You are currently viewing a new version of our website. To view the old version click .
Forests
  • Article
  • Open Access

24 November 2024

Use of a Carbon Density Growth Model to Assess the Potential Carbon Sink Function of a Mongolian Pine Plantation in Heilongjiang Province, Northeast China

,
,
,
and
1
Department of Forest Management, School of Forestry, Northeast Forestry University, Harbin 150040, China
2
Center of Carbon Sink Research, Heilongjiang Natural Resources Rights and Interests Investigation and Monitoring Institute, Harbin 150080, China
3
School of Civil and Architecture Engineering, Panzhihua University, Panzhihua 617067, China
4
Key Laboratory of Sustainable Forest Ecosystem Management-Ministry of Education, School of Forestry, Northeast Forestry University, Harbin 150040, China
This article belongs to the Section Forest Meteorology and Climate Change

Abstract

Accurate estimation of the potential increase in the carbon (C) sink function of forests is required for climate mitigation and C neutrality assessments. Also, accurate forest carbon density estimates are critical for understanding national- and global-level carbon cycling and storage and can inform climate change mitigation. This study established a stand C density growth model to further analyze the C sink potential of planted Mongolian pine (Pinus sylvestris var. mongolica) forests. Samples (390) from fixed plots of Mongolian pine were collected in Heilongjiang Province, Northeast China. The site index (SCI) and stand density index (SDI) were introduced to a constructed stand C density growth model, with an optimal model selected through model fitting. The effect of SDI on stand C density in different SCI grouping intervals was assessed. Total C sequestration of Mongolian pine was calculated using the established C density model. Sample plots with higher C density in each forest age stand were selected to establish a model of potential C sequestration for Mongolian pine, and the difference between this rate and the average was compared to obtain the potential increase in C sink capacity of the forest stand. Slightly different fitting accuracies among the different C density growth models were observed, with the Richards model showing the best performance, which improved through the introduction of the SCI and SDI. Stand C density was associated with an increasing trend in SCI, which within each SCI subgroup was related to the increasing SDI trend. The potential C sequestration rate of the stand was close to the average between years 5 and 13. The average C sequestration rate peaked at 3.86 Mg·ha−1·year−1 at year 13, whereas the potential C sequestration rate peaked at 4.42 Mg·ha−1·year−1 in year 15. A gap between the potential and average C sequestration rate existed between ages 13 and 45, indicating the possibility for an increased C sink function in this forest age range. The Richards growth model incorporating SCI and SDI provided a better reflection of the C density of the Mongolian pine plantation, and the established stand C sequestration rate model showed that the optimal increment in the plantation C sink function can be obtained between years 13 and 45. The results of this study can guide C sink management in the Mongolian pine plantation.

1. Introduction

Following the Paris Agreement in 2015, increasing numbers of countries have adopted carbon (C) peak and C neutrality goals. For example, China has proposed a peak in C emissions by 2030 and realization C neutrality by 2060, which collectively will constitute important aspects of ecological construction in China [1,2]. The related policies adopted by China aim to regulate and mitigate C emissions to decelerate climate change [3]. The cultivation of plantations has emerged as an important strategy for sequestering carbon. Forest ecosystems account for ~90% of the global terrestrial C uptake, with this C sequestered as biomass or soil organic matter [4]. The potential for increasing the C sink capacity of forestry has emerged as a component of efforts to mitigate climate and environmental change. This approach is reinforced by the recommendations of the Kyoto Protocol, with associated management strategies focused on maintaining existing forest resources, improvement of stand thinning, and increases in forest area [5]. Among these forest management strategies, stand thinning has emerged as an important dynamic measure for improving forest stand composition and C sink function [6]. Implementing the above measures could increase Mongolian pine carbon sequestration at an appropriate forest management period, thereby positively impacting climate change mitigation and improving the ecological environment [7]. However, optimal thinning age and forest management period need to be determined [8]. In addition, methods for estimating increments in the carbon sink function of forests are needed for forest management. Therefore, there is an urgent need for further study into methods suitable for assessing and predicting dynamic changes in the C sink potential of plantation forest ecosystems [9].
There are diverse methods for estimating forest biomass, with existing models applicable at different geographic scales [10,11]. Among these methods, the most direct and practical is the construction of a biomass model using data of all harvested and/or weighed trees. However, this method is usually destructive, requiring the felling of trees, which requires intense labor and resources. While this approach is only applicable over small spatial scales, the model can achieve high precision [12]. Past studies have developed many models representing the relationship between biomass and three growth indices, such as diameter at breast height (DBH) [13,14,15]. However, the method is impractical at a large scale due to the harvesting of trees needed to obtain the required data. Past studies have applied a range of methods to improve stand biomass models by minimizing losses resulting from errors at different scales [16,17].
The choice of the appropriate modeling process depends on the type of data, with widely used methods including empirical models or methods such as biomass expansion and conversion factors [18]. He et al. established a duel approach for developing a C stock model for larch plantations [19]. Jia et al. used a dummy variable model to establish a C stock growth model for larch plantations in Heilongjiang Province [20]. Linear and nonlinear methods [21], dummy variable methods [22], and mixed effects model [23] methods can be used to fit model parameters, with the last approach showing advantages when considering region-specific factors, such as geology, climate, topography, soil, and other irregular or varying layers of data. Mixed effects models and dummy variable methods are often used to improve the accuracy of models [24,25]. Some previous studies have directly estimated C stocks by comparing the accuracies and precisions of two or more biomass estimation equations [26,27]. Xu et al. estimated the C stocks of existing forests in China based on the fitted logistic model [28]; Sun et al. estimated the C stocks of above- and below-ground biomass of forests in Tibet from 2001 to 2050 based on a C density equation that was age-fitted using a logistic model, with their results emphasizing the importance of Tibet as a C sink in the future [29].
Various methods have been applied by many previous attempts to establish different levels of biomass equations [12,14,15,18] and carbon density models [19,30]. However, few studies have attempted to establish models of carbon density and carbon sink potential of Mongolian pine, despite their significance for estimating the associated carbon sink withing measures to reduce carbon emissions.
Mongolian pine (Pinus sylvestris var. Mongolica Litv.) represents a dominant tree species in Northeast China. The carbon sink function of this species can contribute to improvements to the climate and local ecological environment. The main objectives of the present study were the following: (1) establish a Mongolian pine growth model based on carbon density and incorporating SCI and SDI; (2) evaluate the effects of SCI and SDI on the carbon density of Mongolian pine stands; and (3) evaluate the carbon sink potential of a Mongolian pine plantation in the study area.

