The Effect of Soil and Topography Factors on Larix gmelinii var. Principis-rupprechtii Forest Mortality and Capability of Decision Tree Binning Method and Generalized Linear Models in Predicting Tree Mortality
Abstract
1. Introduction
2. Materials and Methods
2.1. Study Area
2.2. Data Collection
2.3. Methods
2.3.1. Data Preprocessing
2.3.2. Variables Screening
2.4. Basic Model
- (1)
- Generalized Linear Model (GLM)
- (2)
- Linear Discriminant Analysis (LDA)
- (3)
- Bayesian Generalized Linear Model (Bayesian GLM):
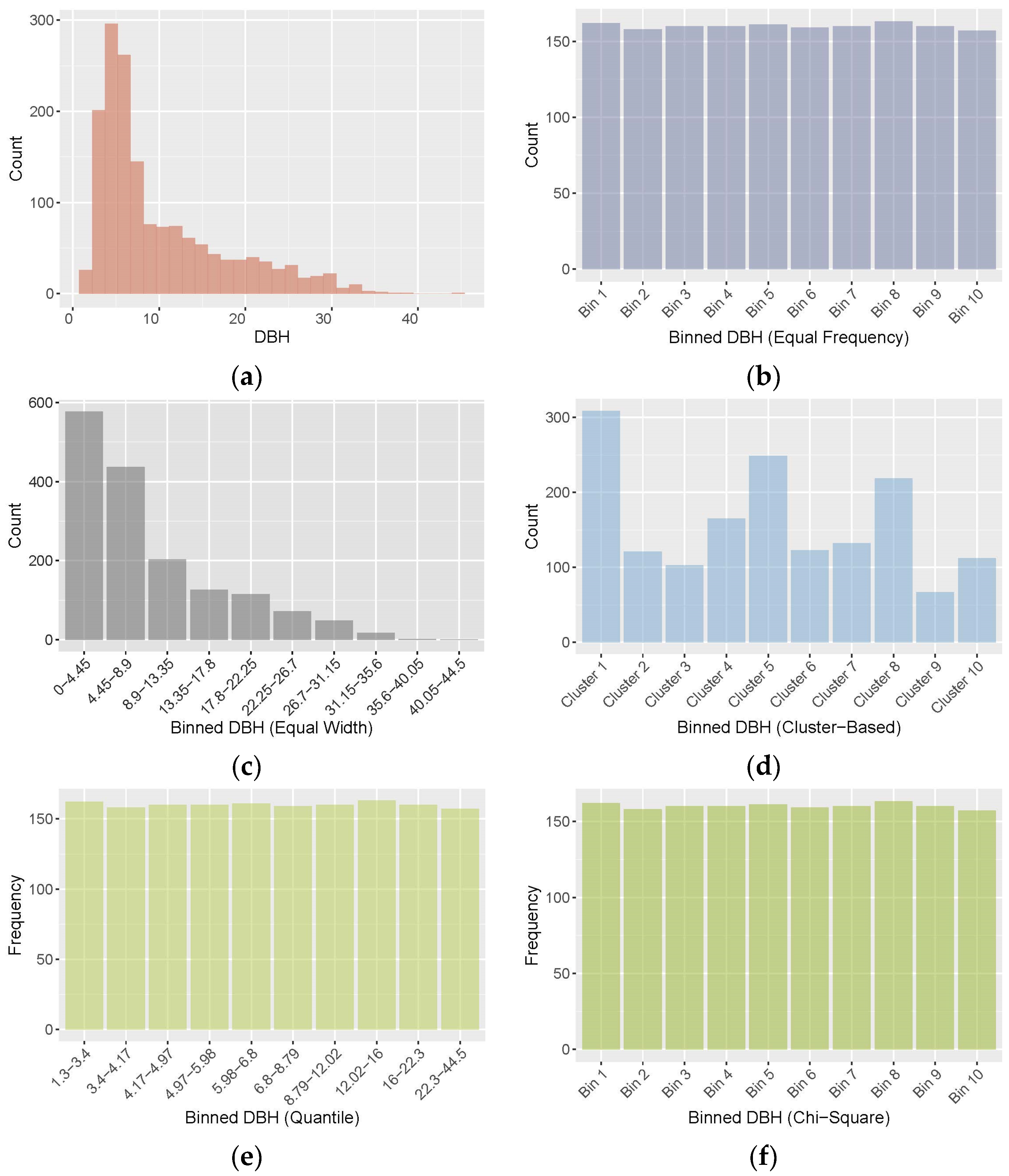
2.5. Six Binning Methods
2.6. Model Evaluation
- (1)
- Accuracy: This measure indicates the overall proportion of correct predictions across all instances. It provides a general overview of the model’s predictive success and is determined by:
- (2)
- Sensitivity: Also referred to as recall, this metric quantifies the model’s proficiency in identifying positive cases. It is expressed as the fraction of correctly identified positive instances among all actual positive cases:
- (3)
- Specificity: This parameter evaluates the model’s ability to identify negative instances correctly. It is calculated as the proportion of accurately predicted negative cases out of all actual negative instances:
- (4)
- Cohen’s Kappa: This statistic evaluates the level of agreement between predicted and actual outcomes while accounting for the possibility of chance agreement. It is computed using:
- (5)
- Precision: This metric assesses the accuracy of positive predictions made by the model. It is calculated as the ratio of correctly predicted positive instances to the total number of positive predictions:
- (6)
- F1 Score: This measure provides a balanced evaluation of the model’s performance by combining precision and recall. It is calculated as the harmonic mean of these two metrics:
- (7)
- Area Under the Receiver Operating Characteristic Curve (AUC-ROC): The ROC curve illustrates the relationship between the true positive rate and false positive rate across various threshold settings. The AUC-ROC quantifies the model’s ability to discriminate between classes, with higher values indicating superior performance in distinguishing between trees that succumbed and those that survived.
