Abstract
Vegetation restoration plays a crucial role in conserving soil and water, as well as rehabilitating ecosystems, by enhancing soil properties and vegetation attributes. The evaluation of the ecological consequences among different vegetation restoration types can be achieved by clarifying the impacts on carbon, water and nutrient storages. In this study, we selected four typical vegetation restoration types (Pinus tabuliformis forest (PTF), Platycladus orientalis forest (POF) and Robinia pseudoacacia forest (RPF) as typical planted forests, and the natural secondary forest (NSF) as the control treatment) in the eastern Loess Plateau of China. The soil properties (at 0–200 cm depth) and vegetation attributes (including arborous, shrubs and herbaceous plants) were measured, as well as calculated soil carbon, water and nutrient storages, with a total of 1600 soil samples and 180 vegetation survey plots. The partial redundancy analysis (pRDA) and correlation analysis were also used to analyze the contributions and relationships among environmental factors, soil eco-hydrology and nutrient supplement services in different forestry ecosystems. The results indicate the following: (1) NSF has the lowest soil bulk density (1.21 ± 0.184 g·cm−3). Soil properties varied significantly at vertical scales, and had obvious surface accumulation. (2) Soil moisture storages were better in natural forests than those in planted forests, with more drastic changes in soil moisture dynamics. (3) The soil carbon, nitrogen, and phosphorus storages significantly differed among four vegetation types, with the highest carbon storages in PTF (207.75 ± 0.674 t·ha−1), the highest nitrogen storages in POF (5.54 t·ha−1), and the highest phosphorus storages in RPF (4.33 t·ha−1), respectively. (4) Soil carbon storages depend primarily on the coupling effect of soil properties and precipitation, while nutrient storage is mainly influenced by soil properties. The results quantify the significant differences in soil water, carbon, and nutrient storage across various vegetation restoration types, and reveal the individual and combined contributions of environmental factors, providing new insights into the mechanisms driving these differences. These findings offer practical guidance for the sustainable management of forest ecosystems and the optimization of ecological restoration strategies on the Loess Plateau.
1. Introduction
Accelerated soil erosion, driven by grazing, agriculture, and mining, has plagued many regions worldwide for thousands of years due to soil misuse and vegetation cover removal [,,]. Among the most degraded landscapes in the world, the Loess Plateau of China shows the highest erosion rates [,]. The Loess Plateau has been significantly impacted by grievous soil erosion, vegetation degradation, and other challenges resulting from the combined effects of natural factors and human activities []. Therefore, in 1999, the administration initiated the “Grain-for-Green” eco-project and launched large-scale vegetation restoration measures, which have made remarkable progress. This aimed to increase natural vegetation coverage and biodiversity by modifying land use patterns, and effectively improving the natural environment [,]. Vegetation restoration plays a crucial role in soil and water conservation as well as ecological environment development on the Loess Plateau. It effectively reduces soil erosion and improves soil quality [,].
Studies have documented that the vegetation restoration has a profound effect on soil hydrology and ecological environment []. During the process of vegetation restoration, through interactions between vegetation and soil via surface litter and roots, soil physical properties and soil organism biomass are enhanced, leading to significant improvements in soil structure, water retention, thermal dynamics, and nutrient cycling [,]. This process boosts soil fertility by increasing vegetation cover and enhancing litter decomposition, creating a dynamic vegetation–litter–soil nutrient transfer continuum [,]. Studies have shown that revegetation significantly increases soil carbon and nutrient contents, including soil organic matter, nitrogen, phosphorus, and potassium [,]. The formation of large-scale new forests through vegetation restoration enhances carbon sequestration capacity, particularly in arid and semi-arid regions where tree species significantly increase soil organic carbon through root activity [,,]. On the Loess Plateau, where precipitation is low and evaporation high, soil moisture is critical for vegetation restoration and erosion prevention, while vegetation influences soil moisture by affecting hydrological processes, precipitation redistribution, and soil water dynamics, thereby enhancing soil moisture storage [].
Vegetation restoration can be conducted by planting and natural methods. Natural vegetation restoration improves community structure spontaneously, and planted vegetation changes the succession direction of understory vegetation, both of which can restore soil function [,]. The soil physicochemical properties of different vegetation types have significant spatial and temporal differences due to different ecological processes and landscape patterns []. Different vegetation structures and compositions lead to varying amounts of above-ground and below-ground attributes. Therefore, they have different effects on soil carbon, nitrogen, and phosphorus, as well as soil moisture []. Natural and planted vegetation restoration’s eco-environmental benefits remain controversial [,]. Relevant studies found that planted forests are more effective than natural forests in improving soil properties on the Loess Plateau, while trees and shrubs are more effective than herbs in improving soil properties []. Previous studies have indicated that soil moisture and nutrient contents in natural forests tend to be higher than in planted forests []. However, there is limited understanding of how different vegetation restoration types specifically influence soil water, carbon, and nutrient storage. This study addresses this gap by examining the distinct effects of both planted and natural forests on these key ecosystem components. Understanding these dynamics is crucial for optimizing ecological restoration strategies and providing theoretical support for sustainable forest ecosystem management.
In this study, we selected the natural secondary forests (NSF), planted Pl. orientalis forests (POF), planted P. tabulaeformis forests (PTF), and planted R. pseudoacacia forests (RPF) as different vegetation restoration types as the research objects in the typical watershed of the eastern Loess Plateau. The soil moisture was observed by conventional monitoring, and soil properties, soil nutrients, as well as vegetation attributes were measured during three vegetative seasons. This study hypothesizes that vegetation restoration types significantly influence soil properties and vegetation attributes, thereby impacting ecosystem functions such as water, carbon, and nutrient storage. Additionally, the study hypothesizes that differences between planted and natural forests may lead to varying levels of ecosystem services. The objectives of our study were: (1) to compare the differences in soil properties and vegetation attributes among various vegetation restoration types; (2) to quantify the water, carbon, and nutrient storage capacities under different vegetation types; and (3) to analyze the relationships and contributions of environmental factors to the storage capacities of soil water, carbon, and nutrients. This study aims to provide a scientific basis for selecting and sustainably managing vegetation restoration efforts in semi-arid regions like the Loess Plateau.
2. Materials and Methods
2.1. Study Area
The study site is the National Forest Ecosystem Field Scientific Observatory Station, located in Jixian, Shanxi Province, China (Figure 1). Our experimental site is situated in the Caijiachuan watershed (110°27′–111°7′ E, 35°53′–36°21′ N), a semi-humid region of the south-eastern Loess Plateau. The area is a unique gully region located on the Loess Plateau, characterized by a rising terrain in the east and a descending terrain in the west, encompassing altitudes ranging from 440 to 1820 m. The area of the watershed is 40.15 km2, and the total length of the watershed is about 14 km. In this region, three distinct subtypes of cinnamon soil have been identified: hilly cinnamon soil (Calcic Cambisols), ordinary cinnamon soil (Haplic Cambisols), and leached cinnamon soil (Luvic Cambisols). As a result of severe soil erosion, the original soil has largely been lost. Up to now, the soils observed were loess parent material. According to the observational data collected at the Jixian meteorological station (1956–now), the average annual precipitation recorded was 579.1 mm. The highest annual precipitation was recorded in 1956, reaching 828.9 mm, while the lowest annual precipitation occurred in 1997, measuring 277.7 mm. The maximum precipitation variability is 43.11%. Around 70% of the annual precipitation is typically recorded during June to September. The average annual evaporation is 1729 mm, the multi-year average temperature is 9.9 °C, the average illumination hours are 2563.8 h, and the average frost-free period is 172 days. The research area covers the transitional region between the warm temperate broad-leaved forest and the forest–steppe ecosystems. The forest coverage in the watershed is about 84%, with 194 common woody plants and 180 herbaceous plants (excluding crops). Natural secondary vegetation mainly includes Quercus liaotungensis K., Quercus aliena B., etc. Artificially constructed soil and water conservation shelter forests are mainly pure forests and various types of mixed forests formed by tree species such as Robinia pseudoacacia L., Pinus tabuliformis C., and Platycladus orientalis L. The crops mainly consist of corn, wheat, grain, and beans. The lower shrubs include Hippophae rhamnoides L., Lespedeza bicolor T., Pennisetum flaccidum G., and the barren grass slope includes Artemisia L., Lycium chinense M., Rosa xanthina L., etc.

