Allelochemicals from Moso Bamboo: Identification and Their Effects on Neighbor Species
Abstract
1. Introduction
2. Materials and Methods
2.1. Plant Materials
2.2. Extraction of Allelochemicals of Phyllostachys edulis Leaves
2.3. Identification of Potential Allelochemicals
2.4. Chemical Treatment of P. chekiangensis and C. sclerophylla
2.5. The Fluorescence of Chlorophyll (Chl) A and Physiological and Biochemical Parameters
2.6. Soil DNA Extraction, Amplification, and Sequencing
2.7. Statistical Analysis
3. Results
3.1. The Potential Allelochemicals of Moso Bamboo Leaves
3.2. Effects of Four Chemicals on Photosystem II (PS II) Chl a Fluorescence of P. chekiangensis and C. sclerophylla
3.2.1. OJIP Polyphasic Chl a Fluorescence Rise Kinetics
3.2.2. Chl a Fluorescence Parameters
3.3. Physiological and Biochemical Parameters of Plant Leaves
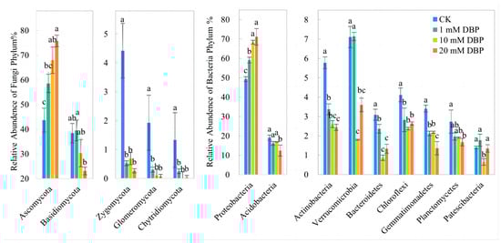
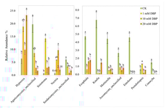
3.4. Effects of DBP on P. chekiangensis Soil Microorganisms Including Bacteria and Fungi
4. Discussion
4.1. Characteristics of Potential Allelochemiclas Released from Moso Bamboo
4.2. Mechanisms of Allelopathy of DBP
4.3. Mechanisms of Allelopathy of PHBA
4.4. Mechanisms of Allelopathy of Citric Acid
4.5. Mechanisms of Allelopathy of CGA
5. Conclusions
Author Contributions
Funding
Data Availability Statement
Conflicts of Interest
Appendix A
| Metabolite | RT | MZ | Library MZ | HMDB No. | Formula | MS2 Spectrum |
|---|---|---|---|---|---|---|
| Quinic acid | 0.95 | 191.05 | 191.05 | 0003072 | C7H12O6 | 40.99946:37 41.00308:441 43.01778:334 44.99833:629 55.01411:72 55.01621:180 57.03528:642 59.00934:74 59.01694:487 66.79628:73 67.0204:480 69.03326:261 71.01401:1962 73.0288:179 79.86205:36 81.03254:357 83.01643:214 83.04732:214 85.02432:257 85.03083:4830 85.91743:73 87.01008:882 89.02543:250 92.72235:75 93.03541:1325 97.03492:185 99.00651:981 101.02489:179 108.02123:107 109.02908:361 111.04692:327 127.03934:583 129.01773:143 137.02631:107 153.0182:107 171.03391:214 173.04942:417 174.96277:79 191.05605:3588 |
| Citric acid | 1.60 | 191.02 | 191.02 | 0000094 | C6H8O7 | 67.01717:72 87.00646:143 100.93161:36 110.99974:72 |
| CGA | 2.79 | 353.08 | 355.10 | 0003164 | C16H18O9 | 61.00891:36 75.04426:36 77.04044:109 85.02658:74 89.03801:679 95.04737:72 107.04317:72 107.05048:179 111.04681:109 117.03191:913 119.05106:72 121.02843:72 133.02127:75 133.10762:74 135.04533:1445 137.00038:39 139.03938:115 144.5719:195 145.02902:3215 146.12634:47 162.5148:107 162.54901:133 163.0265:309 163.03912:35359 163.4469:172 163.7341:72 165.10852:72 169.07706:72 181.05067:251 193.04715:72 267.00098:72 355.17688:72 |
| Caffeic acid | 3.29 | 179.03 | 179.03 | 0001964 | C9H8O4 | 65.03854:36 77.04755:36 79.05643:289 81.63769:36 89.04289:214 89.90189:36 91.05725:107 106.04301:143 107.04892:404 109.02779:217 112.39214:36 117.0374:326 123.76258:36 133.03691:146 134.03902:2391 134.62177:135 135.04488:12136 135.6627:83 136.50627:71 179.03864:107 |
| Sinapic acid | 3.86 | 223.06 | 223.06 | 0032616 | C11H12O5 | 41.00102:107 65.00404:107 75.02504:36 89.04119:77 92.02576:75 93.03519:2444 105.03133:72 117.00034:79 121.02782:4162 123.58313:44 126.51756:36 134.03699:252 135.04285:1136 139.62241:36 148.01752:215 148.02438:86 149.01236:142 149.02271:5303 150.40866:87 152.67061:76 156.12781:75 160.99889:36 163.03751:966 164.0363:126 164.04715:3315 165.01819:1438 179.06845:179 182.74611:36 193.0014:145 193.01318:8430 207.03339:179 208.04054:1548 223.05495:72 |
| PHBA | 4.41 | 137.02 | 137.02 | 0000500 | C7H6O3 | 41.00315:72 56.64464:76 65.03863:2151 67.02058:72 75.02061:215 75.02551:251 91.01833:72 92.74442:161 92.92404:201 93.03436:44951 93.45304:83 93.51313:125 93.55547:82 93.85078:72 95.14271:107 95.73878:72 97.11039:72 123.47231:36 137.02518:362 |