3. Results
3.1. Wald Calculation Results
3.2. Removed Wald Statistics
3.3. Model Comparison
3.4. Binning Methods Comparison
4. Discussion
4.1. Overview of the Study
4.2. Soil Factors Influencing Tree Mortality
4.3. Topographical Influences on Tree Mortality
4.4. Comparative Analysis of Modeling Approaches
4.5. Implications of Binning
4.5.1. Decision Tree Binning
4.5.2. Chi-Square Binning
4.6. Significance of the Tree Mortality Model
5. Conclusions
Author Contributions
Funding
Data Availability Statement
Acknowledgments
Conflicts of Interest
References
- Lewis, S.L.; Wheeler, C.E.; Mitchard, E.T.; Koch, A. Regenerate natural forests to store carbon. Nature 2019, 568, 25–28. [Google Scholar] [CrossRef] [PubMed]
- Bastin, J.F.; Finegold, Y.; Garcia, C.; Mollicone, D.; Rezende, M.; Routh, D.; Zohner, C.M.; Crowther, T.W. The global tree restoration potential. Science 2019, 365, 76–79. [Google Scholar] [CrossRef] [PubMed]
- Strassburg, B.B.; Iribarrem, A.; Beyer, H.L.; Cordeiro, C.L.; Crouzeilles, R.; Jakovac, C.C.; Braga Junqueira, A.; Lacerda, E.; Latawiec, A.E.; Balmford, A.; et al. Global priority areas for ecosystem restoration. Nature 2020, 586, 724–729. [Google Scholar] [CrossRef] [PubMed]
- Zuleta, D.; Arellano, G.; Muller-Landau, H.C.; McMahon, S.M.; Aguilar, S.; Bunyavejchewin, S.; Cárdenas, D.; Chang-Yang, C.H.; Duque, A.; Mitre, D.; et al. Individual tree damage dominates mortality risk factors across six tropical forests. New Phytol. 2022, 233, 705–721. [Google Scholar] [CrossRef] [PubMed]
- Li, T.; Liu, Y.; Wang, Q.; Lai, C.; Qiu, Y.; Tissue, D.T.; Xiao, J.; Li, X.; Peng, L. The impact of abiotic and biotic factors on growth, mortality and net tree C stock in mountain forest ecosystems in southwest China. Environ. Res. Lett. 2022, 17, 124037. [Google Scholar] [CrossRef]
- Fischer, H.W.; Chhatre, A.; Duddu, A.; Pradhan, N.; Agrawal, A. Community forest governance and synergies among carbon, biodiversity and livelihoods. Nat. Clim. Chang. 2023, 13, 1340–1347. [Google Scholar] [CrossRef]
- National Forestry and Grassland Administration. China Forest Resources Report (2014–2018); China Forestry Publishing House: Beijing, China, 2019; pp. 9–10.