Figure 1.
Location of the study area and experimental sites (a) and the schematic of the sample plots (b). Note: NSF, natural secondary forests; POF, Pl. orientalis forests; PTF, P. tabulaeformis forests; RPF, R. pseudoacacia forests.
2.2. Experimental Design
In the study area, we selected representative and typical planted plantations (Pinus tabuliformis forest (PTF), Platycladus orientalis forest (POF) and Robinia pseudoacacia forest (RPF)) and Quercus liaotungensis forest (natural secondary forest, NSF) as long-term observation sample sites based on a survey of vegetation in the watershed. Due to the selected tree species’ characteristics of drought tolerance, cold tolerance, and low water consumption, they possess both typicality and broad applicability during vegetation restoration, making them ideal candidates for vegetation restoration across the entire Loess Plateau []. According to historical records from the local forestry bureau, the initial soil conditions in both planted and natural forests were similarly poor at the time of afforestation.
Three 20 m × 20 m experimental plots for each vegetation type, totaling 12 plots, were selected for sampling and replication, ensuring consistent environmental conditions across all plots, including uniform topography, slope, and forest age (all over 30 years). In each sampling plot, soil profiles and vegetation surveys were conducted at three selected sampling points. The environmental conditions, such as aspect and slope of the sampling point, are made consistent to minimize differences in soil moisture caused by different site conditions, thus achieving a scientific, reasonable, representative, and typical sampling method. Table 1 provides the essential details regarding the experimental plots.

Table 1.
Basic information of the experimental plots.
2.3. Data Collection
2.3.1. Soil Sample Collection and Laboratory Analysis
In the middle of each plot, three soil profiles were dug during 2020–2022. Soil samples were collected at intervals of 10 cm within the 0–200 cm soil layer, and three intact soil samples were obtained from each layer using a cutting ring with a volume of 100 cm3. All samples were transported to the laboratory in sampling bags for further testing. The sampling method, time, distribution location, and treatment method of representative plots were consistent.
To conduct extended soil moisture monitoring, the ZL6 soil moisture monitoring system was employed. Monitoring sampling points were set up along the slope from the upper to the lower slope in different experimental plots. The average value represents the moisture content to minimize the sampling errors. The soil moisture monitoring system comprised a ZL6 data collector and six TEROS12 soil temperature and humidity probes. The probes were positioned at varying depths including 0–20, 20–40, 40–60, 60–100, 100–140, and 140–180 cm. Continuous soil moisture monitoring was conducted from 2017 to 2022.
The soil samples were first air-dried in the laboratory, followed by a determination of their physical and chemical properties. Soil bulk density (BD, g·cm−3) was measured using the oven-drying method. Soil pH was determined by the acidity meter method (PHS-3C, Leici, Shanghai, China). The K2Cr2O7 oxidation-reduction titration method was employed to determine the content of soil organic carbon (SOC, g·kg−1). The Kjeldahl method measures soil total nitrogen (TN, g·kg−1). The analysis of soil total phosphorus (TP, g·kg−1) was conducted using the NaOH fusion–molybdenum antimony anti–colorimetric method.
Soil moisture storage (SMS, mm), soil carbon stock (SCS, t·ha−1), soil nitrogen stock (SNS, t·ha−1), and soil phosphorus stock (SPS, t·ha−1) were calculated as follows:
where i indicates the soil layer number, while n represents the total number of soil layers, θi and Hi refer to the volumetric water content and soil depth, respectively, for the i soil layer. BDi is the bulk density of the i soil layer. The transfer coefficient is denoted by 10. Cfi, Nfi and Pfi denote the mass fraction of soil carbon, nitrogen, and phosphorus in the i soil layer. Vi represents the soil volume in the i soil layer.
2.3.2. Vegetation Survey Method
From May to September during the growing seasons of 2017–2022, a total of 20 sample plots (survey quadrat) were chosen, including natural secondary forests, P. tabulaeformis, Pl. orientalis, and R. pseudoacacia. Vegetation attribute data were counted according to the arborous, shrub, herbaceous and litter synusiae. For the vegetation survey, the quadrat sizes were 20 m × 20 m for arborous plants, 10 m × 10 m for shrub plants, and 1 m × 1 m for herbaceous plants and litter. For arborous and shrub attributes, the height, diameter at breast height (D.B.H.), crown width, branch diameter, and height below branch of all trees in the quadrats were measured and recorded. The species, height, branch diameter, coverage, and number of shrubs in the understory were counted. The mixed sample value for vegetation biomass was determined using the whole-plant harvest method. The coverage density (%) and crown size (m2) were calculated using a crown analyzer (LAI-2200, LI-COR, Tucson, AZ, USA). For herbaceous attributes, the coverage and species richness of each plant species in each quadrat were recorded in the survey quadrat. The species, height, coverage, base diameter, number and density of understory herbs were counted.
2.4. Statistical Analysis
For this study, Excel 2016 was employed for descriptive statistical analysis (i.e., mean ± standard deviation) for each index, including soil bulk density, water content, organic carbon, and nutrient content. One-way ANOVA and LSD were used to perform the significance test to determine the differences between statistical parameters. In order to analyze the mutual relations among different environmental factors and ecosystem nutrient storages, CANOCO 5.0 and R 4.0.5 were utilized for the execution of partial Redundancy Analysis (pRDA) and correlation analysis, respectively. Chart plotting was conducted using SigmaPlot 10.0, R 4.0.5, and Origin 2021.
3. Results
3.1. Soil Properties under Different Vegetation Restoration Types
Soil bulk density and pH displayed no significant variation across different types of vegetation restoration. In general (Figure 2a), the R. pseudoacacia forest showed the highest soil bulk density (1.36 ± 0.098 g·cm−3) in different soil layers, which increased continuously with the depth of the soil layer. The second highest (1.29 ± 0.187 g·cm−3) occurred in the Pl. orientalis forest, and the lowest (1.21 ± 0.184 g·cm−3) in the natural secondary forest. Notably, the soil bulk density in the natural secondary forest was significantly larger than that of the P. tabulaeformis forest in the topsoil layer (0–40 cm) but smaller in the 60–200 cm soil layer. Soil pH was weakly alkaline in all four vegetation restoration types (8.61, 8.45, 8.53, 8.43, Figure 2b), and this alkalinity showed a decreasing trend and then increased with the increase in soil depth, with the weakest value at 40 cm. There was a significant difference between soil CEC values (Figure 2c). The mechanical components of the soil in natural secondary forest, Pl. orientalis forest, P. tabulaeformis forest, and R. pseudoacacia forest showed a significantly higher content of sand than silt and clay particles (Figure 3), which were 73.3, 74.5, 73.9, and 70.3%, respectively. Specifically, the sand content of the Pl. orientalis forest was greater than that of the other woodlands, while the silt content was the smallest. The sand content was the smallest, the clay content was the largest in the R. pseudoacacia forest, and the silt content was the largest. However, the clay content was the smallest in the natural secondary forest.

