Thicker or Shorter Bark Fragments of Eucalypt Tree Species Make More Densely Packed Fuel Beds, Which Slow Down Fire Spread
Abstract
1. Introduction
2. Materials and Methods
2.1. Site Description
2.2. Species Selection and Bark Collecting
2.3. Bark Trait Measurements
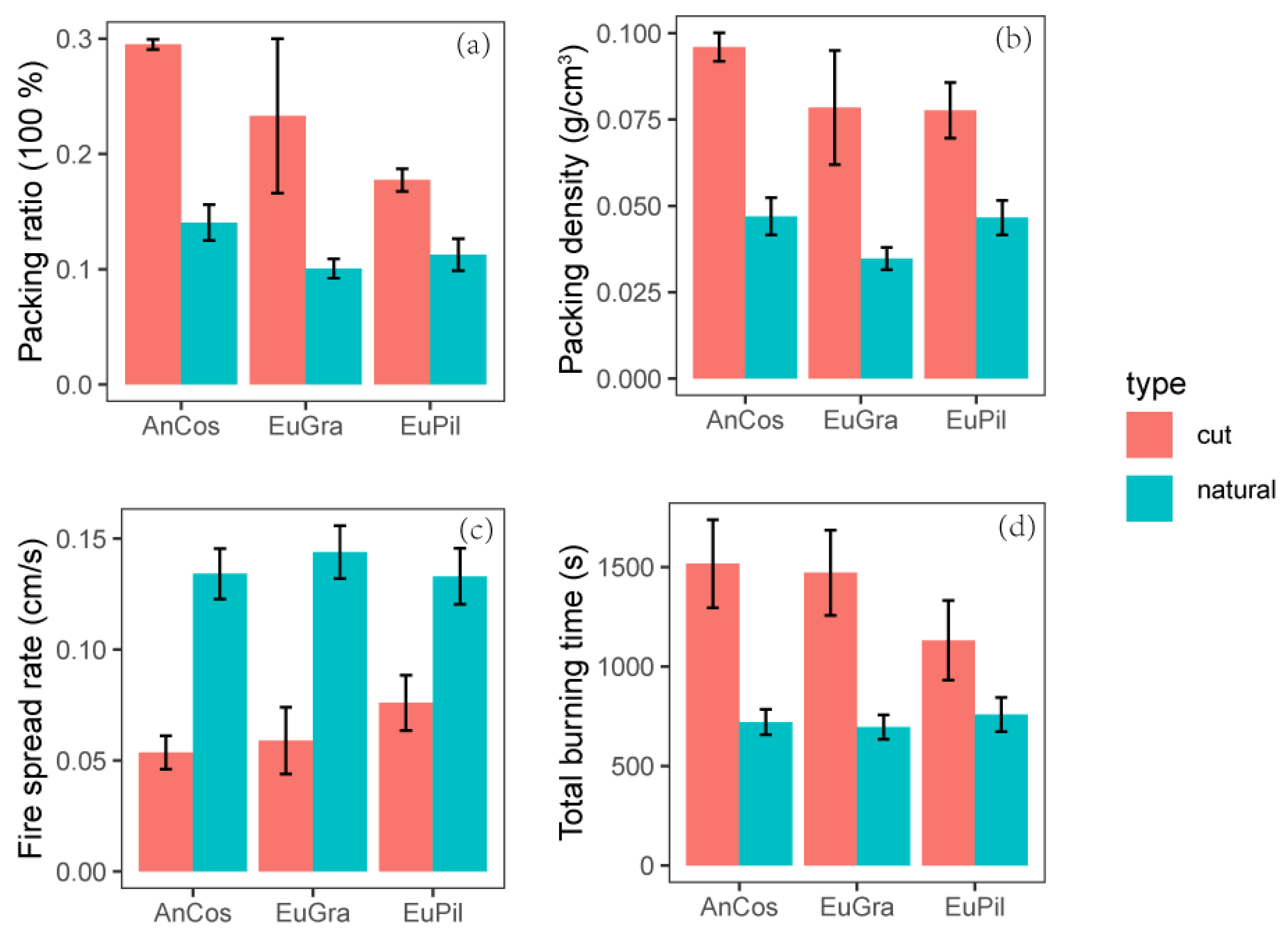
2.4. Litter Size Manipulation
2.5. Flammability Measurements
2.6. Statistical Analysis
3. Results
3.1. Species Difference in Bark Traits and Flammability Parameters
3.2. Relations Between Bark Traits and Flammability Parameters
4. Discussion
4.1. Bark Thickness
4.2. Bark Length
4.3. Shorter or Thicker Bark Litter Species Are Less Flammable
4.4. Structural Traits Overruling Any Chemical Trait Effects
4.5. Bark Litter Matters
5. Conclusions
Supplementary Materials
Author Contributions
Funding
Data Availability Statement
Acknowledgments
Conflicts of Interest
References
- Bradstock, R.A.; Gill, A.M.; Williams, R.J. Flammable Australia. Fire Regimes, Biodiversity and Ecosystems in a Changing World, 1st ed.; CSIRO PUBLISHING: Collingwosod, Australia, 2012; p. 58. [Google Scholar]
- Mather, A. Global Forest Resources Assessment 2000 Main Report. Land Use Policy 2003, 20, 195. [Google Scholar] [CrossRef]
- Gould, J.S.; McCaw, W.L.; Cheney, N.P. Quantifying fine fuel dynamics and structure in dry eucalypt forest (Eucalyptus marginata) in Western Australia for fire management. For. Ecol. Manag. 2011, 262, 531–546. [Google Scholar] [CrossRef]
- Grootemaat, S.; Wright, I.J.; van Bodegom, P.M.; Cornelissen, J.H.C.; Shaw, V. Bark traits, decomposition and flammability of Australian forest trees. Aust. J. Bot. 2017, 65, 327–338. [Google Scholar] [CrossRef]
- Croft, P.; Hunter, J.T.; Reid, N. Forgotten fauna: Habitat attributes of long-unburnt open forests and woodlands dictate a rethink of fire management theory and practice. For. Ecol. Manag. 2016, 366, 166–174. [Google Scholar] [CrossRef]
