Next Article in Journal
Bamboo Forests: Unleashing the Potential for Carbon Abatement and Local Income Improvements
Next Article in Special Issue
Job Stress, Working Capacity, Professional Performance and Safety of Shift Workers at Forest Harvesting in the North of Russian Federation
Previous Article in Journal
Multi-Omics Analysis of Exogenous Potassium (K+)’s Role in Alleviating Trehalose Effects Under NaCl Stress in Tamarix ramosissima
Previous Article in Special Issue
Integrating Forest Ecosystem Services into Health Strategies to Improve Human Well-Being
 
 
Font Type:
Arial Georgia Verdana
Font Size:
Aa Aa Aa
Line Spacing:
Column Width:
Background:
Article

National Forest City Policy and Urban Ecological Resilience: Evidence from 292 Cities in China

School of Finance, Capital University of Economics and Business, Beijing 100070, China
*
Author to whom correspondence should be addressed.
Forests 2024, 15(11), 1906; https://doi.org/10.3390/f15111906
Submission received: 24 September 2024 / Revised: 21 October 2024 / Accepted: 26 October 2024 / Published: 29 October 2024

Abstract

The process of sustainable urban development faces complex and severe environmental problems. Therefore, enhancing urban ecological resilience (UER) has become an urgent and critical goal. In this study, the establishment of national forest cities (NFCs) in China is regarded as an exogenous shock event, and the impact of NFCs on UER and its mechanisms are investigated based on data from 292 cities spanning 2003 to 2021 using a difference-in-difference method. It is found that NFCs can significantly enhance UER, and this conclusion holds after a series of robustness tests. Mechanism analysis shows that NFCs can effectively strengthen environmental regulations, upgrade industrial structures, promote green innovation, and thus enhance UER. Heterogeneity analysis indicates that the effect of NFC on UER is more significant in low-carbon non-pilot cities, cities with higher levels of industrial development, and cities in central and western China. Spatial spillover analysis shows that NFCs can effectively improve the ecological resilience of neighboring cities. Therefore, NFCs should be continuously implemented and optimized to establish a long-term mechanism for urban forests to enhance ecological resilience.

1. Introduction

In recent years, external natural disasters such as earthquakes, floods, and wildfires have occurred frequently, while internal problems like environmental pollution, traffic congestion, and population overload have become increasingly severe [1]. The unpredictability of natural disasters and rising environmental pressures significantly impact the stability and sustainability of Chinese ecosystems [2]. However, in the face of these ecologically threatening issues, why are some urban ecosystems able to withstand external environmental pressures and remain sustainable, while others suffer severe damage and collapse? Urban ecological resilience (UER) is key to understanding this question and has attracted the attention of many scholars [3,4,5]. UER refers to the ability of urban ecosystems to maintain stability, functionality, and recoverability when subjected to external disturbances and damages [6,7]. A stronger UER not only serves as a strong guarantee for urban ecosystems to withstand environmental pressures but also acts as an important focus point for maintaining ecosystem stability. Therefore, how to enhance UER is the main problem that needs to be addressed in the sustainable development of ecosystems, which is of great significance to promote the construction of ecological civilization in China.
Since the reform and opening up, China has provided a strong impetus for economic development through rapid urbanization and large-scale urban expansion, contributing to the rising global share of the total economy, which has ranked second in the world for many consecutive years. However, the excessive pursuit of economic growth has focused more on short-term benefits, posing a great threat to the ecosystem and seriously hindering ecological sustainable development [3]. To effectively improve the urban environment and the sustainable development of ecosystems, the Chinese government has begun to comprehensively promote the construction of national forest cities (NFCs) oriented toward ecological protection. NFCs are the cities in which the urban ecosystems are dominated by forest vegetation and the urban ecological construction achieves integrated development of urban and rural areas [8]. On the one hand, NFCs can increase green areas and coverage, improve green infrastructure, and cultivate social awareness of environmental protection, which directly enhances UER [9]. On the other hand, NFCs adhere to the concept of urban sustainable development, effectively strengthening environmental regulations, upgrading industrial structures, and promoting green innovation; these indirect impacts are also important for enhancing UER [10,11,12]. Taken together, NFCs are an important driving force for promoting ecological civilization and green development in China, providing a new direction for enhancing UER.
Forest cities are an important part of a country’s green infrastructure development [1]. A small number of studies have explored the impact of green infrastructure on UER. For example, Gómez-Baggethun et al., based on the case of cities in the U.S., found that urban vegetation is effective in increasing urban resilience to climate change through the provision of ecosystem services [13]. Green et al., focusing on Vancouver, Canada, and London, U.K., found that investing in green infrastructure can reduce urban ecological vulnerability [14]. Suarez et al., based on the case of Madrid, the capital of Spain, found that ecosystem services provided by green infrastructure are an important factor in enhancing UER [15]. These studies primarily focus on developed countries such as the United States, Spain, and the United Kingdom, where the increase in UER is mainly attributed to spontaneous policy innovations and extensive proactive community participation in cities due to the high degree of local autonomy in these countries [16]. However, unlike developed countries, in China, a developing country, the central government has a stronger influence on local policymaking [17]. Therefore, China’s NFCs have a top-down governance model, which may lead to the loss of some autonomy for cities in terms of forest construction. However, through the application of stronger constraints, it can effectively strengthen the policy’s impact on enhancing UER. Our research in this context will not only provide evidence from developing countries internationally but also offer lessons from China for emerging economies in Southeast Asia and Africa.
By reviewing related studies, we find that previous studies have certain limitations, and we make targeted additions to address them. Specifically, the spontaneous construction of forest cities in developed countries can create significant self-selection problems for the study sample, which can affect the accuracy of the difference-in-difference model estimation. In contrast, our study samples Chinese cities, where NFCs are dominated by authoritative governance structure [18], and the construction of NFCs has a greater degree of randomness, making it more suitable for the difference-in-difference model. In addition, existing studies have focused on the causal relationship between NFCs and UER but have not discussed the internal role mechanisms; this limitation hinders a more in-depth and comprehensive exploration of enhancing UER [19]. For this reason, we not only analyze the direct impact of NFCs on UER, but also further explore the indirect role mechanisms. Finally, existing studies have found that the policy effect of NFCs on ecological resilience mainly relies on intercity cooperation within urban agglomerations [1], but they ignore the spillover effects among cities. To fill this gap, this study explores the spillover effects of NFCs on the ecological resilience of neighboring cities through both theoretical analysis and empirical tests, highlighting the role of cross-jurisdictional urban competition and synergy in local environmental governance.
Based on the above background, our research objectives focus on four main aspects. First, we aim to clarify the impact of NFC on UER and its internal mechanisms. Second, we aim to explore the heterogeneous effects of NFCs on UER and to delineate the boundaries of their role on UER. Third, based on the demonstration and diffusion effects among cities, we analyze the spillover effects of NFCs on the ecological resilience of neighboring cities. Fourth, we aim to provide suggestions for further optimization and promotion of the NFCs in China, and to provide evidence and experience from China for enhancing UER around the world. To accomplish these objectives, we explore the impact of NFCs on UER based on panel data of 292 Chinese cities from 2003 to 2021 using a multi-temporal difference-in-difference model and analyze the role mechanisms in terms of environmental regulations, industrial structures, and green innovation. In addition, we investigate the heterogeneous characteristics of NFCs affecting UER based on the different characteristics of each city in the three dimensions: low-carbon pilots, industrial development, and geographic location. We also analyze the spillover effects of NFCs on the ecological resilience of neighboring cities using spatial econometric models.
This study contributes to the existing literature in three aspects. First, unlike existing studies that primarily focus on samples and cases from developed countries, we study the impact of NFCs on UER and the underlying mechanisms from the perspective of Chinese cities. While cities in developed countries, such as the United States and the United Kingdom, benefit from a high degree of local autonomy that promotes the construction of forest cities, the construction of NFCs in China relies mainly on the coercive power of the central government, resulting in faster and more robust policy implementation. Consequently, the impact of China’s NFCs on UER differs significantly from those in developed countries. Our study not only assesses the effectiveness of NFCs in China, an emerging economy, but also provides important references and experiences for enhancing UER from the perspective of developing countries. Second, we integrate geographic and social sciences into our study, and this interdisciplinary intersection makes our study more scientific and reliable. The spatial distribution characteristics of NFCs, as depicted by the ArcGIS geographic information processing tool, provide a basis for verifying the stochasticity of the difference-in-difference model. Additionally, the first law of geography offers a theoretical framework for exploring the spillover effects of NFCs. This innovative interdisciplinary perspective effectively improves the research system of UER governance. Finally, regarding the effects of sustainable urban development policies in China, existing studies have focused on coordination within individual cities or city clusters, while spillover effects among cities require further examination. We explore the spillover effects of NFCs in terms of cross-jurisdictional intercity demonstration effects and technology diffusion effects, empirically testing them using a variety of spatial econometric models. Our research provides an effective environmental governance paradigm for enhancing UER through intercity cooperation and coordination.

2. The Current State of Knowledge

2.1. Urban Forests

Urban forests are an important initiative for China to realize high-quality development and should bear the significant mission of promoting sustainable development in China. Studies have examined the economic and ecological effects of urban forests. In terms of economic effects, urban forests can promote economic growth, improve productivity, and increase housing value. Urban forests can link urban ecosystems to economic growth, and improved ecological environments are important drivers of economic development by facilitating the healthy development of human bodies and minds, improving cognitive levels, and promoting productivity and creativity [20]. NFCs can improve total factor productivity and human capital through the improvement of the ecological environment, thus promoting economic growth [9]. Arantes et al. explored the relationship between urban forest cover and per capita income, and found that, in the more urbanized areas, the increase in urban forest cover is conducive to the improvement of per capita income [21]. Urban forests provide benefits to the local residential population through the provision of ecosystem services [22], which in turn have an impact on housing value. For example, Ewane et al. found that urban forest size, vegetation type, and degree of greenness all contribute to higher housing prices [23]. NFCs are an important initiative for sustainable urban economic development and can effectively improve productivity. At the macro level, NFCs can promote green innovation and optimize land spatial allocation, which in turn can promote the rise of urban green total factor productivity [12]. At the micro level, NFCs can help workers maintain their physical and mental health and concentration, which can improve the quality of labor supply and thus enhance the labor productivity of enterprises [10]. In addition, forests can contribute to sustainable poverty reduction, including by promoting employment and income [24].
In terms of ecological effects, urban forests can reduce air and water pollution and increase green coverage. Forested areas show much lower levels of haze pollution than urban areas [25]. NFCs can significantly reduce haze pollution [26], and this effect is more pronounced in the urban agglomeration of the Pearl River Delta (PRD), in second-tier cities, and in eastern cities [27]. In addition, Cao et al., found that urban forest area, the aggregation index, and patch size inhibit haze pollution during the highly polluted winter season [28], and Xu et al. found that the construction of NFCs not only reduces local haze pollution but also reduces haze pollution in neighboring areas [29]. For sulfur dioxide emissions, Li and Zhao found that NFCs can reduce sulfur dioxide emissions by strengthening environmental regulations and forming a green development model [11]. For carbon dioxide emissions, Liao et al., found that NFCs not only directly increase forest carbon sinks and green space but also indirectly promote green innovation and reduce energy consumption, thus reducing carbon dioxide emissions [8]. For water pollution, Wang et al. found that an increase in urban forest area can reduce nitrogen and phosphorus pollution in water bodies [30]. Moreover, NFCs can improve the urban living environment; for example, Zhang et al. found that NFCs can increase the total amount of green space, green space per capita, and green coverage [31].

