Windbreak Effectiveness of Single and Double-Arranged Shelterbelts: A Parametric Study Using Large Eddy Simulation
Abstract
1. Introduction
2. LES Method
2.1. Numerical Models
2.2. Governing Equations and Canopy Model
2.3. Domain, Boundaries, and Meshes
2.4. Numerical Setup
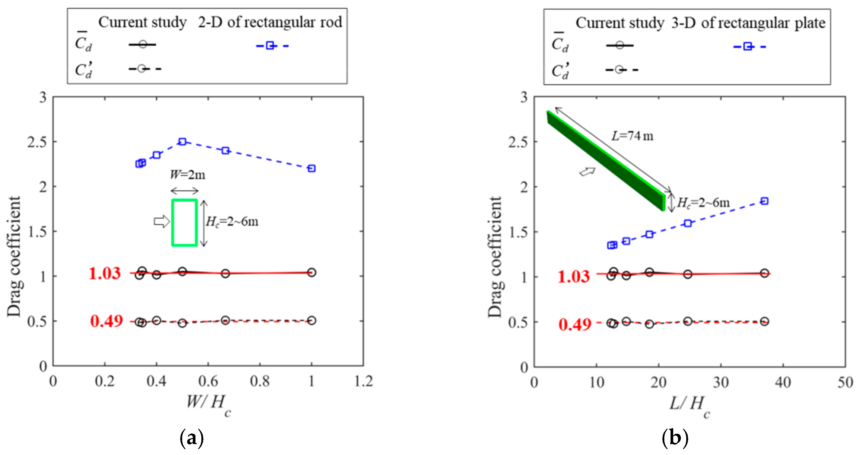
2.5. Validation of Numerical Results
2.6. Definition of Windbreak Effectiveness Indicators
3. Results and Discussion
3.1. Effects of Cross-Sectional Shape of Single Shelterbelt
3.2. Effects of Canopy Height of a Single Shelterbelt
3.3. Effects of Spacing Distance of Double-Arranged Shelterbelts
4. Conclusions
- (1)
- The Darcy–Forchheimer model, which treats the shelterbelt canopy as a porous medium with isotropic properties, appears to provide accurate results, particularly concerning the distributions of mean wind speed and TKE.
- (2)
- The single shelterbelt with a rectangular-shaped (R-shaped) cross-section exhibits higher resistance and a larger protection region compared to triangular shapes (including the WT, LT, and ST1 shapes) and the streamlined triangular (ST2) shape. The change in canopy volume caused by variation in canopy shape plays the most important role in determining windbreak effectiveness, with the actual shape having a very limited effect.
- (3)
- The mean and fluctuating drag coefficients for single shelterbelts with different canopy heights do not show significant differences, indicating that the size effects are less pronounced for porous shelterbelts. However, as expected, a large canopy height results in a larger wind-protection region.
- (4)
- As the spacing distance of double-arranged shelterbelts increases, the protection zones formed by both shelterbelts are reduced.