2. Materials and Methods

2.1. Study Sites

The present study selected data for fixed sample plots of the Mongolian pine plantation in several areas of Heilongjiang Province (121°11′–135°05′ E, 42°36′–53°33′ N). The main topographical features of these areas include mountains, hills, and plains. The study area falls into a monsoon climate zone with an average annual temperature of 0 ± 5 °C, moderate annual precipitation of between 500 mm and 800 mm, a clear seasonal distribution, and a frost-free period of ~128 days. The main types of forest vegetation are broad-leaved and coniferous forests, mainly distributed in the Daxing’an, Xiaoxing’an, Laoye, and Zhangguangcai mountains. The northern part of the Daxing’an Mountains hosts a cold temperate coniferous forest, whereas the remaining study areas host temperate coniferous and broad-leaved mixed forests. The area of Mongolian pine forests in Heilongjiang Province is ~296,800 ha, whereas the total forest area is ~19,844,000 ha [31].
The importance of the Mongolian pine as a forestry species in East Asia can be attributed to its tolerance of cold conditions and poor soil and habitat conditions, its preference for sunny conditions, and its adaptation to an altitude of between 600 and 2000 m above sea level [32]. In fact, Mongolian pine has been shown to survive on sand dunes, often in clusters and mostly in pure stands [33]. The Mongolian pine plantation in the study area covers a wide extent, with many existing stands remaining in the growing period. Some previous studies have found that Mongolian pine still has a strong C sequestration capacity during the growing period [34,35,36]. Figure 1 shows the distribution of Mongolian pine plots in the study area.
Figure 1. Geographical distribution of the Mongolian pine plantation in Heilongjiang Province, Northeast China.

2.2. Sources of Data

The data for the present study were collected between 2012 and 2020 from 390 plots, each with a sample area of 0.06 ha. The accumulation of Mongolian pine in each sample plot accounted for more than 65%. Other tree species in the sample plots include Korean pine (Pinus koraiensis Siebold & Zucc.), Korean larch (Larix olgensisi A. Henry), oak (Quercus ilex L.), and birch (Betula platyphylla Roth.). The present study collected basic forest plot data, including plot location, forest age, latitude and longitude, altitude, slope direction, slope, and slope position. A hand-held global positioning system (GPS) was used to measure the latitude, longitude, and altitude of the sample plot; a compass and slope meter were used to determine the slope, slope direction, and slope position; a growth cone was used to measure the forest age. All the trees with a diameter at breast height (DBH) exceeding 5 cm were measured in each plot. Measured data used included DBH (±0.1 cm), whole tree height (±0.1 m), crown width (±0.1 m), and first living branch (±0.1 m) height. Key information such as stand mean height and stand age were also recorded, whereas stand density and stand C stock were estimated. Table 1 provides a summary of the data sources used in the present study.
Table 1. Summary of data for the Mongolian pine used in the present study.

2.3. Calculation of Stand Carbon Density

The biomass of trees was calculated using species-specific biomass models based on diameter at breast height developed in previous studies [37]. Carbon stocks were estimated by multiplying the biomass by the carbon coefficient of the corresponding tree species [37,38]. The total carbon storage of all trees was divided by the plot area (0.06 ha) to obtain the C density of the stand. The main biomass models are shown in Equations (1)–(5) [37,39,40]:
Mongolian   pine :     B = 0.142994 D g 2.317752
Korean   pine :     B = 0.09142 D g 2.45825
Korean   larch :   B = 0.114749 D g 2.485066
Oak :   B = 0.22466 D g 2
Birch :   B = 0.021249 D g 3.018642
Note: B represents biomass (Mg).

2.4. Basic Stand Carbon Density Growth Model

While different plant types, such as herbaceous plants and woody plants, have different growth and life cycles, they share the same basic processes regulating direct C sequestration and dynamics in C density. Past studies on plant physiological ecology and other aspects show that the biomass of most plants can be expressed by the common growth curve equation [12,41]. Since biomass can be converted to C density using C content coefficients, C density can be described using the common growth curve equation. Reciprocal curve, generalized mono-molecular curve, reciprocal curve, Richards, Logistic, Hossfeld, and Gompertz models were used as carbon density growth models [42]. The optimal model selected by fitting model results was denoted as (MOD-1).

2.5. Stand Carbon Density Growth Model Based on SCI and SDI

2.5.1. Site Index Model

Site quality is the potential of a given forest or other vegetation type on a site for production. A site quality evaluation aims to identify the most productive and valuable tree species [43]. The widely used site index is expressed by a high stand dominance at the base age. This index is mainly used in artificial pure stands and can provide an estimate of stand productivity. The accuracy of a constructed carbon density model can be improved by considering the high factor of the stand.
The present study used the Logistic, Mitscherlich, Richards, and Korf curves as reference curves; the main curves models are shown in Equations (6)–(9) [42]:
Logistic :   H = a / 1 + d × e x p b × t
Mitscherlich :   H = a × 1 e x p b × t
Richard :   H = a × 1 e x p b × t d
Korf :   H = a × e x p d × t b
Note: a, b, and d represent model parameters.
The parameters a, b, and d in Equations (6)–(9) are consistent with those in Equation (10). SCI was calculated under an assumption of baseline age t0 of Mongolian pine of 30 years and an index class spacing C of 2 m as follows:
S C I = 1 e x p b × t 0 1 e x p b × t d × H
where b and d are parameters, and t0 and t are the base and stand ages, respectively.

2.5.2. Stand Density Index Model

SDI was calculated using the number of plants per unit area (N) and the average diameter at breast height (Dg) as follows:
N = a × Dgb
S D I = N × D 0 / D g b
where D0 is the datum diameter, D0 = 15, and a and b are model parameters.

2.5.3. Stand Carbon Density Growth Model Based on SCI and SDI

The present study introduced the SCI and SDI variables into the basic growth model since these two variables influence stand C density. Taking the Richards model as an example, the model formed after the introduction of the two variables was denoted (MOD-2).
C = a × S C I × 1 e x p b 1 × S D I / 1000 b 2 × t d + ε c
where a, b1, b2, and d represent model parameters and ε c represent the error term. The model solution was implemented in R, and model parameters were obtained by nonlinear regression. The data were logarithmically transformed to avoid heteroscedasticity [44].

2.6. Evaluation of Stand Carbon Density Growth Models

As shown in Table 2, 75% and 25% of samples were used for the model calibration and verification, respectively. Formulas (14)–(18) were used to test the model’s fitting and predictive performance.
R 2 = 1 i = 1 n y i y ^ i 2 i = 1 n y i y ¯ 2
R M S E = i = 1 n y i y ^ i 2 n 1
M E = 1 n i = 1 n y i y ^ i y i
M A E = 1 n i = 1 n y i y ^ i y i
A I C = 2 k + n × l n R S S n
Table 2. Summary of grouped stand variable data for Mongolian pine.

