0.81 ± 0.07 a | 6.02 ± 0.47 a | 0.14 ± 0.02 b |
| OM | TN | TK | TP | AN | AP | AK | Eigenvalues | Contribution Rate | Cumulative Contribution Rate | |
|---|---|---|---|---|---|---|---|---|---|---|
| PC1 | 0.31 | 0.96 | 0.03 | 0.6 | 0.91 | 0.87 | 0.92 | 3.76 | 53.76% | 53.76% |
| PC2 | −0.39 | −0.14 | 0.94 | 0.64 | −0.08 | −0.33 | 0.21 | 1.67 | 23.87% | 77.63% |
| Rock Habitat Type | Comprehensive Soil Nutrient Score | Rank |
|---|---|---|
| Type I | 0.59 | 1 |
| Type II | −0.80 | 3 |
| Type III | 0.21 | 2 |
Disclaimer/Publisher’s Note: The statements, opinions and data contained in all publications are solely those of the individual author(s) and contributor(s) and not of MDPI and/or the editor(s). MDPI and/or the editor(s) disclaim responsibility for any injury to people or property resulting from any ideas, methods, instructions or products referred to in the content. |
© 2024 by the authors. Licensee MDPI, Basel, Switzerland. This article is an open access article distributed under the terms and conditions of the Creative Commons Attribution (CC BY) license (https://creativecommons.org/licenses/by/4.0/).
Share and Cite
Lin, Z.; Huang, Z.; Wang, M.; Xiang, H.; Chen, Y.; Lu, S. Soil Nutrient Profiles in Three Types of Rocky Fissure Network Habitats of Typical Karst Formations in China: A Maolan World Heritage Perspective. Forests 2024, 15, 2101. https://doi.org/10.3390/f15122101
Lin Z, Huang Z, Wang M, Xiang H, Chen Y, Lu S. Soil Nutrient Profiles in Three Types of Rocky Fissure Network Habitats of Typical Karst Formations in China: A Maolan World Heritage Perspective. Forests. 2024; 15(12):2101. https://doi.org/10.3390/f15122101
Chicago/Turabian StyleLin, Zhixin, Zongsheng Huang, Meiquan Wang, Huiwen Xiang, Yuanduo Chen, and Shaowei Lu. 2024. "Soil Nutrient Profiles in Three Types of Rocky Fissure Network Habitats of Typical Karst Formations in China: A Maolan World Heritage Perspective" Forests 15, no. 12: 2101. https://doi.org/10.3390/f15122101
APA StyleLin, Z., Huang, Z., Wang, M., Xiang, H., Chen, Y., & Lu, S. (2024). Soil Nutrient Profiles in Three Types of Rocky Fissure Network Habitats of Typical Karst Formations in China: A Maolan World Heritage Perspective. Forests, 15(12), 2101. https://doi.org/10.3390/f15122101

