Structural and Functional Characteristics of Soil Fungal Communities near Decomposing Moso Bamboo Stumps
Abstract
:1. Introduction
2. Materials and Methods
2.1. Experimental Site Description and Sampling
2.2. Soil Fungal Microbial Determination
2.3. Statistical Analyses
3. Results
3.1. OTUs of Soil Fungi Collected near Moso Bamboo Stumps
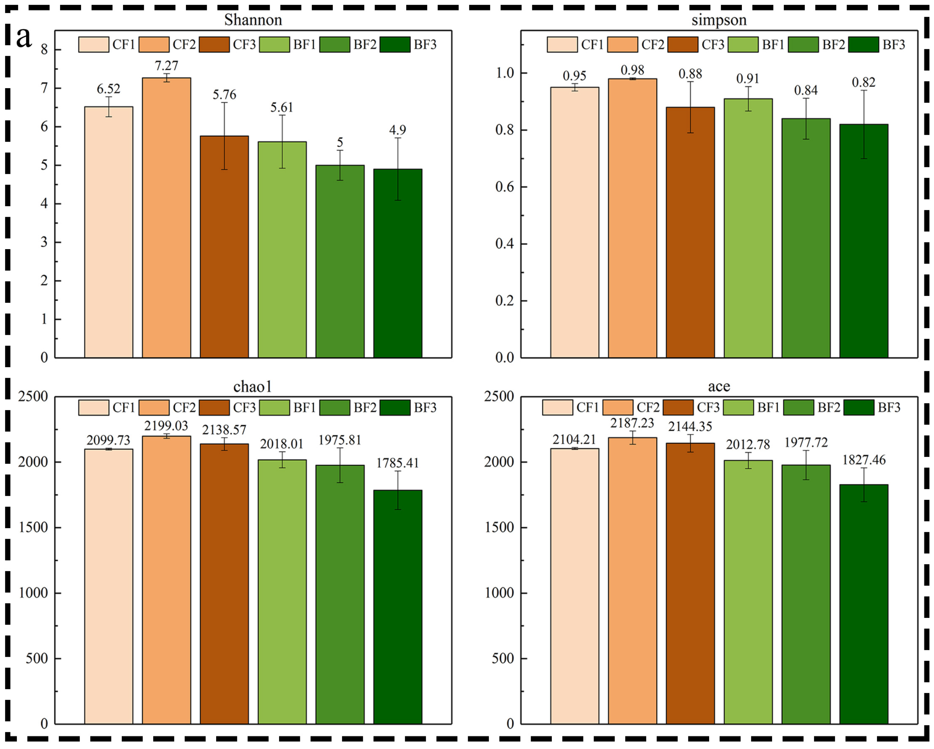
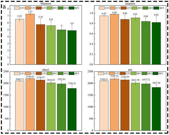
3.2. Soil Fungi Alpha Diversity and Beta Diversity near Moso Bamboo Stumps
3.3. Structural Composition of Soil Fungal Community near Moso Bamboo Stumps
3.4. Composition of Specific Soil Fungi near Moso Bamboo Stumps
3.5. Soil Fungal Community Symbiotic Network and Keystone Species near Moso Bamboo Stumps
3.6. Soil Fungi Trophic Types and Functional Groups near Moso Bamboo Stumps
4. Discussion
4.1. Differences in Soil Fungal Community Characteristics Inside and Outside Decomposing Bamboo Stumps
4.2. Effect of Bamboo Stump Decomposition on Soil Fungal Community Characteristics
4.3. Functional Analysis of Soil Fungi near Decomposing Bamboo Stumps
5. Conclusions
- The soil fungi OTUs and diversity and richness indices were higher inside than outside the stumps. The soil fungi OTUs and diversity and richness indices outside the bamboo stumps decreased with increasing degrees of decomposition. The soil fungi OTUs and diversity and richness indices inside the bamboo stumps were highest in moderate decomposition and lowest in heavy decomposition.