- Giannotas, G.; Kamperidou, V.; Barboutis, I. Tree bark utilization in insulating bio-aggregates: A review. Biofuels Bioprod. Biorefining 2021, 15, 1989–1999. [Google Scholar] [CrossRef]
- Esteves, B.; Cruz-Lopes, L.P.V.; Fernandes, A.P.; Martins, J.M.; Domingos, I.D.; Ferreira, J.V.; Da Silva, S.H.F.; Labidi, A. Adhesives from liquefied eucalypt bark and branches. Wood Res. 2019, 64, 105–116. [Google Scholar]
- Slijepcevic, A.; Anderson, W.R.; Matthews, S.; Anderson, D.H. An analysis of the effect of aspect and vegetation type on fine fuel moisture content in eucalypt forest. Int. J. Wildland Fire 2018, 27, 190–202. [Google Scholar] [CrossRef]
- Cornelissen, J.H.C.; Grootemaat, S.; Verheijen, L.M.; Cornwell, W.K.; van Bodegom, P.M.; van der Wal, R.; Aerts, R. Are litter decomposition and fire linked through plant species traits? New Phytol. 2017, 216, 653–669. [Google Scholar] [CrossRef]
- de Magalhaes, R.M.Q.; Schwilk, D.W. Leaf traits and litter flammability: Evidence for non-additive mixture effects in a temperate forest. J. Ecol. 2012, 100, 1153–1163. [Google Scholar] [CrossRef]
- Grootemaat, S.; Wright, I.J.; van Bodegom, P.M.; Cornelissen, J.H.C. Scaling up flammability from individual leaves to fuel beds. Oikos 2017, 126, 1428–1438. [Google Scholar] [CrossRef]
- Paine, C.E.T.; Stahl, C.; Courtois, E.A.; Patiño, S.; Sarmiento, C.; Baraloto, C. Functional explanations for variation in bark thickness in tropical rain forest trees. Funct. Ecol. 2010, 24, 1202–1210. [Google Scholar] [CrossRef]
- Rosell, J.A.; Gleason, S.; Méndez-Alonzo, R.; Chang, Y.; Westoby, M. Bark functional ecology: Evidence for tradeoffs, functional coordination, and environment producing bark diversity. New Phytol. 2014, 201, 486–497. [Google Scholar] [CrossRef]
- Hines, F.; Tolhurst, K.G.; Wilson, A.A.G.; McCarthy, G.J. Overall Fuel Hazard Assessment Guide, 4th ed.; Victorian Government Department of Sustainability and Environment: Melbourne, Australia, 2010; pp. 10–18.
