Resilience and Resistance of Vegetation in Response to Droughts in a Subtropical Humid Region Dominated by Karst
Abstract
1. Introduction
2. Study Areas
3. Datasets and Methods
3.1. Meteorological Data
3.2. Data on Total Water Storage Anomaly
3.3. Data on Enhanced Vegetation Index
3.4. Data on Land Use and Cover Change
3.5. Other Data Sources
3.6. Methods
4. Results
4.1. Resilience and Resistance of Vegetation of Study Region
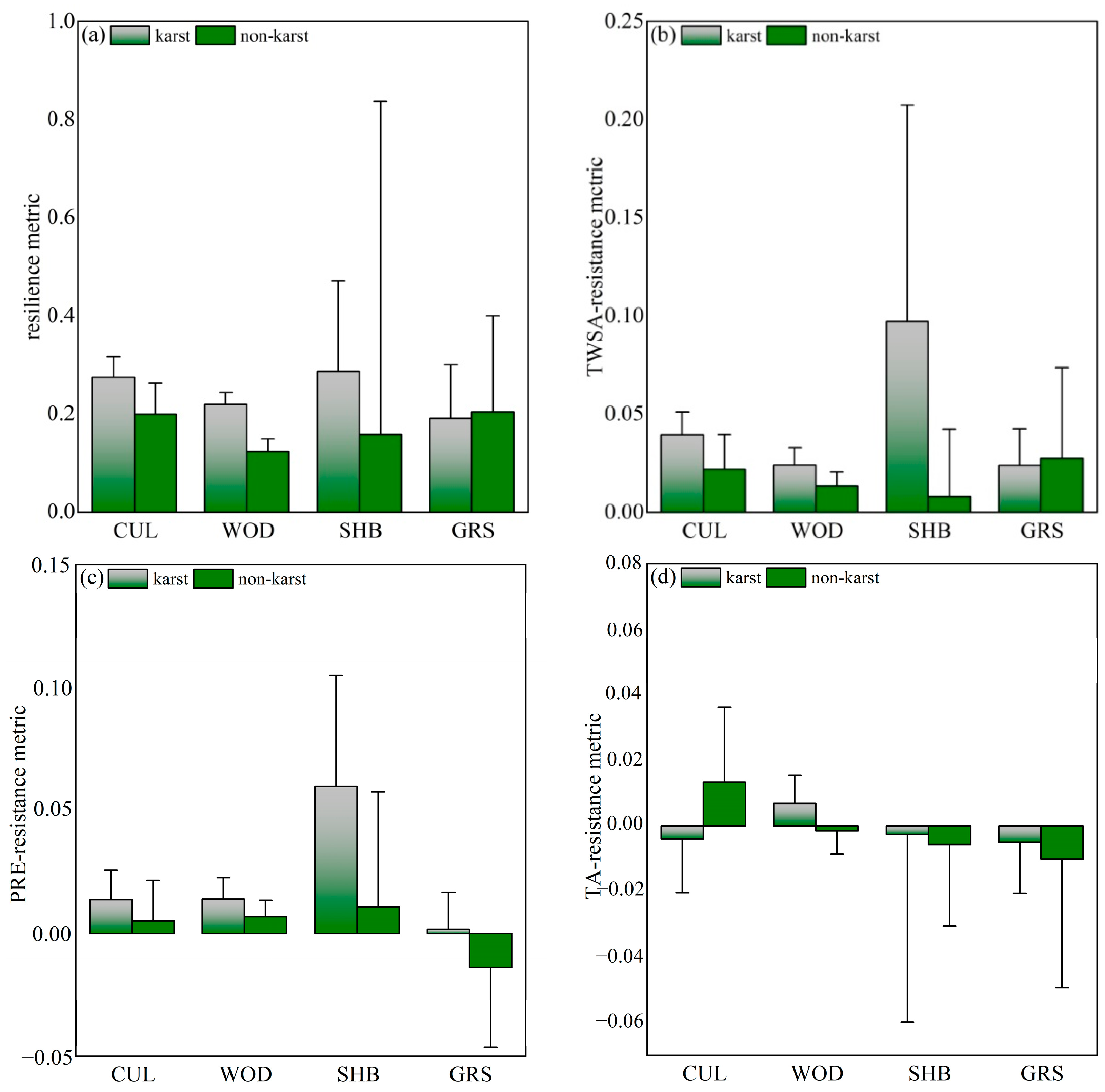
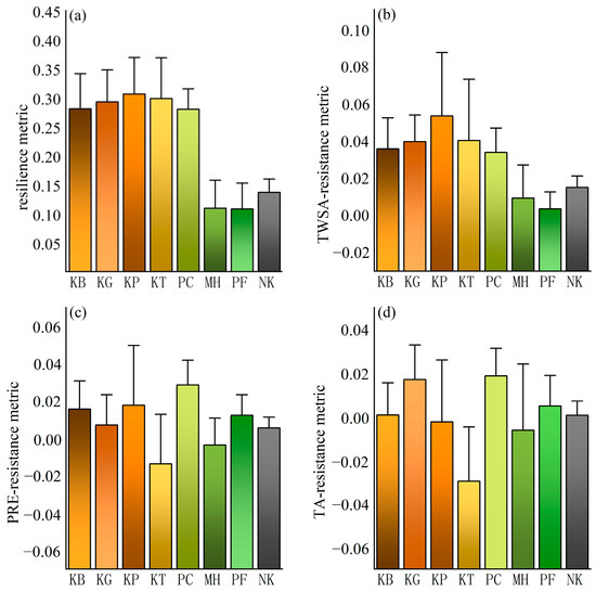
4.2. Differences in Resilience and Resistance Between Karst and Non-Karst Areas
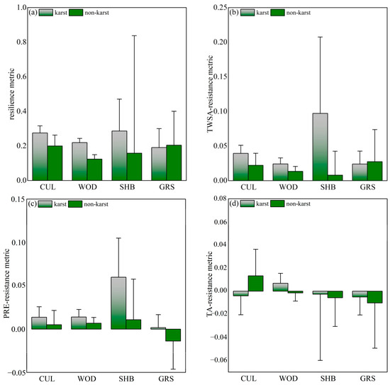
4.3. Differences in Resilience and Resistance Across Karst Landscape-Type Zones
4.4. Effects of Natural Factors on Resilience and Resistance of Vegetation
5. Discussion
5.1. Effects of Geochemical Conditions on Vegetation Resilience and Resistance
5.2. Effects of Geological Structures on Vegetation Resilience and Resistance
5.3. Impact of Environmental Complexity on Vegetation Resilience and Resistance
5.4. Applied Value
5.5. Limitations
6. Conclusions
Author Contributions
Funding
Data Availability Statement
Conflicts of Interest
References
- García-Palacios, P.; Gross, N.; Gaitán, J.; Maestre, F.T. Climate mediates the biodiversity–ecosystem stability relationship globally. Proc. Natl. Acad. Sci. USA 2018, 115, 8400–8405. [Google Scholar] [CrossRef] [PubMed]
- Li, X.; Piao, S.; Wang, K.; Wang, X.; Wang, T.; Ciais, P.; Chen, A.; Lian, X.; Peng, S.; Penuelas, J. Temporal trade-off between gymnosperm resistance and resilience increases forest sensitivity to extreme drought. Nat. Ecol. Evol. 2020, 4, 1075–1083. [Google Scholar] [CrossRef] [PubMed]
- Webster, J.R.; Waide, J.B.; Patten, B.C. Nutrient recycling and the stability of ecosystems. In Mineral Cycling in Southeastern Ecosystems; Howell, F.G., Gentry, J.B., Smith, M.H., Eds.; Technical Information Center, Office of Public Affairs, U.S. Energy Research and Development Administration: Augusta, GA, USA, 1975; pp. 1–27. [Google Scholar]
- Zhang, H.; Zhang, W. Plant–Soil Interactions in Karst Regions. Forests 2023, 14, 922. [Google Scholar] [CrossRef]
- Liu, C.; Huang, Y.; Wu, F.; Liu, W.; Liang, Y. Plant adaptability in karst regions. J. Plant Res. Search 2021, 134, 1–18. [Google Scholar] [CrossRef]