| DBP | 6.75 | 279.16 | 279.16 | 0033244 | C16H22O4 | 38.01254:36 39.02306:143 39.37939:37 41.03774:354 41.71175:42 55.05587:18 57.07119:2732 64.83581:36 65.03609:366 77.04112:18 81.07014:36 86.06173:18 90.22057:37 93.0322:653 95.0866:36 109.7506:37 121.02752:2016 148.55592:509 148.60413:130 148.93484:117 149.02275:74692 149.24178:159 149.40399:36 149.65784:54 149.67857:54 149.77361:36 149.91017:54 149.97934:54 150.09178:54 150.2285:54 150.35487:54 150.48997:54 150.53676:54 150.63553:54 150.98932:54 151.07089:36 151.23758:54 151.27579:72 151.48254:54 151.72598:36 152.25525:36 167.03267:125 173.04865:36 201.04401:235 205.07475:36 223.09502:54 233.22247:18 262.13608:18 279.09756:345 |
| Metabolite | RT | MZ | Library MZ | HMDB No. | Formula | MS2 Spectrum |
|---|---|---|---|---|---|---|
| Quinic acid | 0.96 | 191.05 | 191.05 | 0003072 | C7H12O6 | 44.99367:72 44.99936:143 57.03325:72 59.00944:107 59.0127:179 65.04426:36 67.01704:72 69.03337:107 71.01174:251 73.02771:107 81.03648:143 83.05002:109 85.02705:1769 87.0089:325 87.04842:36 93.03555:625 94.53048:36 99.00806:72 99.04179:107 104.30777:36 109.02776:215 111.04559:179 127.03633:215 131.04393:36 145.0584:36 171.02304:72 173.04779:111 191.05823:1471 |
| Citric acid | 1.15 | 191.02 | 191.02 | 0000094 | C6H8O7 | 31.99152:36 39.02368:107 41.00331:322 41.0395:251 41.99502:36 43.01988:183 57.03458:970 59.01406:107 59.01949:74 67.01738:1122 69.70777:75 75.005:36 85.03013:3065 86.48846:161 87.00806:7091 87.41035:52 93.03336:36 102.94829:72 103.03859:143 111.00906:8423 125.02664:36 129.02032:251 191.01074:72 |
| Caffeic acid | 3.30 | 179.03 | 179.03 | 0001964 | C9H8O4 | 47.00843:36 89.03958:107 107.05118:216 134.04324:439 135.04585:1885 |
| PHBA | 4.42 | 137.02 | 137.02 | 0000500 | C7H6O3 | 31.99063:73 41.01134:36 49.00727:76 60.25399:73 65.03873:1443 65.45056:40 67.01837:72 75.02439:143 92.74048:107 92.74864:143 92.8466:166 93.0345:37523 93.75381:72 94.12752:72 95.0079:72 95.40617:72 97.20938:72 137.02376:215 |
| DBP | 6.74 | 279.16 | 279.16 | 0033244 | C16H22O4 | 38.01545:36 39.01984:72 39.02337:179 41.03806:418 56.89462:85 57.06944:4119 62.47806:18 65.03765:402 69.07075:54 81.06935:72 93.03272:965 107.08677:55 111.04358:37 113.01662:18 120.64935:56 121.02969:2255 147.78308:36 148.55147:368 149.02345:67704 149.19244:99 149.35982:67 149.6499:54 149.71384:54 149.74149:90 149.78642:54 149.86938:54 149.92645:54 149.93855:72 149.96796:54 150.01984:36 150.08557:54 150.1219:54 150.15825:54 150.1946:72 150.23785:54 150.30019:90 150.41966:72 150.50455:54 150.66225:54 150.71078:54 150.76106:54 150.85645:54 151.01607:54 151.06813:54 151.28171:54 151.30777:36 151.48152:36 152.20892:54 167.0316:215 195.07079:18 201.04688:304 205.08372:90 279.08923:234 279.24258:36 |
References
- Liu, K.; Wang, A.; Zhang, S.; Zhu, Z.; Bi, Y.; Wang, Y.; Du, X. Tree species diversity mapping using UAS-based digital aerial photogrammetry point clouds and multispectral imageries in a subtropical forest invaded by moso bamboo (Phyllostachys edulis). Int. J. Appl. Earth Obs. Geoinf. 2021, 104, 102587. [Google Scholar] [CrossRef]
- Fang, H.; Liu, Y.; Bai, J.; Li, A.; Deng, W.; Bai, T.; Liu, X.; Lai, M.; Feng, Y.; Zhang, J.; et al. Impact of moso bamboo (Phyllostachys edulis) expansion into Japanese cedar plantations on soil fungal and bacterial community compositions. Forests 2022, 13, 1190. [Google Scholar] [CrossRef]
- Huang, Y.; Hou, Y.; Ren, J.; Yang, J.; Wen, Y. How to Promote Sustainable Bamboo Forest Management: An Empirical Study from Small-Scale Farmers in China. Forests 2024, 15, 12. [Google Scholar] [CrossRef]
- Luo, W.; Ma, Y.; Luo, J.; Han, S.; Sun, C.; You, Z.; Du, H.; Li, Z.; Liu, J.; Tao, J. Understory bamboo removal impacts on woody seedling regeneration in forest ecosystems: A meta-analysis. Ecol. Processes 2024, 13, 47. [Google Scholar] [CrossRef]
- Chen, X.; Chen, X.; Huang, S.; Fang, D. Impacts of Moso bamboo (Phyllostachys pubescens) invasion on species diversity and aboveground biomass of secondary coniferous and broad-leaved mixed forest. Front. Plant Sci. 2022, 13, 1001785. [Google Scholar] [CrossRef]
- Hickman, D.T.; Rasmussen, A.; Ritz, K.; Birkett, M.A.; Neve, P. Allelochemicals as multi-kingdom plant defence compounds: Towards an integrated approach. Pest Manag. Sci. 2021, 77, 1121–1131. [Google Scholar] [CrossRef]