- Wei, H.X.; Guo, P. Carbohydrate metabolism during new root growth in transplanted Larix oglensis seedlings: Post-transplant response to nursery-applied inorganic fertilizer and organic amendment. iForest 2016, 10, 15–22. [Google Scholar] [CrossRef]
- Liu, Q.; Piao, S.; Janssens, I.A.; Fu, Y.; Peng, S.; Lian, X.U.; Ciais, P.; Myneni, R.B.; Peñuelas, J.; Wang, T. Extension of the growing season increases vegetation exposure to frost. Nat. Commun. 2018, 9, 426. [Google Scholar] [CrossRef]
- Leng, W.; He, H.S.; Bu, R.; Dai, L.; Hu, Y.; Wang, X. Predicting the distributions of suitable habitat for three larch species under climate warming in Northeastern China. Forest Ecol. Manag. 2008, 254, 420–428. [Google Scholar] [CrossRef]
- Fang, Z.; Bailey, R.L. Height–diameter models for tropical forests on Hainan Island in southern China. Forest Ecol. Manag. 1998, 110, 315–327. [Google Scholar] [CrossRef]
- Zhou, X.; Wang, X.; Han, S.-J. The effect of global climate change on the dynamics of Betula ermanii-tundra ecotone in the Changbai Mountains. Earth Sci. Front. 2002, 9, 227–232. [Google Scholar]
- Wang, C. Biomass allometric equations for 10 co-occurring tree species in Chinese temperate forests. Forest Ecol. Manag. 2006, 222, 9–16. [Google Scholar] [CrossRef]
- Fu, L.; Sharma, R.P.; Hao, K.; Tang, S. A generalized interregional nonlinear mixed-effects crown width model for Prince rupprecht larch in northern China. Forest Ecol. Manag. 2017, 389, 364–373. [Google Scholar] [CrossRef]
- Chambers, J.Q.; Negron-Juarez, R.I.; Marra, D.M.; Di Vittorio, A.; Tews, J.; Roberts, D.; Ribeiro, G.H.P.M.; Trumbore, S.E.; Higuchi, N. The steady-state mosaic of disturbance and succession across an old-growth Central Amazon Forest landscape. Proc. Natl. Acad. Sci. USA 2013, 110, 3949–3954. [Google Scholar] [CrossRef]
- Erb, K.H.; Fetzel, T.; Plutzar, C.; Kastner, T.; Lauk, C.; Mayer, A.; Niedertscheider, M.; Körner, C.; Haberl, H. Biomass turnover time in terrestrial ecosystems halved by land use. Nat. Geosci. 2016, 9, 674–678. [Google Scholar] [CrossRef]
- Boeck, A.; Dieler, J.; Biber, P.; Pretzsch, H.; Ankerst, D.P. Predicting tree mortality for European beech in southern Germany using spatially explicit competition indices. Forest Sci. 2014, 60, 613–622. [Google Scholar] [CrossRef]
- Woodall, C.W.; Grambsch, P.L.; Thomas, W. Applying survival analysis to a large-scale forest inventory for assessment of tree mortality in Minnesota. Ecol. Model. 2005, 189, 199–208. [Google Scholar] [CrossRef]
- Hasenauer, H.; Merkl, D.; Weingartner, M. Estimating tree mortality of Norway spruce stands with neural networks. Adv. Environ. Res. 2001, 5, 405–414. [Google Scholar] [CrossRef]
- Affleck, D.L.R. Poisson mixture models for regression analysis of stand-level mortality. Can. J. Forest Res. 2006, 36, 2994–3006. [Google Scholar] [CrossRef]
- Zhang, X.Q.; Lei, Y.C.; Liu, X.Z. Modeling stand mortality using Poisson mixture models with mixed-effects. iForest 2014, 8, 333. [Google Scholar] [CrossRef]
- Li, C.M.; Zhao, L.F.; Li, L.X. Modeling stand-level mortality of Mongolian oak (Quercus mongolica) based on mixed effect model and zero-inflated model methods. Linye. Kexue 2019, 55, 27–36. [Google Scholar] [CrossRef]