- Bai, J.; Shi, H.; Yu, Q.; Xie, Z.; Li, L.; Luo, G.; Jin, N.; Li, J. Satellite-observed vegetation stability in response to changes in climate and total water storage in Central Asia. Sci. Total Environ. 2019, 659, 862–871. [Google Scholar] [CrossRef]
- De Keersmaecker, W.; Lhermitte, S.; Tits, L.; Honnay, O.; Somers, B.; Coppin, P. A model quantifying global vegetation resistance and resilience to short-term climate anomalies and their relationship with vegetation cover. Glob. Ecol. Biogeogr. 2015, 24, 539. [Google Scholar] [CrossRef]
- Qin, J.; Hao, X.; Hua, D.; Hao, H. Assessment of ecosystem resilience in Central Asia. J. Arid Environ. 2021, 195, 104625. [Google Scholar] [CrossRef]
- Hossain, M.L.; Li, J. NDVI-based vegetation dynamics and its resistance and resilience to different intensities of climatic events. Glob. Ecol. Conserv. 2021, 30, e01768. [Google Scholar] [CrossRef]
- Berghuijs, W.R.; Woods, R.; Hrachowitz, M. A precipitation shift from snow towards rain leads to a decrease in streamflow. Nat. Clim. Change 2014, 4, 583–586. [Google Scholar] [CrossRef]
- Tian, X.; Ni, J. Comprehensive treatment of rocky desertification in karst mountainous areas, southwestern China: Fundamental, approach and issues. Arid Land Geogr. 2010, 33, 532. [Google Scholar]
- Dai, Q.; Yan, Y. Research progress of karst rocky desertification and soil erosion in southwest China. J. Soil Water Conserv. 2018, 32, 1. [Google Scholar]
- Zhou, Q.; Luo, Y.; Shi, C.; Li, Y. Hydrological effects of vegetation restoration in karst areas research: Progress and challenges. Trans. Earth Environ. Sustain. 2023, 1, 177. [Google Scholar] [CrossRef]
- Zhou, Q.; Zhu, A.X.; Yan, W.; Sun, Z. Impacts of forestland vegetation restoration on soil moisture content in humid karst region: A case study on a limestone slope. Ecol. Eng. 2022, 180, 106648. [Google Scholar] [CrossRef]
- Zhang, S.; Bai, X.; Zhao, C.; Tan, Q.; Luo, G.; Cao, Y.; Deng, Y.; Li, Q.; Li, C.; Wu, L.; et al. Limitations of soil moisture and formation rate on vegetation growth in karst areas. Sci. Total Environ. 2021, 810, 151209. [Google Scholar] [CrossRef]
- Zhu, X.; Liu, H.; He, W.; Wu, L.; Liu, F. Regolith water storage patterns determine vegetation productivity in global karst regions. Geoderma 2023, 430, 116292. [Google Scholar] [CrossRef]
- Peng, X.; Dai, Q.; Ding, G.; Shi, D.; Li, C. Impact of vegetation restoration on soil properties in near-surface fissures located in karst rocky desertification regions. Soil Tillage Res. 2020, 200, 104620. [Google Scholar] [CrossRef]