- Yu, H.; Le, X.; Peñuelas, J.; Sardans, J.; Xu, C.; Zou, Y.; Zhang, X.; Li, C.; Mao, Z.; Cheng, D.; et al. Trait divergence and opposite above-and below-ground strategies facilitate moso bamboo invasion into subtropical evergreen broadleaf forest. Front. Plant Sci. 2024, 15, 1410372. [Google Scholar] [CrossRef]
- Grombone-Guaratini, M.; Jensen, R.; Cardoso-Lopes, E.; Torres, L. Allelopathic potential of Aulonemia aristulata (Döll) MacClure, a native bamboo of Atlantic Rain Forest. Allelopath. J. 2009, 24, 183–190. [Google Scholar]
- Singh, A.A.; Rajeswari, G.; Nirmal, L.A.; Jacob, S. Synthesis and extraction routes of allelochemicals from plants and microbes: A review. Rev. Anal. Chem. 2021, 40, 293–311. [Google Scholar] [CrossRef]
- Amjad Iqbal, A.I.; Farooq Shah, F.S.; Muhammad Hamayun, M.H.; Khan, Z.; Badshah Islam, B.I.; Gauhar Rehman, G.R.; Khan, Z.; Sadiq Shah, S.S.; Anwar Hussain, A.H.; Yousaf Jamal, Y.J. Plants are the possible source of allelochemicals that can be useful in promoting sustainable agriculture. Fresenius Environ. Bull 2019, 28, 1040–1049. [Google Scholar]
- Ain, Q.; Mushtaq, W.; Shadab, M.; Siddiqui, M. Allelopathy: An alternative tool for sustainable agriculture. Physiol. Mol. Biol. Plants 2023, 29, 495–551. [Google Scholar] [CrossRef] [PubMed]
- Hussain, M.I.; Danish, S.; Sánchez-Moreiras, A.M.; Vicente, Ó.; Jabran, K.; Chaudhry, U.K.; Branca, F.; Reigosa, M.J. Unraveling sorghum allelopathy in agriculture: Concepts and implications. Plants 2021, 10, 1795. [Google Scholar] [CrossRef] [PubMed]
- Shi, S.; Cheng, J.; Ahmad, N.; Zhao, W.; Tian, M.; Yuan, Z.; Li, C.; Zhao, C. Effects of potential allelochemicals in a water extract of Abutilon theophrasti Medik. on germination and growth of Glycine max L., Triticum aestivum L., and Zea mays L. J. Sci. Food Agric. 2023, 103, 2155–2165. [Google Scholar] [CrossRef] [PubMed]
- Qiao, Y.J.; Gu, C.Z.; Zhu, H.T.; Wang, D.; Zhang, M.Y.; Zhang, Y.X.; Yang, C.R.; Zhang, Y.J. Allelochemicals of Panax notoginseng and their effects on various plants and rhizosphere microorganisms. Plant Divers. 2020, 42, 323–333. [Google Scholar] [CrossRef]
- Lebedev, V.G.; Krutovsky, K.V.; Shestibratov, K.A. Fell Upas Sits, the Hydra-Tree of Death †, or the Phytotoxicity of Trees. Molecules 2019, 24, 1636. [Google Scholar] [CrossRef]
- Sujeeun, L.; Thomas, S.C. Biochar mitigates allelopathic effects in temperate trees. Ecol. Appl. 2023, 33, e2832. [Google Scholar] [CrossRef]
- Huang, W.; Hu, T.; Chen, H.; Wang, Q.; Hu, H.; Tu, L.; Jing, L. Impact of decomposing Cinnamomum septentrionale leaf litter on the growth of Eucalyptus grandis saplings. Plant Physiol Biochem. 2013, 70, 411–417. [Google Scholar] [CrossRef]
- Kong, C.H.; Chen, L.C.; Xu, X.H.; Wang, P.; Wang, S.L. Allelochemicals and Activities in a Replanted Chinese Fir (Cunninghamia lanceolata (Lamb.) Hook) Tree Ecosystem. J. Agric. Food Chem. 2008, 56, 11734–11739. [Google Scholar] [CrossRef]
- Bakacsy, L.; Kardos, L.V.; Szepesi, Á.; Nagy, K.N.; Vasas, A.; Feigl, G. Investigation of the Allelopathic Effect of Two Invasive Plant Species in Rhizotron System. Life 2024, 14, 475. [Google Scholar] [CrossRef]
- Xu, Y.; Chen, X.; Ding, L.; Kong, C.H. Allelopathy and allelochemicals in grasslands and forests. Forests 2023, 14, 562. [Google Scholar] [CrossRef]
- Rawat, P.; Narkhede, S.; Rane, A.; Mhaiske, V.; Dalvi, V. Allelopathic effect of leaf leachates of solid bamboo Dendrocalamus stocksii (Munro.) on growth and yield of Eleusine coracana L. (Gaertn.). Indian J. Agrofor. 2017, 19, 79–82. [Google Scholar]
- Ogita, S.; Sasamoto, H. In vitro bioassay of allelopathy in four bamboo species; Bambusa multiplex, Phyllostachys bambusoides, P. nigra, Sasa kurilensis, using sandwich method and protoplast co-culture method with digital image analysis. Am. J. Plant Sci. 2017, 8, 1699–1710. [Google Scholar] [CrossRef]
- Jose, C.M.; Brandão Torres, L.M.; Torres, M.A.M.G.; Shirasuna, R.T.; Farias, D.A.; dos Santos, N.A.; Grombone-Guaratini, M.T. Phytotoxic effects of phenolic acids from Merostachys riedeliana, a native and overabundant Brazilian bamboo. Chemoecology 2016, 26, 235–246. [Google Scholar] [CrossRef]