- Li, Y.; Kang, X.; Zhang, Q. Modelling tree mortality across diameter classes using mixed-effects zero-inflated models. J. Forestry Res. 2020, 31, 131–140. [Google Scholar] [CrossRef]
- Soong, J.L.; Janssens, I.A.; Grau, O.; Margalef, O.; Stahl, C.; Van Langenhove, L.; Urbina, I.; Chave, J.; Dourdain, A.; Ferry, B.; et al. Soil properties explain tree growth and mortality, but not biomass, across phosphorus-depleted tropical forests. Sci. Rep. 2020, 10, 2302. [Google Scholar] [CrossRef] [PubMed]
- de Toledo, J.J.; Magnusson, W.E.; Castilho, C.V.; Nascimento, H.E. How much variation in tree mortality is predicted by soil and topography in Central Amazonia? Forest Ecol. Manag. 2011, 262, 331–338. [Google Scholar] [CrossRef]
- Li, B.G. Soil Nutrients and Microbial Activity. In Soil Science, 4th ed.; China Agriculture Press: Beijing, China, 2016; pp. 154–196. [Google Scholar]
- Meir, P.; Wood, T.E.; Galbraith, D.R.; Brando, P.M.; Da Costa, A.C.; Rowland, L.; Ferreira, L.V. Threshold responses to soil moisture deficit by trees and soil in tropical rain forests: Insights from field experiments. BioScience 2015, 65, 882–892. [Google Scholar] [CrossRef]
- Wilson, S.D.; Tilman, D. Component of plant competition along an experimental gradient of nitrogen availability. Ecology 1991, 72, 1050–1065. [Google Scholar] [CrossRef]
- Zhang, F.C.; Kang, S.Z.; Li, F.S.; Zhang, J.H. Growth and major nutrient concentrations in Brassica campestris supplied with different NH4+/NO3− ratios. J. Integr. Plant Biol. 2007, 49, 455–462. [Google Scholar] [CrossRef]
- Ferry, B.; Morneau, F.; Bontemps, J.D.; Blanc, L.; Freycon, V. Higher treefall rates on slopes and waterlogged soils result in lower stand biomass and productivity in a tropical rain forest: Treefall and biomass in a tropical rain forest. J. Ecol. 2010, 98, 106–116. [Google Scholar] [CrossRef]
- Gale, N.; Hall, P. Factors determining the modes of tree death in three Bornean rain forests. J. Veg. Sci. 2001, 12, 337–346. [Google Scholar] [CrossRef]
- Stephenson, N.L.; Das, A.J.; Condit, R.; Russo, S.E.; Baker, P.J.; Beckman, N.G.; Coomes, D.A.; Lines, E.R.; Morris, W.K.; Rüger, N.; et al. Rate of tree carbon accumulation increases continuously with tree size. Nature 2014, 507, 90–93. [Google Scholar] [CrossRef]
- Forrester, D.I. Does individual-tree biomass growth increase continuously with tree size? Forest Ecol. Manag. 2021, 481, 118717. [Google Scholar] [CrossRef]
- Sheil, D.; Eastaugh, C.S.; Vlam, M.; Zuidema, P.A.; Groenendijk, P.; van der Sleen, P.; Jay, A.; Vanclay, J. Does biomass growth increase in the largest trees? Flaws, fallacies and alternative analyses. Funct Ecol. 2017, 31, 568–581. [Google Scholar] [CrossRef]
- Olson, M.E.; Soriano, D.; Rosell, J.A.; Anfodillo, T.; Donoghue, M.J.; Edwards, E.J.; León-Gómez, C.; Dawson, T.; Camarero Martínez, J.J.; Castorena, M.; et al. Plant height and hydraulic vulnerability to drought and cold. Proc. Natl. Acad. Sci. USA 2018, 115, 7551–7556. [Google Scholar] [CrossRef] [PubMed]