- Chen, J.; Zhang, L.; Cai, X.; Luo, W.; Lyu, Y.; Cheng, A.; Wang, S. The impact of natural vegetation restoration on surface soil moisture of secondary forests and shrubs in the karst region of southwest China. Hydrol. Process. 2024, 38, e15161. [Google Scholar] [CrossRef]
- Yuan, D. The Research and Countermeasures of Major Environmental Geological Problems in Karst Areas of Southwest China; Science Press: Beijing, China, 2014. [Google Scholar]
- Li,, Y.; Liu, Z.; Liu, G.; Xiong, K.; Cai, L. Dynamic variations in soil moisture in an epikarst fissure in the karst rocky desertification area. J. Hydrol. 2020, 591, 125587. [Google Scholar] [CrossRef]
- Huete, A.; Didan, K.; Miura, T.; Rodriguez, E.P.; Gao, X.; Ferreira, L.G. Overview of the radiometric and biophysical performance of the MODIS vegetation indices. Remote Sens. Environ. 2002, 83, 195–213. [Google Scholar] [CrossRef]
- Shi, H.; Li, L.H.; Eamus, D.; Huete, A.; Cleverly, J.; Tian, X.; Yu, Q.; Wang, S.; Montagnani, L.; Magliulo, V.; et al. Assessing the ability of MODIS EVI to estimate terrestrial ecosystem gross primary production of multiple land cover types. Ecol. Indic. 2017, 72, 153–164. [Google Scholar] [CrossRef]
- Zhang, H.; Luo, M.; Zhan, W.; Zhao, Y.; Yang, Y.; Ge, E.; Ning, G.; Cong, J. A first 1 km high-resolution atmospheric moisture index collection over China, 2003–2020. In National Tibetan Plateau/Third Pole Environment Data Center; Springer: Berlin/Heidelberg, Germany, 2023. [Google Scholar]
- Li, C.; Wang, X.; He, C.; Wu, X.; Kong, Z.; Li, X. Spatial database of the national 1:200 000 digital geological map (V1). In National Geological Reference Library; China Geological Survey; Development Research Center of China Geological Survey: Beijing, China, 2019. [Google Scholar] [CrossRef]
- Xiang, Y.; Mou, X.; Ren, T.; Liu, R.; Wu, X. China regional geochemical exploration database. Geol. China 2018, 45, 31. [Google Scholar]
- Zhong, F.; Xu, X.; Li, Z.; Zend, X.; Yi, R.; Luo, W.; Zhang, Y.; Xu, C. Relationships between lithology, topography, soil, and vegetation, and their implications for karst vegetation restoration. CATENA 2022, 209, 105831. [Google Scholar] [CrossRef]
- Cai, L.; Xiong, K.; Liu, Z.; Li, Y.; Fan, B. Seasonal variations of plant water use in the karst desertification control. Sci. Total Environ. 2023, 885, 163778. [Google Scholar] [CrossRef] [PubMed]