- Kataki, R.; Konwer, D. Fuelwood characteristics of indigenous tree species of north-east India. Biomass Bioenergy 2002, 22, 433–437. [Google Scholar] [CrossRef]
- Scarff, F.R.; Westoby, M. Leaf litter flammability in some semi-arid Australian woodlands. Funct. Ecol. 2006, 20, 745–752. [Google Scholar] [CrossRef]
- Schwilk, D.W.; Caprio, A.C. Scaling from leaf traits to fire behaviour: Community composition predicts fire severity in a temperate forest. J. Ecol. 2011, 99, 970–980. [Google Scholar] [CrossRef]
- van Altena, C.; van Logtestijn, R.S.P.; Cornwell, W.K.; Cornelissen, J.H.C. Species composition and fire: Non-additive mixture effects on ground fuel flammability. Front. Plant Sci. 2012, 3, 63. [Google Scholar] [CrossRef]
- Alessio, G.A.; Peñuelas, J.; Llusià, J.; Ogaya, R.; Estiarte, M.; De Lillis, M. Influence of water and terpenes on flammability in some dominant Mediterranean species. Int. J. Wildland Fire 2008, 17, 274–286. [Google Scholar] [CrossRef]
- Ormeño, E.; Céspedes, B.; Sánchez, I.A.; Velasco-García, A.; Moreno, J.M.; Fernandez, C.; Baldy, V. The relationship between terpenes and flammability of leaf litter. For. Ecol. Manag. 2009, 257, 471–482. [Google Scholar] [CrossRef]
- Tng, D.Y.P.; Williamson, G.J.; Jordan, G.J.; Bowman, D. Giant eucalypts-globally unique fire-adapted rain-forest trees? New Phytol. 2012, 196, 1001–1014. [Google Scholar] [CrossRef]
- Courtois, E.A.; Baraloto, C.; Paine, C.E.T.; Petronelli, P.; Blandinieres, P.A.; Stien, D.; Höuel, E.; Bessière, J.M.; Chave, J. Differences in volatile terpene composition between the bark and leaves of tropical tree species. Phytochemistry 2012, 82, 81–88. [Google Scholar] [CrossRef]
- Domingues, R.M.A.; Sousa, G.D.A.; Silva, C.M.; Freire, C.S.R.; Silvestre, A.J.D.; Neto, C.P. High value triterpenic compounds from the outer barks of several Eucalyptus species cultivated in Brazil and in Portugal. Ind. Crops Prod. 2011, 33, 158–164. [Google Scholar] [CrossRef]
- Anderson, H.E. Forest fuel ignitibility. Fire Technol. 1970, 6, 312–319. [Google Scholar] [CrossRef]
- Lamb, R.J. Litter Fall and Nutrient Turnover in Two Eucalypt Woodlands. Aust. J. Bot. 1985, 33, 1–14. [Google Scholar] [CrossRef]
- Williamson, G.B.; Wiemann, M.C. Measuring wood specific gravity… correctly. Am. J. Bot. 2010, 97, 519–524. [Google Scholar] [CrossRef] [PubMed]
- R Core Team. R: A Language and Environment for Statistical Computing; R Foundation for Statistical Computing: Vienna, Austria, 2013; Available online: https://www.R-project.org/ (accessed on 9 May 2024).