2.7. Effect of SCI and SDI on Carbon Density

The effects of SCI and SDI on C density of forest stands were investigated by dividing SCI into three intervals (6, 10], (10, 12], and (12, 18] from low to high given that the numbers of samples from each stand were roughly equal and each interval contained 130 samples. Within each SCI interval, differences in C density in the Mongolian pine stands were analyzed under different stand densities (SDI = 0–500 trees·ha−1, 500–1000 trees·ha−1, 1000–1500 trees·ha−1, and >1500 trees·ha−1).

2.8. Potential Increment in the Carbon Sink

The carbon density of a well-managed Mongolian pine plantation can be used as a reference for the maximum carbon density in all plots. This value represents a desired ideal state, which can be realized in some forest stands under a good growth environment. The present study calculated C densities from three to four sample plots, with the highest C densities at different forest ages in the Mongolian pine plantation selected as the potential C density. These samples were then used to establish the potential C density model. The C density calculated from all the sample plots was taken to be the average C density, which inevitably will be slightly different from the potential C density. The models for calculating potential C density and average C density were established, and the difference in estimation between the two models was defined as the potential increase in the C sink.
The calculation of the potential increase in the C sink aimed to understand the possible future increase in the C sequestration rate or net C sequestration under natural conditions or under managed conditions according to some policy directive. If expressed in terms of the carbon sequestration rate, the average carbon sequestration rate was the carbon sequestration capacity of the plantation plots under natural conditions, and the potential carbon sequestration rate was the carbon sequestration capacity of the plots with the maximum carbon density of the plantation plots under different ages. These plots with good growth were an important part of the ecosystem [41]. Since the model for estimating the C sequestration rate can be expressed as a first-order derivative of the C density model, the two model parameters are consistent. Under a fixed stand age, locational differences in the C densities of the Mongolian pine plantation can be observed. Consequently, their rates of C sequestration were also different, which represented the potential increase in the C sink at a particular age. Therefore, the difference between the simulated values of the potential and average C sequestration rate models can be referred to as the theoretical potential increase in the C sink. Taking the Richards C density growth model as an example, the C sequestration rate model was obtained by taking the first-order derivatives:
C = K × 1 e x p α × t β
d c / d t = K × β × α × 1 e x p α × t β 1 × e x p α × t
where K, α, and β represent the model parameters. The total C sequestered in the Mongolian pine plantation was calculated using Equation (19), following which the average C sequestration rate was calculated using the ratio of total C sequestered to stand age:
f t / t = K × 1 e x p α × t β / t a
where t a is the stand age.

3. Results

3.1. Basic Stand Carbon Density Model Fitting

Modeling data were used to fit the growth model shown in Table 2. Logarithmic transformation was used to avoid heteroscedasticity, i.e., C, t was logarithmically transformed, and the model was fitted against logarithmically transformed data. The Richards model showed the best goodness-of-fit statistics (R2 = 0.2863, RMSE = 0.5483, ME = −0.0302, MAE = 0.1357, and AIC = −349.2), with Figure 2 showing the model prediction plot:
C = 3.8988 × 1 e x p 1.6959 × t 19.1436
Figure 2. Basic carbon density model prediction.

3.2. Stand Carbon Density Growth Model Fitting Based on SCI and SDI

3.2.1. Site Index Model

Finally, the Richards model was applied as the optimal site index orientation curve equation for the Mongolian pine plantation (R2 = 0.2788, RMSE = 2.2601):
H = 12.8577 × 1 e x p 0.0809 × t 1.6556

3.2.2. Density Index Model

An empirical model of the number of plants per unit area (N) versus average diameter at breast height (Dg) was developed:
N = 8111.5121 × D g 0.7462
Equation (12) was used to calculate the stand density index of the 390 plots for use to establish the C density growth model of Mongolian pine:
S D I = N × ( D 0 / D g ) 0.7462  

3.2.3. Based on the SCI and SDI Carbon Density Model

SCI and SDI were introduced into the C density growth model with logarithmic transformation used to resolve heteroscedasticity (Equation (26)) (R2 = 0.7154, RMSE = 0.3242, ME = −0.018, MAE = 0.0709, AIC = −679.4).
C = 2.5544 × S C I × 1 e x p 250.3811 × S D I / 1000 1.3 × t 1.645

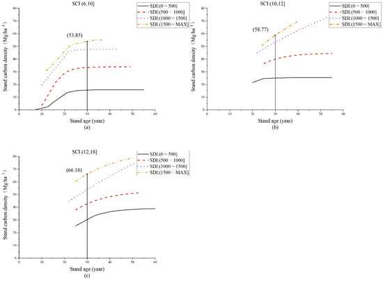
3.3. Effect of SDI on Carbon Density in Different SCI Intervals

The sample plots were sorted according to SCI size and divided into three groups of (6, 10], (10, 12], and (12, 18], each containing 130 plots. Each SCI group was further divided into four intervals according to the SDI, namely (0, 500], (500, 1000], (1000, 1500], and (1500, 3500]. C density versus stand age curves were then plotted for different SDI levels within each SCI group. Maximum stand C density (30 years in age) was 53.85 Mg·ha−1 in the (6, 10] SCI interval (Figure 3a), 58.77 Mg·ha−1 in the (10, 12] interval (Figure 3b), and 66.18 Mg·ha−1 in the (12, 18] interval (Figure 3c). Under an SCI of (6, 10], stand C density tended to level off with increasing stand age. The growth rate of carbon density decelerated 25 years of age (Figure 3a). The carbon density of high density stands (10, 12) and (12, 18) increased rapidly with the increase in forest age. The carbon density of low-density stands gradually reached saturation at 25 and ~40 years, respectively (Figure 3b,c).
Figure 3. Effects of site index (SCI) and stand density index (SDI) on stand carbon density. (a) SCI within (6, 10]—the relationship between SDI and stand carbon density; (b) SCI within (10, 12]—the relationship between SDI and stand carbon density; (c) SCI within (12, 18]—the relationship between SDI and stand carbon density.