- Bonacci, O.; Rubinić, J. Water losses from a reservoir built in karst: The example of the Boljunčica reservoir (Istria, Croatia). Environ. Geol. 2009, 58, 339. [Google Scholar] [CrossRef]
- Milanovic, S.; Stevanovic, Z.; Jemcov, I. Water losses risk assessment: An example from Carpathian karst. Environ. Earth Sci. 2010, 60, 817. [Google Scholar] [CrossRef]
- Bense, V.F.; Gleeson, T.; Loveless, S.E.; Bour, O.; Scibek, J. Fault zone hydrogeology. Earth-Sci. Rev. 2013, 127, 171. [Google Scholar] [CrossRef]
- Estrada-Medina, H.; Graham, R.C.; Allen, M.F.; Jiménez-Osornio, J.J.; Robles-Casolco, S. The importance of limestone bedrock and dissolution karst features on tree root distribution in northern yucatan, mexico. Plant Soil 2013, 362, 37. [Google Scholar] [CrossRef]
- Soriano, M.A.; Simón, J.L.; Gracia, J.; Salvador, T. Alluvial sinkholes over gypsum in the Ebro basin (Spain): Genesis and environmental impact. Hydrol. Sci. J. 1994, 39, 257. [Google Scholar] [CrossRef]
- Yang, L.; Ren, H.; Liu, N.; Wang, J. Can perennial dominant grass miscanthus sinensis be nurse plant in recovery of degraded hilly land landscape in south china? Landsc. Ecol. Eng. 2013, 9, 213–225. [Google Scholar] [CrossRef]
- Jiang, Z.; Lian, Y.; Qin, X. Rocky desertification in Southwest China: Impacts, causes, and restoration. Earth-Sci. Rev. 2014, 132, 1. [Google Scholar] [CrossRef]
- Li, S.L.; Liu, C.Q.; Li, J.; Xue, Z.; Guan, J.; Lang, Y.; Ding, H.; Li, L. Evaluation of nitrate source in surface water of southwestern china based on stable isotopes. Environ. Earth Sci. 2013, 68, 219–228. [Google Scholar] [CrossRef]
- Huang, B.; Yuan, Z.; Zheng, M.; Liao, Y.; Nguyen, K.L.; Nguyen, T.H.; Sombatpanit, S.; Li, D. Soil and water conservation techniques in tropical and subtropical Asia: A review. Sustainability 2022, 14, 5035. [Google Scholar] [CrossRef]
- Sun, N.; Liu, N.; Zhao, X.; Zhao, J.; Wang, H.; Wu, D. Evaluation of spatiotemporal resilience and resistance of global vegetation responses to climate change. Remote Sens. 2022, 14, 4332. [Google Scholar] [CrossRef]
- Luo, Y.; Zhou, Q.; Peng, D.; Yan, W.; Zhao, M. Key influence of hydrogeological, geochemical, and geological structure factors on runoff characteristics in karst catchments. J. Hydrol. 2023, 623, 129852. [Google Scholar] [CrossRef]
- Rempe, D.M.; Dietrich, W.E. Direct observations of rock moisture, a hidden component of the hydrologic cycle. Proc. Natl. Acad. Sci. USA 2018, 115, 2664. [Google Scholar] [CrossRef]