2.2. Ecological Resilience

UER is used to characterize the ability of urban ecosystems to withstand external pressures and to recover and rebuild [2]. The influencing factors of ecological resilience can be categorized into two aspects: the external environment, such as the policy system and natural factors, and the internal development, such as infrastructure and population size. In terms of the external environment, from the perspective of the policy system, Jiang and Jiang found that regional integration policy can improve urban economic resilience, but it has a negative effect on UER [32], and Jiang et al. found that the policy of broadband China can improve the resilience of the economy, society, and infrastructure, but it is not conducive to the enhancement of the UER [33]. In terms of natural factors, Liu et al. studied the effect of temperature on UER in the Tibetan Plateau region of China and found that temperature can effectively improve UER [34]. Kosmas et al. found that land degradation has an inhibitory effect on the enhancement of ecological resilience [35]. Chaffin et al. studied the effects of biological invasion on ecological resilience and found that biological invasion reduces ecological resilience by diminishing biodiversity [36].
In terms of internal development, population agglomeration inhibits local ecological resilience but enhances the ecological resilience of neighboring areas [5]. Shi et al., found that population growth depletes resources, creates pollution, and reduces vegetation cover, which is not conducive to enhancing ecological resilience [37]. Infrastructure development significantly impacts UER; Suarez et al. and Wu et al. both found that green infrastructure, as a type of eco-infrastructure, contributes positively to UER [4,15]. Jiang et al. investigated the role of information infrastructure and found that information infrastructure can enhance UER, but it is not conducive to the enhancement of ecological resilience in neighboring cities [38]. Wang et al. examined the impact of road infrastructure and found that high-speed rail, although it can enhance the economic and institutional resilience of the city, negatively impacts UER [39]. Additionally, other intra-city factors also affect UER; for example, Alberti and Marzluff found that land use distribution significantly impacts UER [40]. Zhang et al. found that factor mismatch is detrimental to enhancing UER [41], while Tang et al. found that upgrading of the industrial structures can effectively enhance UER, although the rationalization of the industrial structures does not significantly impact ecological resilience [42].
Although existing studies have explored the ecological effects of urban forests, they have mainly focused on the impact of NFCs on haze pollution, carbon dioxide emissions, and green coverage. Xu et al. explored the impact of NFCs on UER, but they mainly focused on the differences of this impact in different urban agglomerations and did not address the intrinsic mechanisms and the spillover effects on neighboring cities [1], which our study can complement. China began to build NFCs in 2004, and as of 2021, there are 193 NFCs in the country. As shown in Figure 1, the distribution of the NFCs basically covers the eastern, central, and western regions of China. There are significant differences in economic development, resource endowment, and technological innovation, which ensures the representativeness of the samples in NFCs and provides a good opportunity for us to use the difference-in-difference method.

3. Policy Background and Theoretical Analysis

3.1. Policy Background

Since the reform and opening up, China’s crude economic development model has brought enormous pressure and challenges to the ecological environment. To promote the construction of ecological civilization and sustainable regional development, the China Greening Committee (CGC) and the State Forestry Administration (SFA) initiated the evaluation process for NFCs in 2004, with Guiyang becoming the first city in China to be awarded the title. In 2007, the SFA formally announced the evaluation criteria of the NFCs, marking the transition to a more standardized and uniform evaluation process. In 2013, the “Outline for Promoting the Construction of Ecological Civilization (2013–2020)” issued by the SFA further emphasized the role of NFCs in urban ecological protection. In 2016, the Chinese People’s Congress reviewed and adopted the “Outline of the Thirteenth Five-Year Plan for the Development of the National Economy and Society”, which explicitly listed NFCs as a national strategy for promoting the construction of ecological civilization. By 2024, 219 NFCs had been established across the country, effectively improving the urban ecological environment and comprehensively promoting the harmonious development of humans and nature.
NFCs have integrated the concept of ecological civilization into urban construction, providing a strong impetus to enhance the UER. First, NFCs have effectively strengthened environmental regulations, leading to significant improvements in environmental quality. In 2021, the national fiscal expenditure on environmental protection reached CNY 552.5 billion, about 4.5-times higher than in 2007. Sulfur dioxide emissions are projected to be reduced by about 89% compared to 2007, while the rate of harmless treatment of urban household waste is expected to rise by about 61% in the same period. Second, NFCs effectively promote the transformation of traditional industries, significantly optimizing the industrial structures. As of 2021, the added value of China’s tertiary industry (based on the standards of the National Economic Industry Classification [43], the tertiary industry includes the following: transportation, warehousing, and postal services; information transmission, computer services, and software; wholesale and retail trade; lodging and catering; finance; real estate; leasing and business services; scientific research, technical services, and geological survey; water conservancy, environment, and public facilities management; residential services and other services; education; health, social security, and social welfare; culture, sports, and recreation; public administration and social organizations; international organizations) has increased by 11.3% year-on-year, growing faster than that of the industry by 10.3%. Compared to 2007, the proportion of the tertiary industry has increased by 10.6%. Third, NFCs provide a favorable environment for green innovation, resulting in fruitful outcomes. In 2021, China’s fiscal expenditure on science and technology was CNY 967 billion, accounting for 3.9% of the general public budget expenditure, which is an increase of about 3.5 times compared to 2007. Thus, the construction of NFCs has not only driven the continuous improvement of China’s ecological environment but also steadily enhanced the ecological vitality of cities, offering valuable insights for the sustainable development of ecological environments worldwide.

3.2. Theoretical Analysis

UER refers to the adaptive capacity of urban ecosystems to return to a stable state when subjected to natural disasters or other uncertain shocks [44]. Based on the concept of green development, NFCs are committed to creating a localized, diversified, and interconnected urban ecological protection system, which serves as an important driving force for restoring urban ecosystems [45]. The direct effects of NFCs on UER manifest in three aspects. First, NFCs prioritize the construction and protection of forests as a key task, which effectively promotes an increase in green space and a rise in greening coverage and greatly improves urban ecosystems and environments, thus enhancing UER [1,31]. Second, NFCs can build and improve green infrastructure, such as forest parks and green transportation systems, providing vital ecosystem services that contribute to urban ecological quality and resilience [9]. Third, NFCs emphasize cultivating social awareness of environmental protection, which encourages the public to adopt green lifestyles and stimulates enterprises to implement sustainable production practices, effectively reducing environmental pollution and improving UER [27]. Accordingly, we propose the following:
H1: 
NFCs can increase UER.
The construction of NFCs adheres to the sustainable development concept of harmony between human beings and nature, which is a primary focus of strengthening environmental regulations. First, NFCs require local governments to establish an environmental protection system, improve the ecological compensation and environmental penalty systems, strictly regulate all forms of pollution emissions, and strengthen penalties for ecological and environmental damage [10]. Second, NFCs effectively raise citizens’ awareness of environmental protection, strengthen public supervision of policy implementation, reduce information asymmetry between the government and the public, and help bolster the government’s enforcement of environmental regulations [11]. Third, NFCs adopt a dynamic assessment mechanism, whereby a city awarded the title of national forest city will have its title revoked if it fails two audits within five years. NFCs are significant honors for the construction of ecological civilization in cities, and local officials are pressured to increase environmental regulations under the scrutiny of ecological and environmental performance assessment [9]. Strict environmental regulations are foundational for urban ecology to withstand environmental pressures and achieve sustainable development, significantly effecting ecological resilience [1]. On the one hand, stronger environmental regulations can mitigate climate change, reduce energy consumption, and improve air quality, thereby weakening the negative impacts of industrial activities and urban sprawl on ecosystem, thus enhancing the resilience of urban ecology to environmental pressures [46]. On the other hand, the strengthening of environmental regulations can guide and promote urban governments to implement more proactive and effective measures, further improve the construction of urban environmental infrastructure, and enhance management levels, providing institutional safeguards and resource support for damaged ecosystems, which in turn boosts their ability to recover and adapt [47]. Thus, we propose the following:
H2: 
NFCs can enhance UER by strengthening environmental regulations.
The construction of NFCs implements the new development concept and can effectively promote the upgrading of industrial structures. On the one hand, NFCs advocate the adoption of clean development strategies by enterprises, explicitly limiting the crude expansion of industrial sectors and imposing strict penalties on high-emitting enterprises. This can effectively promote the transformation of high-polluting industries, primarily resource-intensive ones, into environmentally friendly industries [10,12]. On the other hand, through planning guidance and policy support, NFCs have fostered forest tourism, forestry ecological services, and other industries related to environmental and ecological protection around forests, contributing to the development of eco-industries and green industries, and effectively upgrading the industrial structures [8,48]. With the upgrading of the industrial structures, highly polluting and energy-consuming industries are gradually reduced and replaced by more environmentally friendly and sustainable industries, mainly knowledge-intensive sectors [5]. Reducing highly polluting industries can promote a decrease in pollutant emissions and enhance the resilience of urban ecosystems to environmental pressures [49]. Increasing the proportion of emerging industries is conducive to promoting industrial diversification and specialization, facilitating economies of scale, promoting the sharing of specialized labor and high-value production factors, and helping urban ecosystems recover their vitality quickly after damage [42]. From this, we propose the following:
H3: 
NFCs can enhance UER by upgrading industrial structures.
Integrating green innovation into all aspects of urban development can effectively enhance UER. On the one hand, green innovation is useful for developing clean energy and using energy-saving equipment, which promotes the improvement of energy use efficiency and reduces pollution emissions at the source, thus enhancing the ability of urban ecosystems to withstand environmental pressures [29,50]. On the other hand, after the ecological environment has been damaged, green innovation facilitates the research and development of pollution treatment and reuse equipment, improving the speed and efficiency of addressing pollution emissions, thereby strengthening the ecosystem’s ability to restore balance [51]. However, green innovation projects are characterized by high risk, high investment, and high uncertainty, leading enterprises to face significant resistance when undertaking these projects [52]. The NFCs prioritize green innovation development as one of their main goals, effectively reducing the resistance to such initiatives. First, the construction of NFCs can beautify the urban environment and create a high-quality habitat, which is conducive to attracting high-caliber technical talents and providing human resources for green innovation projects, thereby reducing the uncertainty associated with these initiatives [9]. Second, NFCs not only require local governments to provide fiscal subsidies for green innovation projects but also attract more external investment, effectively alleviating the financing constraints faced by green innovation [10,53]. Third, under the construction requirements of the NFCs, the government has introduced a series of policies related to green innovation by integrating urban development resources, providing policy support for the transformation of green innovation results, and effectively reducing the high risk of green innovation projects [11]. From this, we propose the following:
H4: 
NFCs can enhance UER by promoting green innovation.