3.4. Modeling of Total Carbon Sequestration and Carbon Sequestration Rate

Under an approach of using the C density model to derive the C sequestration rate model by deriving forest age, the MOD-2 model contains an SDI term. In contrast, the mathematical form of SDI contains other variables that do not directly reflect the relationship between C density and forest age. The associated derived model of C sequestration rate provided unstable results. Consequently, the intersection of the average C sequestration rate curve and potential C sequestration rate curve did not allow the next step of analysis. Therefore, the MOD-1 model was used to calculate the total and average C sequestration rates when analyzing the potential increase in the C sink of the Mongolian pine plantation.

3.4.1. Total Carbon Sequestration

The Richards growth model was fitted against all the fixed plot data to obtain the average C density model:
C = 47.37 × 1 e x p 0.22 × t 20.46
The potential C density model was obtained by selecting three to four plots with the highest C density under each forest age:
C = 78.03 × 1 e x p 0.14 × t 8.49
Figure 4 shows the C density model curve of the Mongolian pine plantation. The age of maturity of a non-commercial Mongolian pine plantation is 60 years. Therefore, this age was substituted into Equations (27) and (28) to obtain the total and potential C sequestered in the average stand of 47.36 Mg·ha−1 and 77.88 Mg·ha−1, respectively. By substituting the above stand maturity into Equation (21) the average and potential C sequestration rate of the plantation of 0.79 Mg·ha−1·year−1 and 1.3 Mg·ha−1·year−1, respectively, were obtained.
Figure 4. Total carbon sequestration of Mongolian pine over a cumulative 60-year growing period. The solid and dashed lines represent average and potential total carbon sequestration, respectively.

3.4.2. Carbon Sequestration Rate

The C sequestration rate model is the first-order derivative of the C density model. The average and potential C sequestration rates were calculated as follows:
d ( C ) d ( y r ) = 47.37 × 20.46 × 0.22 × 1 e x p 0.22 × t 20.46 1 × e x p 0.22 × t
d ( C ) d ( y r ) = 78.03 × 8.49 × 0.14 × 1 e x p 0.14 × t 8.49 1 × e x p 0.14 × t
As shown in Figure 5, the C sequestration rate curve was plotted with age and C sequestration rate as the horizontal and vertical coordinates, respectively. The potential C sequestration rate of the Mongolian pine plantation reached a peak of 4.42 Mg·ha−1·year−1 at ~15 years and an average C of 3.86 Mg·ha−1·year−1 at ~13 years, coinciding with the highest C sequestration capacity. A difference between the average and potential C sequestration rate was observed, representing the age-related difference in the C sink capacity of the Mongolian pine forest stand. As also shown in Figure 5, the difference between the average C and potential C sequestration rate of the Mongolian pine plantation was small, between 5 and 13 years. In contrast, the difference increased significantly between 13 and 45 years (shaded area in Figure 5). The shaded area represents the potential increase in carbon sequestration.
Figure 5. Carbon sequestration rate curves of the Mongolian pine plantation. The solid and dotted lines represent the average and potential carbon sequestration rates, respectively. The shaded area represents the disparity in carbon sequestration rates between the two levels.

4. Discussion

4.1. Analysis of Model Performance

The introduction of stand conditions and stand density can improve the accuracy of the C density growth model [12,45]. Stand conditions have an important effect on forest growth, with tree growth stunted in stands subjected to poor conditions [46]. Stand conditions can be used as an evaluation index to represent forest growth, whereas the site index can evaluate site quality [47]. The Richards model showed the optimal goodness of fit during the establishment of the site index reference curve of the Mongolian pine plantation forest (a = 12.8577, b = 0.0809, d = 1.6556). Therefore, this model was used to calculate the SCI of the sample plots. This accuracy of the Richards model in the present study was consistent with that of Silva et al. [48]. The mixed effects method is widely used to account for local differences among different stand types [49,50,51], and the use of mixed effects in this capacity was considered in the present study at a later stage. Some previous studies incorporating the site index into the biomass model have also achieved good model accuracy [52,53,54].
The regulation of stand density is used in forest governance since stand density influences stand growth [55], the stand size distribution, biomass allocation to various organs, and ultimately C density [56]. Therefore, understanding the effect of stand density on C density may have a direct impact on forest management strategies [57]. Past studies have shown that forest C stock will either increase, decrease, or remain unchanged with increasing density increases. Noh et al. on the C stock in red pine forests of different densities showed that an increase in density had no effect on C stock in the arborescent stratum, whereas the total forest C storage decreased [58]. Du et al. showed that regulation of stand density affected C storage of a mason pine plantation and could increase with increasing regulation of stand density [45]. SDI is generally the indicator reflecting stand density, with this index widely used in simulation of stand growth and harvesting [59]. The present study used an empirical model of SDI to establish the relationship between the number of trees per unit area and the average diameter at breast height. This relationship was then used to calculate the SDI of the sample plots, with model coefficients of a = 8111.5121 and b = 0.7462. The calculation of the stand density index using parameter b showed a certain degree of stability, similar to the base model of Duan et al. [60].
The stand C density model can be used for large-scale assessment of forest C density [61,62]. The introduction of SCI and SDI in MOD-2 represented the growth in C density, within which the Richards C density model was optimal. Hui et al. obtained better model-fitting results by introducing the stand index and stand density into the growth equation [63]. A study by Cao et al. used fixed sample data of evergreen broad-leaf forest to fit the relationship between stand biomass and stand age. Their study determined that the Richards growth model was suboptimal. However, its accuracy could be improved by introducing stand factor and site grade [64]; the incorporation of stand density by Chen et al. into the biomass model achieved a greater model fit, consistent with the results of the present study [65]. The present study focused on a Mongolian pine plantation forest, characterized by a single-stand type. Consequently, consideration of a more complex stand type might require the introduction of more influence factors into the model to improve the model accuracy.