- Guang-Dong, G.; Su-Qin, Z.; Zhi-Hui, C. A Study on the Allelopathy of Dibutyl Phthalate and Its Mechanism. Acta Agric. Univ. Jiangxiensis 2008, 30, 1045–1048. [Google Scholar]
- Wang, M.; Deng, J.; Chen, L.; Huang, X.; Zhang, Y.; Yu, K.; Guo, L. Insights into the impacts of autotoxic allelochemicals from rhizosphere of Atractylodes lancea on soil microenvironments. Front. Plant Sci. 2023, 14, 1136833. [Google Scholar] [CrossRef]
- Jakkeral, S.A.; Kajjidoni, S. Root exudation of organic acids in selected genotypes under phosphorus deficient condition in blackgram (Vigna mungo L. Hepper). Karnataka J. Agric. Sci. 2011, 24, 316–319. [Google Scholar]
- Syed, S.; Ahmed, Z.I.; Al-Haq, M.I.; Mohammad, A.; Fujii, Y. The possible role of organic acids as allelochemicals in Tamarindus indica L. leaves. Acta Agric. Scand. Sect. B Soil Plant Sci. 2014, 64, 511–517. [Google Scholar]
- Yamane, A.; Nishimura, H.; Mizutani, J. Allelopathy of yellow fieldcress (Rorippa sylvestris): Identification and characterization of phytotoxic constituents. J. Chem. Ecol. 1992, 18, 683–691. [Google Scholar] [CrossRef]
- Ahrabi, F.; Enteshari, S.; Moradshahi, A. Allelopathic potential of para-hydroxybenzoic acid and coumarin on canola: Talaieh cultivar. J. Med. Plants Res. 2011, 5, 5104–5109. [Google Scholar]
- Huang, H.; Liu, C.; Wei, S.; Wang, J.; Zhang, C. Dynamic root exudation of phenolic allelochemicals from Johnson grass (Sorghum halepense). Weed Biol. Manag. 2015, 15, 133–137. [Google Scholar] [CrossRef]
- Xin, A.; Jin, H.; Yang, X.; Guan, J.; Hui, H.; Liu, H.; Cui, Z.; Dun, Z.; Qin, B. Allelochemicals from the rhizosphere soil of potato (Solanum tuberosum L.) and their interactions with the Soilborne pathogens. Plants 2022, 11, 1934. [Google Scholar] [CrossRef] [PubMed]
- Logue, J.B.; Stedmon, C.A.; Kellerman, A.M.; Nielsen, N.J.; Andersson, A.F.; Laudon, H.; Lindström, E.S.; Kritzberg, E.S. Experimental insights into the importance of aquatic bacterial community composition to the degradation of dissolved organic matter. ISME J. 2016, 10, 533–545. [Google Scholar] [CrossRef] [PubMed]
- Karlsson, I.; Friberg, H.; Steinberg, C.; Persson, P. Fungicide effects on fungal community composition in the wheat phyllosphere. PLoS ONE 2014, 9, e111786. [Google Scholar] [CrossRef] [PubMed]
- Gent, M.P.; Parrish, Z.D.; White, J.C. Nutrient uptake among subspecies of Cucurbita pepo L. is related to exudation of citric acid. J. Am. Soc. Hortic. Sci. 2005, 130, 782–788. [Google Scholar] [CrossRef]
- Seididamyeh, M.; Phan, A.D.T.; Sivakumar, D.; Netzel, M.E.; Mereddy, R.; Sultanbawa, Y. Valorisation of Three Underutilised Native Australian Plants: Phenolic and Organic Acid Profiles and In Vitro Antimicrobial Activity. Foods 2023, 12, 623. [Google Scholar] [CrossRef]
- Scognamiglio, M.; Schneider, B. Identification of potential allelochemicals from donor plants and their synergistic effects on the metabolome of Aegilops geniculata. Front. Plant Sci. 2020, 11, 535128. [Google Scholar] [CrossRef]
- Ercan, L.; Doğru, M. Antioxidant and antimicrobial capacity of quinic acid. Bitlis Eren ÜNiversitesi Fen Bilim. Derg. 2022, 11, 1018–1025. [Google Scholar] [CrossRef]
- Szwed, M.; Wiczkowski, W.; Szawara-Nowak, D.; Obendorf, R.L.; Horbowicz, M. Allelopathic influence of common buckwheat root residues on selected weed species. Acta Physiol. Plant. 2019, 41, 1–9. [Google Scholar] [CrossRef]
- Bashar, H.K.; Juraimi, A.S.; Ahmad-Hamdani, M.S.; Uddin, M.K.; Asib, N.; Anwar, M.P.; Karim, S.R.; Rahaman, F.; Haque, M.A.; Hossain, A. Documentation of Phytotoxic Compounds Existing in Parthenium hysterophorus L. Leaf and Their Phytotoxicity on Eleusine indica (L.) Gaertn. and Digitaria sanguinalis (L.) Scop. Toxins 2022, 14, 561. [Google Scholar] [CrossRef]
- Barkosky, R.R.; Einhellig, F.A.; Butler, J.L. Caffeic acid-induced changes in plant–water relationships and photosynthesis in leafy spurge Euphorbia esula. J. Chem. Ecol. 2000, 26, 2095–2109. [Google Scholar] [CrossRef]