4. Research Design

4.1. Data Sources

In the time dimension of the sample, the data on the green coverage rate of built-up areas in Chinese cities began in 2003, so the time of the research sample began in 2003. Moreover, based on the availability and continuity of data, we ultimately selected 292 cities in China from 2003 to 2021 as the study sample. The data at the city level in China mainly come from China Urban Statistical Yearbook and China Regional Economic Statistical Yearbook, and the data on urban green patents are sourced from the State Intellectual Property Office of China.

4.2. Variable Construction

4.2.1. Explained Variable

We refer to Yin et al. and Zhou et al. to measure UER by assigning it three dimensions: ecological pressure, governance capacity, and service capacity [2,54]. Common assignment methods include hierarchical analysis, principal component analysis, and the entropy value method. Hierarchical analysis can be affected by the subjectivity of the assignment, and principal component analysis may result in information loss due to data dimensionality reduction [55]. Therefore, we measure UER using the entropy value method based on the three dimensions of ecological pressure, governance capacity, and service capacity. The comprehensive evaluation index system of UER is shown in Table 1.

4.2.2. Explanatory Variables

China has been selecting NFCs since 2004, and we refer to Ai and Zhou to set D I D i , t as the difference-in-difference term; if the city i is selected as a national forest city, it takes the value of 1 for that year and subsequent years; otherwise, it takes the value of 0 [9].

4.2.3. Control Variables

We refer to the studies of Wang et al. and Zhou et al. and select economic development, government expenditure, population density, human capital, opening to the outside world, and infrastructure development as control variables [39,54]. We winsorize the continuous variables at the 1% level to eliminate the effects of outliers, and the definitions of the main variables are shown in Table 2.

4.3. Modeling

The difference-in-difference method can be applied to the assessment of policy effects. The central tenet of the difference-in-difference method is to assess the effect of a policy by comparing the differences between treatment and control groups before and after the policy is implemented to eliminate the effects of potentially unobservable elements [1]. The standard difference-in-difference method requires that all individuals in the treatment group have the same time point of the policy shock, but NFCs are not established at exactly the same time point. In order to improve the accuracy of the assessment of policy effects, we used a multi-temporal difference-in-difference method to examine the impact of NFCs on UER, as shown in Model (1):
U E R i , t = α 0 + α 1 D I D i , t + α 2 X i , t + μ i + λ t + ε i , t
where i and t stand for city and year, respectively, and UER stands for UER. DID stands for NFCs. X stands for a set of control variables. μ are the city-fixed effects, λ are the year-fixed effects, and ε is the random error. We mainly focus on the coefficient α 1 , if α 1 > 0, it means that NFCs can enhance UER. To explore the role mechanisms of NFCs on UER, we also constructed an intermediary effect model, as shown in Equation (2):
U E R i , t = γ 0 + γ 1 D I D i , t + γ 2 X i , t + μ i + λ t + ε i , t M i , t = β 0 + β 1 D I D i , t + β 2 X i , t + μ i + λ t + ε i , t
where M represent the mediating variables; if β 1 is significant, it means that NFCs can enhance UER through the mediating variables. In addition, we use the moderated effect model to analyze the heterogeneous effects of NFCs on UER and use the spatial spillover effect model to analyze the spillover effects of NFCs on the ecological resilience of neighboring cities, and the method used in this paper is shown in Figure 2.

5. Empirical Results Analysis

5.1. Descriptive Statistics

The descriptive statistics of the main variables are shown in Table 3. The maximum value of UER is 0.91, the minimum value is 0.01, and the mean value is 0.31, indicating that there is a large gap between the UER, which is basically in line with the results obtained by Jiang and Jiang and Zhou et al. [32,54]. The standard deviation of DID is 0.41, which indicates that the fluctuations in the selection of NFCs do not vary greatly over the sample period.

5.2. Characteristics of UER Spatial Distribution

We use ArcGIS to map the ecological resilience of 292 cities in China in 2003, 2009, 2015, and 2021 (Figure 3). As can be seen from Figure 3, there is an obvious spatial clustering phenomenon in the UER in each period, and the cities with higher ecological resilience in 2003 are mainly concentrated in East China and South China, while the overall UER is at a relatively low level. However, with the passage of time, the UER in 2015 increased significantly, indicating that China’s UER has achieved remarkable results. In 2021, the overall UER is further improved, and cities with higher ecological resilience are mainly located in the Beijing–Tianjin–Hebei urban agglomeration, the Yangtze River Delta urban agglomeration, the Chengdu–Chongqing urban agglomeration, and the Pearl River Delta urban agglomeration.

5.3. Benchmark Regression

Table 4 demonstrates the results of the baseline regression on the impact of NFCs on UER. Column (1) of Table 4 shows that the coefficient of DID is positive and significant at the 1% level. Column (2) of Table 4 controls for city fixed effects and year fixed effects and clusters robust standard errors at the city level, and the coefficient of DID is significantly positive. Column (3) of Table 4 further incorporates a range of control variables, and the coefficient of DID is 0.022, significant at the 1% level. In terms of economic significance, compared to the control group, the NFCs enhance the ecological resilience of the treatment group by about 2.2%, and H1 is tested.
The regression results of the control variables show that the coefficient of Eco is significantly positive, indicating that economically developed cities often have diversified industrial structures and strong innovation abilities, which is conducive to the enhancement of the UER [32]. The coefficient of Gov is significantly positive, indicating that the fiscal expenditures can promote the construction of ecological projects, which is effective in enhancing the UER [34]. The coefficient of Pop is significantly negative, suggesting that high population density can bring about problems such as resource shortage and environmental pollution, thus reducing the UER [39]. The coefficient of Human is significantly positive, suggesting that the enhancement of human capital can improve UER through the synergistic effect of innovation [56]. The coefficient of Open is significantly negative, indicating that the increase in FDI can cause harm to the environment, thus reducing the UER, which is in line with the pollution paradise hypothesis [57].

5.4. Robustness Tests

5.4.1. Parallel Trend Test

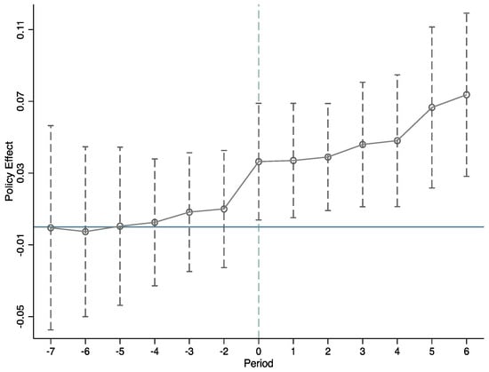
Prior to the establishment of the NFCs, we examined whether the trends in UER changes in the treatment and control groups are consistent to ensure that the modeling application satisfies the parallel trend assumption. We use the year before the establishment of the NFCs as the base period and close the observations at both ends of the window period outside the window period, to test the dynamic trend change in UER from 7 years before to 6 years after the establishment of the NFCs. The specific results are shown in Figure 4. Before the establishment of the NFCs, the dynamic effects of the policy are not significantly different from 0, indicating that there is no significant difference in the trends of UER changes between the treatment group and the control group, which satisfies the parallel trend assumption. After the establishment of the NFCs, the policy dynamic effects are significantly positive, and the policy dynamic effects gradually increase over time.

5.4.2. Placebo Test

If the results of the baseline regression are plausible, then new event shocks do not significantly affect the UER with randomly set treatment groups. Based on this, this study conducts a placebo test by randomly generating treatment groups. Specifically, each sample is given a randomized policy time, and to avoid the interference of small probability factors on the estimation results, this study conducts 1000 random draws. The kernel density distribution of the estimated coefficients is shown in Figure 5. Figure 5 shows that the mean value of the pseudo-regression coefficients in the placebo test is close to 0, which indicates a large gap from the true estimates of the explanatory variable, and the p-value of the vast majority of the estimated coefficients is greater than 0.1, indicating that the estimation results have a high degree of confidence.

5.4.3. Instrumental Variable Approach

Some unobservable omitted variables may lead to non-random selection of NFCs. Furthermore, there may be reverse causality between the independent variable and the dependent variable, whereby less ecologically resilient cities receive more attention from the government and are more likely to improve their ecological resilience through the implementation of NFCs. Therefore, the benchmark regression may have an endogeneity problem, which can interfere with the validity of the difference-in-difference method estimation. To overcome the estimation bias caused by the endogeneity problem, we refer to Li and Zhao and select the city slope as an instrumental variable for NFCs (IV) [11]. Whether the cities can be selected as NFCs is closely related to the amount and density of local forests, and forest formation and density are strongly influenced by urban slope [58]. Moreover, urban slope is a naturally occurring geographic variable that is strictly exogenous to ecological resilience.
Since we use the panel data, if urban slope is used directly as an instrumental variable, the regression would not be possible due to the fixed effects. Therefore, we use the product of urban slope and time dummy variable as instrumental variable [59]. The results of the regression based on the instrumental variable are shown in Table 5. Column (1) of Table 5 shows that the coefficient of the IV is significantly negative, satisfying the correlation assumption for the instrumental variable. Column (2) of Table 5 shows that the coefficient of DID is significantly positive, which is consistent with the results of the baseline regression, indicating that NFCs can enhance the UER.

5.4.4. Propensity Score Matching

The inherent differences between the cities in the treatment and control groups may lead to selection bias in the samples, which in turn creates an endogeneity problem. To mitigate this problem, we use the control variables in the baseline regression as covariates, predict the probability of each city being selected as an NFC through Logit regression, and then use the 1:1 nearest-neighbor matching method to match the samples of the treatment group to the control group, which has the most similar observable characteristics. Afterward, we regress the matched samples. Column (1) of Table 6 shows that the coefficient of DID is significantly positive, verifying the robustness of the benchmark regression.