4.2. Effects of SCI and SDI on Carbon Density

SCI and SDI have a large impact on stand growth and represent important variables for modeling of stand growth. Different management objectives directly impact the regulated density of a forest at different growth stages. Consequently, an appropriate strategy to maximize the growth of single trees is to maintain a low stand density [66]. Liu et al. demonstrated the existence of a range of stand densities under which a maximum stand volume can be obtained. A stand density that is too high or too low will result in a decreased stand volume [67]. This is also true for stand C density, with a critical stand density reached under a maximum C density at this time. The accuracies of the models simulating C density were different under different stand densities [68].
SCI is currently globally recognized as an indirect indicator of the stand quality of plantation forests [69,70]. Therefore, the effect of SDI on C density under different ranges of SCI was analyzed. During this, SCI was maintained within a certain interval of the effect of SDI on stand C density. The SCI was divided into three intervals (6, 10], (10, 12], and (12, 18]. There were significant differences in stand C density among the different SCI intervals, with the peak C density in Figure 3 showing a gradual increasing trend within the three intervals, i.e., intervals with a higher site index showed higher values of stand C density.
In addition, under a common SCI interval, stand C density had a complex relationship with SDI. On the one hand, there were inconsistencies between the growth space of stand C density and SDI. On the other hand, forest stand C density increased with increasing SDI under a fixed age, with increasingly limited space for growth. This result indicated that the effect of enhancement of forest stand density on C density was dependent on a critical threshold. In summary, both SCI and SDI showed large effects on stand C density; maintaining an optimal stand density under the existing stand SCI condition can effectively enhance stand C density.
An analysis of the effects of stand site class and stand density on C stock in the forest stand by He et al. came to similar conclusions to those of the present study, with stand density increasing C storage in the present study, subject to a critical value of C [19]. In addition, Wang et al. concluded that the effect of stand density on the accumulation of C stock in the forest should be subject to a critical threshold [71]. Some previous studies have suggested that stand density is not related to biomass, which can be possibly attributed to differences in the test area and/or climatic factors [72].

4.3. Analysis of the Potential Increase in the Carbon Sink

Total stand C sequestration increased with increasing stand age (Figure 3), consistent with the results of Zhao et al. [73]. Hudiburg et al. identified the relationships between the upper limit and average for biomass and stand age to estimate the C stock of forests in Oregon and Northern California [74], obtaining results consistent with those of the present study; Aguila proposed that the peak in C sequestration of stands of a Red Cone plantation in Guangdong occurred between 6 and 10 years old, slightly different from the peak C density occurring at 14 years in the present study. This difference can possibly be attributed to the influence of regional climate and biological characteristics of tree species [75], whereas the two studies obtained similar peak C density in young forest stands.
The present study conducted an analysis of the variation in the C sequestration rate in Mongolian pine forests in a steady state, and the effects of extreme weather, wildfires, and other episodic events on the stand were not considered. The average C sequestration rate differs somewhat from the potential C sequestration rate. The analysis of the forest age timeline showed an increasing trend in the C sequestration rate of the Mongolian pine plantation between 5 and 13 years, coinciding with an increase in stand C density (Figure 4). During this time, since the average C sequestration rate was close to the potential C sequestration rate, there was little room for improving the C sink capacity. The maximum C sequestration capacity of Mongolian pine occurred between 13 and 15 years, after which the capacity decreased. The potential C sequestration rate significantly exceeded the average C sequestration rate between 15 and 45 years. This result suggests the capacity to increase the C sink, which may have a certain impact on the C sink function. The optimized management of the Mongolian pine plantation presents the best opportunity for increasing the sink capacity of the forest plantation currently. The C sequestration capacity of the Mongolian pine plantation can be significantly increased through management. While the potential C sequestration rate of the Mongolian pine plantation continued to exceed the average C sequestration rate between 45 and 60 years, the growth rate decelerated, finally aligning with the average C sequestration rate and stabilizing.
The potential C sequestration rate exceeded the average C sequestration rate, with this difference representative of the potential increase in the C sink function of Mongolian pine. The total potential and average C sequestration of Mongolian pine plantation forest were 77.88 Mg·ha−1 and 47.36 Mg·ha−1, respectively, during the 60-year growth period, with the difference reaching 30.52 Mg·ha−1. The mean annual potential and average C sequestration rates were 1.3 Mg·ha−1·year−1 and 0.79 Mg·ha−1·year−1, respectively, with the difference reaching 0.51 Mg·ha−1·year−1. This result further confirmed the large C sequestration potential of Mongolian pine. Therefore, the effective management of the existing plantation of Mongolian pine can improve C sequestration capacity.

5. Conclusions

Regulating carbon emissions for mitigating climate change requires accurate estimates of forest carbon density and carbon sink function. The present study applied the MOD-1 and MOD-2 models to establish carbon density models of Mongolian pine in Heilongjiang Province. The optimal model was used to analyze the effects of SCI and SDI on C density. The C sequestration rate model of the Mongolian pine plantation was established based on the C density growth model, which in turn was used to obtain the potential and average C sequestration rates of Mongolian pine stands at different ages. The Richards’ model showed the best fit and reflected the relationship between the stand age and C density, thereby objectively reflecting the growth in C density. A stand age of 13 years showed the strongest average C sequestration capacity at 3.86 Mg·ha−1·year−1, whereas that of 15 years showed the strongest potential C sequestration capacity at 4.42 Mg·ha−1·year−1. The difference between the average and potential C sequestration rate of the Mongolian pine plantation was relatively small before reaching a peak C sequestration rate, with little scope to improve the C sink capacity. Between the stand ages of 13 and 45 years, there was a considerable difference between the potential and average C sequestration rates, indicating that this age range was optimal to improve the C sink capacity of the Mongolian pine plantation. The results of this study can guide attempts to use the full potential of the Mongolian pine carbon sink function for mitigating climate change.

Author Contributions

Conceptualization, J.D. and W.W.; methodology, J.D., G.L. and W.W.; software, J.D.; validation, J.D. and W.W.; formal analysis, J.D., G.L. and D.L.; investigation, J.D. and D.L.; resources, W.W. and L.J.; data curation, J.D. and W.W.; writing—original draft preparation, J.D.; writing—review and editing, W.W. and L.J.; visualization, J.D., D.L. and W.W.; supervision, W.W.; project administration, W.W.; funding acquisition, W.W. All authors have read and agreed to the published version of the manuscript.

Funding

This research was funded by the National Key Point Research and Development Program of China (2022YFD2201002), and the National Natural Science Foundation of China (32271867).

Data Availability Statement

The data presented in this study are available on request from the corresponding author.

Acknowledgments

The authors would like to thank the faculty members and students of the Department of Forest Management, Northeast Forestry University (NEFU), China, who collected the data for this study. We also sincerely thank the anonymous reviewer who provided constructive and valuable suggestions and comments for improving this manuscript.

Conflicts of Interest

The authors declare there are no competing interests.