- McGregor, I.R.; Helcoski, R.; Kunert, N.; Tepley, A.J.; Gonzalez-Akre, E.B.; Herrmann, V.; Zailaa, J.; Stovall, A.E.L.; Bourg, N.A.; McShea, W.J.; et al. Tree height and leaf drought tolerance traits shape growth responses across droughts in a temperate broadleaf forest. New. Phytol. 2021, 231, 601–616. [Google Scholar] [CrossRef]
- Muller-Landau, H.C.; Condit, R.S.; Chave, J.; Thomas, S.C.; Bohlman, S.A.; Bunyavejchewin, S.; Davies, S.; Foster, R.; Gunatilleke, S.; Gunatilleke, N.; et al. Testing metabolic ecology theory for allometric scaling of tree size, growth and mortality in tropical forests. Ecol. Lett. 2006, 9, 575–588. [Google Scholar] [CrossRef]
- Rüger, N.; Comita, L.S.; Condit, R.; Purves, D.; Rosenbaum, B.; Visser, M.D.; Wright, S.J.; Wirth, C. Beyond the fast–slow continuum: Demographic dimensions structuring a tropical tree community. Ecol. Lett. 2018, 21, 1075–1084. [Google Scholar] [CrossRef] [PubMed]
- Gora, E.M.; Esquivel-Muelbert, A. Implications of size-dependent tree mortality for tropical forest carbon dynamics. Nat. Plants 2021, 7, 384–391. [Google Scholar] [CrossRef]
- Etzold, S.; Ziemińska, K.; Rohner, B.; Bottero, A.; Bose, A.K.; Ruehr, N.K.; Zingg, A.; Rigling, A. One century of forest monitoring data in Switzerland reveals species-and site-specific trends of climate-induced tree mortality. Front. Plant Sci. 2019, 10, 307. [Google Scholar] [CrossRef]
- Zhou, X.; Chen, Q.; Sharma, R.P.; Wang, Y.; He, P.; Guo, J.; Lei, Y.; Fu, L. A climate sensitive mixed-effects diameter class mortality model for Prince Rupprecht larch (Larix gmelinii var. principis-rupprechtii) in northern China. Forest Ecol. Manag. 2021, 491, 119091. [Google Scholar] [CrossRef]
- Masaki, T.; Kitagawa, R.; Nakashizuka, T.; Shibata, M.; Tanaka, H. Interspecific variation in mortality and growth and changes in their relationship with size class in an old-growth temperate forest. Ecol. Evol. 2021, 11, 8869–8881. [Google Scholar] [CrossRef]
- Andrus, R.A.; Chai, R.K.; Harvey, B.J.; Rodman, K.C.; Veblen, T.T. Increasing rates of subalpine tree mortality linked to warmer and drier summers. J. Ecol. 2021, 109, 2203–2218. [Google Scholar] [CrossRef]
- Cailleret, M.; Bircher, N.; Hartig, F.; Hülsmann, L.; Bugmann, H. Bayesian calibration of a growth-dependent tree mortality model to simulate the dynamics of European temperate forests. Ecol. Appl. 2020, 30, e02021. [Google Scholar] [CrossRef] [PubMed]
- Davis, G.A.; Lowrey, L.; Eckberg, T.; Hicke, J.A.; Smirnova, E. Characterizing Balsam Woolly Adelgid Infestations and Associated Tree Mortality in Idaho. J. Forest 2022, 120, 361–378. [Google Scholar] [CrossRef]
- Montoya, R.C.; D’Amato, A.W.; Messier, C.; Nolet, P. Mapping temperate forest stands using mobile terrestrial LiDAR shows the influence of forest management regimes on tree mortality. Forest Ecol. Manag. 2023, 544, 121194. [Google Scholar] [CrossRef]
- Odell, R.A.; Osei, R.; Schneider, M.; Moore, L.P.; Shovon, T.A.; Nock, C.A. Species identity and tree size drive residual tree mortality in island remnants in burned and harvested boreal forests. Forest Ecol. Manag. 2023, 549, 121474. [Google Scholar] [CrossRef]
- Roche, D.G.; Kruuk, L.E.; Lanfear, R.; Binning, S.A. Public data archiving in ecology and evolution: How well are we doing? Plos. Biol. 2015, 13, e1002295. [Google Scholar] [CrossRef]