- Ascomycota and Basidiomycota were the dominant soil fungi outside and inside the bamboo stumps; the relative abundance of Ascomycota decreased with the increase in decomposition, while the relative abundance of Basidiomycota increased with the increase in decomposition. The genera Penicillium, Trechispora, and Saitozyma were the dominant genera inside the bamboo stumps. Hymenochaete, Hydropus, Devriesia, and Cyphellophora were the dominant genera of soil fungi outside the bamboo stumps. The interaction between the factors of occurring outside and inside bamboo stumps and the degree of decomposition significantly affected Chytridiomycota, Penicillium (p < 0.001), and Mucoromycota (p < 0.05).
- Around bamboo stumps, the relative abundance of soil fungi with undefined functions was highest (51.02%–87.38%), followed by that of saprophytic soil fungi (6.81%–41.61%). The relative abundance of saprophytic functional fungi was significantly higher in mild vs. moderate and heavy decomposing bamboo stumps. Symbiotic trophic fungi and other undefined functional fungi increased progressively with increasing degrees of decomposition.
Author Contributions
Funding
Data Availability Statement
Acknowledgments
Conflicts of Interest
References
- Yuan, Z.; Liu, F.; Liu, Z.; Huang, Q.; Zhang, G.; Pan, H. Structural variability and differentiation of niches in the rhizosphere and endosphere bacterial microbiome of moso bamboo (Phyllostachys edulis). Sci. Rep. 2021, 11, 1574. [Google Scholar] [CrossRef] [PubMed]
- Administration, S.F. Report for Chinese Forest Resource—The 8th National Forest Inventory; China Forestry Publishing House: Beijing, China, 2014. (In Chinese) [Google Scholar]
- Zhang, M.; Chen, S.; Jiang, H.; Cao, Q. The water transport profile of Phyllostachys edulis during the explosive growth phase of bamboo shoots. Glob. Ecol. Conserv. 2020, 24, e01251. [Google Scholar] [CrossRef]
- Huang, M.; Wang, W.; Zhou, Z.; Tang, C. High-yield rhizome shoot cultivation technology for moso bamboo in Suichang county, Zhejiang province. Word Bamboo Ratt. 2021, 19, 65–67, 71. (In Chinese) [Google Scholar]
- Zheng, R. Effects of phyllostachys pubescens forest bamboo pockets fertilization on bamboo pockets rot and the bamboo shoot emergence. J. Fujian For. Sci. Technol. 2011, 38, 72–74. (In Chinese) [Google Scholar] [CrossRef]
- Song, J. Study on the Change of Components of Bamboo Stumps in Bamboo Forest of Phyllostachys Edulis and Artificially Promoting Decomposition Technology; Central South University of Forestry and Technology: Changsha, China, 2018. (In Chinese) [Google Scholar]
- Li, Q.; Ma, Q.; Gao, J.; Zhang, J.; Li, Y.; Shi, M.; Peng, C.; Song, X. Stumps increased soil respiration in a subtropical Moso bamboo (Phyllostachys edulis) plantation under nitrogen addition. Agric. For. Meteorol. 2022, 323, 109047. [Google Scholar] [CrossRef]
- Xu, Q.; Jiang, P.; Wu, J.; Zhou, G.; Shen, R.; Fuhrmann, J. Bamboo invasion of native broadleaf forest modified soil microbial communities and diversity. Biol. Invasions 2015, 17, 433–444. [Google Scholar] [CrossRef]
- Xu, H.; Yu, M.; Cheng, X. Abundant fungal and rare bacterial taxa jointly reveal soil nutrient cycling and multifunctionality in uneven-aged mixed plantations. Ecol. Indic. 2021, 129, 107932. [Google Scholar] [CrossRef]