Figure 2.
Soil properties of soil BD (a), soil pH (b), and soil cation exchange capacity (c) under different vegetation restoration types (NSF, natural secondary forests; POF, Pl. orientalis forests; PTF, P. tabulaeformis forests; RPF, R. pseudoacacia forests). Note: The difference in the lowercase letters for vegetation types at the different soil depths was significant, and the difference in the capital letters for different vegetation types in the same soil depth was significant (p < 0.05).

Figure 3.
The distribution of soil sand, silt, and clay under different vegetation restoration types (NSF, natural secondary forests; POF, Pl. orientalis forests; PTF, P. tabulaeformis forests; RPF, R. pseudoacacia forests).
3.2. Temporal Variation of Soil Moisture of Different Vegetation Restoration Types
Figure 4 presents the monthly average soil volumetric water content dynamics in the 0–200 cm soil layer of natural secondary forest, Pl. orientalis forest, P. tabulaeformis forest, and R. pseudoacacia forest from 1 January 2017 to 31 August 2022. The total rainfall in each year was 689.3, 460.1, 100.6, 580.3, 529.6, and 374.3 mm, respectively, and the rainfall mainly occurred from July to September after the growing season, in all accounting for about 70% of the total rainfall. Among them, the soil moisture contents in January 2018, 2019, and 2021 were the lowest during the monitoring period in all forests. During the growing seasons from 2017 to 2022, soil moisture was highest in natural secondary forests, followed by R. orientalis, R. pseudoacacia and P. tabulaeformis forests. Soil water content decreased by 0.092 cm3/cm3 in natural secondary forests, 0.074 cm3/cm3 in R. orientalis forests, 0.095 cm3/cm3 in R. pseudoacacia forests, and 0.093 cm3/cm3 in P. tabulaeformis forests.

Figure 4.
Temporal dynamics of soil moisture under different vegetation restoration types and daily precipitation in 2017–2022 (NSF, natural secondary forests; POF, Pl. orientalis forests; PTF, P. tabu-laeformis forests; RPF, R. pseudoacacia forests).
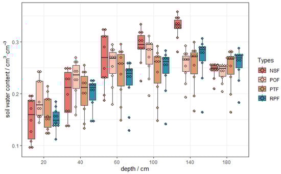
Figure 5 shows that the soil moistures of different vegetation types in each soil layer varied significantly, but the overall trend was the same. The soil water content increased at first and then remained almost constant. The value spread reduced with depth. An exception is shown by the area of natural secondary forests, where the increase in soil water content can be observed up to 140 cm, then decreasing. On the whole, the average water content showed could be ranked as Pl. orientalis forest > P. tabulaeformis forest > natural secondary forest > R. pseudoacacia forest. The trend in soil moisture variation in the Pl. orientalis forest was similar to that observed in the natural secondary forest.

Figure 5.
Comparison of soil water content in each soil layer under different vegetation types during 2017–2022 (NSF, natural secondary forests; POF, Pl. orientalis forests; PTF, P. tabulaeformis forests; RPF, R. pseudoacacia forests).
Table 2 presents a descriptive statistical analysis of the soil moisture contents of different vegetation restoration types. The average soil water content during the observation period was in the order of natural forest (0.247 cm3·cm−3) > Pl. orientalis forest (0.240 cm3·cm−3) > P. tabulaeformis forest (0.225 cm3·cm−3) > R. pseudoacacia forest (0.223 cm3·cm−3). The coefficient of variation of the natural secondary forest was the largest, and that of Pl. orientalis forest was the smallest, indicating that soil moisture in Pl. orientalis forest was relatively stable.

Table 2.
Descriptive statistical analysis of soil moisture content for the different vegetation types.
3.3. Soil Moisture Storage, Soil Carbon and Nutrient Storages under Different Vegetation Restoration Types
Figure 6a presents the soil moisture storage under the four vegetation restoration types. The results show that soil moisture storage differs between the soil layers of different vegetation restoration types. Overall, the water storage of R. pseudoacacia forest was the highest (615 mm) in the 0–200 cm soil layer, followed by Pl. orientalis forest (613 mm) and natural secondary forest (612 mm), which values are significantly higher than that for P. tabulaeformis forest (559 mm). For vertical distribution, the greatest value of water storage was in the 160–200 cm layer, with about 21% of total storage, followed by 120–160 cm and 80–120 cm. Shallow soil (0–20 and 20–40 cm) had the lowest capacity for water storage. For instance, the soil moisture storage capacity of natural secondary forest and R. pseudoacacia forest was the smallest in the 0–20 cm soil layer, at 49 mm (9%) and 54 mm (10%), respectively. Pl. orientalis and P. tabulaeformis forests had minor soil moisture storage capacities, at 20–40 cm soils, amounting to 56 mm (9%) and 54 mm (9%).

Figure 6.
Comparisons of soil nutrient storages in 0–200 cm soil layer under different vegetation types. Note: (a) soil moisture storage; (b) soil nitrogen storage; (c) soil phosphorus storage; (d) soil carbon storage. Different capital letters indicate significant differences among each vegetation type at p < 0.05.
For different vegetation restoration types, soil nitrogen and phosphorus storages are shown in Figure 6b,c. The soil nutrient contents vary under different vegetation types. At first, soil nitrogen storages could be ranked from highest to lowest as Pl. orientalis forest (5.54 t·ha−1) > R. pseudoacacia forest (4.03 t·ha−1) > natural secondary forest (2.24 t·ha−1) > P. tabulaeformis forest (1.64 t·ha−1). Soil phosphorus storage can be ranked as R. pseudoacacia forest (4.33 t·ha−1) > natural secondary forest (3.4 t·ha−1) > Pl. orientalis forest (2.93 t·ha−1) > P. tabulaeformis forest (2.06 t·ha−1). The effects of different vegetation types on soil carbon storage were different (Figure 6d). In the 0–200 cm soil layer, the carbon storage of the P. tabuliformis forest was the most prominent (207.75 t·ha−1), followed by secondary forest (183.48 t·ha−1), and that of R. pseudoacacia forest was the smallest (142.24 t·ha−1, Table 3).

Table 3.
Variations in SOC and nutrient content (TN and TP) under different vegetation types.
3.4. Vegetation Attributes under Different Vegetation Restoration Types
There were significant variations in vegetation attributes among different vegetation types (Figure 7). The natural secondary forest and R. pseudoacacia forest registered the highest densities, which reached 2050 and 1700 trees/hm2, respectively. The minimum density of the P. tabulaeformis forest was 1050 trees/hm2 (Figure 7a). The plant heights of the Pl. orientalis forest and R. pseudoacacia forest were around 8–9 m, while the natural secondary forest and P. tabulaeformis forest were both around 6–7 m (Figure 7c). The DBH and branch diameter showed significant differences (Figure 7b,d). The DBH and branch diameter values of the Pl. orientalis forest were higher than the others, reaching 13.88 and 18.19 cm, respectively. The natural secondary forest showed the minimum DBH and branch diameter, which were 7.00 and 8.48 cm, respectively. The height below branches values of the natural secondary forest and Pl. orientalis forest were greater than those of R. pseudoacacia forest and P. tabulaeformis forest, with 4.08, 3.52, 2.50, and 2.35 m, respectively. The crown width could be arranged from the highest to lowest values as follows: P. tabulaeformis forest (28.38 m2) > R. pseudoacacia forest (17.30 m2) > Pl. orientalis forest (14.67 m2) > natural secondary forest (10.83 m2).

Figure 7.