5.4.5. Replacement of Explained Variable

We refer to Jiang and Jiang and use factor analysis to calculate UER (UER_robust) [32]. Column (2) of Table 6 shows that the regression coefficient of DID is significantly positive, indicating that NFCs can enhance UER, which is consistent with the results of the benchmark regression.

5.4.6. Removing the Interference of Administrative Hierarchical Differences

The four municipalities of Beijing, Tianjin, Shanghai, and Chongqing are much higher than other prefecture-level cities in terms of their level of economic development and policy support, which may interfere with the robustness of the estimation results. To avoid the interference of administrative level differences on the regression results, we further exclude the samples of municipalities. Column (3) of Table 6 shows that the regression coefficient of DID is significantly positive, indicating that NFCs can enhance UER, which verifies the robustness of the benchmark regression.

5.4.7. Removing Other Policy Interferences

It has been shown that the smart city policy [60], the broadband China policy [33], and the regional integration policy [32] all affect the UER. To exclude the error in the estimation results caused by these other policies during the sample period, we constructed dummy variables to represent the smart city policy (SC), broadband China Policy (BC), and regional integration policy (RI). These dummy variables are assigned a value of 1 if the city belongs to the policy pilot region and a value of 0 otherwise. After adding these three dummy variables to the control variables, Column (4) of Table 6 shows that NFCs can significantly enhance UER, which is consistent with the results obtained from the benchmark regression.

5.4.8. Removing Interference from Natural Factors

Climatic factors such as temperature, sunshine hours, and precipitation impact UER [34]. To exclude the interference of climatic factors, we further add the urban temperature (Temp), sunshine hours (Sun), and precipitation (Preci) to the control variables. Column (5) of Table 6 shows that NFCs can significantly enhance UER, which is consistent with the results obtained from the benchmark regression.

5.5. Mechanism Analysis

5.5.1. Environmental Regulations

NFCs uphold the concept of green development, and environmental regulations can be effectively strengthened by improving the environmental protection system [10], reinforcing supervision [11], and increasing assessment pressure [9]. Strict environmental regulations not only enhance the resilience of urban ecosystems to environmental pressures [46] but also enhance ecosystem recovery and adjustment [47]. Therefore, we propose that NFCs enhance UER by strengthening environmental regulations. To verify the mechanism of environmental regulations, we refer to Cheng et al. and Cheng and Wang and measure environmental regulations (ER) via the sulfur dioxide removal rate [61,62]. Column (1) of Table 7 shows that the coefficient of DID is significantly positive, indicating that NFCs can strengthen environmental regulations and thus enhance UER, and H2 is verified.

5.5.2. Industrial Structures

NFCs can effectively limit the development of highly polluting industries, which are mainly resource-intensive [12], and support the development of eco-industries and green industries [48], thus promoting the transformation of high-polluting industries into environmentally friendly ones. The upgrading of industrial structures not only enhances the ability of urban ecosystems to withstand environmental pressures but also helps urban ecosystems quickly revitalize after damage [42,49]. Therefore, we propose that NFCs enhance UER by upgrading industrial structures. To investigate this mechanism, we refer to Cui and Cao and measure industrial structures (IS) based on the proportion of value added of the tertiary industry to the value added of the secondary industry (based on the standards of the National Economic Industry Classification [43], the secondary industry includes the following: mining; manufacturing; electricity, gas, water production, and supply; construction) [63]. Column (2) of Table 7 shows that the coefficient of DID is significantly positive, indicating that NFCs can promote the upgrading of industrial structures, which in turn enhances UER, thus verifying H3.

5.5.3. Green Innovation

NFCs help to reduce uncertainty [9], ease financing constraints [53], and mitigate risks [11] in green innovation projects. Green innovation not only enhances the resistance of urban ecosystems to environmental pressures but also improves the ability of ecosystems to restore balance [50,51]. Therefore, we propose that NFCs enhance UER by promoting green innovation. To verify this mechanism, we refer to Huang and Yang and measure green innovation (GI) as the natural logarithm of green patent grants [64]. Column (3) of Table 7 shows that the coefficient of DID is significantly positive, indicating that NFCs can promote green innovation and thus enhance UER, thus verifying H4.

6. Further Analysis

6.1. Heterogeneity Analysis

6.1.1. Low-Carbon Pilots

China has always regarded cities as an important unit of action to address climate change and protect ecosystems. Consequently, China has established low-carbon pilot cities since 2010, a policy that combines macro-design and pilot demonstration, which is effective in strengthening environmental regulations in pilot areas [65]. In contrast, compared with low-carbon pilot cities, non-pilot cities have lower levels of environmental regulations. However, NFCs can effectively enhance environmental regulations in low-carbon non-pilot cities by improving environmental protection systems, strengthening supervision, and increasing appraisal pressure. Thus, NFCs may have a stronger contribution to ecological resilience in low-carbon non-pilot cities [9]. To verify the difference between low-carbon pilot cities and non-pilot cities, we set up a dummy variable LC, which takes the value of 1 if a city is selected as a low-carbon pilot and 0 otherwise. Column (1) of Table 8 shows that the coefficients of LC × DID is significantly negative, indicating that in low-carbon non-pilot cities, NFCs have a more significant contribution to UER.

6.1.2. Industrial Development

Industrial structure upgrading refers to the transformation of cities from traditional resource-intensive industries to more advanced knowledge-intensive industries. As a typical representative of resource-intensive industries, the industry’s traditional rough production method is not conducive to the sustainable development of the urban economy, which in turn hinders the upgrading of urban industrial structures [65]. NFCs can limit the development of the industrial sector and promote the development of eco-industries and green industries, facilitating the transformation of high-pollution industries to environmentally friendly ones. Thus, NFCs may have a stronger positive effect on UER [12]. To verify the difference between cities with different levels of industrial development, we measured industrial development by the share of the urban total industrial output value in GDP and created a dummy variable, ID, which takes the value of 1 if the level of industrial development is higher than the median of the total samples and 0 otherwise. Column (2) of Table 8 shows that the coefficients of ID × DID is significantly positive, indicating that in cities with higher levels of industrial development, NFCs have a more significant contribution to UER.

6.1.3. Geographical Location

China’s regional economic development is in an unbalanced state; compared with cities in the east, cities in central and western China are at a disadvantage in terms of economy, finance, and human capital [8]. The establishment of NFCs can attract more high-quality technical talent, increase external investment, and provide more policy support for central and western cities, which can effectively improve the green innovation level of these cities. Therefore, NFCs may have a stronger effect on UER [9]. To verify the difference between cities with different geographic locations, we set up a dummy variable, GP, which takes the value of 1 if a city belongs to the eastern region and 0 otherwise. Column (3) of Table 8 shows that the coefficient of GP × DID is significantly negative (the dummy variable GP is time-invariant, and to avoid the problem of multicollinearity with city fixed effects, the regression in column (3) of Table 8 does not include GP), indicating that in the central and western cities, NFCs have a more significant contributing effect on UER.