- Gillespie, L.; Hättenschwiler, S.; Milcu, A.; Wambsganss, J.; Shihan, A.; Fromin, N. Tree species mixing affects soil microbial functioning indirectly via root and litter traits and soil parameters in European forests. Funct. Ecol. 2021, 35, 2190–2204. [Google Scholar] [CrossRef]
- Yang, X.; Wang, X.; Xiao, S.; Liu, Z.; Zhou, X.; Du, G.; Liu, K.; Wang, Y.; Chen, S.; Nielsen, U. Dominant plants affect litter decomposition mainly through modifications of the soil microbial community. Soil Biol. Biochem. 2021, 161, 108399. [Google Scholar] [CrossRef]
- Liang, F.; Huang, X.; Zheng, H.; Ma, X.; Huang, Y.; Sun, N.; Qin, X.; Jin, C.; Yu, L.; Cai, L. Characteristics of the soil bacterial community in the decomposition process inside and outside moso bamboo stumps. Plant Soil 2022, 478, 635–650. [Google Scholar] [CrossRef]
- Li, M.; Ai, W.; Yang, M.; Meng, Y.; Tu, J.; Pu, X.; Liu, X. The changes of microorganism in the bamboo stump with different decomposition degree. J. For. Eng. 2014, 28, 64–67. (In Chinese) [Google Scholar]
- Richter, A.; Schöning, I.; Kahl, T.; Bauhus, J.; Ruess, L. Regional environmental conditions shape microbial community structure stronger than local forest management intensity. For. Ecol. Manag. 2018, 409, 250–259. [Google Scholar] [CrossRef]
- Ding, X. The Effect of Land Management Intensification on Soil Property and Microbial Community; Anhui Agricultural University: Hefei, China, 2019. (In Chinese) [Google Scholar] [CrossRef]
- Van, D.; Bardgett, R.; Bever, J.; Bezemer, T.; Casper, B.; Fukami, T.; Kardol, P.; Klironomos, J.; Kulmatiski, A.; Schweitzer, J.; et al. Plant-soil feedbacks: The past, the present and future challenges. J. Ecol. 2013, 101, 265–276. [Google Scholar] [CrossRef]
- Galetto, L.; Torres, C.; Martínez Pastur, G. Variable retention harvesting: Conceptual analysis according to different environmental ethics and forest valuation. Ecol. Process. 2019, 8, 40. [Google Scholar] [CrossRef]
- Zhuang, S.; Ji, H.; Zhang, H.; Sun, B.; Gui, R. Carbon storage of Phyllostachy edulis ecosystems in Jian’ou city. Ecol. Environ. Sci. 2012, 21, 1200–1204. (In Chinese) [Google Scholar] [CrossRef]
- Yan, E.; Wang, X.; Huang, J. Concept and classification of coarse woody debris in forest ecosystems. Acta Ecol. Sin. 2005, 1, 158–167. (In Chinese) [Google Scholar] [CrossRef]
- Toju, H.; Tanabe, A.; Yamamoto, S.; Sato, H. High-Coverage ITS Primers for the DNA-Based Identification of Ascomycetes and Basidiomycetes in Environmental Samples. PLoS ONE 2012, 7, e40863. [Google Scholar] [CrossRef]
- Edgar, R. UPARSE: Highly accurate OTU sequences from microbial amplicon reads. Nat. Methods 2013, 10, 996–998. [Google Scholar] [CrossRef]
- Kemp, P.; Aller, J. Bacterial diversity in aquatic and other environments: What 16S rDNA libraries can tell us. FEMS Microbiol. Ecol. 2004, 47, 161–177. [Google Scholar] [CrossRef]
- Edgar, R. MUSCLE: Multiple Sequence Alignment with High Accuracy and High Throughput. Nucleic Acids Res. 2004, 32, 1792–1797. Available online: http://www.drive5.com/muscle/ (accessed on 2 July 2018). [CrossRef]
- Lozupone, C.; Knight, R. Unifrac: A new phylogenetic method for comparing microbial communities. Appl. Environ. Microbiol. 2005, 71, 8228–8235. [Google Scholar] [CrossRef]