- Chen, L.; Guo, L.; Du, H.; Liu, D. Caffeic acid, an allelochemical in Artemisia argyi, inhibits weed growth via suppression of mitogen-activated protein kinase signaling pathway and the biosynthesis of gibberellin and phytoalexin. Front. Plant Sci. 2022, 12, 802198. [Google Scholar] [CrossRef] [PubMed]
- Lin, D.; Tsuzuki, E.; Sugimoto, Y.; Dong, Y.; Matsuo, M.; Terao, H. Elementary identification of phenolic allelochemicals from dwarf lilyturf plant (Ophiopogon japonicus K.) and their growth-inhibiting effects for two weeds in paddy rice field. Plant Prod. Sci. 2004, 7, 260–265. [Google Scholar] [CrossRef]
- Chung, I.; Kim, K.; Ahn, J.; Chun, S.; Kim, C.; Kim, J.; Kim, S. Screening of allelochemicals on barnyardgrass (Echinochloa crus-galli) and identification of potentially allelopathic compounds from rice (Oryza sativa) variety hull extracts. Crop Prot. 2002, 21, 913–920. [Google Scholar] [CrossRef]
- Wang DanDan, W.D.; Yang JianShe, Y.J.; Yan ZhiQiang, Y.Z.; Sun YuHe, S.Y.; Cui HaiYan, C.H.; Ding Lan, D.L.; Qin Bo, Q.B. Allelopathic effect and mechanism of chlorogenic acid on the growth of lettuce. Acta Bot. Boreal. Occident. Sin. 2014, 34, 957–962. [Google Scholar]
- Ruszkiewicz-Michalska, M. The genus Asteromella (Fungi: Ascomycota) in Poland. Monogr. Bot. 2016, 106, 1–164. [Google Scholar] [CrossRef]
- Chuah, T.; Oh, H.; Habsah, M.; Norhafizah, M.; Ismail, B. Potential of crude extract and isolated compounds from golden beard grass (Chrysopogon serrulatus) for control of sprangletop (Leptochloa chinensis) in aerobic rice systems. Crop Pasture Sci. 2014, 65, 461–469. [Google Scholar] [CrossRef]
- Li, Y.; Zhang, Q. Effects of naturally and microbially decomposed cotton stalks on cotton seedling growth. Arch. Agron. Soil Sci. 2016, 62, 1264–1270. [Google Scholar] [CrossRef]
- Zhang, J.; Gao, L.; Pang, Z.; Liu, L.; Chen, X.; Wang, S.; Huī, W.; Tong, R.; Shi, C.; Chen, X. Effect of Low-Molecular-Weight Organic Acids on Phosphorus Soil Activation: A Laboratory Study of the Soils From Wangbeng Section of the Huaihe River Basin, China. Plant Soil Environ. 2021, 67, 660–667. [Google Scholar] [CrossRef]
- Mohankumar, K. Impact of Low Molecular Weight Organic Acids on Soil Phosphorus Fractions and Its Content in Wheat (Triticum aestivum) and Soybean (Glycine max). Ann. Plant Soil Res. 2022, 24, 384–390. [Google Scholar]
- Huang, C.z.; Lei, X.; Sun, J.j.; Zhang, Z.; Fu, M.; Teng, H.; Yi, K. Allelochemical p-hydroxybenzoic acid inhibits root growth via regulating ROS accumulation in cucumber (Cucumis sativus L.). J. Integr. Agric. 2020, 19, 518–527. [Google Scholar] [CrossRef]
- Liang, G.; Niu, Y. The allelopathic effect of para-hydroxybenzoic acid on the gene expression of photosynthesis and respiration in Solanum lycopersicum. Curr. Plant Biol. 2022, 32, 100261. [Google Scholar] [CrossRef]
- Li, J.; Huang, Y.; Chen, L.; Gao, S.; Zhang, J.; Zhang, D. Understory plant diversity and phenolic allelochemicals across a range of Eucalyptus grandis plantation ages. J. For. Res. 2023, 34, 1577–1590. [Google Scholar] [CrossRef]
- Lu, X.; Ju, W.; Li, J.; Croft, H.; Chen, J.M.; Luo, Y.; Yu, H.; Hu, H. Maximum carboxylation rate estimation with chlorophyll content as a proxy of rubisco content. J. Geophys. Res. Biogeosci. 2020, 125, e2020JG005748. [Google Scholar] [CrossRef]
- Zhou, B.L.; Chen, F.; Liu, N.; Wu, Q.; Lu, B. Allelopathy of Diisobutyl Phthalate to Verticillium Wilt and Seedling Growth of Eggplant. Acta Agric.-Boreali-Occident. Sin. 2010, 19, 179–183. [Google Scholar]
- Zhao, H.M.; Du, H.; Xiang, L.; Li, Y.W.; Li, H.; Cai, Q.Y.; Mo, C.H.; Cao, G.; Wong, M.H. Physiological differences in response to di-n-butyl phthalate (DBP) exposure between low-and high-DBP accumulating cultivars of Chinese flowering cabbage (Brassica parachinensis L.). Environ. Pollut. 2016, 208, 840–849. [Google Scholar] [CrossRef] [PubMed]
- Zhao, H.M.; Huang, H.B.; Luo, Y.M.; Huang, C.Q.; Du, H.; Xiang, L.; Cai, Q.Y.; Li, Y.W.; Li, H.; Mo, C.H.; et al. Differences in root physiological and proteomic responses to dibutyl phthalate exposure between low-and high-DBP-accumulation cultivars of Brassica parachinensis. J. Agric. Food Chem. 2018, 66, 13541–13551. [Google Scholar] [CrossRef]