6.2. Spatial Spillover Effects

Under severe environmental pressure, the government’s strategy for coping with external shocks has shifted from bottom-up competition to emulating development models. Therefore, the promotion of UER by NFCs may have a demonstration effect on neighboring cities, thus enhancing their ecological resilience. Moreover, according to the first law of geography, the closer the distance, the stronger the connection between entities. NFCs require local enterprises to develop sustainably, undergo green transformation, accelerate technological innovation, and upgrade industrial structures. Additionally, innovation cooperation and geographic linkage between neighboring cities can promote the diffusion of technology and knowledge, positively impacting the ecological resilience of those cities. To verify the spatial spillover effects of NFCs on the ecological resilience of neighboring cities, we refer to Xu et al., who, based on the inverse distance weight matrix, utilize the spatial lag model (SLM), spatial Durbin model (SDM), and the spatial error model (SEM) for analysis [65].
In applying the spatial econometric models, we first verified the global spatial correlation of UER. The global Moran’s index for UER is shown in Table 9 and is significantly positive in each year, indicating a significant positive spatial correlation.
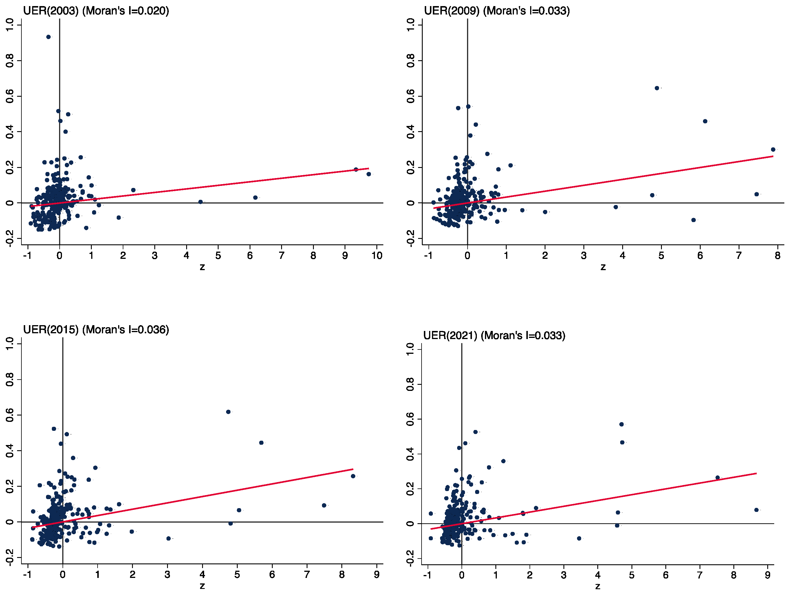
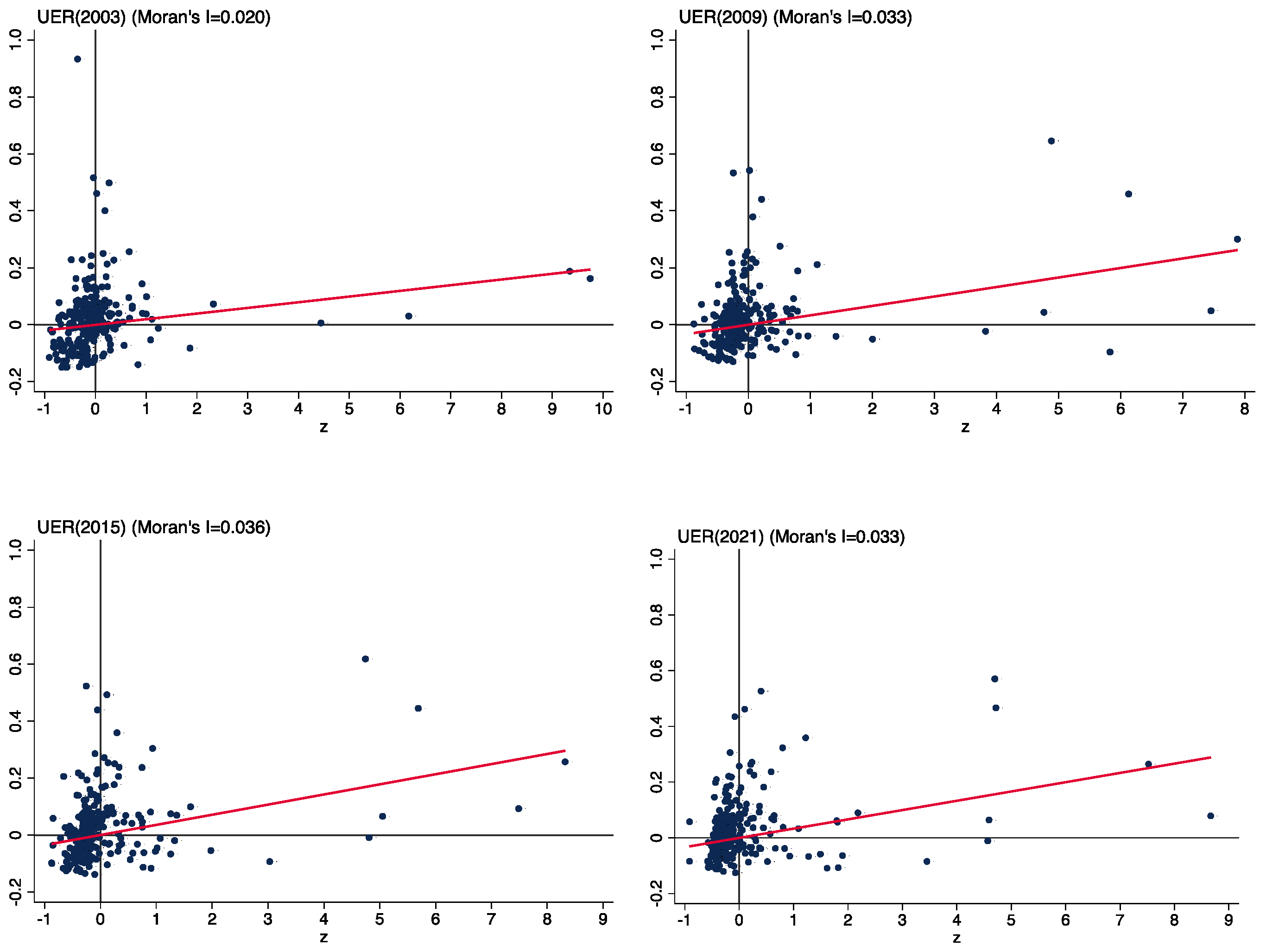
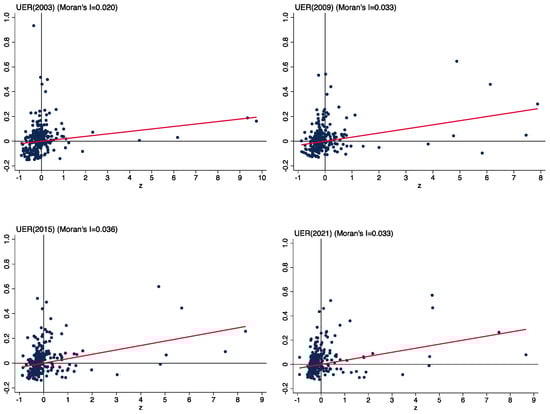
To examine the regional spatial characteristics of UER, we further conduct local correlation tests. To depict the spatial distribution of the UER, we use data from 2003, 2009, 2015, and 2021 to create scatter plots using the local Moran’s index. Figure 6 shows that most urban samples are located in quadrants 1 and 3, while a small number of samples are found in quadrants 2 and 4. This indicates that the spatial distribution of UER exhibits “high-high” and “low-low” clustering, demonstrating clear spatial clustering characteristics.
The results of our regression using SLM, SDM, and SEM are shown in Table 10. The spatial correlation coefficients in columns (1) to (3) of Table 10 are all significantly positive, indicating that there are significant spatial spillover effects of NFCs. Moreover, the coefficients of DID in columns (1) to (3) of Table 10 are all significantly positive, indicating that NFCs can still significantly enhance UER after considering spatial autocorrelation.

7. Discussion

In this study, we explore the impact of NFCs on UER in China based on the perspective of developing countries. We find that NFCs have a facilitating effect on UER, and we also analyze the heterogeneous characteristics of this effect in terms of the three dimensions: low-carbon pilots, industrial development, and geographic location. Additionally, we find that environmental regulations, industrial structures, and green innovation are the main channels through mechanism analysis. Furthermore, we examine the spatial spillover effects of NFCs on the ecological resilience of neighboring cities.
The existing literature mainly explores the impacts of NFCs on economic aspects such as economic growth [9], production efficiency [12], and labor supply [10], as well as ecological aspects such as haze pollution [26], carbon emissions [8], and green space area [31]. Regarding the influencing factors of UER, existing studies have primarily explored the roles of external environments, such as policy system and natural factors [33,34], as well as internal developments, such as infrastructure and industrial structures [4,42]. In contrast to these studies, we further contribute to the exploration of the impact of NFCs on UER. Focusing on the long-term development of ecosystems, NFCs serve as an important means to promote the sustainable development of urban ecosystems in a comprehensive way and are closely related to global sustainable development goals [2]. Our study not only enriches and expands the influencing factors of UER but also provides theoretical support and empirical evidence for the construction of forest cities in other developing countries.
Based on the role of NFCs in enhancing the UER, we believe that the government should further optimize the top-level design and strengthen system coordination. As a complex systematic project, the UER involves both the internal development and external environment of cities. Therefore, it is necessary to enhance the top-level design of the NFCs, effectively increasing the green area and green coverage based on regional ecological coordination and support among cities, utilizing the advantage of green vegetation to mitigate ecological pressures. Accelerating the construction of the NFCs, strengthening the development of forest parks, green transportation, and other infrastructure around the NFCs, will effectively enhance urban environmental carrying capacity and improve urban ecological quality. Additionally, cultivating social environmental awareness and promoting a low-carbon travel lifestyle will encourage enterprises to reduce environmental pollution through a green production mode, preventing ecological performance from being sacrificed for economic development and effectively improving ecological resilience.
The NFCs are an important way to promote ecologically sustainable development, as well as an important carrier for promoting urban ecological environmental protection and industrial structure optimization and upgrading. Therefore, in the process of promoting the construction of the NFCs, local governments should establish awareness of low-carbon environmental protection, strictly implement the strategy of environmental protection, and integrate the rule of law into ecological governance. At the same time, they should strengthen support for green innovation and guide technological advancements, accelerate the integration of digital technology and the environmental industry, and effectively respond to ecological and environmental emergencies with the help of technological means and decision-making ability. In the process of building the city, they must continuously promote the optimization of the industrial structures and foster a virtuous circle of urban nature, society, and ecology.
Because of the heterogeneity of the impact of NFCs on UER, it is important to formulate the overall program according to the local ecological and environmental conditions and socio-economic conditions, and to apply policies according to each city. Low-carbon non-pilot cities should improve environmental laws, strengthen environmental law enforcement, and take environmental regulations as an important tool for actively addressing climate change and improving ecological resilience. Cities with higher levels of industrial development should accelerate the transformation of traditional industries, expand the demand for new and future industries, further promote scientific and technological progress, facilitate the transformation of technological achievements, and introduce and manage the transfer and operation of high-precision industries according to demand. The country should focus on the existing development imbalance in the east, central, and west regions, relying on the ecological advantages of the central and western regions, and transfer more talents, capital, technology, and other factors to these regions, to support the high-quality development of urban ecosystems.
Ecological resilience can be affected by the construction of local and neighboring NFCs, so it is essential to enhance the ecological links among cities. Promoting interregional exchanges and cooperation in the NFCs is necessary to build platforms for collaboration among cities in related industries and environmental protection. Strengthening information exchange and sharing will help maximize the positive externalities of NFCs and enhance their function as “oxygen bars”, ultimately improving the overall UER.

8. Conclusions

Based on the panel data of 292 cities in China from 2003 to 2021, this paper regards the establishment of NFCs as an exogenous shock, constructs UER indicators using the entropy method, and utilizes the multi-temporal difference-in-difference method to study the impact and mechanisms of NFCs on UER. The research conclusions are as follows: first, NFCs significantly improve UER, and this conclusion holds after a series of robustness tests. Second, the mechanism analysis shows that NFCs promote UER by strengthening environmental regulations, upgrading industrial structures, and promoting green innovation. Third, heterogeneity tests show that NFCs have a more significant effect on ecological resilience in low-carbon non-pilot cities, cities with higher levels of industrial development, and cities in central and western China. Fourth, spatial spillover analysis shows that NFCs can effectively improve the ecological resilience of neighboring cities.
This study also has some limitations. Although we have assessed the impact of NFCs on UER using a difference-in-difference model, we do not further quantify the construction of NFCs. Future studies can quantify the construction of NFCs in more detail based on data such as urban forest area or urban forest coverage to draw more scientific and specific conclusions. In addition, this paper argues that developing countries represented by China are different from developed countries in that their forest city construction follows a top-down governance model that can effectively enhance UER, but we suggest further research based on cases or samples from other developing countries such as Vietnam and Brazil. In future research, developing countries in different continents such as Asia, Africa, and Latin America can be used as research objects to provide richer experiences and evidence from developing countries to enhance UER through forest city construction.

Author Contributions

Conceptualization, Z.S.; data curation, Z.S.; formal analysis, X.X.; funding acquisition, X.X.; investigation, Z.S.; methodology, Z.S.; project administration, X.X.; resources, X.X.; software, Z.S.; supervision, X.X.; validation, X.X.; visualization, Z.S.; writing-original draft, Z.S.; writing-review and editing, X.X. All authors have read and agreed to the published version of the manuscript.

Funding

This research was funded by the Beijing Municipal Social Science Foundation, grant number 23JJA006.

Data Availability Statement

The data will be provided upon request by the corresponding author.

Conflicts of Interest

The authors declared no conflicts of interest.