Author Contributions
Funding
Data Availability Statement
Conflicts of Interest
References
- Brandle, J.R.; Hodges, L.; Zhou, X.H. Windbreaks in North American agricultural systems. Agroforest. Syst. 2004, 61, 65–78. [Google Scholar]
- Li, M.; Liu, A.; Zou, C.; Xu, W.; Shimizu, H.; Wang, K. An overview of the “Three-North” Shelterbelt project in China. For. Stud. China. 2012, 14, 70–79. [Google Scholar] [CrossRef]
- Mohammed, A.E.; Stigter, C.J.; Adam, H.S. On shelterbelt design for combating sand invasion. Agr. Ecosyst. Environ. 1996, 57, 81–90. [Google Scholar] [CrossRef]
- Su, Z.; Zhou, T.; Zhang, X.; Wang, X.; Wang, J.; Zhou, M.; Zhang, J.; He, Z.; Zhang, R. A preliminary study of the impacts of shelter forest on soil erosion in cultivated land: Evidence from integrated 137Cs and 210Pbex measurements. Soil Till. Res. 2021, 206, 104843. [Google Scholar] [CrossRef]
- Wang, H.; Zhou, H. A simulation study on the eco-environmental effects of 3N Shelterbelt in North China. Glob. Planet. Change. 2003, 37, 231–246. [Google Scholar]
- Zhu, J.J.; Zheng, X.; Yan, Q.L. Assessment of Impacts of the Three-North Protective Forest Program on Ecological Environments by Remote Sensing Technology—Launched after 30 Years (1978–2008); Science Press: Beijing, China, 2016. (In Chinese) [Google Scholar]
- Zhou, X.H.; Brandle, J.R.; Mize, C.W.; Takle, E.S. Three-dimensional aerodynamic structure of a tree shelterbelt: Definition, characterization and working models. Agroforest. Syst. 2004, 63, 133–147. [Google Scholar] [CrossRef]
- Zhu, J.J. Wind shelterbelts. In Encyclopedia of Ecology; Fath, B.D., Ed.; Academic Press: Oxford, UK, 2008; pp. 38303–38312. [Google Scholar]
- Wang, J.; Patruno, L.; Zhao, G.; Tamura, Y. Windbreak effectiveness of shelterbelts with different characteristic parameters and arrangements by means of CFD simulation. Agric. For. Meteorol. 2024, 344, 109813. [Google Scholar] [CrossRef]
- Wang, H.; Takle, E.S. Model-simulated influences of shelterbelt shape on wind-sheltering efficiency. J. Appl. Meteorol. 1997, 36, 695–704. [Google Scholar] [CrossRef][Green Version]
- Woodruff, N.P.; Zingg, A.W. Wind tunnel studies of shelterbelt models. J. For. 1953, 53, 173–178. [Google Scholar]
- Guan, D.; Wang, S.; Zhu, T. Experimental study on the relationship between section form of shelterbelt and its wind resistance. Chinse J. Ecol. 1995, 14, 15–19. (In Chinese) [Google Scholar]
- Cao, X. Farmland Shelterbelt Science; China Forestry Publishing House: Beijing, China, 1983. [Google Scholar]
- Zhu, J.J. A review of the present situation and future prospect of science of protective forest. Chinese J. Plant. Ecol. 2013, 37, 872–888. (In Chinese) [Google Scholar] [CrossRef]
- Sun, Q.; Zheng, B.; Liu, T.; Zhu, L.; Hao, X.; Han, Z. The optimal spacing interval between principal shelterbelts of the farm-shelter forest network. Environ. Sci. Pollut. Res. 2022, 29, 12680–12693. [Google Scholar] [CrossRef]
- Woodruff, N.P. The spacing interval for supplemental shelterbelts. J. For. 1956, 54, 115–122. [Google Scholar]
- Frank, C.; Ruck, B. Double-arranged mound-mounted shelterbelts: Influence of porosity on wind reduction between the shelters. Environ. Fluid Mech. 2005, 5, 267–292. [Google Scholar] [CrossRef]
- Kurotani, Y.; Kiyota, N.; Kobayashi, S. Windbreak effect of tsuijimatsu in Izumo: Part 2. In Summaries of Technical Papers of Annual Meeting; Architectural Institute of Japan: Tokyo, Japan, September 2001; pp. 745–746. (In Japanese) [Google Scholar]