- Rothermel, R.C.C. A mathematical model for predicting fire spread in wildland fuels. Usda For. Serv. Gen. Tech. Rep. 1972, 115, 47. [Google Scholar]
- Burton, J.E.; Cawson, J.G.; Filkov, A.; Penman, T.D. Leaf traits predict global patterns in the structure and flammability of forest litter beds. J. Ecol. 2021, 109, 1344–1355. [Google Scholar] [CrossRef]
- Grootemaat, S.; Wright, I.J.; van Bodegom, P.M.; Cornelissen, J.H.C.; Cornwell, W.K. Burn or rot: Leaf traits explain why flammability and decomposability are decoupled across species. Funct. Ecol. 2015, 29, 1486–1497. [Google Scholar] [CrossRef]
- Murray, B.R.; Hardstaff, L.K.; Phillips, M.L. Differences in Leaf Flammability, Leaf Traits and Flammability-Trait Relationships between Native and Exotic Plant Species of Dry Sclerophyll Forest. PLoS ONE 2013, 8, e79205. [Google Scholar] [CrossRef]
- Bauer, G.; Speck, T.; Blömer, J.; Bertling, J.; Speck, O. Insulation capability of the bark of trees with different fire adaptation. J. Mater. Sci. 2010, 45, 5950–5959. [Google Scholar] [CrossRef]
- Frejaville, T.; Curt, T.; Carcaillet, C. Bark flammability as a fire-response trait for subalpine trees. Front. Plant Sci. 2013, 4, 466. [Google Scholar] [CrossRef]
- Lawes, M.J.; Richards, A.; Dathe, J.; Midgley, J.J. Bark thickness determines fire resistance of selected tree species from fire-prone tropical savanna in north Australia. Plant Ecol. 2011, 212, 2057–2069. [Google Scholar] [CrossRef]
- Pausas, J.G. Bark thickness and fire regime. Funct. Ecol. 2015, 29, 315–327. [Google Scholar] [CrossRef]
- Rosell, J.A.; Olson, M.E.; Anfodillo, T.; Martínez-Méndez, N. Exploring the bark thickness-stem diameter relationship: Clues from lianas, successive cambia, monocots and gymnosperms. New Phytol. 2017, 215, 569–581. [Google Scholar] [CrossRef] [PubMed]
- Cornwell, W.K.; Elvira, A.; van Kempen, L.; van Logtestijn, R.S.P.; Aptroot, A.; Cornelissen, J.H.C. Flammability across the gymnosperm phylogeny: The importance of litter particle size. New Phytol. 2015, 206, 672–681. [Google Scholar] [CrossRef] [PubMed]
- Schwilk, D.W. Dimensions of plant flammability. New Phytol. 2015, 206, 486–488. [Google Scholar] [CrossRef] [PubMed]
- Zhao, W.W.; Cornwell, W.K.; van Pomeren, M.; van Logtestijn, R.S.P.; Cornelissen, J.H.C. Species mixture effects on flammability across plant phylogeny: The importance of litter particle size and the special role for non-Pinaceae. Ecol. Evol. 2016, 6, 8223–8234. [Google Scholar] [CrossRef]
- Ottmar, R.D.; Sandberg, D.V.; Riccardi, C.L.; Prichard, S.J. An overview of the Fuel Characteristic Classification System-Quantifying, classifying, and creating fuelbeds for resource planning. Can. J. For. Res. 2007, 37, 2383–2393. [Google Scholar] [CrossRef]
- Riccardi, C.L.; Ottmar, R.D.; Sandberg, D.V.; Andreu, A.; Elman, E.; Kopper, K.; Long, J. The fuelbed: A key element of the Fuel Characteristic Classification System. Can. J. For. Res.-Rev. Can. De Rech. For. 2007, 37, 2394–2412. [Google Scholar] [CrossRef]
- Riccardi, C.L.; Prichard, S.J.; Sandberg, D.V.; Ottmar, R.D. Quantifying physical characteristics of wildland fuels using the Fuel Characteristic Classification System. Can. J. For. Res. 2007, 37, 2413–2420. [Google Scholar] [CrossRef]