References

  1. Xu, C.; Huo, X.; Hong, Y.; Yu, C.; De Jong, M.; Cheng, B. How Urban Greening Policy Affects Urban Ecological Resilience: Quasi-Natural Experimental Evidence from Three Megacity Clusters in China. J. Clean. Prod. 2024, 452, 142233. [Google Scholar] [CrossRef]
  2. Yin, Z.; Ma, T.; Sun, Y.; Yin, Z. Spatio-Temporal Heterogeneity of Urban Ecological Resilience in the Middle Reaches of the Yangtze River in China. Int. Rev. Econ. Financ. 2024, 2024, 103384. [Google Scholar] [CrossRef]
  3. Wang, S.; Li, Z.; Long, Y.; Yang, L.; Ding, X.; Sun, X.; Chen, T. Impacts of Urbanization on the Spatiotemporal Evolution of Ecological Resilience in the Plateau Lake Area in Central Yunnan, China. Ecol. Indic. 2024, 160, 111836. [Google Scholar] [CrossRef]
  4. Wu, X.; Zhang, J.; Geng, X.; Wang, T.; Wang, K.; Liu, S. Increasing Green Infrastructure-Based Ecological Resilience in Urban Systems: A Perspective from Locating Ecological and Disturbance Sources in a Resource-Based City. Sustain. Cities Soc. 2020, 61, 102354. [Google Scholar] [CrossRef]
  5. Zhu, Q.; Xie, C.; Liu, J.-B. The Impact of Population Agglomeration on Ecological Resilience: Evidence from China. Math. Biosci. Eng. 2023, 20, 15898–15917. [Google Scholar] [CrossRef]
  6. Sliwa, M. Master plans and urban ecosystems: How the Poor Transform Land-Use from Rigid into Organic—A Case from Colombia. Habitat Int. 2017, 66, 1–12. [Google Scholar] [CrossRef]
  7. Capdevila, P.; Stott, I.; Oliveras Menor, I.; Stouffer, D.B.; Raimundo, R.L.G.; White, H.; Barbour, M.; Salguero-Gómez, R. Reconciling Resilience across Ecological Systems, Species and Subdisciplines. J. Ecol. 2021, 109, 3102–3113. [Google Scholar] [CrossRef]
  8. Liao, L.; Zhao, C.; Li, X.; Qin, J. Towards Low Carbon Development: The Role of Forest City Constructions in China. Ecol. Indic. 2021, 131, 108199. [Google Scholar] [CrossRef]
  9. Ai, H.; Zhou, Z. Green Growth: The Impact of Urban Forest Construction on Economic Growth in China. Econ. Model. 2023, 125, 106366. [Google Scholar] [CrossRef]
  10. He, W.; Cheng, Y.; Lin, Y.; Zhang, H. Microeconomic Effects of Designating National Forest Cities: Evidence from China’s Publicly Traded Manufacturing Companies. For. Policy Econ. 2022, 136, 102669. [Google Scholar] [CrossRef]
  11. Li, X.; Zhao, C. Can National Forest City Construction Mitigate Air Pollution in China? Evidence from a Quasi-Natural Experiment. Environ. Geochem. Health 2023, 45, 3003–3024. [Google Scholar] [CrossRef]
  12. Wang, Y.; Zou, F.; Guo, W.; Lu, W.; Deng, Y. Impact of Forest City Selection on Green Total Factor Productivity in China under the Background of Sustainable Development. Forests 2024, 15, 1064. [Google Scholar] [CrossRef]
  13. Gómez-Baggethun, E.; Barton, D.N. Classifying and valuing ecosystem services for urban planning. Ecol. Econ. 2013, 86, 235–245. [Google Scholar] [CrossRef]
  14. Green, T.L.; Kronenberg, J.; Andersson, E.; Elmqvist, T.; Gómez-Baggethun, E. Insurance Value of Green Infrastructure in and Around Cities. Ecosystems 2016, 19, 1051–1063. [Google Scholar] [CrossRef]
  15. Suárez, M.; Rieiro-Díaz, A.M.; Alba, D.; Langemeyer, J.; Gómez-Baggethun, E.; Ametzaga-Arregi, I. Urban Resilience through Green Infrastructure: A Framework for Policy Analysis Applied to Madrid, Spain. Landsc. Urban Plan. 2024, 241, 104923. [Google Scholar] [CrossRef]
  16. Homsy, G.C.; Warner, M.E. Cities and Sustainability: Polycentric Action and Multilevel Governance. Urban Aff. Rev. 2015, 51, 46–73. [Google Scholar] [CrossRef]
  17. Tambe, S.; Ballal, A.; Tomar, R.; Wyborn, C.; DeFries, R.; Ganguly, S.; Scarlett, L. Bridging science, policy and practice for sustainability: Towards a conceptual framework. Environ. Sci. Policy 2023, 145, 208–216. [Google Scholar] [CrossRef]
  18. Westman, L.K.; Castán Broto, V.; Huang, P. Revisiting multi-level governance theory: Politics and innovation in the urban climate transition in Rizhao, China. Political Geogr. 2019, 70, 14–23. [Google Scholar] [CrossRef]
  19. Nathwani, J.; Lu, X.; Wu, C.; Fu, G.; Qin, X. Quantifying security and resilience of Chinese coastal urban ecosystems. Sci. Total Environ. 2019, 672, 51–60. [Google Scholar] [CrossRef]
  20. Newell, R.G.; Prest, B.C.; Sexton, S.E. The GDP-Temperature Relationship: Implications for Climate Change Damages. J. Environ. Econ. Manag. 2021, 108, 102445. [Google Scholar] [CrossRef]
  21. Arantes, B.L.; Castro, N.R.; Gilio, L.; Polizel, J.L.; Silva Filho, D.F.D. Urban Forest and Per Capita Income in the Mega-City of Sao Paulo, Brazil: A Spatial Pattern Analysis. Cities 2021, 111, 103099. [Google Scholar] [CrossRef]
  22. Battisti, L.; Aimar, F.; Giacco, G.; Devecchi, M. Urban Green Development and Resilient Cities: A First Insight into Urban Forest Planning in Italy. Sustainability 2023, 15, 12085. [Google Scholar] [CrossRef]
  23. Ewane, E.B.; Bajaj, S.; Velasquez-Camacho, L.; Srinivasan, S.; Maeng, J.; Singla, A.; Luber, A.; de-Miguel, S.; Richardson, G.; Broadbent, E.N.; et al. Influence of Urban Forests on Residential Property Values: A Systematic Review of Remote Sensing-Based Studies. Heliyon 2023, 9, e20408. [Google Scholar] [CrossRef] [PubMed]
  24. Wang, L.; Wang, E.; Mao, X.; Benjamin, W.; Liu, Y. Sustainable Poverty Alleviation through Forests: Pathways and Strategies. Sci. Total Environ. 2023, 904, 167336. [Google Scholar] [CrossRef] [PubMed]
  25. Lee, A.; Jeong, S.; Joo, J.; Park, C.-R.; Kim, J.; Kim, S. Potential Role of Urban Forest in Removing PM2.5: A Case Study in Seoul by Deep Learning with Satellite Data. Urban Clim. 2021, 36, 100795. [Google Scholar] [CrossRef]
  26. Xie, H.; Tan, X.; Yang, C.; Li, C. Does Urban Forest Control Smog Pollution? Evidence from National Forest City Project in China. Sustainability 2022, 14, 12897. [Google Scholar] [CrossRef]
  27. Hu, C.; Chen, J.; Dong, J. Impact of City Forests on Haze Reduction—Implementation of the National Forest City Policy in China. Forests 2023, 14, 703. [Google Scholar] [CrossRef]
  28. Cao, W.; Zhou, W.; Yu, W.; Wu, T. Combined Effects of Urban Forests on Land Surface Temperature and PM2.5 Pollution in The Winter and Summer. Sustain. Cities Soc. 2024, 104, 105309. [Google Scholar] [CrossRef]
  29. Xu, C.; Dong, L.; Yu, C.; Zhang, Y.; Cheng, B. Can Forest City Construction Affect Urban Air Quality? The Evidence from the Beijing-Tianjin-Hebei Urban Agglomeration of China. J. Clean. Prod. 2020, 264, 121607. [Google Scholar] [CrossRef]
  30. Wang, R.; Liu, L.; Tao, Z.; Wan, B.; Wang, Y.; Tang, X.; Li, Y.; Li, X. Effect of Urbanization and Urban Forests on Water Quality Improvement in the Yangtze River Delta: A Case Study in Hangzhou, China. J. Environ. Manag. 2024, 351, 119980. [Google Scholar] [CrossRef]
  31. Zhang, Y.; Zhang, T.; Zeng, Y.; Cheng, B.; Li, H. Designating National Forest Cities in China: Does the Policy Improve the Urban Living Environment? For. Policy Econ. 2021, 125, 102400. [Google Scholar] [CrossRef]
  32. Jiang, N.; Jiang, W. How Does Regional Integration Policy Affect Urban Resilience? Evidence from Urban Agglomeration in China. Environ. Impact Assess. Rev. 2024, 104, 107298. [Google Scholar] [CrossRef]
  33. Jiang, W.; Wang, K.-L.; Miao, Z. Can Telecommunications Infrastructure Enhance Urban Resilience? Empirical Evidence from a Differences-in-Differences Approach in China. Environ. Dev. Sustain. 2023, 1–32. [Google Scholar] [CrossRef]
  34. Liu, L.; Zhang, Z.; Ding, S.; Yang, F.; Fu, T. Combined Effects of Climate Change on Urban Resilience in the Tibetan Plateau. Environ. Impact Assess. Rev. 2023, 102, 107186. [Google Scholar] [CrossRef]
  35. Kosmas, C.; Karamesouti, M.; Kounalaki, K.; Detsis, V.; Vassiliou, P.; Salvati, L. Land Degradation and Long-Term Changes in Agro-Pastoral Systems: An Empirical Analysis of Ecological Resilience in Asteroussia—Crete (Greece). CATENA 2016, 147, 196–204. [Google Scholar] [CrossRef]
  36. Chaffin, B.C.; Garmestani, A.S.; Angeler, D.G.; Herrmann, D.L.; Stow, C.A.; Nyström, M.; Sendzimir, J.; Hopton, M.E.; Kolasa, J.; Allen, C.R. Biological Invasions, Ecological Resilience and Adaptive Governance. J. Environ. Manag. 2016, 183, 399–407. [Google Scholar] [CrossRef]
  37. Shi, C.; Zhu, X.; Wu, H.; Li, Z. Assessment of Urban Ecological Resilience and Its Influencing Factors: A Case Study of the Beijing-Tianjin-Hebei Urban Agglomeration of China. Land 2022, 11, 921. [Google Scholar] [CrossRef]
  38. Jiang, W.; Wang, K.-L.; Miao, Z. How Does Internet Development Affect Urban Eco-Resilience: Evidence from China. Econ. Chang. Restruct. 2024, 57, 49. [Google Scholar] [CrossRef]
