Effects of Tall Buildings on Visually Morphological Traits of Urban Trees
Abstract
1. Introduction
2. Materials and Methods
2.1. Research Site
2.2. Tree Survey Methods
- (1)
- Arboreal Parameters: The DBH of the target trees was ascertained using a standardised DBH measuring tape, and the stature of the target trees was quantified employing a Blume-Leiss clinometer [19]. The crown spread in the cardinal directions (east, west, south, and north) was determined using a combination of a tape measure and a laser rangefinder [20].
- (2)
- Environmental Parameters: The vertical extent of the surrounding structures was ascertained in correlation with the number of building floors, utilising the same Blume-Leiss clinometer. The horizontal distance between the tree’s centroid and adjacent tall structures was measured with a laser rangefinder, with due attention to the cardinal orientation of the structures. Photographic documentation of the target trees and their immediate spatial context was achieved using a Nikon D7100 camera (Nikon, Tokyo, Japan), positioned at a height corresponding to eye level (1.7 m) for a horizontal perspective [21].
2.3. Visually Morphological Traits Indicators
2.4. Data Analysis
3. Results and Analysis
3.1. The Influence of Building Distance on the Visually Morphological Traits of Individual Trees
3.1.1. Gymnosperms
3.1.2. Angiosperms
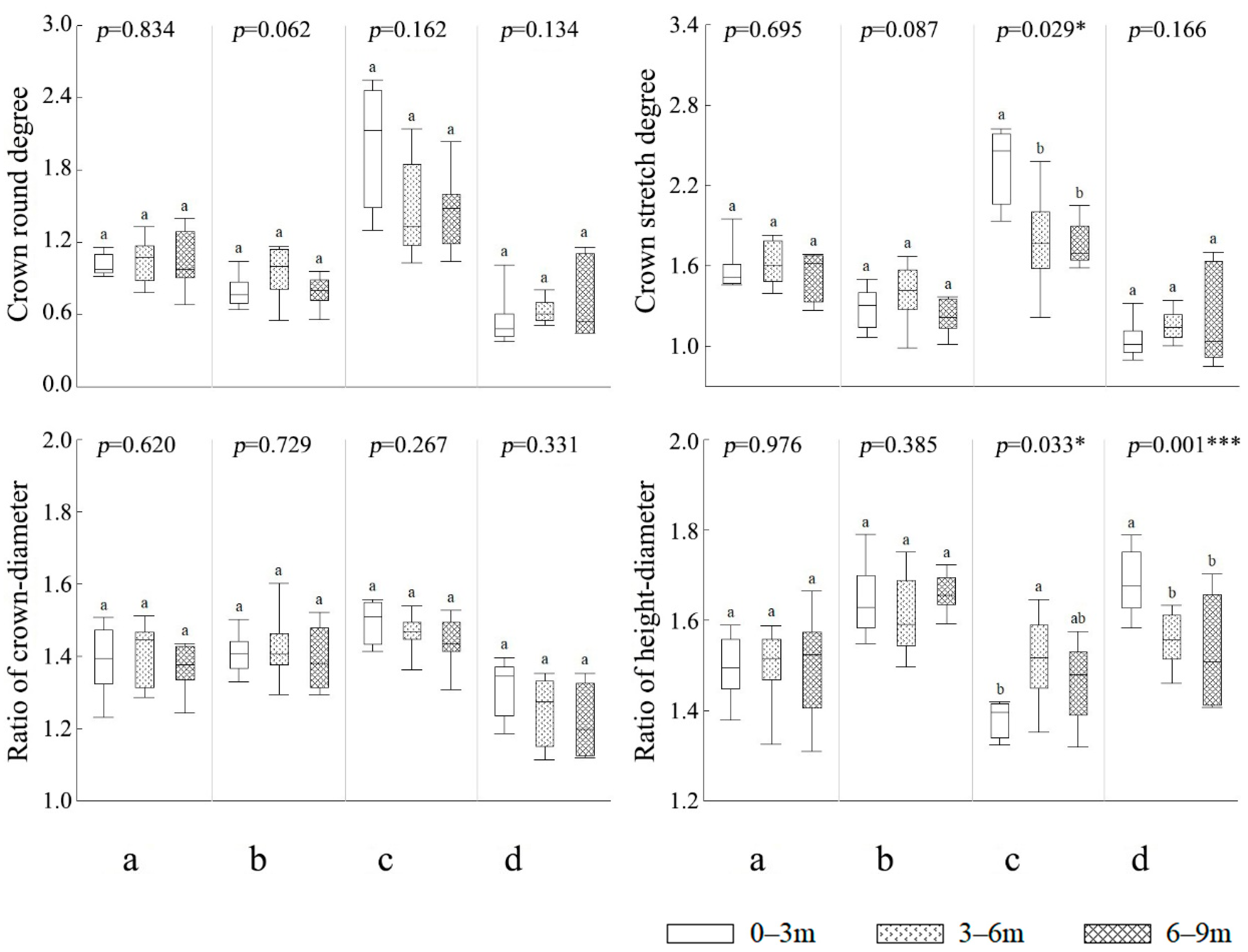
3.2. The Influence of Building Orientation on the Visually Morphological Traits of Individual Trees
3.2.1. Gymnosperms
3.2.2. Angiosperms
4. Discussion and Limitations
4.1. Discussion
4.2. Limitations
5. Conclusions
Author Contributions
Funding
Data Availability Statement
Acknowledgments
Conflicts of Interest
References
- Jiang, B.; Larsen, L.; Deal, B.; Sullivan, W.C. A dose–response curve describing the relationship between tree cover density and landscape preference. Landsc. Urban. Plan. 2015, 139, 16–25. [Google Scholar] [CrossRef]
- Li, R.J. Study on Aesthetic Characteristics of Individual Trees in Xuzhou City Based on the Public Cognition. Master’s Thesis, China University of Mining and Technology, Xuzhou, China, 2018. [Google Scholar]
- Wang, R.H.; Jiang, W.X.; Lu, T.S. Landscape characteristics of university campus in relation to aesthetic quality and recreational preference. Urban. For. Urban. Green. 2021, 66, 127389. [Google Scholar] [CrossRef]
- Bulut, Z.; Yilmaz, H. Determination of waterscape beauties through visual quality assessment method. Environ. Monit. Assess. 2009, 154, 459–468. [Google Scholar] [CrossRef] [PubMed]
- Zhao, J.; Xu, W.; Li, R. Visual preference of trees: The effects of tree attributes and seasons. Urban. For. Urban. Green. 2017, 25, 19–25. [Google Scholar] [CrossRef]
- Hu, J.B.; Pan, C.D.; Hu, W.C.; Song, M.Z. Landscape aesthetic quality evaluation of Picea schrenkiana forestin Tiangeer forest park on the northern slope in the central part of Tianshan mountains, Xinjiang. J. Xinjiang Agric. Univ. 2020, 43, 313–322. [Google Scholar]