- Wang, Q.; Garrity, G.; Tiedje, J.; Cole, J. Naive Bayesian Classifier for Rapid Assignment of rRNA Sequences into the New Bacterial Taxonomy. Appl. Environ. Microbiol. 2007, 73, 5261–5267. [Google Scholar] [CrossRef]
- Kõljalg, U.; Larsson, K.; Abarenkov, K.; Nilsson, R.; Alexander, I.; Eberhardt, U.; Erland, S.; Høiland, K.; Kjøller, R.; Larsson, E.; et al. UNITE: A database providing web-based methods for the molecular identification of ectomycorrhizal fungi. New Phytol. 2005, 166, 1063–1068. [Google Scholar] [CrossRef] [PubMed]
- Segata, N.; Izard, J.; Waldron, L.; Gevers, D.; Miropolsky, L.; Garrett, W.S.; Huttenhower, C. Metagenomic biomarker discovery and explanation. Genome Biol. 2011, 12, R60. [Google Scholar] [CrossRef] [PubMed]
- Deng, Y.; Jiang, Y.; Yang, Y.; He, Z.; Luo, F.; Zhou, J. Molecular ecological network analyses. BMC Bioinf. 2012, 13, 113. [Google Scholar] [CrossRef] [PubMed]
- Bastian, M.; Heymann, S.; Jacomy, M. Gephi: An Open Source Software for Exploring and Manipulating Networks. In Proceedings of the International AAAI Conference on Web and Social Media, San Jose, CA, USA, 17–20 May 2009. [Google Scholar]
- Nguyen, N.; Song, Z.; Bates, S.; Branco, S.; Tedersoo, L.; Menke, J.; Schilling, J.; Kennedy, P. FUNGuild: An open annotation tool for parsing fungal community datasets by ecological guild. Fungal Ecol. 2016, 20, 241–248. [Google Scholar] [CrossRef]
- Lladó, S.; López-Mondéjar, R.; Baldrian, P. Drivers of microbial community structure in forest soils. Appl. Microbiol. Biotechnol. 2018, 102, 4331–4338. [Google Scholar] [CrossRef] [PubMed]
- Burton, J.; Chen, C.; Xu, Z.; Ghadiri, H. Soil microbial biomass, activity and community composition in adjacent native and plantation forests of subtropical Australia. J. Soils Sediments 2010, 10, 1267–1277. [Google Scholar] [CrossRef]
- Chodak, M.; Klimek, B.; Niklińska, M. Composition and activity of soil microbial communities in different types of temperate forests. Biol. Fertil. Soils 2016, 52, 1093–1104. [Google Scholar] [CrossRef]
- Wang, X.; Sasaki, A.; Toda, M.; Nakatsubo, T. Changes in soil microbial community and activity in warm temperate forests invaded by moso bamboo (Phyllostachys pubescens). J. Res. 2016, 21, 235–243. [Google Scholar] [CrossRef]
- Wang, C.; Xue, L.; Dong, Y.; Jiao, R. Effects of stand density on soil microbial community composition and enzyme activities in subtropical Cunninghamia lanceolate (Lamb.) Hook plantations. For. Ecol. Manag. 2021, 479, 118559. [Google Scholar] [CrossRef]
- Fang, H.; Liu, Y.; Bai, J.; Li, A.; Deng, W.; Bai, T.; Liu, X.; Lai, M.; Feng, Y.; Zhang, J.; et al. Impact of Moso Bamboo (Phyllostachys edulis) Expansion into Japanese Cedar Plantations on Soil Fungal and Bacterial Community Compositions. Forests 2022, 13, 1190. [Google Scholar] [CrossRef]
- Li, Y.; Li, Y.; Chang, S.; Xu, Q.; Guo, Z.; Gao, Q.; Qin, Z.; Yang, Y.; Chen, J.; Liang, X. Bamboo invasion of broadleaf forests altered soil fungal community closely linked to changes in soil organic C chemical composition and mineral N production. Plant Soil 2017, 418, 507–521. [Google Scholar] [CrossRef]