- Zhao, W.; Hu, G.; Zhang, Z.; He, Z. Shielding effect of oasis-protection systems composed of various forms of wind break on sand fixation in an arid region: A case study in the Hexi Corridor, northwest China. Ecol. Eng. 2008, 33, 119–125. [Google Scholar] [CrossRef]
- Rudnicki, M.; Mitchell, S.J.; Novak, M.D. Wind tunnel measurements of crown streamlining and drag relationships for three conifer species. Can. J. For. Res. 2004, 34, 666–676. [Google Scholar] [CrossRef]
- Cao, J.; Tamura, Y.; Yoshida, A. Wind tunnel study on aerodynamic characteristics of shrubby specimens of three tree species. Urban For. Urban Green. 2012, 11, 465–476. [Google Scholar] [CrossRef]
- Ferreira, A.D. Structural design of a natural windbreak using computational and experimental modeling. Environ. Fluid Mech. 2011, 11, 517–530. [Google Scholar] [CrossRef]
- Amorim, J.H.; Rodrigues, V.; Tavares, R.; Valente, J.; Borrego, C. CFD modelling of the aerodynamic effect of trees on urban air pollution dispersion. Sci. Total Environ. 2013, 461–462, 541–551. [Google Scholar] [CrossRef] [PubMed]
- Qi, Y.; Ishihara, T. Numerical study of turbulent flow fields around a row of trees and an isolated building by using modified k-ε model and LES model. J. Wind. Eng. Ind. Aerod. 2018, 177, 293–305. [Google Scholar] [CrossRef]
- Wang, Y.; Zeng, X.; Decker, J.; Dawson, L. A GPU-Implemented Lattice Boltzmann Model for Large Eddy Simulation of Turbulent Flows in and around Forest Shelterbelts. Atmosphere 2024, 15, 735. [Google Scholar] [CrossRef]
- Kadaverugu, R.; Purohit, V.; Matli, C.; Biniwale, R. Improving accuracy in simulation of urban wind flows by dynamic downscaling WRF with OpenFOAM. Urban Clim. 2021, 38, 100912. [Google Scholar] [CrossRef]
- Mochida, A.; Tabata, Y.; Iwata, T.; Yoshino, H. Examining tree canopy models for CFD prediction of wind environment at pedestrian level. J. Wind. Eng. Ind. Aerod. 2008, 96, 1667–1677. [Google Scholar] [CrossRef]
- Bitog, J.P.; Lee, I.; Hwang, H.; Shin, M.; Hong, S.; Seo, I.; Kwon, K.; Mostafa, E.; Pang, Z. Numerical simulation study of a tree windbreak. Biosyst. Eng. 2012, 111, 40–48. [Google Scholar] [CrossRef]
- Yan, C.; Huang, W.; Miao, S.; Cui, G.; Zhang, Z. Large-eddy simulation of flow over a vegetation-like canopy modelled as arrays of bluff-body elements. Bound-Lay. Meteorol. 2017, 165, 233–249. [Google Scholar] [CrossRef]
- Maruyama, T. Large eddy simulation of turbulent flow around a windbreak. J. Wind. Eng. Ind. Aerod. 2008, 96, 1998–2006. [Google Scholar] [CrossRef]
- Smagorinsky, J. General circulation experiments with the primitive equations: I. The basic experiment. Mon. Weather Rev. 1963, 91, 99–164. [Google Scholar] [CrossRef]
- Rosenfeld, M.; Marom, G.; Bitan, A. Numerical simulation of the airflow across trees in a windbreak. Bound. Layer Meteorol. 2010, 135, 89–107. [Google Scholar] [CrossRef]
- Liu, C.; Zheng, Z.; Cheng, H.; Zou, X. Airflow around single and multiple plants. Agric. For. Meteorol. 2018, 252, 27–38. [Google Scholar] [CrossRef]
- Patruno, L.; Ricci, M. A systematic approach to the generation of synthetic turbulence using spectral methods. Comput. Method. Appl. Meteorol. 2018, 340, 881–904. [Google Scholar] [CrossRef]
- Bervida, M.; Patruno, L.; Stanič, S.; de Miranda, S. Synthetic generation of the atmospheric boundary layer for wind loading assessment using spectral methods. J. Wind. Eng. Ind. Aerod. 2020, 196, 104040. [Google Scholar] [CrossRef]