References

  1. Schleussner, C.F.; Rogelj, J.; Schaeffer, M.; Lissner, T.; Licker, R.; Fischer, E.M.; Knutti, R.; Levermann, A.; Frieler, K.; Hare, W. Science and policy characteristics of the Paris Agreement temperature goal. Nat. Clim. Chang. 2016, 6, 827–835. [Google Scholar] [CrossRef]
  2. Chen, Y.R.; Zhao, J.C. New pattern of global climate governance and opportunities for forest and grassland development under the target of carbon emission peaked and carbon neutral. World For. Res. 2021, 34, 1–5. (In Chinese) [Google Scholar]
  3. Yang, Y.; Shi, Y.; Sun, W.; Chang, J.; Zhu, J.; Chen, L.; Wang, X.; Guo, Y.; Zhang, H.; Yu, L.; et al. Terrestrial carbon sinks in China and around the world and their contribution to carbon neutrality. Sci. China Life Sci. 2022, 65, 861–895. [Google Scholar] [CrossRef]
  4. Keith, H.; Mackey, B.G.; Lindenmayer, D.B. Re-evaluation of forest biomass carbon stocks and lessons from the world’s most carbon-dense forests. Proc. Natl. Acad. Sci. USA 2009, 106, 11635–11640. [Google Scholar] [CrossRef]
  5. Protocol, K.; Kyoto Protocol. UNFCCC Website. 1997. Available online: http://unfccc.int/kyoto_protocol/items/2830.php (accessed on 1 January 2011).
  6. Meng, Y.; Zhang, Y.; Li, C.; Wang, Z.; Li, Y. The Effect of Thinning Management on the Carbon Density of the Tree Layers in Larch–Birch Mixed Natural Secondary Forests of the Greater Khingan Range, Northeastern China. Forests 2022, 13, 1035. [Google Scholar] [CrossRef]
  7. Kumi, J.A.; Kyereh, B.; Ansong, M.; Asante, W. Influence of management practices on stand biomass, carbon stocks and soil nutrient variability of teak plantations in a dry semi-deciduous forest in Ghana. Trees For. People 2021, 3, 100049. [Google Scholar] [CrossRef]
  8. Bravo-Oviedo, A.; Ruiz-Peinado, R.; Modrego, P.; Alonso, R.; Montero, G. Forest thinning impact on carbon stock and soil condition in Southern European populations of P. sylvestris L. For. Ecol. Manag. 2015, 357, 259–267. [Google Scholar] [CrossRef]
  9. Zhou, H.; Chen, Y.; Zhu, C.; Chen, Y.; Yang, Y.; Li, W.; Chen, S. Warming Increases the Carbon Sequestration Capacity of Picea schrenkiana in the Tianshan Mountains, China. Forests 2021, 12, 1066. [Google Scholar] [CrossRef]
  10. Castedo-Dorado, F.; Gómez-García, E.; Diéguez-Aranda, U.; Barrio-Anta, M.; Crecente-Campo, F. Aboveground stand-level biomass estimation: A comparison of two methods for major forest species in northwest Spain. Ann. For. Sci. 2012, 69, 735–746. [Google Scholar] [CrossRef]
  11. Dong, L.; Zhang, Y.; Zhang, Z. Comparison of tree biomass modeling approaches for larch (Larix olgensis Henry) trees in Northeast China. Forests 2020, 11, 202. [Google Scholar] [CrossRef]
  12. Dong, L.; Zhang, L.; Li, F. Evaluation of stand biomass estimation methods for major forest types in the eastern Da Xing’an Mountains, Northeast China. Forests 2019, 10, 715. [Google Scholar] [CrossRef]
  13. Zhao, D.; Kane, M.; Markewitz, D.; Teskey, R.; Clutter, M. Additive tree biomass equations for midrotation Loblolly pine plantations. For. Sci. 2015, 61, 613–623. [Google Scholar] [CrossRef]
  14. Zhou, X.; Yin, Z.; Zhou, Y.; Zhang, X.; Sharma, R.; Guan, F.; Fan, S. Modeling stand biomass for Moso bamboo forests in Eastern China. Front. Plant Sci. 2023, 14, 1186250. [Google Scholar] [CrossRef] [PubMed]
  15. Bi, H.; Turner, J.; Lambert, M.J. Additive biomass equations for native eucalypt forest trees of temperate Australia. Trees 2004, 18, 467–479. [Google Scholar] [CrossRef]
  16. Case, B.S.; Hall, R.J. Assessing prediction errors of generalized tree biomass and volume equations for the boreal forest region of west-central Canada. Can. J. For. Res. 2008, 38, 878–889. [Google Scholar] [CrossRef]
  17. Cole, T.G.; Ewel, J.J. Allometric equations for four valuable tropical tree species. For. Ecol. Manag. 2006, 229, 351–360. [Google Scholar] [CrossRef]
  18. Fang, J.; Wang, G.; Liu, G.; Xu, S. Forest biomass of China: An estimate based on the biomass–volume relationship. Ecol. Appl. 1998, 8, 1084–1091. [Google Scholar]
  19. He, X.; Zhou, C.; Lei, X.; Li, H. Stand carbon stock growth model system for Larix olgensis plantation. J. Beijing For. Univ. 2021, 43, 1–10. (In Chinese) [Google Scholar]
  20. Jia, W.; Sun, H.; Li, F. Prediction model system with dummy variables for carbon storage of larch plantation in HeiLongJiang Provine. J. Appl. Ecol. 2021, 30, 814–822. (In Chinese) [Google Scholar]
  21. Ter-Mikaelian, M.; Korzukhin, M. Biomass equations for sixty-five North American tree species. For. Ecol. Manag. 1997, 97, 1–24. [Google Scholar] [CrossRef]
  22. Zeng, W.; Zhang, H.; Tang, S. Using the dummy variable model approach to construct compatible single-tree biomass equations at different scales—A case study for Masson pine (Pinus massoniana) in southern China. Can. J. For. Res. 2011, 41, 1547–1554. [Google Scholar] [CrossRef]
  23. Fehrmann, L.; Lehtonen, A.; Kleinn, C.; Tomppo, E. Comparison of linear and mixed-effect regression models and ak-nearest neighbour approach for estimation of single-tree biomass. Can. J. For. Res. 2008, 38, 1–9. [Google Scholar] [CrossRef]
  24. Zeng, W. Using nonlinear mixed model and dummy variable model approaches to develop origin-based individual tree biomass equations. Trees 2011, 29, 275–283. [Google Scholar] [CrossRef]
  25. Pérez-Cruzado, C.; Rodríguez-Soalleiro, R. Improvement in accuracy of aboveground biomass estimation in Eucalyptus nitens plantations: Effect of bole sampling intensity and explanatory variables. For. Ecol. Manag. 2011, 261, 2016–2028. [Google Scholar] [CrossRef]