- Liu, B. The Effects of Different Eucalyptus Stand on Soil Fungal Community Structures and Functions; Nanjing Forestry University: Nanjing, China, 2020. (In Chinese) [Google Scholar]
- Peng, H.; Zhou, H.; Zhang, G.; Wang, H. Composition structure and diversity of soil fungi community in Ormosia hosiei plantations at different ages. J. Cent. South Univ. For. Technol. 2021, 41, 129–135. (In Chinese) [Google Scholar]
- Zheng, Y.; Hong, W. Moso Bamboo Management; Xiamen University Press: Xiamen, China, 1998. [Google Scholar]
- Fang, K.; Yang, Q.; Shi, J.; Wu, L.; Guo, Q.; Li, J.; Yang, G. A primary study on chemical characteristics’variation of moso bamboo wood from subtropical zone. Acta Agric. Univ. Jiangxiensis 2009, 31, 679–684. (In Chinese) [Google Scholar]
- Tang, W. Effect of bamboo stump rotting on soil physicochemical properties. Word Bamboo Ratt. 2013, 11, 31–33. (In Chinese) [Google Scholar] [CrossRef]
- He, L.; Chen, L.; Shai, H.; Qi, J.; Jiang, Y.; Xiao, H.; Chen, Y.; Huang, X.; Xie, J. Microstructure and physicochemical properties of the anisotropic moso bamboo (Phyllostachys pubescens) surface. Eur. J. Wood Prod. 2022, 80, 277–288. [Google Scholar] [CrossRef]
- Fan, F. Seasonal Variation of Starch Content in Dendrocalamus giganeus and Phyllostachys edulis and Its relationship to Insect Damages; Southwest Forestry University: Kunming, China, 2010. (In Chinese) [Google Scholar]
- Yang, X.; Pang, X.; Liu, X.; Yang, S.; Li, X. Determining the pore structure and radial variability of moso bamboo (Phyllostachys edulis). Wood Sci. Technol. 2023, 57, 345–357. [Google Scholar] [CrossRef]
- Wen, T. The Research on Bamboo Lignin Degradation and Efficiency Composite Construction of Strains in the Fermentation Process; Central South University of Forestry and Technology: Changsha, China, 2016. (In Chinese) [Google Scholar]
- Wei, X.; Wang, G.; Smith, L.; Chen, X.; Jiang, H. Effects of gradient distribution and aggregate structure of fibers on the flexibility and flexural toughness of natural moso bamboo (Phyllostachys edulis). J. Mater. Res. Technol. 2022, 16, 853–863. [Google Scholar] [CrossRef]
- Wu, C. Early Response of Soil Microbial Community Structure after Strip Cutting in Moso Bamboo Forest in Central Fujian; Chinese Academy of Forest: Beijing, China, 2020. (In Chinese) [Google Scholar]
- Yan, S. The Different Soil Microbial Characteristics of Moso Bamboo and Chinese Fir as well as Its Affecting Mechanism; Zhejiang A&F University: Hangzhou, China, 2021. (In Chinese) [Google Scholar]
- Yan, S.; Liu, M.; Liu, C.; Zhao, M.; Qiu, W.; Gu, J.; Feng, G.; Gao, J.; Cai, L.; Xu, Q. Soil Microbial Diversity is Higher in Pure Stands of Moso Bamboo than in Pure Stands of Chinese Fir. Acta Pedol. Sin. 2022, 59, 1704–1717. (In Chinese) [Google Scholar] [CrossRef]
- Wei, X.; Yuan, J.; Wang, G.; Chen, F.; Chen, X.; Jiang, H.; Smith, L.; Deng, J. Effect of chemical composition and cell structure on water vapor sorption behavior of parenchyma cells and fiber cells in moso bamboo (Phyllostachys edulis). Ind. Crop. Prod. 2022, 178, 114652. [Google Scholar] [CrossRef]
- Hellequin, E.; Monard, C.; Quaiser, A.; Henriot, M.; Klarzynski, O.; Binet, F. Specific recruitment of soil bacteria and fungi decomposers following a biostimulant application increased crop residues mineralization. PLoS ONE 2018, 13, e0209089. [Google Scholar] [CrossRef]