- Kumari, A.; Kaur, R. Uptake of a Plasticizer (Di-N-Butyl Phthalate) Impacts the Biochemical and Physiological Responses of Barley. PeerJ 2022, 10, e12859. [Google Scholar] [CrossRef]
- Zhao, H.M.; Huang, H.B.; Du, H.; Xiang, L.; Mo, C.H.; Li, Y.W.; Cai, Q.Y.; Li, H.; Liu, J.S.; Zhou, D.M.; et al. Global picture of protein regulation in response to dibutyl phthalate (DBP) stress of two Brassica parachinensis cultivars differing in DBP accumulation. J. Agric. Food Chem. 2018, 66, 4768–4779. [Google Scholar] [CrossRef]
- Wang, Y.; Xu, X.; Liu, T.; Wang, H.; Yang, Y.; Chen, X.; Zhu, S. Analysis of bacterial and fungal communities in continuous-cropping ramie (Boehmeria nivea L. Gaud) fields in different areas in China. Sci. Rep. 2020, 10, 3264. [Google Scholar] [CrossRef]
- Yoshimi, A.; Miyazawa, K.; Abe, K. Cell wall structure and biogenesis in Aspergillus species. Biosci. Biotechnol. Biochem. 2016, 80, 1700–1711. [Google Scholar] [CrossRef]
- Gough, E.; Owen, K.; Zwart, R.; Thompson, J. A Systematic Review of the Effects of Arbuscular Mycorrhizal Fungi on Root-Lesion Nematodes, Pratylenchus spp. Front. Plant Sci. 2020, 11, 923. [Google Scholar] [CrossRef]
- Orchard, S.; Standish, R.; Dickie, I.; Renton, M.; Walker, C.; Moot, D.; Ryan, M. Fine root endophytes under scrutiny: A review of the literature on arbuscule-producing fungi recently suggested to belong to the Mucoromycotina. Mycorrhiza 2017, 27, 619–638. [Google Scholar] [CrossRef] [PubMed]
- Kumar, V.; Maitra, S. Biodegradation of endocrine disruptor dibutyl phthalate (DBP) by a newly isolated Methylobacillus sp. V29b and the DBP degradation pathway. 3 Biotech 2016, 6, 1–12. [Google Scholar] [CrossRef] [PubMed]
- VanInsberghe, D.; Maas, K.R.; Cardenas, E.; Strachan, C.R.; Hallam, S.J.; Mohn, W.W. Non-symbiotic Bradyrhizobium ecotypes dominate North American forest soils. ISME J. 2015, 9, 2435–2441. [Google Scholar] [CrossRef] [PubMed]
- Zhang, H.; Ullah, F.; Ahmad, R.; Shah, S.U.A.; Khan, A.; Adnan, M. Response of soil proteobacteria to biochar amendment in sustainable agriculture-a mini review. J. Soil, Plant Environ. 2022, 1, 16–30. [Google Scholar] [CrossRef]
- dos Santos, I.B.; Pereira, A.P.d.A.; de Souza, A.J.; Cardoso, E.J.B.N.; da Silva, F.G.; Oliveira, J.T.C.; Verdi, M.C.Q.; Sobral, J.K. Selection and Characterization of Burkholderia spp. for Their Plant-Growth Promoting Effects and Influence on Maize Seed Germination. Front. Soil Sci. 2022, 1, 805094. [Google Scholar] [CrossRef]
- Soares, F.S.; Vespoli, L.D.S.; Pinto, V.B.; Matiello, L.; Silva, F.R.D.; Menossi, M. Fine-Tuning of Arabidopsis thaliana Response to Endophytic Colonization by Gluconacetobacter diazotrophicus PAL5 Revealed by Transcriptomic Analysis. Plants 2024, 13, 1719. [Google Scholar] [CrossRef]
- Vessey, J.K. Plant growth promoting rhizobacteria as biofertilizers. Plant Soil 2003, 255, 571–586. [Google Scholar] [CrossRef]
- Singh, D.P.; Singh, H.B.; Prabha, R. Plant-Microbe Interactions in Agro-Ecological Perspectives; Springer: Berlin/Heidelberg, Germany, 2017; Volume 2. [Google Scholar]
- Lin, Y.; Zhang, Y.; Zhang, F.; Li, R.; Hu, Y.; Yu, H.; Tuyiringire, D.; Wang, L. Effects of bok choy on the dissipation of dibutyl phthalate (DBP) in mollisol and its possible mechanisms of biochemistry and microorganisms. Ecotoxicol. Environ. Saf. 2019, 181, 284–291. [Google Scholar] [CrossRef]
- Liang, G.; Zhang, S.; Guo, J.; Yang, R.; Li, H.; Fang, X.; Zhang, G. The effects of para-hydroxybenzoic acid treatment on photosynthetic parameters of Populus× euramericana “Neva”. Photosynthetica 2018, 56, 505–511. [Google Scholar] [CrossRef]
- Jiang, X.; Zuo, S.; Ye, L.; Hong, W. Nano-fumed silica as a novel pollutant that inhibits the algicidal effect of p-hydroxybenzoic acid on Microcystis aeruginosa. Environ. Technol. 2019, 40, 693–700. [Google Scholar] [CrossRef] [PubMed]