  26. Fu, L.; Zeng, W.; Tang, S.; Sharma, R.; Li, H. Using linear mixed model and dummy variable model approaches to construct compatible single-tree biomass equations at different scales—A case study for Masson pine in Southern China. J. For. Sci. 2012, 58, 101–115. [Google Scholar] [CrossRef]
  27. Wang, M.; Borders, B.; Zhao, D. An empirical comparison of two subject-specific approaches to dominant heights modeling: The dummy variable method and the mixed model method. For. Ecol. Manag. 2008, 255, 2659–2669. [Google Scholar] [CrossRef]
  28. Xu, B.; Guo, Z.; Piao, S.; Fang, J. Biomass carbon stocks in China’s forests between 2000 and 2050: A prediction based on forest biomass-age relationships. Sci. China Life Sci. 2010, 53, 776–783. [Google Scholar] [CrossRef]
  29. Sun, X.; Wang, G.; Huang, M.; Chang, R.; Ran, F. Forest biomass carbon stocks and variation in Tibet’s carbon-dense forests from 2001 to 2050. Sci. Rep. 2016, 6, 34687. [Google Scholar] [CrossRef]
  30. Li, B.; Fang, X.; Xiang, W. Carbon stock, carbon density and carbon sequestration potential of Cunninghamia lanceolata plantations in Hunan Province. Sci. Silvae Sin. 2013, 49, 25–32. (In Chinese) [Google Scholar]
  31. Fang, J.; Yoda, K. Climate and V egetation in China II. Distribution of Main Vegetation Types and Thermal Climate. Ecol. Res. 1989, 4, 71–83. [Google Scholar] [CrossRef]
  32. Zhu, J.; Fan, Z.; Zeng, D.; Jiang, F. Comparison of stand structure and growth between artificial and natural forests of Pinus sylvestiris var. mongolica on sandy land. J. For. Res. 2003, 14, 103–111. [Google Scholar]
  33. Zhu, J.; Zheng, X. The prospects of development of the Three-North Afforestation Program (TNAP): On the basis of the results of the 40-year construction general assessment of the TNAP. Chin. J. Ecol. 2019, 38, 1600. [Google Scholar]
  34. Hu, H.; Luo, B.; Wei, S.; Wei, S.; Sun, L.; Luo, S.; Ma, H. Biomass carbon density and carbon sequestration capacity in seven typical forest types of the Xiaoxing’ an Mountains, China. Chin. J. Plant Ecol. 2015, 39, 140–158. (In Chinese) [Google Scholar]
  35. Jia, W. Forest Biomass and Carbon Storage of Various Forest Types in Northeast China Forest Area, 3rd ed.; Heilongjiang Science and Technology Press: Harbin, China, 2014; pp. 45–46. (In Chinese) [Google Scholar]
  36. Khan, A.; Zhang, X.; Zhang, K.; Iqbal, A.; Ahmad, A.; Saeed, S.; Hayat, M.; Yang, X. Tree distribution pattern, growing stock characteristics and biomass carbon density of mongolian scots pine (Pinus sylvestris var. Mongolica) plantation of Horqin Sandy Land, China. Pak. J. Bot. 2020, 52, 995–1002. [Google Scholar] [CrossRef]
  37. Li, F. Research on the Distribution and Dynamics of Forest Carbon Storage in Heilongjiang Province, 3rd ed.; Northeast Forestry University Press: Harbin, China, 2017; pp. 75–78. (In Chinese) [Google Scholar]
  38. MacLean, R.; Ducey, M.; Hoover, C. A comparison of carbon stock estimates and projections for the northeastern United States. For. Sci. 2014, 60, 206–213. [Google Scholar] [CrossRef]
  39. Zeng, W.; Tang, S.; Huang, G.; Zhang, M. Population classification and sample structure on modeling of single-tree bio mass equations for national biomass estimation in China. For. Resour. Manag. 2010, 3, 16–23. (In Chinese) [Google Scholar]
  40. Fan, C.; Pang, S.; Zheng, J.; Li, B.; Guo, Z. Biomass estimating models of saplings for 14 species in Changbaishan Mountains, Northeastern China. J. Beijing For. Univ. 2013, 35, 1–9. (In Chinese) [Google Scholar]
  41. Yu, G.; Wang, Q.; Liu, Y.; Liu, Y. Conceptual framework of carbon sequestration rate and potential increment of carbon sink of regional terrestrial ecosystem and scientific basis for quantitative carbon authentification. Prog. Geogr. 2011, 30, 771–787. (In Chinese) [Google Scholar]
  42. Meng, X. Forest Measurements, 3rd ed.; China Forestry Publishing House: Beijing, China, 2006; pp. 82–83. (In Chinese) [Google Scholar]
  43. Zhang, Y.; Wang, X. Study on forest volume-to-biomass modeling and carbon storage dynamics in China. Sci. Sin. Vitae 2021, 51, 199–214. [Google Scholar]
  44. Zeng, W.; Tang, S. Bias correction in logarithmic regression and comparsion with weighted regression for non-linear models. For. For. Res. 2011, 24, 137–143. (In Chinese) [Google Scholar]
  45. Du, Y. Carbon storage allocation characteristics of platycladus orientalis plantation ecosystem with different densities. Glob. NEST J. 2020, 22, 592–602. [Google Scholar]
  46. Krisnawati, H.; Wang, Y.; Ades, P. Generalized height-diameter models for Acacia mangium Willd. plantations in south Sumatra. Indones. J. For. Res. 2010, 7, 1–19. [Google Scholar] [CrossRef][Green Version]
  47. Lei, X.; Fu, L.; Li, H.; Li, Y.; Tang, S. Methodology and applications of site quality assessment based on potential mean annualincrement. Sci. Silvae Sin. 2018, 54, 116–126. (In Chinese) [Google Scholar]
  48. Silva, G.; Calegario, N.; da Silva, A.; da Cruz, J.; Leite, H. Site index curves in thinned and non-thinned eucalyptus stands. For. Ecol. Manag. 2018, 408, 36–44. [Google Scholar] [CrossRef]
  49. Calegario, N.; Daniels, R.; Maestri, R.; Neiva, R. Modeling dominant height growth based on nonlinear mixed-effects model: A clonal Eucalyptus plantation case study. For. Ecol. Manag. 2005, 204, 11–21. [Google Scholar] [CrossRef]
  50. De-Miguel, S.; Guzmán, G.; Pukkala, T. A comparison of fixed- and mixed-effects modeling in tree growth and yield prediction of an indigenous neotropical species (Centrolobium tomentosum) in a plantation system. For. Ecol. Manag. 2013, 291, 249–258. [Google Scholar] [CrossRef]