- Dong, X. Changing Characteristics and Influencing Factors of the Soil Microbial Community during Litter Decomposition in the Mixed Quercus acutissima Carruth. and Robinia pseudoacacia L. Forest; Shandong Agricultural University: Tai’an, China, 2021. (In Chinese) [Google Scholar]
- Fuke, P.T.M.; Kumar, M.; Sawarkar, A.; Pandey, A.; Singh, L. Role of microbial diversity to influence the growth and environmental remediation capacity of bamboo: A review. Ind. Crop. Prod. 2021, 167, 113567. [Google Scholar] [CrossRef]
- Cairney, J. Basidiomycete mycelia in forest soils: Dimensions, dynamics and roles in nutrient distribution. Mycol. Res. 2005, 109, 7–20. [Google Scholar] [CrossRef] [PubMed]
- Lundell, T.; Mäkelä, M.; Hildén, K. Lignin-modifying enzymes in filamentous basidiomycetes-ecological, functional and phylogenetic review. J. Basic Microbiol. 2010, 50, 5–20. [Google Scholar] [CrossRef]
- Yang, J. Taxonomy and Phylogeny of Hymenochaete in China; Beijing Forestry University: Beijing, China, 2016. (In Chinese) [Google Scholar]
- Aliyu, H.; Gorte, O.; Neumann, A.; Ochsenreither, K. Draft genome sequence of the oleaginous yeast Saitozyma podzolica (syn. Cryptococcus podzolicus) DSM 27192. Microbiol. Resour. Announc. 2019, 8, e01676-18. [Google Scholar] [CrossRef]
- Cai, L. Relationship between Ecological Stoichiometric Characteristics and Fungal Diversity of Fallen Logs and Soil; South China Agricultural University: Guangzhou, China, 2018. (In Chinese) [Google Scholar]
- Wang, L. Influence Mechanism of the Increasing Stand Age on Litter Decomposition of the Robinia Pseudoacacia Plantations in the Loess Hilly Region; Yan’an University: Yan’an, China, 2022. (In Chinese) [Google Scholar]
- Wang, Q.; Gao, M.; Liu, M.; Wang, H.; Dong, Y.; Wang, Y. Illumina Miseq sequencing-based fungal community of rhizosphere soils along root orders of poplar plantation. Chin. J. Appl. Ecol. 2017, 28, 1177–1183. [Google Scholar] [CrossRef]
- Janowski, D.; Leski, T. Landscape-scale mapping of soil fungal distribution: Proposing a new NGS-based approach. Sci. Rep. 2023, 13, 10280. [Google Scholar] [CrossRef] [PubMed]
- Wang, X.; Wei, Y. Population difference of polypores in northwest and southeast of China. Chin. J. Appl. Ecol. 2015, 26, 3160–3166. (In Chinese) [Google Scholar] [CrossRef]
- Zhang, L.; Wei, Y. Species diversity and distribution characters of wood-decaying fungi in Fenglin Nature Reverse. Chin. J. Ecol. 2016, 35, 2745–2751. (In Chinese) [Google Scholar] [CrossRef]
- Long, J.; Zhao, C.; Zhang, M.; Wu, J.; Wu, Q.; Huang, B.; Zhang, J. Effect of litter decomposition on soil microbes on different slopes. Chin. J. Ecol. 2019, 39, 2696–2704. (In Chinese) [Google Scholar] [CrossRef]
- Lin, Y. State of Disease During the Decay of Cryptomeria fortunei from Tianmu Mountain and Preliminary Control Measures for C. fortunei Decay; Shanghai Normal University: Shanghai, China, 2020. (In Chinese) [Google Scholar]
- Wang, S. Study on the Humic Substance Formed by Fungi Utilizing Cellulose and Lignin and Its Structural Characteristics; Jilin Agricultural University: Changchun, China, 2013. (In Chinese) [Google Scholar]