- Banwell, E.M.; Varner, J.M. Structure and composition of forest floor fuels in long-unburned Jeffrey pine-white fir forests of the Lake Tahoe Basin, USA. Int. J. Wildland Fire 2014, 23, 363–372. [Google Scholar] [CrossRef]
- Curt, T.; Schaffhauser, A.; Borgniet, L.; Dumas, C.; Estève, R.; Ganteaume, A.; Jappiot, M.; Martin, W.; N’Diaye, A.; Poilvet, B. Litter flammability in oak woodlands and shrublands of southeastern France. For. Ecol. Manag. 2011, 261, 2214–2222. [Google Scholar] [CrossRef]
- Burrows, N. Flame residence times and rates of weight loss of eucalypt forest fuel particles. Int. J. Wildland Fire 2001, 10, 137–143. [Google Scholar] [CrossRef]
- de Magalhaes, R.Q.; Schwilk, D.W. Moisture absorption and drying alter nonadditive litter flammability in a mixed conifer forest. J. Ecol. 2021, 109, 234–245. [Google Scholar] [CrossRef]
- Varner, J.M.; Kane, J.M.; Kreye, J.K.; Engber, E. The Flammability of Forest and Woodland Litter: A Synthesis. Curr. For. Rep. 2015, 1, 91–99. [Google Scholar] [CrossRef]
- Ganteaume, A.; Jappiot, M.; Curt, T.; Lampin, C.; Borgniet, L. Flammability of litter sampled according to two different methods: Comparison of results in laboratory experiments. Int. J. Wildland Fire 2014, 23, 1061–1075. [Google Scholar] [CrossRef]
- Pisaric, M.F.J.; Ham, E.R.; Zugic, J.I.; Martin, J.P. Comparing stem growth of strip-bark and whole-bark growth morphologies in a subarctic conifer (Pinus banksiana), Yellowknife, Northwest Territories. Dendrochronologia 2023, 82, 126148. [Google Scholar] [CrossRef]
- Boyce, R.L.; Lubbers, B. Bark-stripping patterns in bristlecone pine (Pinus aristata) stands in Colorado, USA. J. Torrey Bot. Soc. 2011, 138, 308–321. [Google Scholar] [CrossRef]
- Leland, C.; Cook, E.R.; Andreu-Hayles, L.; Pederson, N.; Hessl, A.; Anchukaitis, K.J.; Byambasuren, O.; Nachin, B.; Davi, N.; D’Arrigo, R.; et al. Strip-Bark Morphology and Radial Growth Trends in Ancient Pinus sibirica Trees from Central Mongolia. J. Geophys. Res.-Biogeosci. 2018, 123, 945–959. [Google Scholar] [CrossRef]





| Species | Sampling Sites | Structure of Shed Bark |
|---|---|---|
| Angophora costata (Gaertn.) Britten (AnCos) | Ku-ring-gai Chase National Park | Small patches |
| Eucalyptus grandis W. Hill ex Maiden (EuGra) | Ku-ring-gai Chase National Park | Long, curled strips |
| Eucalyptus haemastoma Sm. (EuHae) | Ku-ring-gai Chase National Park | Small patches |
| Eucalyptus maculata Hook. (EuMac) | Ku-ring-gai Chase National Park | Medium-size patches |
| Eucalyptus pilularis Sm. (EuPil) | Blackwall Mountain reserve | Long, curled strips |
| Eucalyptus punctate DC. (EuPun) | Ku-ring-gai Chase National Park | Large, thick patches |
| Eucalyptus piperita Sm. (EuPip) | Ku-ring-gai Chase National Park | Long curled strips |
| Eucalyptus grandis W. Hill ex Maiden × Eucalyptus saligna Sm. (EuSal) | Blackwall Mountain Reserve | Long, curled strips |
| Fire Spread Rate | Total Burning Time | |||||||||||
|---|---|---|---|---|---|---|---|---|---|---|---|---|
| Slope | R2 | p | Slope | R2 | p | |||||||