- Borderes, M.; Gasc, C.; Prestat, E.; Galvão Ferrarini, M.; Vinga, S.; Boucinha, L.; Sagot, M.F. A comprehensive evaluation of binning methods to recover human gut microbial species from a non-redundant reference gene catalog. NAR Genom. Bioinform. 2021, 3, lqab009. [Google Scholar] [CrossRef]
- Cheng, Y.; Leung, L.R.; Huang, M.; Koven, C.; Detto, M.; Knox, R.; Bisht, G.; Bretfeld, M.; Fisher, R.A. Modeling the joint effects of vegetation characteristics and soil properties on ecosystem dynamics in a Panama tropical forest. J. Adv. Model. Earth Syst. 2022, 14, e2021MS002603. [Google Scholar] [CrossRef]
- Maringer, J.; Stelzer, A.S.; Paul, C.; Albrecht, A.T. Ninety-five years of observed disturbance-based tree mortality modeled with climate-sensitive accelerated failure time models. Eur. J. Forest Res. 2021, 140, 255–272. [Google Scholar] [CrossRef]
- Chawla, N.V.; Bowyer, K.W.; Hall, L.O.; Kegelmeyer, W.P. SMOTE: Synthetic Minority Over-sampling Technique. J. Artif. Intell. Res. 2002, 16, 321–357. [Google Scholar] [CrossRef]
- Liu, Y.; Andersson, B.; Xin, T.; Zhang, H.; Wang, L. Improved Wald statistics for item-level model comparison in diagnostic classification models. Appl. Psychol. Meas. 2019, 5, 402–414. [Google Scholar] [CrossRef] [PubMed]
- Fiorentin, L.D.; Bonat, W.H.; Pelissari, A.L.; Machado, S.D.A.; Téo, S.J.; Orso, G. Generalized linear models for tree survival in loblolly pine plantations. Cerne 2020, 25, 347–356. [Google Scholar] [CrossRef]
- Hastie, T.; Tibshirani, R.; Friedman, J. The Elements of Statistical Learning: Data Mining, Inference, and Prediction; Springer: New York, NY, USA, 2009; pp. 1–758. [Google Scholar] [CrossRef]
- Gelman, A.; Carlin, J.B.; Stern, H.S.; Rubin, D.B. Bayesian Data Analysis, 3rd ed.; Chapman and Hall/CRC: Boca Raton, FL, USA, 1995. [Google Scholar] [CrossRef]
- Jishan, S.T.; Rashu, R.I.; Haque, N.; Rahman, R.M. Improving accuracy of students’ final grade prediction model using optimal equal width binning and synthetic minority over-sampling technique. Decis. Anal. 2015, 2, 1–25. [Google Scholar] [CrossRef]
- Wang, M.; Zheng, Q.; Shen, Q.; Guo, S. The critical role of potassium in plant stress response. Int. J. Mol. Sci. 2013, 14, 7370–7390. [Google Scholar] [CrossRef]
- Hallinger, M.; Johansson, V.; Schmalholz, M.; Sjöberg, S.; Ranius, T. Factors driving tree mortality in retained forest fragments. Forest Ecol. Manag. 2016, 368, 163–172. [Google Scholar] [CrossRef]
- Corcobado, T.; Solla, A.; Madeira, M.A.; Moreno, G. Combined effects of soil properties and Phytophthora cinnamomic infections on Quercus ilex decline. Plant Soil 2013, 373, 403–413. [Google Scholar] [CrossRef]
- Schoenholtz, S.H.; Van Miegroet, H.; Burger, J.A. A review of chemical and physical properties as indicators of forest soil quality: Challenges and opportunities. Forest Ecol. Manag. 2000, 138, 335–356. [Google Scholar] [CrossRef]
- Paz-Kagan, T.; Brodrick, P.G.; Vaughn, N.R.; Das, A.J.; Stephenson, N.L.; Nydick, K.R.; Asner, G.P. What mediates tree mortality during drought in the southern Sierra Nevada? Ecol. Appl. 2017, 27, 2443–2457. [Google Scholar] [CrossRef]