  51. Fu, L.; Zeng, W.; Zhang, H.; Wang, G.; Lei, Y.; Tang, S. Generic linear mixed-effects individual-tree biomass models for Pinus massoniana in southern China. South. For. J. For. Sci. 2014, 76, 47–56. [Google Scholar] [CrossRef]
  52. Jin, Z.; Jia, W.; Liu, W. Stand biomass prediction model for Larix olgensis plantation. Bull. Bot. Res. 2010, 30, 747–752. (In Chinese) [Google Scholar]
  53. Sağlam, F.; Oytun, E. Allometric relationships between above-ground biomass increment and stand characteristics for crimean pine in Taşköprü, Turkey. Cerne 2023, 29, 103–169. [Google Scholar] [CrossRef]
  54. Castaño, S.; Marcos, B.; Pedro, Á. Potential above ground biomass production and total tree carbon sequestration in the major forest species in NW Spain. Int. For. Rev. 2013, 15, 273–289. [Google Scholar]
  55. Adame, P.; del Río, M.; Cañellas, I. A mixed nonlinear height–diameter model for pyrenean oak (Quercus pyrenaica Willd.). For. Ecol. Manag. 2008, 256, 88–98. [Google Scholar] [CrossRef]
  56. Gizachew, B.; Brunner, A. Density–growth relationships in thinned and unthinned Norway spruce and Scots pine stands in Norway. Scand. J. For. Res. 2011, 26, 543–554. [Google Scholar] [CrossRef]
  57. Zeide, B. Optimal stand density: A solution. Can. J. For. Res. 2004, 34, 846–854. [Google Scholar] [CrossRef]
  58. Noh, N.; Kim, C.; Bae, S.; Lee, W.; Yoon, T.; Muraoka, H.; Son, Y. Carbon and nitrogen dynamics in a Pinus densiflora forest with low and high stand densities. J. Plant Ecol. 2013, 6, 368–379. [Google Scholar] [CrossRef]
  59. Zhu, W.; Gao, G.; Huang, J.; Kan, l.; Wang, D. Density index model of Populus shelterbelts. J. Northwest For. Univ. 2011, 26, 151–154. (In Chinese) [Google Scholar]
  60. Duan, G.; Lei, X.; Zhang, X.; Liu, X. Site index modeling of Larch using a mixed-effects model across regional site types in Northern China. Forests 2006, 13, 815. [Google Scholar] [CrossRef]
  61. Zhang, J.; Oliver, W.; Ritchie, M. Effect of stand densities on stand dynamics in white fir (Abies concolor) forests in northeast California, USA. For. Ecol. Manag. 2007, 244, 50–59. [Google Scholar] [CrossRef]
  62. Dong, L.; Zhang, L.; Li, F. Additive biomass equations based on different dendrometric variables for two dominant species (Larix gmelini Rupr. and Betula platyphylla Suk.) in natural forests in the Eastern Daxing’an Mountains, Northeast China. Forests 2018, 9, 261. [Google Scholar] [CrossRef]
  63. Hui, S.; Yu, H. The application of Richards growth equation in stand growth estimate. J. Biomath. 2003, 18, 204–206. (In Chinese) [Google Scholar]
  64. Cao, L.; Liu, X.; Li, H.; Lei, Y. Biomass growth models forevergreen broad-leaved forests in Guangdong. For. Res. 2022, 33, 61–67. (In Chinese) [Google Scholar]
  65. Chen, G.; Zhang, X.; Liu, C.; Liu, C.; Xu, H.; Ou, G. Error Analysis on the Five Stand Biomass Growth Estimation Methods for a Sub-Alpine Natural Pine Forest in Yunnan, Southwestern China. Forests 2022, 13, 1637. [Google Scholar] [CrossRef]
  66. Węgiel, A.; Polowy, K. Aboveground carbon content and storage in mature Scots pine stands of different densities. Forests 2020, 11, 240. [Google Scholar] [CrossRef]
  67. Liu, X.; Zhang, T.; Qiu, F.; Fu, C.; Zhou, C. Effects of planting density on the growth and stand volume of Cinnamonum camphora plantations. J. Cent. South Univ. For. Technol. 2019, 39, 23–27. (In Chinese) [Google Scholar]
  68. Khan, M.; Shil, M.; Azad, M.; Sadath, M.; Feroz, S.; Mollick, A. Allometric relationships of stem volume and stand level carbon stocks at varying stand density in Swietenia macrophylla King plantations, Bangladesh. For. Ecol. Manag. 2018, 430, 639–648. [Google Scholar] [CrossRef]
  69. Bontemps, J.; Bouriaud, O. Predictive approaches to forest site productivity: Recent trends, challenges and future perspectives. Forestry 2014, 87, 109–128. [Google Scholar] [CrossRef]
  70. Fontes, L.; Bontemps, J.; Bugmann, H.; Van Oijen, M.; Gracia, C.; Kramer, K.; Lindner, M.; Rötzer, T.; Skovsgaard, J. Models for supporting forest management in a changing environment. For. Syst. 2010, 19, 8–29. [Google Scholar] [CrossRef]
  71. Wang, X.; Sun, Y.; Ma, W. Biomass and carbon storage distribution of different density in Larix olgensis plantation. J. Fujian Coll. For. 2011, 31, 221–226. (In Chinese) [Google Scholar]
  72. Jagodzi’nski, A.; Dyderski, M.; Gęsikiewicz, K.; Horodecki, P. Tree-and stand-level biomass estimation in a Larix decidua Mill. Chronosequence. Forests 2018, 9, 587. [Google Scholar] [CrossRef]
  73. Zhao, M.; Xang, W.; Peng, C.; Tian, D. Simulating age-related changes in carbon storage and allocation in a Chinese fir plantation growing in southern China using the 3-PG model. For. Ecol. Manag. 2009, 257, 1520–1531. [Google Scholar] [CrossRef]
  74. Hudiburg, T.; Law, B.; Turner, D.; Campbell, J.; Donato, D.; Duane, M. Carbon dynamics of Oregon and Northern California forests and potential land-based carbon storage. Ecol. Appl. 2009, 19, 163–180. [Google Scholar] [CrossRef]
  75. Li, X.; Aguila, L.; Luo, J.; Liu, Y.; Wu, T.; Lie, Z.; Liu, J. Carbon storage capacity of Castanopsis hystrix plantations at different stand–ages in South China. Sci. Total Environ. 2023, 894, 164974. [Google Scholar] [CrossRef]
Disclaimer/Publisher’s Note: The statements, opinions and data contained in all publications are solely those of the individual author(s) and contributor(s) and not of MDPI and/or the editor(s). MDPI and/or the editor(s) disclaim responsibility for any injury to people or property resulting from any ideas, methods, instructions or products referred to in the content.

Article Metrics

Citations

Article Access Statistics

Multiple requests from the same IP address are counted as one view.