  39. Wang, K.-L.; Jiang, W.; Miao, Z. Impact of High-Speed Railway on Urban Resilience in China: Does Urban Innovation Matter? Socio-Econ. Plan. Sci. 2023, 87, 101607. [Google Scholar] [CrossRef]
  40. Alberti, M.; Marzluff, J.M. Ecological resilience in urban ecosystems: Linking urban patterns to human and ecological functions. Urban Ecosyst. 2004, 7, 241–265. [Google Scholar] [CrossRef]
  41. Zhang, R.; Kong, G.; Sun, H. Can New-Type Urbanization Promote Enterprise Green Technology Innovation?—A Study Based on Difference-in-Differences Model. Sustainability 2023, 15, 6147. [Google Scholar] [CrossRef]
  42. Tang, D.; Li, J.; Zhao, Z.; Boamah, V.; Lansana, D.D. The Influence of Industrial Structure Transformation on Urban Resilience Based on 110 Prefecture-Level Cities in the Yangtze River. Sustain. Cities Soc. 2023, 96, 104621. [Google Scholar] [CrossRef]
  43. GB/T 4754-2002; Industrial Classification for National Economic Activities. National Bureau of Statistics of China: Beijing, China, 2002.
  44. Holling, C.S. Resilience and Stability of Ecological Systems. Annu. Rev. Ecol. Syst. 1973, 4, 1–23. [Google Scholar] [CrossRef]
  45. Jones, B.A.; Goodkind, A.L. Urban Afforestation and Infant Health: Evidence from MillionTreesNYC. J. Environ. Econ. Manag. 2019, 95, 26–44. [Google Scholar] [CrossRef]
  46. Shamsipour, A.; Jahanshahi, S.; Mousavi, S.S.; Shoja, F.; Ansari Golenji, R.; Tayebi, S.; Alavi, S.A.; Sharifi, A. Assessing and Mapping Urban Ecological Resilience Using the Loss-Gain Approach: A Case Study of Tehran, Iran. Sustain. Cities Soc. 2024, 103, 105252. [Google Scholar] [CrossRef]
  47. Shono, A.; Kondo, M.; Ohmae, H.; Okubo, I. Willingness to Pay for Public Health Services in Rural Central Java, Indonesia: Methodological Considerations when Using the Contingent Valuation Method. Soc. Sci. Med. 2014, 110, 31–40. [Google Scholar] [CrossRef]
  48. Li, L.; Li, F.; Tao, C.; Cheng, B. The Impact of Spatial Agglomeration on Export of Forest Products Manufacturing in China: Evidence from Enterprises’ Data. J. Sustain. For. 2019, 38, 743–754. [Google Scholar] [CrossRef]
  49. Raihan, A.; Muhtasim, D.A.; Farhana, S.; Hasan, M.A.U.; Pavel, M.I.; Faruk, O.; Rahman, M.; Mahmood, A. Nexus between Economic Growth, Energy Use, Urbanization, Agricultural Productivity, and Carbon Dioxide Emissions: New Insights from Bangladesh. Energy Nexus 2022, 8, 100144. [Google Scholar] [CrossRef]
  50. Zhao, L.; Wang, D.; Wang, X.; Zhang, Z. Impact of Green Finance on Total Factor Productivity of Heavily Polluting Enterprises: Evidence from Green Finance Reform and Innovation Pilot Zone. Econ. Anal. Policy 2023, 79, 765–785. [Google Scholar] [CrossRef]
  51. Xu, L.; Fan, M.; Yang, L.; Shao, S. Heterogeneous Green Innovations and Carbon Emission Performance: Evidence at China’s City Level. Energy Econ. 2021, 99, 105269. [Google Scholar] [CrossRef]
  52. Gao, W.; Lv, G.; Li, Z. The Impact of Government Support on Firm Innovation: Evidence from China. Manag. Decis. Econ. 2023, 44, 3907–3922. [Google Scholar] [CrossRef]
  53. Shkaruba, A.; Kireyeu, V.; Likhacheva, O. Rural–Urban Peripheries under Socioeconomic Transitions: Changing Planning Contexts, Lasting Legacies, and Growing Pressure. Landsc. Urban Plan. 2017, 165, 244–255. [Google Scholar] [CrossRef]
  54. Zhou, Q.; Qiao, Y.; Zhang, H.; Zhou, S. How Does College Scale Affect Urban Resilience? Spatiotemporal Evidence from China. Sustain. Cities Soc. 2022, 85, 104084. [Google Scholar] [CrossRef]
  55. Liu, L.; Lei, Y.; Fath, B.D.; Hubacek, K.; Yao, H.; Liu, W. The Spatio-Temporal Dynamics of Urban Resilience in China’s Capital Cities. J. Clean. Prod. 2022, 379, 134400. [Google Scholar] [CrossRef]
  56. Brand, F. Critical Natural Capital Revisited: Ecological Resilience and Sustainable Development. Ecol. Econ. 2009, 68, 605–612. [Google Scholar] [CrossRef]
  57. Liu, S.; Zhang, P. Foreign Direct Investment and Air Pollution in China: Evidence from the Global Financial Crisis. Dev. Econ. 2022, 60, 30–61. [Google Scholar] [CrossRef]
  58. Sharma, C.M.; Baduni, N.P.; Gairola, S.; Ghildiyal, S.K.; Suyal, S. Effects of Slope Aspects on Forest Compositions, Community Structures and Soil Properties in Natural Temperate Forests of Garhwal Himalaya. J. For. Res. 2010, 21, 331–337. [Google Scholar] [CrossRef]
  59. Acemoglu, D.; Johnson, S.; Robinson, J. The Rise of Europe: Atlantic Trade, Institutional Change, and Economic Growth. Am. Econ. Rev. 2005, 95, 546–579. [Google Scholar] [CrossRef]
  60. Zhou, Q.; Zhu, M.; Qiao, Y.; Zhang, X.; Chen, J. Achieving Resilience through Smart Cities? Evidence from China. Habitat Int. 2021, 111, 102348. [Google Scholar] [CrossRef]
  61. Cheng, Z.; Li, X.; Zhang, Q. Can New-Type Urbanization Promote the Green Intensive Use of Land? J. Environ. Manag. 2023, 342, 118150. [Google Scholar] [CrossRef]
  62. Cheng, Z.; Wang, L. Can New Urbanization Improve Urban Total-Factor Energy Efficiency in China? Energy 2023, 266, 126494. [Google Scholar] [CrossRef]
  63. Cui, H.; Cao, Y. China’s Cities Go Carbon Neutral: How Can New-Type Urbanization Policies Improve Urban Carbon Performance? Sustain. Prod. Consum. 2023, 42, 74–94. [Google Scholar] [CrossRef]
  64. Huang, Z.; Yang, X. Carbon Emissions and Firm Innovation. Econ. Anal. Policy 2021, 69, 503–513. [Google Scholar] [CrossRef]
  65. Xu, S.; Zhong, M.; Wang, Y. Can Innovative Industrial Clusters Enhance Urban Economic Resilience? A Quasi-Natural Experiment Based on An Innovative Pilot Policy. Energy Econ. 2024, 134, 107544. [Google Scholar] [CrossRef]
Figure 1. Distribution of NFCs.
Figure 1. Distribution of NFCs.
Forests 15 01906 g001
Figure 2. The step-by-step diagram of methods.
Figure 2. The step-by-step diagram of methods.
Forests 15 01906 g002
Figure 3. Spatial distribution characteristics of UER.
Figure 3. Spatial distribution characteristics of UER.
Forests 15 01906 g003
Figure 4. Parallel trend test.
Figure 4. Parallel trend test.
Forests 15 01906 g004
Figure 5. Placebo test.
Figure 5. Placebo test.
Forests 15 01906 g005
Figure 6. Scatter plot of localized Moran’s index.
Figure 6. Scatter plot of localized Moran’s index.
Forests 15 01906 g006
Table 1. UER evaluation index system.
Table 1. UER evaluation index system.
TargetSubdimensionSpecific IndicatorsUnitOrientations
Urban ecological resilienceEcological pressureIndustrial sulfur dioxide emissionst
Industrial fume generationt
Industrial smoke emissionst
Industrial nitrogen oxide emissionst
Annual average concentration of respirable fine particulate matterμg/m3
Governance capacityComprehensive utilization rate of general industrial solid waste%+
Non-hazardous treatment rate of domestic waste%+
Centralized treatment rate of sewage treatment plants%+
Service capacityArea of landscaped green spacehm2+
Greening coverage in built-up areas%+
Note: t means ton, hm2 means one hundred square meters. “−” indicates that the specific indicator is a negative indicator, contributing negatively to urban ecological resilience. “+” indicates that the specific indicator is a positive indicator, contributing positively to urban ecological resilience.
Table 2. Variable definitions and descriptions.
Table 2. Variable definitions and descriptions.
SymbolsVariablesDefine
UERUrban ecological resilienceCalculated from Table 1
DIDNational forest city policyDifference-in-difference term
EcoEconomic developmentUrban GDP per capita
GovGovernment expenditureMunicipal general budget expenditures/general budget revenues
PopPopulation densityTotal urban population/area of administrative area
HumanHuman capitalNumber of pupils in urban primary schools × 6 + number of pupils in secondary schools × 6 + number of pupils in higher education × 4
OpenOpening to the outside worldTotal urban imports and exports/GDP
InfrasInfrastructure developmentNatural logarithm of total urban road mileage
Table 3. Descriptive statistics.
Table 3. Descriptive statistics.
VariablesNMeanSDMinMedianMax
UER55480.310.060.010.050.91
DID55480.220.410.000.001.00
Eco554810.290.838.2810.3811.97
Gov55480.470.220.090.431.02
Pop55480.420.290.020.341.36
Human55483.265.830.011.2032.22
Open55480.270.280.000.171.30
Infras55480.040.030.010.040.17
Table 4. The impact of NFCs on UER.
Table 4. The impact of NFCs on UER.
(1)(2)(3)
UERUERUER
DID0.310 ***0.037 ***0.022 ***
(0.016)(0.008)(0.008)
Eco 0.057 **
(0.023)
Gov 0.146 ***
(0.039)
Pop −0.339 ***
(0.127)
Human 0.024 ***
(0.003)
Open −0.085 ***
(0.017)
Infras 0.554
(0.728)
Cons0.582 ***0.641 ***0.990 ***
(0.008)(0.003)(0.219)
City FENoYesYes
Year FENoYesYes
N554855485548
R20.0600.8820.889