- Zuur, A.F.; Ieno, E.N.; Walker, N.J.; Saveliev, A.A.; Smith, G.M. Mixed Effects Models and Extensions in Ecology with R; Springer: New York, NY, USA, 2009; 574p. [Google Scholar]
- Fawcett, T. An introduction to ROC analysis. Pattern Recogn. Lett. 2006, 27, 861–874. [Google Scholar] [CrossRef]
- Dougherty, J.; Kohavi, R.; Sahami, M. Supervised and unsupervised discretization of continuous features. In Proceedings of the Twelfth International Conference on Machine Learning, Tahoe City, CA, USA, 9–12 July 1995; pp. 194–202. [Google Scholar] [CrossRef]
- Breiman, L.; Friedman, J.; Olshen, R.A.; Stone, C.J. Classification and Regression Trees, 1st ed.; CRC Press: Boca Raton, FL, USA, 1984. [Google Scholar] [CrossRef]
- Franklin, J.F.; Shugart, H.H.; Harmon, M.E. Tree death as an ecological process. BioScience 1987, 37, 550–556. [Google Scholar] [CrossRef]
- Seidl, R.; Fernandes, P.M.; Fonseca, T.F.; Gillet, F.; Jönsson, A.M.; Merganičová, K.; Netherer, S.; Arpaci, A.; Bontemps, J.-D.; Bugmann, H.; et al. Modelling natural disturbances in forest ecosystems: A review. Ecol. Model. 2011, 222, 903–924. [Google Scholar] [CrossRef]
- Liu, H.; Hussain, F.; Tan, C.L.; Dash, M. Discretization: An enabling technique. Data Min. Knowl. Discov. 2002, 6, 393–423. [Google Scholar] [CrossRef]
- Kerber, R.J. ChiMerge: Discretization of Numeric Attributes. In Proceedings of the 10th National Conference on Artificial Intelligence (AAAI-92), San Jose, CA, USA, 12–16 July 1992. [Google Scholar]
- Allen, C.D.; Macalady, A.K.; Chenchouni, H.; Bachelet, D.; McDowell, N.; Vennetier, M.; Kitzberger, T.; Rigling, A.; Breshears, D.D.; Hogg, E.H.; et al. A global overview of drought and heat-induced tree mortality reveals emerging climate change risks for forests. Forest Ecol. Manag. 2010, 259, 660–684. [Google Scholar] [CrossRef]
- Das, A.; Battles, J.; van Mantgem, P.J.; Stephenson, N.L. Spatial elements of mortality risk in old-growth forests. Ecology 2008, 89, 1744–1756. [Google Scholar] [CrossRef] [PubMed]
- Rist, L.; Moen, J. Sustainability in forest management and a new role for resilience thinking. Forest Ecol. Manag. 2013, 310, 416–427. [Google Scholar] [CrossRef]
- Zhang, J.; Huang, S.; He, F. Half-century evidence from western Canada shows forest dynamics are primarily driven by competition followed by climate. Proc. Natl. Acad. Sci. USA 2015, 112, 4009–4014. [Google Scholar] [CrossRef]
- Ettema, C.H.; Wardle, D.A. Spatial soil ecology. Trends Ecol Evol. 2002, 17, 177–183. [Google Scholar] [CrossRef]








| Variable | Min | Max | Mean | Std |
|---|---|---|---|---|
| DBH (cm) | 0.90 | 44.50 | 13.1910 | 8.7541 |
| BAL (cm2) | 0.00 | 19,543.61 | 9698.3700 | 4396.1000 |
| CD | 0.54 | 0.92 | 0.7678 | 0.1200 |
| Elevation (m) | 2079 | 2438 | 2239 | 97.4420 |
| Slope (degree) | 8.00 | 38.50 | 22.9313 | 6.8836 |
| Moisture (%) | 12.38 | 37.46 | 26.0389 | 6.5818 |
| Density (g/cm3) | 0.72 | 1.71 | 1.0107 | 0.2129 |
| PH | 6.40 | 6.77 | 6.6103 | 0.1012 |
| TC (g/kg) | 1.29 | 4.25 | 2.5476 | 0.8757 |
| NO3-N (mg/kg) | 6.81 | 18.98 | 10.5527 | 3.7009 |
| NH4-N (mg/kg) | 9.92 | 64.67 | 21.6761 | 10.9171 |