- Peer, T.V.; Verheyen, K.; Kint, V.; Cleemput, E.V.; Muys, B. Plasticity of tree architecture through interspecific and intraspecific competition in a young experimental plantation. Forest Ecol. Manag. 2017, 385, 1–9. [Google Scholar] [CrossRef]
- Mao, B.; Xu, C.Y.; Li, L.; Chen, Y. Tree classification for Pinus tabulaeformis scenic plantation. Sci. Silvae Sin. 2014, 50, 49–58. [Google Scholar]
- Sun, S.T.; Chen, M.Y.; Li, P.; Zhang, Y.F.; Xu, C.Y. Assessment on in-forest quality of landscape forest in residential area in Beijing. J. Northwest. For. Univ. 2016, 31, 297–305. [Google Scholar]
- Cui, Y. Study on General Indicator System and Quantitative Technology for Assessment of In-Forest Landscape Quality of Urban Forest. Master’s Thesis, Beijing Forestry University, Beijing, China, 2020. [Google Scholar]
- Canham, C.D.; Lepage, P.T.; Coates, K.D. A neighborhood analysis of canopy tree competition: Effects of shading versus crowding. Can. J. Forest Res. 2004, 34, 778–787. [Google Scholar] [CrossRef]
- Aakala, T.; Shimatani, K.; Abe, T.; Kubota, Y.; Kuuluvainen, T. Crown asymmetry in high latitude forests: Disentangling the directional effects of tree competition and solar radiation. Oikos 2016, 125, 1035–1043. [Google Scholar] [CrossRef]
- Ward, D.; Pillay, T.; Mbongwa, S.; Kirkman, K. Spatial analysis reveals facilitation in young clonal trees and competition in older trees during re-invasion of encroaching trees in an African savanna. Plant Ecol. 2022, 223, 1167–1180. [Google Scholar] [CrossRef]
- Hildebrand, M.; Perles-Garcia, M.D.; Kunz, M.; Härdtle, W.; Oheimb, G.; Fichtner, A. Tree-tree interactions and crown complementarity: The role of functional diversity and branch traits for canopy packing. Basic Appl. Ecol. 2021, 50, 217–227. [Google Scholar] [CrossRef]
- Fu, Q.; Wang, N.; Xiao, M.; Xi, J.J.; Shao, Y.Z.; Jia, H.R.; Chen, Y.; Yuan, Z.L.; Ye, Y.Z. Canopy structure and illumination characteristics of different man-made interference communities in Baiyun Mountain National Forest Park. Acta Ecol. Sinica 2021, 41, 7830–7837. [Google Scholar]
- Xu, S. Study on Assessing the Effect of Architectural Shadow on Urban Vegetation from Remote Sensing Imagery. Master’s Thesis, East China Normal University, Shanghai, China, 2015. [Google Scholar]
- Gong, L. Analysis of Characteristics of Typical Urban Forest Structure in Urbanized District of Beijing. Ph.D. Thesis, Beijing Forestry University, Beijing, China, 2015. [Google Scholar]
- Urban Greening Resource Status in 2023. Available online: https://yllhj.beijing.gov.cn/zwgk/tjxx/202407/P020240716393743268247.pdf (accessed on 31 May 2024).
- Li, F.R. Forest Mensuration, 4th ed.; China Forestry Publishing House: Beijing, China, 2019. [Google Scholar]