Note: UER represents urban ecological resilience. DID represents national forest cities. Eco, Gov, Pop, Human, Open, and Infras are control variables. Cons represents constant term. City FE represents city fixed effects; Year FE represents year fixed effects. N represents the number of observations. Values in parentheses are robust standard errors of clustering at the city level; *** and ** indicate that the test of significance is passed at the 1% and 5% levels, respectively.
Table 5. Instrumental variable approach.
Table 5. Instrumental variable approach.
(1)(2)
DIDUER
IV−0.102 ***
(0.001)
DID 0.022 **
(0.009)
Eco0.032 ***0.057 **
(0.008)(0.023)
Gov0.066 ***0.146 ***
(0.021)(0.039)
Pop−0.111−0.339 ***
(0.086)(0.127)
Human0.005 ***0.024 ***
(0.001)(0.003)
Open−0.043 ***−0.085 ***
(0.010)(0.017)
Infras0.5880.554
(0.400)(0.728)
Cons0.300 ***-
(0.083)-
City FEYesYes
Year FEYesYes
N55485548
R20.9390.009
Note: UER represents urban ecological resilience. DID represents national forest cities. IV represents instrumental variable. Eco, Gov, Pop, Human, Open, and Infras are control variables. Cons represents constant term. City FE represents city fixed effects; Year FE represents year fixed effects. N represents the number of observations. Values in parentheses are robust standard errors of clustering at the city level; *** and ** indicate that the test of significance is passed at the 1% and 5% levels, respectively.
Table 6. Robustness tests.
Table 6. Robustness tests.
(1)(2)(3)(4)(5)
UERUER_RobustUERUERUER
DID0.024 ***0.044 ***0.030 ***0.017 **0.021 ***
(0.008)(0.004)(0.007)(0.008)(0.008)
Eco0.065 **0.063 ***0.0270.052 **0.058 **
(0.025)(0.008)(0.021)(0.023)(0.024)
Gov0.141 ***−0.0210.103 ***0.133 ***0.147 ***
(0.045)(0.017)(0.035)(0.038)(0.040)
Pop−0.358 ***−0.089 **−0.422 ***−0.329 ***−0.334 ***
(0.137)(0.042)(0.120)(0.126)(0.127)
Human0.024 ***0.010 ***0.017 ***0.020 ***0.024 ***
(0.003)(0.001)(0.002)(0.003)(0.003)
Open−0.092 ***−0.030 ***−0.085 ***−0.077 ***−0.085 ***
(0.018)(0.007)(0.016)(0.017)(0.017)
Infras−0.516−0.0201.240 *0.5890.450
(0.825)(0.430)(0.708)(0.699)(0.732)
SC 0.057 ***
(0.009)
BC 0.065 ***
(0.010)
RI −0.015 *
(0.009)
Temp 0.004
(0.003)
Sun −0.013
(0.013)
Preci 0.138
(0.493)
Cons1.083 ***0.701 ***0.701 ***0.948 ***0.956 ***
(0.248)(0.083)(0.195)(0.218)(0.244)
City FEYesYesYesYesYes
Year FEYesYesYesYesYes
N51465548547255485548
R20.8830.6040.8930.8910.889
Note: UER represents urban ecological resilience. UER_robust represents urban ecological resilience calculated using factor analysis. DID represents national forest cities. Eco, Gov, Pop, Human, Open, and Infras are control variables. SC, BC, and RI represent the smart city policy, broadband China policy, and regional integration policy, respectively. Temp, Sun, and Preci represent temperature, sunshine hours, and precipitation, respectively. Cons represents a constant term. City FE represents city fixed effects; Year FE represents year fixed effects. N represents the number of observations. Values in parentheses are robust standard errors of clustering at the city level; ***, **, and * indicate that the test of significance is passed at the 1%, 5%, and 10% levels, respectively.
Table 7. Mechanism analysis.
Table 7. Mechanism analysis.
(1)(2)(3)
ERISGI
DID0.088 ***0.011 ***0.048 ***
(0.007)(0.001)(0.004)
Eco0.228 ***0.006 ***0.107 ***
(0.006)(0.001)(0.003)
Gov0.331 ***0.102 ***0.061 ***
(0.032)(0.008)(0.016)
Pop−0.627 ***−0.011−0.407 ***
(0.099)(0.021)(0.043)
Human0.012 ***0.003 ***0.004 ***
(0.001)(0.000)(0.001)
Open0.0140.031 ***0.033 ***
(0.016)(0.003)(0.007)
Infras0.5381.159 ***2.380 ***
(0.893)(0.410)(0.395)
Cons−2.017 ***0.120 ***−0.502 ***
(0.078)(0.027)(0.035)
City FEYesYesYes
Year FEYesYesYes
N554855485548
R20.7330.6950.854
Note: ER, IS, and GI represent environmental regulations, industrial structures, and green innovation, respectively. DID represents national forest cities. Eco, Gov, Pop, Human, Open, and Infras are control variables. Cons represents a constant term. City FE represents city fixed effects; Year FE represents year fixed effects. N represents the number of observations. Values in parentheses are robust standard errors of clustering at the city level; *** indicate that the test of significance is passed at the 1% levels.
Table 8. Heterogeneity analysis.
Table 8. Heterogeneity analysis.
(1)(2)(3)
UERUERUER
DID0.0040.067 ***0.016 ***
(0.009)(0.024)(0.004)
LC0.036 ***
(0.012)
LC × DID−0.057 ***
(0.016)
ID −0.093
(0.112)
ID × DID 0.858 ***
(0.241)
GP × DID −0.074 ***
(0.015)
Eco0.056 **0.054 **0.043 *
(0.023)(0.024)(0.023)
Gov0.147 ***0.150 ***0.151 ***
(0.039)(0.039)(0.039)
Pop−0.342 ***−0.305 **−0.309 **
(0.124)(0.125)(0.124)
Human0.024 ***0.023 ***0.024 ***
(0.003)(0.003)(0.003)
Open−0.087 ***−0.087 ***−0.070 ***
(0.017)(0.018)(0.018)
Infras0.5210.7230.748
(0.743)(0.743)(0.730)
Cons0.988 ***0.994 ***0.859 ***
(0.220)(0.232)(0.224)
City FEYesYesYes
Year FEYesYesYes
N554855485548
R20.8890.8900.890
Note: UER represents urban ecological resilience. DID represents national forest cities. LC, ID, and GP represent low-carbon pilots, industrial development, and geographical location, respectively. Eco, Gov, Pop, Human, Open, and Infras are control variables. Cons represents a constant term. City FE represents city fixed effects; Year FE represents year fixed effects. N represents the number of observations. Values in parentheses are robust standard errors of clustering at the city level; ***, **, and * indicate that the test of significance is passed at the 1%, 5%, and 10% levels, respectively.
Table 9. Global Moran’s index.
Table 9. Global Moran’s index.
YearMoran’s IZ (I)YearMoran’s IZ (I)YearMoran’s IZ (I)
20030.020 ***5.25920100.040 ***9.39720170.036 ***8.363
20040.024 ***6.18520110.040 ***9.39620180.034 ***8.045
20050.042 ***9.92920120.031 ***7.36920190.032 ***7.642
20060.022 ***5.60820130.029 ***6.90120200.033 ***7.777
20070.018 ***4.78320140.025 ***6.15020210.033 ***7.836
20080.023 ***5.81020150.036 ***8.323
20090.033 ***7.82620160.032 ***7.572
Note: Moran’s I represents Moran’s index. *** indicate that the test of significance was passed at the 1% levels.
Table 10. Spatial spillover effects of NFCs.
Table 10. Spatial spillover effects of NFCs.
SDMSARSEM
(1)
UER
(2)
UER
(3)
UER
DID0.040 ***0.027 ***0.019 **
(0.015)(0.008)(0.009)
W × DID0.105 ***
(0.021)
rho0.807 ***0.553 ***
(0.041)(0.055)
lambda (computing) 0.869 ***
(0.026)
sigma2_e0.138 ***0.030 ***0.029 ***
(0.003)(0.001)(0.001)
Eco0.120 ***0.016 *0.025
(0.017)(0.009)(0.018)
Gov0.0250.115 ***0.106 ***
(0.051)(0.032)(0.037)
Pop−0.430 ***−0.384 ***−0.332 ***
(0.032)(0.060)(0.094)
Human0.041 ***0.028 ***0.024 ***
(0.001)(0.002)(0.002)
Open−0.144 ***−0.088 ***−0.083 ***
(0.023)(0.014)(0.015)
Infras0.521 *0.5910.680
(0.274)(0.563)(0.715)
W × ControlYesNoNo
City FEYesYesYes
Year FEYesYesYes
N554855485548
R20.5140.4400.423
Note: SDM, SAR, and SEM represent the spatial lag model, spatial Durbin model, and spatial error model. UER represents urban ecological resilience. DID represents national forest cities. W represents the inverse distance weight matrix. Eco, Gov, Pop, Human, Open, and Infras are control variables. City FE represents city fixed effects; Year FE represents year fixed effects. N represents the number of observations. Values in parentheses are robust standard errors of clustering at the city level; ***, **, and * indicate that the test of significance is passed at the 1%, 5%, and 10% levels, respectively.
Disclaimer/Publisher’s Note: The statements, opinions and data contained in all publications are solely those of the individual author(s) and contributor(s) and not of MDPI and/or the editor(s). MDPI and/or the editor(s) disclaim responsibility for any injury to people or property resulting from any ideas, methods, instructions or products referred to in the content.

Share and Cite

MDPI and ACS Style

Xu, X.; Song, Z. National Forest City Policy and Urban Ecological Resilience: Evidence from 292 Cities in China. Forests 2024, 15, 1906. https://doi.org/10.3390/f15111906

AMA Style

Xu X, Song Z. National Forest City Policy and Urban Ecological Resilience: Evidence from 292 Cities in China. Forests. 2024; 15(11):1906. https://doi.org/10.3390/f15111906

Chicago/Turabian Style

Xu, Xinkuo, and Zenglu Song. 2024. "National Forest City Policy and Urban Ecological Resilience: Evidence from 292 Cities in China" Forests 15, no. 11: 1906. https://doi.org/10.3390/f15111906

APA Style

Xu, X., & Song, Z. (2024). National Forest City Policy and Urban Ecological Resilience: Evidence from 292 Cities in China. Forests, 15(11), 1906. https://doi.org/10.3390/f15111906

Note that from the first issue of 2016, this journal uses article numbers instead of page numbers. See further details here.

Article Metrics

Back to TopTop