- Torita, H.; Satou, H. Relationship between shelterbelt structure and mean wind reduction. Agric. For. Meteorol. 2007, 145, 186–194. [Google Scholar] [CrossRef]
- Liu, B.; Qu, J.; Zhang, W.; Tan, L.; Gao, Y. Numerical evaluation of the scale problem on the wind flow of a windbreak. Sci. Rep. 2014, 4, 6619. [Google Scholar] [CrossRef] [PubMed]
- Sai, K.; Zhao, Y.; Bao, Y.; Liu, C.; Ding, G.; Gao, G. Wind-tunnel tests study of shelter effects of deciduous farmland shelterbelts in arid and semi-arid areas. Trans. CSAE 2021, 37, 157–165. (In Chinese) [Google Scholar]






















| Method | Exposure | Scale | Shelterbelt Height H | Shelterbelt Width W | Shelterbelt Length L | Canopy Shape | Porosity | |
|---|---|---|---|---|---|---|---|---|
| Woodruff and Zingg (1953) [11] | Wind tunnel test | Gravel floor | 1:60 | 10–30 feet | 5, 7, 10 rows | / | Triangular-like | / |
| Wang and Takle (1997) [10] | Numerical simulation | Atmospheric boundary layer flow | / | 10 m | 10 m | ≫10 m | Rectangular, triangular, streamlined | 50% |
| Guan et al. (1995) [12] | Wind tunnel test | / | / | 2–10 cm | 15 cm | / | Rectangular, trapezoid | 66% |
| Zhu (2008) [8] | Field test | / | 1:1 | 1.85 m | 7 rows | / | Rectangular, triangular, gable roof, notch | 60% |
| Method | Exposure | Scale | Shelterbelt Height H | Shelterbelt Width W | Shelterbelt Length L | Spacing Distance s | Porosity | |
|---|---|---|---|---|---|---|---|---|
| Woodruff (1956) [16] | Wind tunnel test | Sieved gravel floor | 1:60 | 10–30 feet | 1–7 row | / | 330–729 feet | / |
| Frunk and Ruck (2005) [17] | Wind tunnel test | Suburban terrain and forested areas, α = 0.26 | 1:200 | 12 m | 1.2 m | 300 m | 120 m, 144 m, 240 m, 288 m, 360 m, 480 m, 600 m | 0, 12%, 22%, 35%, 52% |
| Sun et al. (2022) [15] | Field test | Open terrain | 1:1 | 10 m | / | / | 100 m, 150 m, 200 m, 250 m, 300 m | 40% |
Disclaimer/Publisher’s Note: The statements, opinions and data contained in all publications are solely those of the individual author(s) and contributor(s) and not of MDPI and/or the editor(s). MDPI and/or the editor(s) disclaim responsibility for any injury to people or property resulting from any ideas, methods, instructions or products referred to in the content. |
© 2024 by the authors. Licensee MDPI, Basel, Switzerland. This article is an open access article distributed under the terms and conditions of the Creative Commons Attribution (CC BY) license (https://creativecommons.org/licenses/by/4.0/).
Share and Cite
Wang, J.; Patruno, L.; Chen, Z.; Yang, Q.; Tamura, Y. Windbreak Effectiveness of Single and Double-Arranged Shelterbelts: A Parametric Study Using Large Eddy Simulation. Forests 2024, 15, 1760. https://doi.org/10.3390/f15101760
Wang J, Patruno L, Chen Z, Yang Q, Tamura Y. Windbreak Effectiveness of Single and Double-Arranged Shelterbelts: A Parametric Study Using Large Eddy Simulation. Forests. 2024; 15(10):1760. https://doi.org/10.3390/f15101760
Chicago/Turabian StyleWang, Jingxue, Luca Patruno, Zhongcan Chen, Qingshan Yang, and Yukio Tamura. 2024. "Windbreak Effectiveness of Single and Double-Arranged Shelterbelts: A Parametric Study Using Large Eddy Simulation" Forests 15, no. 10: 1760. https://doi.org/10.3390/f15101760
APA StyleWang, J., Patruno, L., Chen, Z., Yang, Q., & Tamura, Y. (2024). Windbreak Effectiveness of Single and Double-Arranged Shelterbelts: A Parametric Study Using Large Eddy Simulation. Forests, 15(10), 1760. https://doi.org/10.3390/f15101760