| all sp. | excl. EuPun | all sp. | excl. EuPun | all sp. | excl. EuPun | all sp. | excl. EuPun | all sp. | excl. EuPun | all sp. | excl. EuPun | |
| Litter particle traits | ||||||||||||
| Bark length | 0.15 | 0.41 | 0.0057 | 0.18 | 0.64 | 0.009 ** | −0.13 | −0.37 | 0.0043 | 0.20 | 0.69 | 0.007 ** |
| Bark curliness | −0.39 | 0.12 | 0.068 | 0.022 | 0.10 | 0.39 | 0.40 | −0.093 | 0.078 | 0.019 | 0.081 | 0.44 |
| Bark thickness | −0.61 | −0.25 | 0.62 | 0.25 | <0.001 *** | 0.002 *** | 0.59 | 0.25 | 0.65 | 0.31 | <0.001 *** | <0.001 *** |
| Tissue density | −2.20 | −0.46 | 0.30 | 0.039 | <0.001 *** | 0.25 | 2.07 | 0.29 | 0.30 | 0.020 | <0.001 *** | 0.42 |
| DMC | −2.61 | −0.62 | 0.34 | 0.054 | <0.001 *** | 0.18 | 2.48 | 0.43 | 0.34 | 0.035 | <0.001 *** | 0.29 |
| C content | −1.94 | −4.22 | 0.0043 | 0.092 | 0.69 | 0.076 | 1.60 | 3.77 | 0.0032 | 0.095 | 0.73 | 0.071 |
| N content | 0.43 | 1.33 | 0.012 | 0.42 | 0.51 | <0.001 *** | −0.18 | −1.05 | 0.0023 | 0.34 | 0.77 | <0.001 *** |
| Litter bed traits | ||||||||||||
| Packing ratio | −1.29 | −0.81 | 0.82 | 0.65 | <0.001 *** | <0.001 *** | 1.24 | 0.75 | 0.83 | 0.73 | <0.001 *** | <0.001 *** |
| Packing density | −1.18 | −0.87 | 0.91 | 0.77 | <0.001 *** | <0.001 *** | 1.13 | 0.78 | 0.92 | 0.81 | <0.001 *** | <0.001 *** |
| Packing Ratio | Packing Density | Fire Spread Rate | Total Burning Time | |
|---|---|---|---|---|
| Size manipulation | 62.2 *** | 67.01 *** | 46.65 *** | 38.55 *** |
| Species | 7.27 ** | 0.087 | 0.31 | 0.54 |
| Interaction | 0.053 | 0.34 | 0.65 | 1.88 |
Disclaimer/Publisher’s Note: The statements, opinions and data contained in all publications are solely those of the individual author(s) and contributor(s) and not of MDPI and/or the editor(s). MDPI and/or the editor(s) disclaim responsibility for any injury to people or property resulting from any ideas, methods, instructions or products referred to in the content. |
© 2024 by the authors. Licensee MDPI, Basel, Switzerland. This article is an open access article distributed under the terms and conditions of the Creative Commons Attribution (CC BY) license (https://creativecommons.org/licenses/by/4.0/).
Share and Cite
Zhao, W.; Molleman, J.; Grootemaat, S.; Dong, M.; Cornelissen, J.H.C. Thicker or Shorter Bark Fragments of Eucalypt Tree Species Make More Densely Packed Fuel Beds, Which Slow Down Fire Spread. Forests 2024, 15, 2092. https://doi.org/10.3390/f15122092
Zhao W, Molleman J, Grootemaat S, Dong M, Cornelissen JHC. Thicker or Shorter Bark Fragments of Eucalypt Tree Species Make More Densely Packed Fuel Beds, Which Slow Down Fire Spread. Forests. 2024; 15(12):2092. https://doi.org/10.3390/f15122092
Chicago/Turabian StyleZhao, Weiwei, Jasper Molleman, Saskia Grootemaat, Ming Dong, and Johannes H. C. Cornelissen. 2024. "Thicker or Shorter Bark Fragments of Eucalypt Tree Species Make More Densely Packed Fuel Beds, Which Slow Down Fire Spread" Forests 15, no. 12: 2092. https://doi.org/10.3390/f15122092
APA StyleZhao, W., Molleman, J., Grootemaat, S., Dong, M., & Cornelissen, J. H. C. (2024). Thicker or Shorter Bark Fragments of Eucalypt Tree Species Make More Densely Packed Fuel Beds, Which Slow Down Fire Spread. Forests, 15(12), 2092. https://doi.org/10.3390/f15122092