Differences in vegetation attributes of stand density (a), DBH (b), plant height (c), branch diameter (d), height below branch (e), and crown width (f) for different vegetation types (NSF, natural secondary forests; POF, Pl. orientalis forests; PTF, P. tabulaeformis forests; RPF, R. pseudoacacia forests). Note: DBH means the diameter at breast height. Different capital letters indicate significant differences among different vegetation types at p < 0.05.
Diverse vegetation types exhibited notable variations in shrub and herbaceous attributes. As seen in Figure 8, the maximum plant height of 44.35 cm was observed for shrubs and herbs in the natural secondary forest. The plant heights of Pl. orientalis forest, P. tabulaeformis forest, and R. pseudoacacia forest herbaceous plants were similar, all around 15–16 cm. The base diameters and crown widths of herbaceous plants were significantly different, while the branch diameter and crown widths of shrubs did not show significant differences. The maximum base diameter of herbaceous plants under R. pseudoacacia forest was 3.24 cm, which is significantly higher than that of natural secondary forest (1.65 cm), Pl. orientalis forest (0.37 cm) and P. tabulaeformis forest (1.61 cm). The herbaceous crown width of the natural secondary forest was the most extensive (907.11 cm2), and was significantly higher than that of the R. pseudoacacia forest (341.69 cm2), Pl. orientalis forest (284.57 cm2) and P. tabulaeformis forest (188.49 cm2). The branch diameters of shrubs under the four vegetation types of stands were 1.17, 0.73, 1.38, and 1.22 cm (Figure 8b), and the crown width was 6.02, 4.57, 5.44, and 4.51 cm2 (Figure 8c).

Figure 8.
Differences in understory vegetation attributes of shrub plant heights (a), shrub branch diameters (b), shrub crown widths (c), herbaceous plant heights (d), herbaceous base diameters (e), and herbaceous crown width (f) in different vegetation types (NSF, natural secondary forests; POF, Pl. orientalis forests; PTF, P. tabulaeformis forests; RPF, R. pseudoacacia forests). Different capital letters indicate significant differences among each vegetation types at p < 0.05.
3.5. Relationship between Environmental Factors and Ecosystem Functions
Variation partitioning was used to analyze the effects of soil properties, vegetation attributes, and precipitation on soil nitrogen storage, phosphorus storage, water storage, and carbon storage. In terms of soil nitrogen storage (Figure 9a), both soil properties and vegetation attributes accounted for similar variations, explaining 24.8% and 21.7% of the variation, respectively (p < 0.05), which was higher than that explained by precipitation (8.2%, p < 0.05). The combined effect of precipitation and vegetation factors registered the lowest contribution, with 6.5% of total influence. Therefore, soil properties and vegetation attributes have the dominant influences on the variability of soil nitrogen stocks. For soil phosphorus stocks (Figure 9b), soil properties represented the main explanatory factor for the variation (38.2%), followed by the interaction of soil properties, vegetation properties, and precipitation, explaining 13.8% of the variation.

Figure 9.
Variation partitioning analysis differentiated the influences of soil properties, vegetation attributes and precipitation on (a) soil nitrogen storage, (b) soil phosphorus storage, (c) soil moisture storage, and (d) soil carbon storage. The data represent percentages of variation explained by the factors. Note: REs means residuals, which indicate the unexplained part of the variation.
Moreover, precipitation showed a lower influence on the variation of phosphorus storage than soil properties and vegetation attributes (8.2%). For soil moisture storage (Figure 9c), vegetation (25.3%) explained more variation in soil moisture storage than soil properties (8.4%) and precipitation (9.5%). In contrast, the combined effects of soil properties and vegetation were more significant than the three, accounting for 47.5% of the explained variation. The combined interpretation of precipitation with soil and vegetation properties was smaller, at 1.4% and 2.3%, respectively. It indicates that the coupling effect of soil and vegetation is a critical factor in maintaining soil moisture. For soil carbon storage (Figure 9d), the independent effect of soil properties and the interactive effect of soil properties and precipitation explained similar amounts of variation (22.2% and 22.6%, respectively), which was higher than the amount of variation explained by other factors. This suggests that the coupling and interaction of soil properties and precipitation dominate soil carbon conservation.
Figure 10 shows a correlation matrix analysis between soil properties, vegetation attributes, and soil nutrient contents. Among soil physical properties, bulk density, sand, silt, and pH showed highly significant positive correlations with each other, and soil CEC was also positively correlated with sand and clay. Regarding the correlation coefficients between soil physical properties and nutrient contents, bulk density showed significant positive correlations with TN and TP contents but a negative correlation with SOC. Sand showed a significant positive correlation with TP, while clay showed a significant negative correlation with SOC. The pH was significantly positively correlated with TP, and soil CEC was significantly positively correlated with SOC but negatively correlated with TN. From the correlation among soil nutrients, we see that TP was positively correlated with TN, while SOC was negatively correlated with TP and TN but not significantly. For soil moisture storage, soil bulk density, canopy density, and tree height were positively and negatively correlated with soil CEC, SOC, DBH, diameter, and crown width.

Figure 10.
Correlation matrix analysis vegetation attributes and soil properties. Red means positive correlation, blue means negative correlation. The width of the ellipse represents significance level: * p < 0.05, ** p < 0.01 (Oneway ANOVA Test). BD, bulk density; CEC, cation exchange capacity; TP, total phosphorus; TN, total nitrogen; SOC, soil organic content; DBH, diameter at breast height; PRE, precipitation; SNS, soil nitrogen storage; SPS, soil phosphorus storage; SWS, soil moisture storage; SCS, soil carbon storage.
4. Discussion
4.1. The Effects of Vegetation Restoration on Soil Moisture Status
Water resources represent a principal element restricting the growth and development of the ecosystem on the Loess Plateau. Within these water-limited ecosystems, soil moisture stands out as the key factor influencing vegetation restoration and construction [,]. We compared the differences in soil water status among NSF, POF, PTF, and RPF. The results show significant differences in soil moisture content from 0 to 200 cm in different vegetation restoration types. On the vertical distribution, the soil moisture content in the surface layer is the lowest, reaching peak values in the range of 140–160 cm. This is because the evaporation of the surface soil is directly connected with the atmosphere. Affected by solar radiation, the evaporation rate is higher in the surface layer. Evaporation gradually decreases with the increase in soil depth []. Moreover, the dynamic change in soil moisture in the vertical profile is also associated with the distribution of plant root systems. Plant water utilization derives from the soil water absorbed by the root system at different depths, and the root system of different tree species is distributed in different depths of the soil, leading to different degrees of soil moisture variation in the vertical profile of different vegetation types [,].
The results show that the secondary forest can better replenish the soil moisture, while the Pl. orientalis, P. tabuliformis, and R. pseudoacacia forests consume the soil moisture in the surface layer and in the deep layer significantly more than that of the secondary forest. The deep soil moisture of the planted forest cannot be replenished in time, thus giving rise to the situation of dried soil layers [,,]. Chen et al. showed that the dried soil layers were a common phenomenon in the planted forest land of the Loess Plateau, while this rarely occurred in natural forests []. The reason is that the ecosystem of the natural secondary forest has a more diverse leaf layer structure, with abundant herbaceous symposia and litterfall, which can better regulate the hydrological processes within the ecosystem. Hence, the soil water holding capacity of natural forests is better than that of planted forests [,,]. Specifically, in arid and semi-arid areas with long-term insufficient rainwater supply, planted forests usually consume more soil water than natural forests formed by local natural succession [,].