- Sun, Y.F.; Zhou, Y.X. Research on the calibration method of the angle measurement function of the laser distance meters. Metrol. Meas. Tech. 2021, 48, 66–68. [Google Scholar]
- Shi, K.; Zu, G.L.; Hu, H.H. Evaluation on aesthetic quality of plant color landscape in urban parks of Harbin based on public aesthetic. J. Nanjing For. Univ. (Nat. Sci. Ed.) 2022, 46, 233–240. [Google Scholar]
- Xue, Y.X.; Nan, X.F.; Li, X.W.; Yu, M.; Ma, B.Q.; Xu, C.Y. Effect of neighborhood competition on visual morphological traits of coniferous trees in fine-scale landscapes of urban forests. Acta Ecol. Sinica 2024, 44, 1–12. [Google Scholar]
- Liu, S.Y. Research on Single-Tree Scenic Evaluation Technology of Phellodendron amurense Road Trees in Changchun City Based on External Morphological Features. Master’s Thesis, Jilin Agricultural University, Changchun, China, 2023. [Google Scholar]
- Ma, L.Y.; Wang, X.Q. Growth space competition index (GSCI) and application in the individual intraspecies competition of Pinus tabulaeformis and Platycladus orientalis forests. Ecol. Sci. 2006, 25, 385–389. [Google Scholar]
- Liu, C. Study on Quality Assessment of Recreational Landscape Forest in Urban and Suburban Area. Master’s Thesis, Beijing Forestry University, Beijing, China, 2016. [Google Scholar]
- Zhu, Z.H.; Kleinn, C.; Nölke, N. Assessing tree crown volume—A review. Forestry 2021, 94, 18–35. [Google Scholar] [CrossRef]
- Li, X.T.; Ma, J.; Liu, J.; Jia, B.Q.; Jiang, S.S. Analysis on tree canopy coverage and forest structure in schools within the Sixth Ring Road of Beijing. J. Beijing For. Univ. 2020, 42, 110–118. [Google Scholar]
- Wilmers, F. Effects of vegetation on urban climate and buildings. Energy Build. 2003, 15, 507–514. [Google Scholar] [CrossRef]
- Castelli, K.R.; Silva, A.M.; Dunning, J.B. Improving the biodiversity in urban green spaces: A nature based approach. Ecol Eng. 2021, 173, 106398. [Google Scholar] [CrossRef]
- Yang, N. The Research of Boundary Flexibility on Enclosed Wall Landscape Design. Master’s Thesis, Hunan Agricultural University, Changsha, China, 2011. [Google Scholar]
- Zhong, W.J.; Schröder, T.; Bekkering, J. Biophilic design in architecture and its contributions to health, well-being, and sustainability: A critical review. Front. Architect. Res. 2022, 11, 114–141. [Google Scholar] [CrossRef]
- Zhong, W.J.; Schröder, T.; Bekkering, J. Implementing biophilic design in architecture through three-dimensional green spaces: Guidelines for building technologies, plant selection, and maintenance. J. Build. Eng. 2024, 92, 109648. [Google Scholar] [CrossRef]
- Hong, W.X. The Study on Analysis of Building Shadows and Selection of Greening Plants in Wuhan. Master’s Thesis, Huazhong Agricultural University, Wuhan, China, 2012. [Google Scholar]
- Kim, J.Y.; Park, C.Y.; Lee, D.K.; Yun, S.H.; Hyun, J.H.; Kim, E.S. The cooling effect of trees in high-rise building complexes in relation to spatial distance from buildings. Sustain. Cities Soc. 2024, 114, 105737. [Google Scholar] [CrossRef]