- Dong, H. Effects of Bamboo Litter Input on Soil Enzyme Activity, Microbial Community and Soil Organic Carbon Mineralization in a Broad-Leaved Forest; Zhejiang A&F University: Hangzhou, China, 2021. (In Chinese) [Google Scholar]
- Kong, D. Effect on Nitrogen and Carbon Content and Microbial Community Structure of Wheat-Soybean Rotation Soil under Straw Return and Fertilizer Application Treatments; Northwest A&F University: Xianyang, China, 2020. (In Chinese) [Google Scholar]
- Feng, B.; Yang, Z. Ectomycorrhizal symbioses: Diversity of mycobionts and molecular mechanisms that entail the development of ectomycorrhizae. Sci. Sin. Vitae 2019, 49, 436–444. (In Chinese) [Google Scholar] [CrossRef]
- Nan, Z.; Liu, Z.; Meng, W.; Dai, H.; Xu, J.; Wang, N.; Liu, L.; Wang, X.; Liu, K. Structure and Function of Soil Fungal Community in Rotation Fallow Farmland in Alluvial Plain of Lower Yellow River. Chin. J. Environ. Sci. 2022, 44, 482–493. [Google Scholar] [CrossRef]
- Sun, P.; Luo, Z.; Li, L.; Niu, Y.; Cai, L.; Liu, J.; Wang, X. Influences of continuous monoculture of alfalfa and rotation of annual crops on soil fungal communities in the semi-arid Loess Plateau. Chin. J. Eco-Agric. 2022, 30, 965–975. (In Chinese) [Google Scholar] [CrossRef]
- Luo, Q. New advances in research of the genus Penicillium. Chin. J. Pharm. Biotechnol. 2016, 23, 452–456. (In Chinese) [Google Scholar] [CrossRef]
- Liu, S.; Wu, H.; Wu, H.; Zhang, H.; Fan, Z. Diversity of Cellouse-decomposing Fungi and the Characteristic of Decomposition Under Planting Corn of Black Soil in Jilin Province. J. Maize Sci. 2008, 16, 112–116. (In Chinese) [Google Scholar] [CrossRef]
- Sui, X.; Zhang, R.; Xu, N.; Liu, Y.; Chai, C.; Wang, J.; Fu, X.; Zhong, H.; Ni, H. Fungal Community Structure of Different Degeneration Deyeuxia angustifolia Wetlands in Sanjiang Plain. Chin. J. Environ. Sci. 2016, 37, 3598–3605. (In Chinese) [Google Scholar] [CrossRef]
- Shao, Q.; Dong, C.; Zhang, Z.; Zheng, H.; Zou, X.; Han, Y.; Liang, Z. A preliminary investigation on fungal community in tree hole soil of Robinia pseudoacacia grown with different plants. Mycosystema 2019, 38, 822–830. (In Chinese) [Google Scholar] [CrossRef]
- Deng, J.; Zhu, W.; Zhang, Y.; Yin, Y.; Zhou, Y. Studies on soil fungal community composition and function characteristics of different plantations of sandy area, northwest Liaoning province. For. Res. 2020, 33, 44–54. (In Chinese) [Google Scholar] [CrossRef]
- Chen, W.; Yuan, W.; Guan, X.; Hu, Q. Biodiversity of Isaria in soil and its activity against Phyllotreta striolata. J. South China Agric. Univ. 2021, 42, 75–82. (In Chinese) [Google Scholar]











| Degree of Decomposition | Characteristics | |||
|---|---|---|---|---|
| Color | Bamboo Green, Bamboo Flesh, Bamboo Yellow | Bamboo Diaphragm | Bamboo Stump | |
| Mild decomposition | Light gray inside and outside of bamboo stumps | Hard and complete | Complete | More complete |
| Moderate decomposition | Gray to gray-brown outside and inside of bamboo stumps | Bamboo green slightly hard, Bamboo flesh and yellow become soft and partly hard | Incomplete | Some of the fine roots are decomposed and have fallen off |
| Heavy decomposition | Gray-brown to dark black outside and inside of bamboo stumps | Bamboo green, bamboo flesh, and bamboo yellow are soft and fragile | Decayed | A great number of vascular bundles are visible, and most of the bamboo stumps are soft and rotted |