4.2. The Effects of Vegetation Restoration on Ecosystem Nutrient Supply Services
During vegetation restoration, soil nutrients are indispensable for vegetation’s growth and development. Vegetation obtains essential elements (such as C, N, and P) for its growth, mainly by absorbing and transforming nutrients from the soil. Thus, soil nutrient content influences vegetation growth and development, gross primary productivity, and the ecological function of vegetation [,]. Vegetation promotes the accumulation of soil nutrients through ecosystem succession during growth processes. Many studies have shown that long-term vegetation restoration has significantly improved soil nutrient storage on the Loess Plateau.
Different vegetation types have different effects on soil nutrient content, with apparent differences in storage and distribution characteristics of soil nutrients. On the one hand, the litter covering produced by vegetation restoration will accumulate on the surface and enter the soil in organic matter or other nutrients through microbial decomposition. On the other hand, plants have a flourishing underground root system. Root exudates can significantly promote soil organic matter and enhance the fixation of soil N and P [,]. Consequently, vegetation restoration impacts the supply and circulation of soil nutrients. The results indicate that the soil carbon storage of P. tabuliformis plantation was the most prominent (207.75 t·ha−1), while soil nitrogen and phosphorus storage were the smallest (1.64 t·ha−1, 2.06 t·ha−1, respectively). The soil carbon storage of R. pseudoacacia and Pl. orientalis was the lowest (142.24 t·ha−1), but these had the most extensive soil nitrogen storage (5.54 t·ha−1) and phosphorus storage (4.33 t·ha−1). Reich and Oleksyn proposed that tree species with longer leaf lifespans have lower soil N and P contents, which will increase with the shortening of leaf life []. As an evergreen coniferous forest, P. tabulaeformis has a longer leaf life than R. pseudoacacia, which is a deciduous broad-leaved forest species. It needs to accumulate more organic matter to maintain its growth and development and build a protective structure, promoting soil organic carbon transformation. In contrast, due to its short leaf lifespan, R. pseudoacacia requires more N and P to participate in critical metabolic activities such as photosynthesis and respiration for rapid growth []. From another point of view, the more considerable trunk height of R. pseudoacacia (Figure 7) allows more light and growing space, which makes the aboveground biomass increase significantly. Besides this, R. pseudoacacia has an extensive root system and short leaf life, which results in more litter and nutrients being returned to the soil. The decomposition of litter and roots releases many exudates, which contribute to soil N and P accumulation, with a more substantial enrichment effect on soil nutrients [,]. Additionally, it is important to note that Robinia sp. plays a unique role in enriching soil nitrogen content. Robinia species have symbiotic relationships with nitrogen-fixing bacteria in root nodules, allowing them to assimilate atmospheric nitrogen. This natural nitrogen fixation contributes significantly to the higher nitrogen content observed in soils where R. pseudoacacia are present, enhancing the nutrient supply within these ecosystems.
Finally, the study’s results regarding the nutrient contents of each vegetation soil profile showed that the distribution characteristics of soil nutrients underwent surface aggregation (Table 3). Soil nutrient content decreased with increasing depth, consistent with previous studies [,,]. Due to the vigorous vegetation growth and large biomass of forest land, massive amounts of litter covered the ground. Organic matter and other nutrients decomposed by microorganisms were mainly concentrated in the soil surface layer, accumulating SOC, TN, and TP in the surface layer [,]. Compared with other vegetation, the N and P contents in the surface soil of P. tabuliformis were the lowest. Because of the autotoxicity of P. tabulaeformis, the ethyl acetate in the leaves of P. tabulaeformis can inhibit the growth of P. tabulaeformis and affect the surrounding plants, which will lead to a lack of understory vegetation coverage []. P. tabulaeformis has shallow roots and slow growth, and there is no growth of forest and grass vegetation under the forest, eventually leading to poor soil nutrient enrichment [].
4.3. Relationships among Ecological Factors and Ecosystem Water-Carbon Functions
As an essential component of terrestrial ecosystems, changes in the ecohydrological and nutrient functions of forest ecosystems are influenced by various environmental factors. The interaction between these environmental factors is crucial in regulating plant growth and nutrient circulation in forest ecosystems []. We used statistical methods in our study to analyze the impacts of various environmental factors on hydrological and nutrient functions throughout the process of vegetation restoration. We found that as a carrier involved in the biological cycle, the soil is a dominant factor influencing changes in soil storage. Soil acts as a key to understanding the biogeochemical cycles and this is relevant for the recovery of the vegetation after land abandonment on agriculture, recreational areas [], and urban areas.
Previous studies have concluded that precipitation is the most crucial factor influencing soil moisture storage because it is the only input source of soil moisture in the Loess Plateau [,]. However, in this study, the combined effects of vegetation attributes and soil properties offered the most significant explanation for the variation in soil moisture storage. Our long-term monitoring results show that rainfall mainly occurs during the annual growing season when temperatures reach the highest values of the year, and the vegetation growth is most vigorous. Although the rainfall during this period is the highest of the year, it is not easy to replenish the soil with precipitation in time. Therefore, surface evaporation is the strongest, intensifying plant root activity. Soil water is consumed substantially due to evapotranspiration. Soil water content continuously decreases when the water recharged to the soil by rainfall is less than the water consumed by evapotranspiration. The results demonstrate that the relationship between soil moisture storage and bulk density is one of significantly positive correlation. Soil bulk density can change soil water infiltration and distribution pattern, which is the main factor affecting soil infiltration. The soil layer with high bulk density has limited space for water movement. Thus, the diffusion rate of soil water is relatively weak. The water in the surface soil is resistant to evaporation, reducing water infiltration from the lower soil layer and maintaining soil water in a relatively stable state [,]. The pRDA analysis shows that the individual effect of vegetation attributes explains the most significant amount of soil moisture storage. Vegetation can affect soil moisture changes through hydrological cycle processes such as canopy interception, stem flow, and water consumption by vegetation transpiration []. Wang et al. indicated that ecological characteristics such as surface vegetation type and canopy closure would affect soil water content to a certain extent []. The soil’s plant root distribution layer undergoes intense transpiration during the growing season, and root water absorption consumes soil moisture, rapidly decreasing soil water content []. Generally, the higher the density of forest stands and surface vegetation cover, the more water is lost due to soil evaporation during the growing season, resulting in lower soil moisture content []. Meanwhile, forests with taller trees can avoid direct sunlight irradiation on the surface soil, which can keep the soil moisture conditions relatively humid. Different vegetation types have different vegetation attributes, resulting in differences in solar radiation distribution, absorbing precipitation, and affecting soil moisture []. Although precipitation certainly has a particular impact on soil moisture, the attributes of the vegetation itself have a more pronounced effect on soil moisture in artificial forests and natural forests, where plants have matured after long-term vegetation restoration. For example, precipitation will not easily affect deep soil directly, but plant roots can.
Soil organic carbon (SOC), total nitrogen (TN), and total phosphorus (TP) are the primary nutrients that can be transformed into compounds that plants can use through inorganic forms, participating in nutrient cycling and promoting plant growth. Regarding soil carbon storage, soil properties have a more significant impact, explaining 61.7% of the variation (p < 0.05), with soil properties and precipitation accounting for 22.6%. This means soil properties dominate carbon storage, and their combined effects with precipitation have the most significant impact on carbon storage. In this study, the soil bulk density increased with the soil depth, while the organic carbon content decreased with soil depth, indicating a negative correlation between soil bulk density and organic carbon content (Figure 2 and Figure 10). A higher soil bulk density indicates a more compact soil, which can affect vegetation growth. Vegetation restoration improves soil structure, and root development increases soil porosity, resulting in a loose soil texture and a lower soil bulk density. Soil with low bulk density has good aeration and structure, which is conducive to the accumulation and cycling of organic carbon []. In addition, the impact of precipitation on soil carbon storage is reflected in its ability to alter soil moisture, which in turn affects the activity of soil microorganisms and the growth of flora and fauna, ultimately influencing soil carbon storage to a certain extent [,]. Finally, regarding soil nutrient storage, the results are similar to but different from those of soil carbon storage. The combined effects of soil properties and vegetation attributes explain most variation in soil nutrient storage. Soil bulk density and porosity are important indicators for evaluating nitrogen and phosphorus content and storage, and also regulate the distribution pattern of soil nitrogen storage [,].