- Yu, Y.Y.; Hu, D.; Wang, X.L.; Li, Y.Z.; Han, F.S. Characteristics of light intensity and light quality in different types of shade environments in urban areas. Acta Ecol. Sinica 2015, 35, 7748–7755. [Google Scholar]
- Hofmann, M.; Gerstenberg, T.; Gillner, S. Predicting tree preferences from visible tree characteristics. Eur. J. Forest Res. 2017, 136, 421–432. [Google Scholar] [CrossRef]
- Perini, K.; Magliocco, A. Effects of vegetation, urban density, building height, and atmospheric conditions on local temperatures and thermal comfort. Urban. For. Urban. Green. 2014, 13, 495–506. [Google Scholar] [CrossRef]
- Li, T.X. The Effect of Greenery Layout and Morphological Differences of Trees on the Outdoor Thermal Environment in Old Neighborhood. Master’s Thesis, China University of Mining and Technology, Xuzhou, China, 2023. [Google Scholar]
- Wang, J.N.; Xia, Y.Q.; Zhao, D.X.; Chu, X.; Hu, M.; Hu, J.; Liu, H. Crown scale and growth space demands of main tree species in urban forest. J. Beijing For. Univ. 2018, 40, 42–54. [Google Scholar]
- Bian, F.Y.; Chen, S. The change of trees structure in urban residential area of Nanjing city in the recent 15 years. J. Nanjing For. Univ. (Nat. Sci. Ed.) 2018, 42, 127–133. [Google Scholar]
- Dong, L.; Xing, X.Y. Review of Researches on Impacts of Climate Change on Urban Vegetation. Landsc. Archit. 2021, 28, 61–67. [Google Scholar]








| Research Area | Building Average Height (m) * | Main Tree Species | Number of Trees |
|---|---|---|---|
| Beijing Forestry University | 20 | P. bungeana, F. velutina, J. chinensis, et al. | 41 |
| Bajiajiayuan Community | 50 | F. velutina, S. japonica, et al. | 8 |
| Bairuyuan Community | 40 | K. paniculata, P. tabuliformis, et al. | 10 |
| University of Science and Technology Beijing | 23 | K. paniculata, A. truncatum, et al. | 14 |
| Chenghuayuan Community | 18 | F. velutina, J. chinensis, et al. | 5 |
| Dongwangzhuang Community | 18 | G. biloba, J. chinensis, et al. | 20 |
| Erlizhuang Community | 20 | F. velutina, P. tabuliformis, J. chinensis, et al. | 12 |
| Hanlanting Community | 35 | F. velutina, G. biloba, et al. | 5 |
| Huaqingjiayuan Community | 40 | F. velutina, K. paniculata, et al. | 6 |
| Jianqingyuan Community | 18 | F. velutina, A. truncatum, et al. | 12 |
| Jingshuyuan Community | 25 | S. japonica, G. biloba, et al. | 8 |
| Lanqiying Community | 40 | S. japonica, K. paniculata, A. truncatum, et al. | 13 |
| Shuangqingyuan Community | 45 | F. velutina, S. japonica, et al. | 17 |
| Xuezhiyuan Community | 18 | G. biloba, P. tabuliformis, J. chinensis, et al. | 10 |
| Yichengdongyuan Community | 35 | F. velutina, P. tabuliformis, A. truncatum, et al. | 16 |
| Zhixinbeili Community | 20 | S. japonica, J. chinensis, et al. | 7 |
| Zhixincun Community | 25 | F. velutina, P. bungeana, et al. | 7 |