- Huang, W.; Zhong, Y.; Song, X.; Zhang, C.; Ren, M.; Du, Y. Seasonal differences in water-use sources of Impatiens hainanensis (Balsaminaceae), a Limestone-endemic plant based on “fissure-soil” habitat function. Sustainability 2021, 13, 8721. [Google Scholar] [CrossRef]
- Li, P.; Sun, X.; Zhao, X. Analysis of precipitation and potential evapotranspiration in arid and semi-arid area of China in recent 50 years. J. Arid Land Resour. Environ. 2012, 26, 57. [Google Scholar]
- Gan, F.; He, B.; Qin, Z. Hydrological response and soil detachment rate from dip/anti-dip slopes as a function of rock strata dip in karst valley revealed by rainfall simulations. J. Hydrol. 2020, 581, 124416. [Google Scholar] [CrossRef]
- Gan, F.; He, B.; Qin, Z.; Li, W. Contribution of bedrock dip angle impact to nitrogen and phosphorus leakage loss under artificial rainfall simulations on slopes parallel to and perpendicular to the bedrock dip in a karst trough valley. CATENA 2021, 196, 104884. [Google Scholar] [CrossRef]
- Abrahams, A.D.; Li, G.; Parsons, A.J. Rill hydraulics on a semiarid hillslope, southern Arizona. Earth Surf. Process. Landf. 1996, 21, 35. [Google Scholar] [CrossRef]
- Wu, L.; Chen, D.; Yang, D.; Luo, G.; Wang, J.; Chen, F. Response of runoff change to extreme climate evolution in a typical watershed of karst trough valley, SW China. Atmosphere 2023, 14, 927. [Google Scholar] [CrossRef]









| LUCC | 2003 | 2008 | 2013 | 2019 | ||||
|---|---|---|---|---|---|---|---|---|
| Area/km2 | Proportion/% | Area/km2 | Proportion/% | Area/km2 | Proportion/% | Area/km2 | Proportion/% | |
| cultivated lands | 206,686.12 | 24.67 | 205,242.02 | 24.50 | 204,050.97 | 24.36 | 198,102.07 | 23.65 |
| woodlands | 568,223.26 | 67.83 | 571,711.11 | 68.25 | 575,829.76 | 68.74 | 582,026.97 | 69.48 |
| shrubs | 21,962.80 | 2.62 | 20,949.24 | 2.50 | 19,534.50 | 2.33 | 19,110.36 | 2.28 |
| grasslands | 31,823.55 | 3.80 | 29,704.66 | 3.55 | 26,876.66 | 3.21 | 25,759.16 | 3.07 |
| total area | 837,732.40 | 837,729.55 | 837,738.53 | 837,730.75 | ||||
| Coefficient Meaning of Absolute Value | Meaning of Sign | |
|---|---|---|
| A large absolute value indicates low resilience, which means that vegetation slowly recovers from previous disturbance. | Positive The value of α shows that the EVI anomaly is similar to the previous anomaly. Negative The value of α shows that the EVI anomaly is similar to the previous anomaly but with the opposite trend. | |