The correlation matrix analysis and pRDA analysis results show that soil properties significantly impact the change of nitrogen storage and are positively correlated with soil bulk density and mechanical composition. The possible reason is that the soil with higher bulk density content has less porosity, avoiding the loss of soil nutrients through leaching; thus, more soil nitrogen can be accumulated []. Plant root exudates and soil microorganisms are generally believed to be the primary sources of soil nutrients. The reason vegetation attributes are considered one of the main factors causing changes in nutrient storage is that the attributes of tree species can affect understory plants. For instance, tree species with high canopy density can cause understory plants not to receive enough light for average growth and development, slowing down the decomposition of litter and ultimately affecting nutrient content [,].
5. Conclusions
Under different types of vegetation restoration, variations can be observed in soil properties, vegetation attributes, hydrological regulation, and nutrient supply functions. Specifically, natural secondary forests exhibited the lowest soil bulk density, whereas they had the highest CEC and soil water content, particularly in the 0–40 cm layer, indicating fine soil structure and favorable hydrological properties at shallower depths, in addition to the fact that the natural forest had fine soil structure and hydrological properties. The most significant variation coefficient of soil moisture in natural secondary forests implies that NSFs have greater sensitivity and volatility to dynamic changes in environmental factors. Furthermore, the distribution characteristics of soil nutrients in the vertical scale show fluctuation and aggregation. POF exhibited the greatest soil water and nitrogen storage. In contrast, RPF and PTF show the most significant soil phosphorus and carbon storages, respectively. According to the correlation matrix analysis and pRDA analysis, it was found that soil properties played a major role in maintaining soil nutrient accumulation. The coupled effects of soil properties and precipitation emerged as the primary determinants for soil carbon storage. The coupling of soil properties and vegetation attributes is essential for regulating soil moisture storage and hydrological functions within ecosystems.
The effects of different long-term vegetation restoration on primary soil conditions, hydrological regulation, and nutrient supply functions can be useful for optimizing vegetation restoration patterns, improving the ecological environment in the Loess Plateau, and giving full play to the services of the forest ecosystem. For instance, secondary forests have greater ecological benefits for hydrological regulation, while PTF have significant carbon sequestration but poor nutrient storages. Therefore, vegetation restoration should be based on protecting natural secondary forests, combined with constructing natural forests and limiting the afforestation density.
Author Contributions
Conceptualization, Y.X. and T.F.; methodology, Y.X. and T.F.; software, Y.X. and T.F.; validation, Y.X., T.F. and P.W.; formal analysis, Y.X. and Y.Z.; investigation, P.W.; resources, T.F.; data curation, T.F. and Y.Z.; writing—original draft preparation, Y.X.; writing—review and editing, T.F., P.W. and S.K.; visualization, Y.X., T.F. and Z.Z.; supervision, P.W.; project administration, P.W.; funding acquisition, T.F. and P.W. All authors have read and agreed to the published version of the manuscript.
Funding
This research was funded by T.J Feng and P Wang’s the Fundamental Research Funds for the Central Universities, grant number [QNTD202303], and the Open Fund of Key Laboratory of Vegetation Restoration and Management of Degraded Ecosystems, Chinese Academy of Sciences, grant number [VRMD2303], and Tiaojiao Feng’s the National Natural Science Foundation of China, grant number [42371114], and Xiong’an new area science and technology innovation programme, grant number [2023XAGG0066]. The APC was funded by the Xiong’an new area science and technology innovation programme, grant number [2023XAGG0066].
Data Availability Statement
The data will be available on request.
Acknowledgments
We sincerely thank the Shanxi Jixian Station for providing the experimental platform, as well as the Water, Soil, Atmosphere, and Biology research groups for the data support. Additionally, we thank Artemi Cerdà for participating in the language editing and presentation of the manuscript.
Conflicts of Interest
Authors Yingnan Xiong, Yufei Zhang, Zhuo Zhang, Tianjiao Feng, Ping Wang and Saskia Keesstra declare no conflict of interests. Author Saskia Keesstra was employed by the company Cli-mate-Kic Holding B.V., who contributed to the manuscript writing—review and editing. There is no conflict of interest between the company and this study. The remaining authors declare that the research was conducted in the absence of any commercial or financial relationships that could be construed as a potential conflict of interest. The funders had no role in the design of the study; in the collection, analyses, or interpretation of data; in the writing of the manuscript; or in the de-cision to publish the results.
References
- Montgomery, D.R. Soil erosion and agricultural sustainability. Proc. Natl. Acad. Sci. USA 2007, 104, 13268–13272. [Google Scholar] [CrossRef] [PubMed]
- Zuazo, V.H.D.; Pleguezuelo, C.R.R. Soil-erosion and runoff prevention by plant covers. A review. Agron. Sustain. Dev. 2008, 28, 65–86. [Google Scholar] [CrossRef]
- Poesen, J. Soil erosion in the Anthropocene: Research needs. Earth Surf. Process. Landf. 2017, 43, 64–84. [Google Scholar] [CrossRef]
- Pimentel, D.; Allen, J.; Beers, A.; Guinand, L.; Linder, R.; McLaughlin, P.; Meer, B.; Musonda, D.; Perdue, D.; Poisson, S.; et al. World Agriculture and Soil Erosion. BioScience 1987, 37, 277–283. [Google Scholar] [CrossRef]
- Borrelli, P.; Robinson, D.A.; Fleischer, L.R.; Lugato, E.; Ballabio, C.; Alewell, C.; Meusburger, K.; Modugno, S.; Schütt, B.; Ferro, V.; et al. An assessment of the global impact of 21st century land use change on soil erosion. Nat. Commun. 2017, 8, 2013. [Google Scholar] [CrossRef]
- Wang, Z.Q.; Liu, B.Y.; Zhang, Y. Effects of Different Vegetation Types on Soil Moisture in Deep Loess Soil Profiles. Acta Geogr. Sin. 2008, 63, 703–713. [Google Scholar]