| China Agricultural University | 30 | P. bungeana, S. japonica, G. biloba et al. | 22 |
| Name | Calculation Formula | Aesthetic Meanings | |
|---|---|---|---|
| Crown asymmetry degree (CAD) | CAD = max | (1) | Reflects the maximum degree of crown deviation from the centre of the tree. |
| Crown loss rate (CLR) | CLR = CVm/CV × 100% | (2) | Reflects the maximum extent of local crown loss. |
| Crown round degree (CRD) | CRD = CW/CL | (3) | Reflects the completeness of tree crown development. |
| Crown stretch degree (CSD) | CSD = CW/H | (4) | Reflects the radial spread of the crown and the coordination between the trunk and the crown. |
| Ratio of crown-diameter (RCD) | RCD = CW/DBH | (5) | Reflects the radial coordination degree between the crown and the trunk of the tree. |
| Ratio of height-diameter (RHD) | RHD = H/DBH | (6) | Reflects the overall coordination between the radial and axial aspects of the tree. |
| Type | Species Name | Number of Trees | DBH (cm) | Height (m) | Average Crown Width (m) |
|---|---|---|---|---|---|
| Gymnosperms | P. bungeana | 24 | 12.0–30.9 | 4.0–9.0 | 1.68–3.43 |
| G. biloba | 35 | 12.5–30.2 | 7.3–11.9 | 1.50–4.03 | |
| P. tabuliformis | 30 | 13.6–32.0 | 4.0–9.7 | 1.93–4.08 | |
| J. chinensis | 30 | 11.8–31.2 | 6.0–11.4 | 1.23–3.38 | |
| Angiosperms | F. velutina | 30 | 10.8–42.0 | 6.7–12.1 | 2.40–7.65 |
| S.japonica | 34 | 14.9–39.8 | 6.1–13.4 | 2.40–7.43 | |
| K. paniculata | 24 | 12.3–40.5 | 6.0–12.8 | 2.13–6.68 | |
| A. truncatum | 26 | 10.0–37.8 | 4.6–10.9 | 2.08–5.60 |
Disclaimer/Publisher’s Note: The statements, opinions and data contained in all publications are solely those of the individual author(s) and contributor(s) and not of MDPI and/or the editor(s). MDPI and/or the editor(s) disclaim responsibility for any injury to people or property resulting from any ideas, methods, instructions or products referred to in the content. |
© 2024 by the authors. Licensee MDPI, Basel, Switzerland. This article is an open access article distributed under the terms and conditions of the Creative Commons Attribution (CC BY) license (https://creativecommons.org/licenses/by/4.0/).
Share and Cite
Xue, Y.; Li, J.; Nan, X.; Xu, C.; Ma, B. Effects of Tall Buildings on Visually Morphological Traits of Urban Trees. Forests 2024, 15, 2053. https://doi.org/10.3390/f15122053
Xue Y, Li J, Nan X, Xu C, Ma B. Effects of Tall Buildings on Visually Morphological Traits of Urban Trees. Forests. 2024; 15(12):2053. https://doi.org/10.3390/f15122053
Chicago/Turabian StyleXue, Yongxin, Jiheng Li, Xiaofan Nan, Chengyang Xu, and Bingqian Ma. 2024. "Effects of Tall Buildings on Visually Morphological Traits of Urban Trees" Forests 15, no. 12: 2053. https://doi.org/10.3390/f15122053
APA StyleXue, Y., Li, J., Nan, X., Xu, C., & Ma, B. (2024). Effects of Tall Buildings on Visually Morphological Traits of Urban Trees. Forests, 15(12), 2053. https://doi.org/10.3390/f15122053