- Guan, Y.; Lin, H.; Ma, L.; Yang, Y.; Hu, X. Nitric oxide and hydrogen peroxide are important signals mediating the allelopathic response of Arabidopsis to p-hydroxybenzoic acid. Physiol. Plant. 2014, 152, 275–285. [Google Scholar] [CrossRef]
- Igamberdiev, A.U. Citrate valve integrates mitochondria into photosynthetic metabolism. Mitochondrion 2020, 52, 218–230. [Google Scholar] [CrossRef] [PubMed]
- Puig, C.G.; Álvarez-Iglesias, L.; Pardo-Muras, M.; Andrade, P.B.; Pedrol, N. Mentha suaveolens as Allelopathic Biomass for Weed Control: Phenolics, Organic Acids, and Volatile Organic Compounds Profiles. Agronomy 2023, 13, 2793. [Google Scholar] [CrossRef]
- Zhang, Z.Z.; Sun, Z.H.; Chen, W.H.; Lin, W.X. Allelopathic effects of organic acid allelochemicals on melon. Acta Ecol. Sin. 2013, 33, 4591–4598. [Google Scholar] [CrossRef]
- Babu, T.S.; Marder, J.B.; Tripuranthakam, S.; Dixon, D.G.; Greenberg, B.M. Synergistic effects of a photooxidized polycyclic aromatic hydrocarbon and copper on photosynthesis and plant growth: Evidence that in vivo formation of reactive oxygen species is a mechanism of copper toxicity. Environ. Toxicol. Chem. Int. J. 2001, 20, 1351–1358. [Google Scholar] [CrossRef]
- Jin, F.; Hu, Q.; Zhao, Y.; Lin, X.; Zhang, J.; Zhang, J. Enhancing quinoa growth under severe saline-alkali stress by phosphate solubilizing microorganism Penicillium funicuiosum P1. PLoS ONE 2022, 17, e0273459. [Google Scholar] [CrossRef] [PubMed]
- Farid, M.; Ali, S.; Rizwan, M.; Ali, Q.; Abbas, F.; Bukhari, S.A.H.; Saeed, R.; Wu, L. Citric acid assisted phytoextraction of chromium by sunflower; morpho-physiological and biochemical alterations in plants. Ecotoxicol. Environ. Saf. 2017, 145, 90–102. [Google Scholar] [CrossRef]
- Afshan, S.; Ali, S.; Bharwana, S.A.; Rizwan, M.; Farid, M.; Abbas, F.; Ibrahim, M.; Mehmood, M.; Abbasi, G. Citric acid enhances the phytoextraction of chromium, plant growth, and photosynthesis by alleviating the oxidative damages in Brassica napus L. Environ. Sci. Pollut. Res. 2015, 22, 11679–11689. [Google Scholar] [CrossRef]
- Hu, L.; Zhang, Z. Exogenous application of citric acid ameliorates the adverse effect of heat stress in tall fescue (Lolium arundinaceum). Front. Plant Sci. 2016, 7, 177622. [Google Scholar] [CrossRef]
- Shi, Y.W.; Zhu, J.; Fu, L.; Lǐ, J. Tea polyphenols inhibit pseudomonas aeruginosa through damage to the cell membrane. Int. J. Food Microbiol. 2010, 144, 111–117. [Google Scholar]
- Lou, Z.; Wang, H.; Zhu, S.; Ma, C.; Wang, Z. Antibacterial activity and mechanism of action of chlorogenic acid. J. Food Sci. 2011, 76, 398–403. [Google Scholar] [CrossRef] [PubMed]
- D’Orso, F.; Hill, L.; Appelhagen, I.; Lawrenson, T.; Possenti, M.; Li, J.; Harwood, W.; Morelli, G.; Martin, C. Exploring the metabolic and physiological roles of HQT in S. lycopersicum by gene editing. Front. Plant Sci. 2023, 14, 1124959. [Google Scholar] [CrossRef] [PubMed]
- Kundu, A.; Vadassery, J. Chlorogenic acid-mediated chemical defence of plants against insect herbivores. Plant Biol. 2019, 21, 185–189. [Google Scholar] [CrossRef]






| Stress Type | P. chekiangensis | C. sclerophylla | ||
|---|---|---|---|---|
| Chlorophyll (pmol/g) | Rubisco (ng/g) | Chlorophyll (pmol/g) | Rubisco (ng/g) | |
| CK | 49.912 ± 4.671 | 43.290 ± 3.734 | 50.656 ± 3.584 | 46.202 ± 6.127 |
| 1 mM DBP | 50.590 ± 4.744 | 46.044 ± 5.145 | 52.550 ± 4.992 | 48.506 ± 3.872 |
| 10 mM DBP | 51.298 ± 4.941 | 46.202 ± 6.375 | 54.742 ± 5.912 | 48.134 ± 2.662 |
| 20 mM DBP | 53.842 ± 6.269 | 48.034 ± 5.566 | 52.110 ± 5.879 | 50.232 ± 4.630 |
| 1 mM citric acid | 54.516 ± 3.618 | 44.092 ± 2.027 | 53.138 ± 7.118 | 46.678 ± 5.560 |
| 10 mM citric acid | 54.726 ± 5.312 | 46.034 ± 4.600 | 51.156 ± 6.019 | 47.876 ± 6.472 |
| 20 mM citric acid | 51.778 ± 4.667 | 47.544 ± 5.928 | 52.124 ± 3.616 | 51.596 ± 3.717 |
| 1 mM PHBA | 49.408 ± 4.124 | 45.162 ± 3.602 | 53.484 ± 7.746 | 49.036 ± 4.588 |
| 10 mM PHBA | 47.118 ± 3.022 | 47.098 ± 5.227 | 50.220 ± 3.742 | 46.192 ± 6.794 |
| 20 mM PHBA | 50.104 ± 4.489 | 47.586 ± 5.837 | 52.776 ± 4.624 | 46.332 ± 3.665 |