- Deng, L.; Shangguan, Z.-P.; Li, R. Effects of the grain-for-green program on soil erosion in China. Int. J. Sediment Res. 2012, 27, 120–127. [Google Scholar] [CrossRef]
- Ostwald, M.; Simelton, E.; Chen, D.; Liu, A. Relation between vegetation changes, climate variables and land-use policy in Shaanxi province, China. Geogr. Ann. Ser. A Phys. Geogr. 2007, 89, 223–236. [Google Scholar] [CrossRef]
- Zhang, J.H.; Bo, W.U.; Yang, W.B.; Lei, Y. Soil Moisture Characteristics of Artemisia Ordosica Community at Different Succession Stages in Mu Us Sandy Land. J. Desert Res. 2012, 32, 1597–1603. [Google Scholar]
- Hu, C.J.; Guo, L. Advances in the research of ecological effects of vegetation restoration. Ecol. Environ. Sci. 2012, 21, 1640–1646. [Google Scholar]
- Deng, L.; Liu, S.; Kim, D.G.; Peng, C.; Sweeney, S.; Shangguan, Z. Past and future carbon sequestration benefits of China’s grain for green program. Glob. Environ. Chang. 2017, 47, 13–20. [Google Scholar] [CrossRef]
- Cao, G.D.; Chen, J.H.; Xia, J.; Zhu, H.W.; Jiang, Y.C.; Zhang, X.; Wang, S.M. Analysis of soil physical properties under different vegetation types in the alluvial fan area of Manas River watershed. Acta Ecol. Sin. 2013, 33, 0195–0204. [Google Scholar]
- Orgiazzi, A.; Panagos, P. Soil biodiversity and soil erosion: It is time to get married. Glob. Ecol. Biogeogr. 2018, 27, 1155–1167. [Google Scholar] [CrossRef]
- Chen, L.; Jing, X.; Flynn, D.F.; Shi, Y.; Kühn, P.; Scholten, T.; He, J.-S. Changes of carbon stocks in alpine grassland soils from 2002 to 2011 on the Tibetan Plateau and their climatic causes. Geoderma 2017, 288, 166–174. [Google Scholar] [CrossRef]
- Zhang, P.; Zhang, G.Q.; Zhao, Y.P.; Peng, S.Z.; Chen, Y.M.; Cao, Y. Ecological stoichiometry characteristics of leaf-litter-soil interactions in different forest types in the Loess hilly-gully region of China. Acta Ecol. Sin. 2018, 38, 5087–5098. [Google Scholar]
- Fu, X.; Shao, M.; Wei, X.; Horton, R. Soil organic carbon and total nitrogen as affected by vegetation types in Northern Loess Plateau of China. Geoderma 2009, 155, 31–35. [Google Scholar] [CrossRef]
- Gang, H.; Zhao, X.-Y.; Li, Y.-Q.; Cui, J.-Y. Restoration of shrub communities elevates organic carbon in arid soils of northwestern China. Soil Biol. Biochem. 2012, 47, 123–132. [Google Scholar] [CrossRef]
- Jackson, R.B.; Canadell, J.; Ehleringer, J.R.; Mooney, H.A.; Sala, O.E.; Schulze, E.D. A global analysis of root distributions for terrestrial biomes. Oecologia 1996, 108, 389–411. [Google Scholar] [CrossRef]
- Shi, S.; Peng, C.; Wang, M.; Zhu, Q.; Yang, G.; Yang, Y.; Xi, T.; Zhang, T. A global meta-analysis of changes in soil carbon, nitrogen, phosphorus and sulfur, and stoichiometric shifts after forestation. Plant Soil 2016, 407, 323–340. [Google Scholar] [CrossRef]
- Grossiord, C.; Granier, A.; Gessler, A.; Pollastrini, M.; Bonal, D. The influence of tree species mixture on ecosystem-level carbon accumulation and water use in a mixed boreal plantation. For. Ecol. Manag. 2013, 298, 82–92. [Google Scholar] [CrossRef]
- Kou, M.; Jiao, J. Changes in vegetation and soil properties across 12 years after afforestation in the hilly-gully region of the Loess Plateau. Glob. Ecol. Conserv. 2021, 33, e01989. [Google Scholar] [CrossRef]
- Wang, H.; Yue, C.; Mao, Q.; Zhao, J.; Ciais, P.; Li, W.; Yu, Q.; Mu, X. Vegetation and species impacts on soil organic carbon sequestration following ecological restoration over the Loess Plateau, China. Geoderma 2020, 371, 114389. [Google Scholar] [CrossRef]
- Gao, G.; Tuo, D.; Han, X.; Jiao, L.; Li, J.; Fu, B. Effects of land-use patterns on soil carbon and nitrogen variations along revegetated hillslopes in the Chinese Loess Plateau. Sci. Total. Environ. 2020, 746, 141156. [Google Scholar] [CrossRef] [PubMed]
- Chen, L.D.; Gong, J.; Fu, B.J.; Huang, Z.L.; Huang, Y.L.; Gui, L.D. Effect of land use conversion on soil organic carbon se-questration in the loess hilly area, Loess Plateau of China. Ecol. Res. 2007, 22, 641–648. [Google Scholar] [CrossRef]
- Jiao, R.; Zhao, Y.; Si, B.C.; Lan, Z.L.; Zhang, J.G. Effects of conversion of cropland to forest measures on deep soil moisture in Loess Plateau. Agric. Res. Arid Areas 2017, 35, 129–135. [Google Scholar]
- Chen, H.; Shao, M.; Li, Y. Soil desiccation in the Loess Plateau of China. Geoderma 2007, 143, 91–100. [Google Scholar] [CrossRef]
- Li, X.R.; Zhang, Z.S.; Lei, H.; Liu, L.C.; Wang, X.P. The ecohydrology of the soil–vegetation system restoration in arid zones: A review. Sci. Cold Arid Reg. 2009, 1, 199–206. [Google Scholar]
- Zhang, J.J.; Li, H.M.; Xu, J.J. Soil moisture dynamics of water and soil conservation forest on the Loess Plateau. Acta Ecol. Sin. 2011, 31, 7056–7066. [Google Scholar]
- Wang, X.; Jia, G.-D.; Deng, W.-P.; Liu, Z.-Q.; Liu, Z.-H.; Qiu, G.-F.; Li, W.-L. Long-term water use characteristics and patterns of typical tree species in seasonal drought regions. Ying Yong Sheng Tai Xue Bao = J. Appl. Ecol. 2021, 32, 1943–1950. [Google Scholar] [CrossRef]
- Wang, Y.S.; Ma, B.M.; Gao, H.P.; Wang, B.T.; Li, S.; Dong, X.Q. Response of soil nutrients and their stoichiometric ratios to stand density in Pinus tabuliformis and Robinia pseudoacacia plantations in the loess region of western Shanxi Province, Northern China. J. Beijing For. Univ. 2020, 42, 81–93. [Google Scholar] [CrossRef]
- Wang, Y.X.; Liu, T.X.; Duan, L.M.; Tong, X.; Wang, H.Y. Temporal and spatial variation characteristics of soil moisture and environmental impact factors in different types of dunes in Horqin. J. Soil Water Conserv. 2020, 34, 125–134+142. [Google Scholar] [CrossRef]
- Niu, J.J.; Zhao, J.B.; Wang, S.Y. A study on plantation soil desiccation in the upper reaches of the Fenhe River basin based on deep soil experiments. Geogr. Res. 2007, 26, 773–781. [Google Scholar]
- Tian, N.N.; Zhang, J.J.; Ru, H.; Li, Y.T.; Ding, Y.; Zhang, Y.T. Soil moisture and nutrient characteristics of soil and water con-servation forests in Loess Plateau of western Shanxi Province. Sci. Soil Water Conserv. 2015, 13, 61–67. [Google Scholar] [CrossRef]
- Chen, H.S.; Shao, M.A.; Wang, K.L. Desiccation of deep soil layer and soil water cycle characteristics on the Loess Plateau. Acta Ecol. Sin. 2005, 25, 2491–2498. [Google Scholar]
- Du, J.; Zhao, J.B. Research on moisture content and moisture restore in different vegetation in Xi’an area. J. Soil Water Conserv. 2006, 20, 58–61. [Google Scholar]