| Large absolute values indicate low resistance to TWSA/precipitation/temperature anomalies. | Positive TWSA/precipitation/temperature higher than average induces a positive EVI response (higher EVI). Negative TWSA/precipitation/temperature lower than average induces a negative EVI response (lower EVI). | |
| Indicators Abbreviation | Descriptions of Indicators | Unit | |
|---|---|---|---|
| Climate Geology (GE) Geochemistry (GC) | PRE | Average monthly precipitation | mm |
| TA | Average monthly temperature | °C | |
| VPD | Vapor pressure deficit | kpa | |
| IA | Dip angle of formation | (°) | |
| FD | Fault density | km/km2 | |
| CaO | CaO content of soil parent material | % | |
| MgO | MgO content of soil parent material | % | |
| SiO2 | SiO2 content of soil parent material | % |
Disclaimer/Publisher’s Note: The statements, opinions and data contained in all publications are solely those of the individual author(s) and contributor(s) and not of MDPI and/or the editor(s). MDPI and/or the editor(s) disclaim responsibility for any injury to people or property resulting from any ideas, methods, instructions or products referred to in the content. |
© 2024 by the authors. Licensee MDPI, Basel, Switzerland. This article is an open access article distributed under the terms and conditions of the Creative Commons Attribution (CC BY) license (https://creativecommons.org/licenses/by/4.0/).
Share and Cite
Sun, Q.; Zhou, Q.; Luo, Y.; Shi, C.; Hu, Y. Resilience and Resistance of Vegetation in Response to Droughts in a Subtropical Humid Region Dominated by Karst. Forests 2024, 15, 1931. https://doi.org/10.3390/f15111931
Sun Q, Zhou Q, Luo Y, Shi C, Hu Y. Resilience and Resistance of Vegetation in Response to Droughts in a Subtropical Humid Region Dominated by Karst. Forests. 2024; 15(11):1931. https://doi.org/10.3390/f15111931
Chicago/Turabian StyleSun, Qijia, Qiuwen Zhou, Yingzhong Luo, Chunmao Shi, and Yundi Hu. 2024. "Resilience and Resistance of Vegetation in Response to Droughts in a Subtropical Humid Region Dominated by Karst" Forests 15, no. 11: 1931. https://doi.org/10.3390/f15111931
APA StyleSun, Q., Zhou, Q., Luo, Y., Shi, C., & Hu, Y. (2024). Resilience and Resistance of Vegetation in Response to Droughts in a Subtropical Humid Region Dominated by Karst. Forests, 15(11), 1931. https://doi.org/10.3390/f15111931