| 1 mM CGA | 48.788 ± 4.229 | 45.262 ± 6.570 | 53.626 ± 6.093 | 46.852 ± 1.975 |
| 10 mM CGA | 53.426 ± 5.969 | 45.598 ± 4.998 | 55.242 ± 4.528 | 50.486 ± 3.693 |
| 20 mM CGA | 54.174 ± 7.092 | 46.602 ± 1.958 | 55.190 ± 3.053 | 44.964 ± 3.712 |
| Stress Type | MDA (ng/g) | ROS (ng/g) | CAT (nmol/g) | POD (ng/g) |
|---|---|---|---|---|
| CK | 1.524 ± 0.053 | 242.724 ± 26.456 | 22.094 ± 1.432 | 16.916 ± 1.117 |
| 1 mM DBP | 1.410 ± 0.082 * | 239.118 ± 27.993 | 20.546 ± 1.881 | 16.356 ± 0.810 |
| 10 mM DBP | 1.468 ± 0.100 | 242.262 ± 18.080 | 21.182 ± 2.230 | 16.908 ± 2.097 |
| 20 mM DBP | 1.494 ± 0.121 | 250.220 ± 13.685 | 21.668 ± 1.260 | 16.744 ± 1.298 |
| 1 mM citric acid | 1.460 ± 0.155 | 243.928 ± 9.382 | 19.436 ± 1.038 * | 16.332 ± 1.273 |
| 10 mM citric acid | 1.604 ± 0.163 | 257.742 ± 23.693 | 22.212 ± 1.561 | 17.094 ± 0.839 |
| 20 mM citric acid | 1.472 ± 0.127 | 248.862 ± 27.646 | 21.006 ± 2.213 | 16.300 ± 2.017 |
| 1 mM PHBA | 1.448 ± 0.130 | 228.364 ± 12.940 | 19.812 ± 1.096 * | 15.734 ± 1.910 |
| 10 mM PHBA | 1.496 ± 0.151 | 239.698 ± 18.104 | 19.468 ± 1.796 * | 15.668 ± 1.058 |
| 20 mM PHBA | 1.506 ± 0.131 | 240.570 ± 29.859 | 19.716 ± 1.420 * | 16.688 ± 0.684 |
| 1 mM CGA | 1.386 ± 0.071 * | 231.952 ± 19.996 | 20.274 ± 2.683 | 17.142 ± 1.181 |
| 10 mM CGA | 1.492 ± 0.057 | 234.016 ± 20.644 | 20.772 ± 2.081 | 15.770 ± 1.133 |
| 20 mM CGA | 1.510 ± 0.111 | 248.422 ± 29.578 | 20.478 ± 1.752 | 16.592 ± 1.991 |
| Stress Type | MDA (ng/g) | ROS (ng/g) | CAT (nmol/g) | POD (ng/g) |
|---|---|---|---|---|
| CK | 1.388 ± 0.063 | 209.892 ± 10.144 | 19.110 ± 2.204 | 16.560 ± 1.251 |
| 1 mM DBP | 1.478 ± 0.089 | 246.780 ± 17.433 * | 21.434 ± 2.147 | 16.276 ± 0.912 |
| 10 mM DBP | 1.556 ± 0.163 | 247.012 ± 28.245 * | 20.796 ± 2.261 | 16.956 ± 1.423 |
| 20 mM DBP | 1.456 ± 0.059 | 229.908 ± 24.519 | 20.016 ± 1.744 | 16.888 ± 0.945 |
| 1 mM citric acid | 1.456 ± 0.132 | 247.768 ± 20.381 * | 22.886 ± 1.812 * | 17.634 ± 0.838 |
| 10 mM citric acid | 1.502 ± 0.133 | 245.202 ± 29.219 * | 20.954 ± 3.319 | 15.654 ± 2.126 |
| 20 mM citric acid | 1.548 ± 0.067 * | 242.654 ± 29.194 * | 21.982 ± 2.546 | 16.008 ± 1.138 |
| 1 mM PHBA | 1.466 ± 0.178 | 244.576 ± 21.448 * | 22.406 ± 3.129 | 17.340 ± 1.086 |
| 10 mM PHBA | 1.534 ± 0.103 | 240.260 ± 18.125 * | 20.698 ± 2.146 | 16.794 ± 1.595 |
| 20 mM PHBA | 1.506 ± 0.186 | 243.780 ± 19.293 * | 21.472 ± 1.577 | 16.212 ± 1.226 |
| 1 mM CGA | 1.534 ± 0.201 * | 246.780 ± 17.433 * | 20.576 ± 1.341 | 16.582 ± 1.764 |
| 10 mM CGA | 1.564 ± 0.068 * | 247.012 ± 28.245 * | 23.156 ± 1.831 * | 17.410 ± 1.822 |
| 20 mM CGA | 1.516 ± 0.071 * | 229.908 ± 24.519 | 20.638 ± 2.216 | 16.192 ± 2.392 |
Disclaimer/Publisher’s Note: The statements, opinions and data contained in all publications are solely those of the individual author(s) and contributor(s) and not of MDPI and/or the editor(s). MDPI and/or the editor(s) disclaim responsibility for any injury to people or property resulting from any ideas, methods, instructions or products referred to in the content. |
© 2024 by the authors. Licensee MDPI, Basel, Switzerland. This article is an open access article distributed under the terms and conditions of the Creative Commons Attribution (CC BY) license (https://creativecommons.org/licenses/by/4.0/).
Share and Cite
Wang, A.; Huang, K.; Ning, Y.; Bi, Y. Allelochemicals from Moso Bamboo: Identification and Their Effects on Neighbor Species. Forests 2024, 15, 2040. https://doi.org/10.3390/f15112040
Wang A, Huang K, Ning Y, Bi Y. Allelochemicals from Moso Bamboo: Identification and Their Effects on Neighbor Species. Forests. 2024; 15(11):2040. https://doi.org/10.3390/f15112040
Chicago/Turabian StyleWang, Anke, Kaiwen Huang, Yilin Ning, and Yufang Bi. 2024. "Allelochemicals from Moso Bamboo: Identification and Their Effects on Neighbor Species" Forests 15, no. 11: 2040. https://doi.org/10.3390/f15112040
APA StyleWang, A., Huang, K., Ning, Y., & Bi, Y. (2024). Allelochemicals from Moso Bamboo: Identification and Their Effects on Neighbor Species. Forests, 15(11), 2040. https://doi.org/10.3390/f15112040