| AK (mg/kg) | 48.35 | 90.62 | 65.9163 | 9.4617 |
| AP (mg/kg) | 3.31 | 10.88 | 5.5186 | 1.9669 |
| Nratio | 0.1549 | 1.9129 | 0.5994 | 0.3572 |
| Variable | Wald | Z-Value | p-Value |
|---|---|---|---|
| constant | 23.4501 | 4.8425 | 1.2819 × 10−6 |
| DBH | 111.8608 | 10.5764 | 3.8330 × 10−26 |
| CD | 18.1819 | 4.2640 | 2.0077 × 10−5 |
| Elevation | 33.3037 | 5.7709 | 7.8833 × 10−9 |
| Slope | 86.2037 | 9.2846 | 1.6232 × 10−20 |
| Moisture | 81.2049 | 9.0114 | 2.0348 × 10−19 |
| Density | 104.0271 | 10.1993 | 1.9956 × 10−24 |
| TC | 1.3453 | 1.15985 | 0.2461 |
| AK | 63.0052 | 7.9376 | 2.0616 × 10−15 |
| AP | 12.0481 | 3.4710 | 0.0005 |
| BAL | 87.9414 | 9.3777 | 6.74238 × 10−21 |
| Nratio | 122.7059 | 11.0772 | 1.6173 × 10−28 |
| Model Type | Dataset | Accuracy | Precision | Recall | Kappa |
|---|---|---|---|---|---|
| GLM | Train | 0.8844 | 0.8653 | 0.9239 | 0.8078 |
| GLM | Test | 0.8690 | 0.8613 | 0.8765 | 0.7380 |
| LDA | Train | 0.8438 | 0.8050 | 0.9275 | 0.8571 |
| LDA | Test | 0.8413 | 0.8047 | 0.8971 | 0.6830 |
| Bayesian GLM | Train | 0.8844 | 0.8661 | 0.9227 | 0.7673 |
| Bayesian GLM | Test | 0.8705 | 0.8617 | 0.8794 | 0.8794 |
Disclaimer/Publisher’s Note: The statements, opinions and data contained in all publications are solely those of the individual author(s) and contributor(s) and not of MDPI and/or the editor(s). MDPI and/or the editor(s) disclaim responsibility for any injury to people or property resulting from any ideas, methods, instructions or products referred to in the content. |
© 2024 by the authors. Licensee MDPI, Basel, Switzerland. This article is an open access article distributed under the terms and conditions of the Creative Commons Attribution (CC BY) license (https://creativecommons.org/licenses/by/4.0/).
Share and Cite
Yang, Z.; Zou, W.; Liu, H.; Sharma, R.P.; Zhang, M.; Hu, Z. The Effect of Soil and Topography Factors on Larix gmelinii var. Principis-rupprechtii Forest Mortality and Capability of Decision Tree Binning Method and Generalized Linear Models in Predicting Tree Mortality. Forests 2024, 15, 2060. https://doi.org/10.3390/f15122060
Yang Z, Zou W, Liu H, Sharma RP, Zhang M, Hu Z. The Effect of Soil and Topography Factors on Larix gmelinii var. Principis-rupprechtii Forest Mortality and Capability of Decision Tree Binning Method and Generalized Linear Models in Predicting Tree Mortality. Forests. 2024; 15(12):2060. https://doi.org/10.3390/f15122060
Chicago/Turabian StyleYang, Zhaohui, Wei Zou, Haodong Liu, Ram P. Sharma, Mengtao Zhang, and Zhenhua Hu. 2024. "The Effect of Soil and Topography Factors on Larix gmelinii var. Principis-rupprechtii Forest Mortality and Capability of Decision Tree Binning Method and Generalized Linear Models in Predicting Tree Mortality" Forests 15, no. 12: 2060. https://doi.org/10.3390/f15122060
APA StyleYang, Z., Zou, W., Liu, H., Sharma, R. P., Zhang, M., & Hu, Z. (2024). The Effect of Soil and Topography Factors on Larix gmelinii var. Principis-rupprechtii Forest Mortality and Capability of Decision Tree Binning Method and Generalized Linear Models in Predicting Tree Mortality. Forests, 15(12), 2060. https://doi.org/10.3390/f15122060