| Fungal Communities | Inside and Outside Bamboo Stump | Degree of Decomposition | Inside and Outside Bamboo Stump × Degree of Decomposition | ||||||
|---|---|---|---|---|---|---|---|---|---|
| df | F | p | df | F | p | df | F | p | |
| Ascomycota | 3 | 0.189 | 0.674 | 3 | 3.395 | 0.080 | 9 | 0.226 | 0.802 |
| Basidiomycota | 3 | 4.613 | 0.060 | 3 | 1.614 | 0.252 | 9 | 0.965 | 0.417 |
| Mortierellomycota | 3 | 7.671 | 0.022 | 3 | 0.957 | 0.420 | 9 | 1.29 | 0.322 |
| Rozellomycota | 3 | 6.124 | 0.035 | 3 | 0.590 | 0.574 | 9 | 0.571 | 0.584 |
| Chytridiomycota | 3 | 43.011 | <0.001 | 3 | 32.342 | <0.001 | 9 | 35.946 | <0.001 |
| Mucoromycota | 3 | 57.616 | <0.001 | 3 | 9.91 | 0.005 | 9 | 8.200 | 0.009 |
| Saitozyma | 3 | 10.023 | 0.011 | 3 | 0.636 | 0.552 | 9 | 0.892 | 0.443 |
| Trichoderma | 3 | 8.173 | 0.019 | 3 | 1.936 | 0.200 | 9 | 1.680 | 0.240 |
| Clitopilus | 3 | 0.197 | 0.668 | 3 | 0.177 | 0.840 | 9 | 1.285 | 0.323 |
| Hymenochaete | 3 | 4.667 | 0.059 | 3 | 4.115 | 0.054 | 9 | 4.144 | 0.053 |
| Penicillium | 3 | 591.626 | <0.001 | 3 | 329.512 | <0.001 | 9 | 336.624 | <0.001 |
| Hydropus | 3 | 2.737 | 0.132 | 3 | 2.462 | 0.140 | 9 | 2.156 | 0.172 |
| Trechispora | 3 | 3.172 | 0.109 | 3 | 2.722 | 0.119 | 9 | 2.027 | 0.188 |
| Sphaerobolus | 3 | 0.253 | 0.627 | 3 | 0.914 | 0.435 | 9 | 0.112 | 0.895 |
| Cyphellophora | 3 | 1.667 | 0.229 | 3 | 1.047 | 0.390 | 9 | 0.911 | 0.436 |
| Phyllachora | 3 | 0.669 | 0.435 | 3 | 3.409 | 0.079 | 9 | 0.532 | 0.605 |
Disclaimer/Publisher’s Note: The statements, opinions and data contained in all publications are solely those of the individual author(s) and contributor(s) and not of MDPI and/or the editor(s). MDPI and/or the editor(s) disclaim responsibility for any injury to people or property resulting from any ideas, methods, instructions or products referred to in the content. |
© 2023 by the authors. Licensee MDPI, Basel, Switzerland. This article is an open access article distributed under the terms and conditions of the Creative Commons Attribution (CC BY) license (https://creativecommons.org/licenses/by/4.0/).
Share and Cite
Liang, F.; Yu, L.; Jin, C.; Huang, X.; Huang, Y.; Tang, L.; Tang, L.; Ma, X.; Cai, L. Structural and Functional Characteristics of Soil Fungal Communities near Decomposing Moso Bamboo Stumps. Forests 2023, 14, 1808. https://doi.org/10.3390/f14091808
Liang F, Yu L, Jin C, Huang X, Huang Y, Tang L, Tang L, Ma X, Cai L. Structural and Functional Characteristics of Soil Fungal Communities near Decomposing Moso Bamboo Stumps. Forests. 2023; 14(9):1808. https://doi.org/10.3390/f14091808
Chicago/Turabian StyleLiang, Fengna, Le Yu, Cheng Jin, Xiao Huang, Yonglai Huang, Luhong Tang, Longxing Tang, Xiangqing Ma, and Liping Cai. 2023. "Structural and Functional Characteristics of Soil Fungal Communities near Decomposing Moso Bamboo Stumps" Forests 14, no. 9: 1808. https://doi.org/10.3390/f14091808
APA StyleLiang, F., Yu, L., Jin, C., Huang, X., Huang, Y., Tang, L., Tang, L., Ma, X., & Cai, L. (2023). Structural and Functional Characteristics of Soil Fungal Communities near Decomposing Moso Bamboo Stumps. Forests, 14(9), 1808. https://doi.org/10.3390/f14091808