- Feng, T.; Wei, T.; Keesstra, S.D.; Zhang, J.; Bi, H.; Wang, R.; Wang, P. Long-term effects of vegetation restoration on hydrological regulation functions and the implications to afforestation on the Loess Plateau. Agric. For. Meteorol. 2023, 330, 109313. [Google Scholar] [CrossRef]
- Wang, Q.; Ruan, X.; Li, Z.H.; Pan, C.D. Autotoxicity of Plants and Research of Coniferous Forest Autotoxicity. Sci. Silvae Sin. 2007, 43, 134–142. [Google Scholar]
- Yang, L.; Chen, L.; Wei, W.; Yu, Y.; Zhang, H. Comparison of deep soil moisture in two re-vegetation watersheds in semi-arid regions. J. Hydrol. 2014, 513, 314–321. [Google Scholar] [CrossRef]
- Luo, X.; Dai, S.; He, B.H.; Liu, X.H.; Tang, Y. Investigation of Nutrients and Physical Properties of the Soil under Different Types of Forest Vegetation in Jinyun Mountain. J. Soil Water Conserv. 2011, 25, 64–69+91. [Google Scholar] [CrossRef]
- Wang, L.; Zeng, H.; Zhang, Y.J.; Zhao, G.; Chen, N.; Li, J.X. A review of research on soil carbon storage and its influencing factors in the Tibetan Plateau. Chin. J. Ecol. 2019, 38, 3506–3515. [Google Scholar] [CrossRef]
- Gou, X.L.; Guo, J.J.; Dmitrii, V.; Nie, F.Y.; Luo, X.M. Response of sediment nutrients to plant restoration in alpine, cold and sub-humid desert land. Environ. Prot. Sci. 2022, 48, 134–140. [Google Scholar]
- Reich, P.B.; Oleksyn, J. Global patterns of plant leaf N and P in relation to temperature and latitude. Proc. Natl. Acad. Sci. USA 2004, 101, 11001–11006. [Google Scholar] [CrossRef] [PubMed]
- Qin, H.; Li, J.; Gao, S.; Li, C.; Shen, X. Characteristics of leaf element contents for eight nutrients across 660 terrestrial plant species in China. Acta Ecol. Sin. 2010, 30, 1247–1257. [Google Scholar]
- Dong, X.Q.; Wang, B.T.; Wu, Z.P.; Wang, X.H. Changes of Soil Nutrients with Stands Growth of Three Kinds of Forestlands in Loess Area of Western Shanxi. For. Res. 2018, 31, 69–76. [Google Scholar] [CrossRef]
- Hu, Z.L.; Pan, G.X.; Li, L.Q.; Du, Y.X.; Wang, X.Z. Changes in pools and heterogeneity of soil organic carbon, nitrogen and phosphorus under different vegetation types in Karst mountainous area of central Guizhou Province, China. Acta Ecol. Sin. 2009, 29, 4187–4195. [Google Scholar]
- Chen, L.; Huang, Z.; Gong, J.; Fu, B.; Huang, Y. The effect of land cover/vegetation on soil water dynamic in the hilly area of the loess plateau, China. CATENA 2006, 70, 200–208. [Google Scholar] [CrossRef]
- Gong, J.; Chen, L.D.; Fu, B.J.; Hu, C.X.; Wei, W. Effects of vegetation restoration on soil nutrient in a small catchment in hilly loess area. J. Soil Water Conserv. 2005, 19, 93–96. [Google Scholar]
- Tian, H.; Chen, G.; Zhang, C.; Melillo, J.M.; Hall, C.A.S. Pattern and variation of C:N:P ratios in China’s soils: A synthesis of observational data. Biogeochemistry 2010, 98, 139–151. [Google Scholar] [CrossRef]
- Li, D.W.; Wang, D.M.; Yao, W.X. Autotoxicity of Pinus tabulaeformisand Its Ecology Significance. Sci. Silvae Sin. 2010, 46, 174–178. [Google Scholar]
- He, G.X.; Wang, Y.; Peng, S.X.; Guo, Z.L.; Liu, C.E.; Fu, D.G.; Duan, C.Q. Soil carbon, nitrogen and phosphorus stocks and ecological stoichiomtry characteristics of different vegetation restorations in degraded mountainous area of central Yunnan. Acta Ecol. Sin. 2020, 40, 4425–4435. [Google Scholar]
- Salesa, D.; Cerdà, A. Four-year soil erosion rates in a running-mountain trail in eastern Iberian Peninsula. Cuad. Investig. Geogr. 2019, 45, 309–331. [Google Scholar] [CrossRef]
- Wang, H.M.; Xie, Y.Z.; Chen, L.X. Review on Soil Moisture Dynamic Characteristics of Hill slope and its Influential Factors in Loess Plateau. J. Ningxia Agric. Coll. 2004, 4, 62–66. [Google Scholar]
- She, D.; Zheng, J.; Liu, Y.; Gao, X. Effects of land reclamation time and soil bulk density on soil hydraulic parameters in coastal reclamation region. Trans. Chin. Soc. Agric. Mach. 2015, 46, 120–125. [Google Scholar]
- Zhong, Y.; Fei, L.J.; Fu, Y.L.; Chen, L.; Liu, L. HYDRUS simulation and verification of movement characteristics of upward capillary water flow in soil as affected by multi-factor. Trans. Chin. Soc. Agric. Eng. 2018, 34, 83–89. [Google Scholar] [CrossRef]
- Yang, Y.; Fang, J.; Tang, Y.; Ji, C.; Zheng, C.; He, J.; Zhu, B. Storage, patterns and controls of soil organic carbon in the Tibetan grasslands. Glob. Chang. Biol. 2008, 14, 1592–1599. [Google Scholar] [CrossRef]
- Wang, J.X.; Huang, B.L.; Luo, W.X. Compensation and rehabilitation characteristics of soil water deficit at a planted forest site of the drought-prone Loess Plateau. Acta Ecol. Sin. 2004, 24, 2395–2401. [Google Scholar]
- Millikin, C.S.; Bledsoe, C.S. Biomass and distribution of fine and coarse roots from blue oak (Quercus douglasii) trees in the northern Sierra Nevada foothills of California. Plant Soil 1999, 214, 27–38. [Google Scholar] [CrossRef]
- He, B.B.; Shen, Y.X.; Zhu, X.A.; Liu, Z.Y. Comparison of spatio-temporal variations of soil moisture in rock desertification and secondary forest areas of Shilin, Yunnan. Chin. J. 2018, 37, 555–561. [Google Scholar]
- Han, R.L.; Liang, Z.S.; Hou, Q.C.; Zou, H.Y. Water consumption properties of adaptable nursery stocks on Loess plateau. Chin. J. Appl. Ecol. 1994, 5, 210–213. [Google Scholar]
- Peng, W.Y.; Zhang, K.L.; Chen, Y.; Yang, Q.K. Research on soil quality change after returning farmland to forest on the loess sloping croplands. J. Nat. Resour. 2005, 20, 272–278. [Google Scholar]
- Huang, G.B.; Chai, Q. Acting formations and applying development of allelopathy. Chin. J. Eco-Agric. 2003, 11, 172–174. [Google Scholar]
- Jangid, K.; Williams, M.A.; Franzluebbers, A.J.; Schmidt, T.M.; Coleman, D.C.; Whitman, W.B. Land-use history has a stronger impact on soil microbial community composition than aboveground vegetation and soil properties. Soil Biol. Biochem. 2011, 43, 2184–2193. [Google Scholar] [CrossRef]
Disclaimer/Publisher’s Note: The statements, opinions and data contained in all publications are solely those of the individual author(s) and contributor(s) and not of MDPI and/or the editor(s). MDPI and/or the editor(s) disclaim responsibility for any injury to people or property resulting from any ideas, methods, instructions or products referred to in the content. |
© 2024 by the authors. Licensee MDPI, Basel, Switzerland. This article is an open access article distributed under the terms and conditions of the Creative Commons Attribution (CC BY) license (https://creativecommons.org/licenses/by/4.0/).