Evaluation of the 20-Year Restoration Process in an Air-Pollution-Damaged Forest near the Ulsan Industrial Complex, Korea
Abstract
1. Introduction
2. Materials and Methods
2.1. The Study Area
2.2. Restoration Practice
2.3. Soil Analysis
2.4. Vegetation Analysis
2.5. Evaluation of Restoration Effect Based on Chemical Properties of Soil
2.6. Evaluation of Restoration Effect Based on Vegetation Structure
3. Results
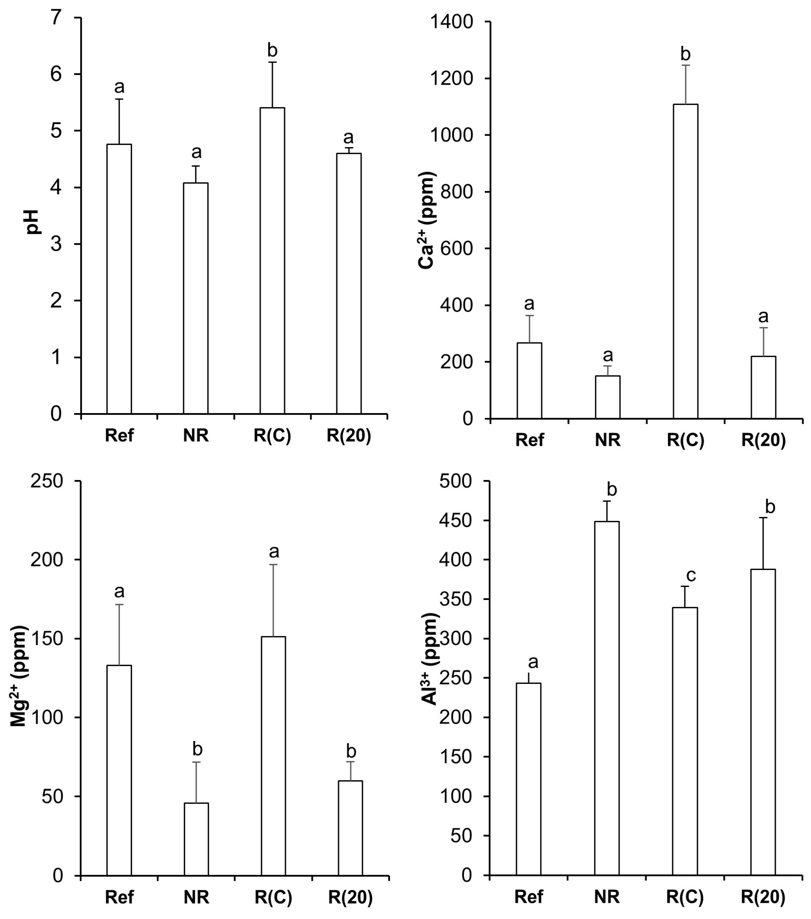
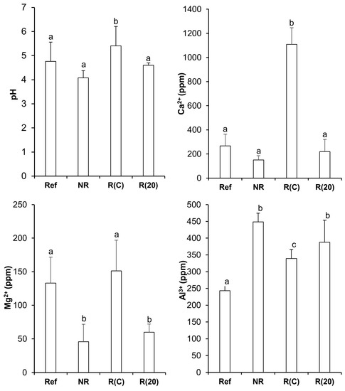
3.1. Soil Properties
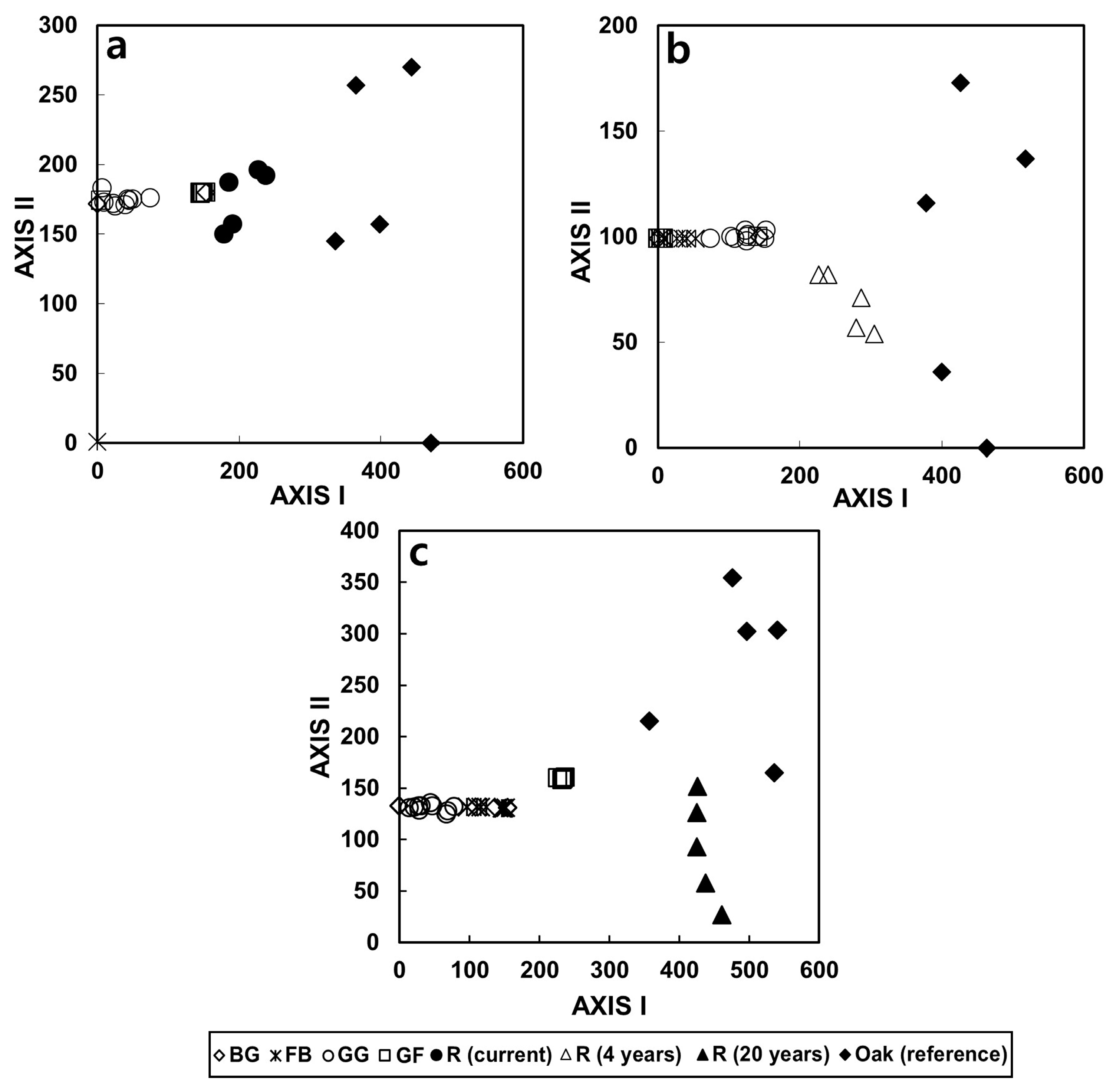
3.2. Species Composition
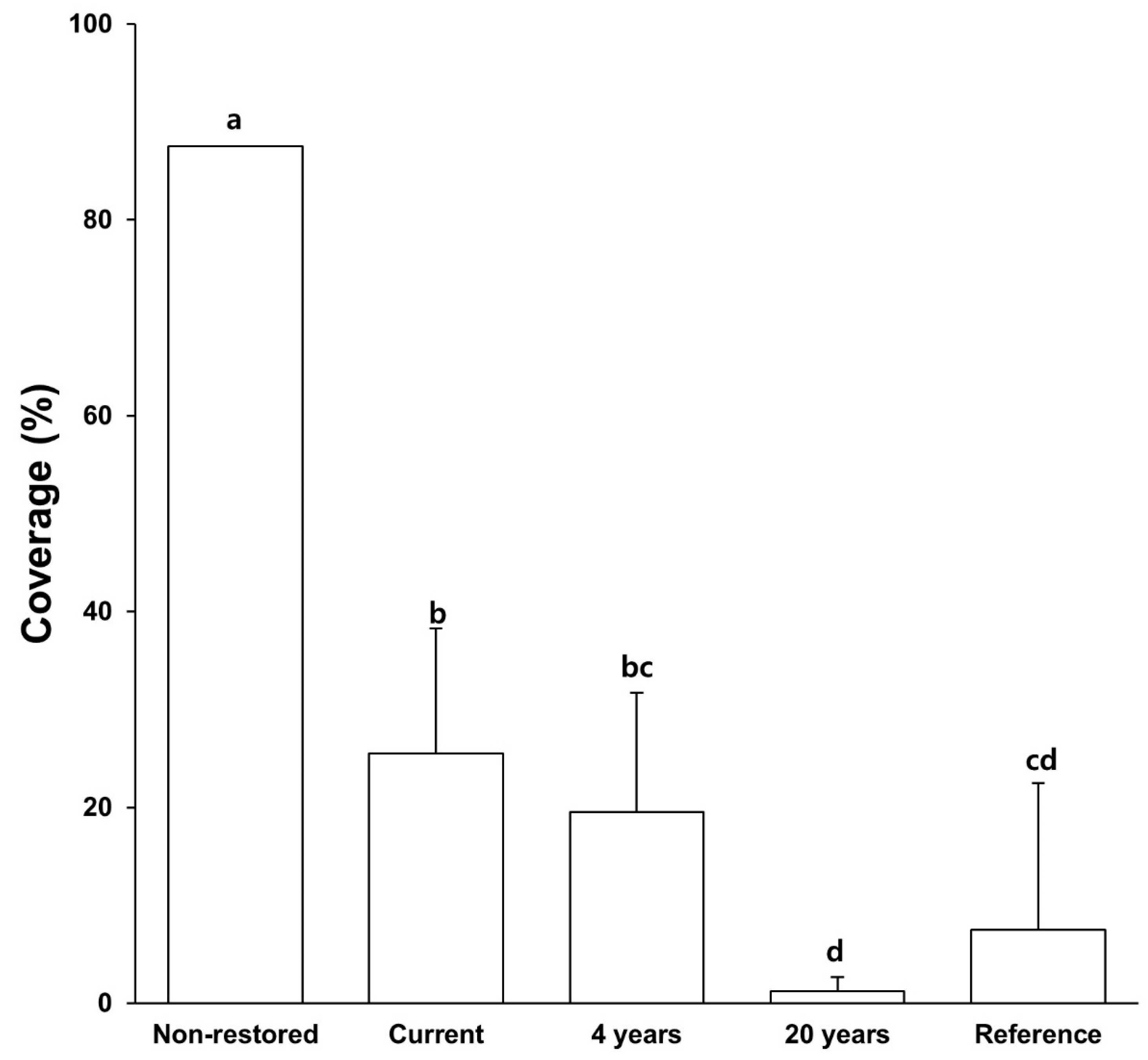
3.3. Coverage of Miscanthus sinensis
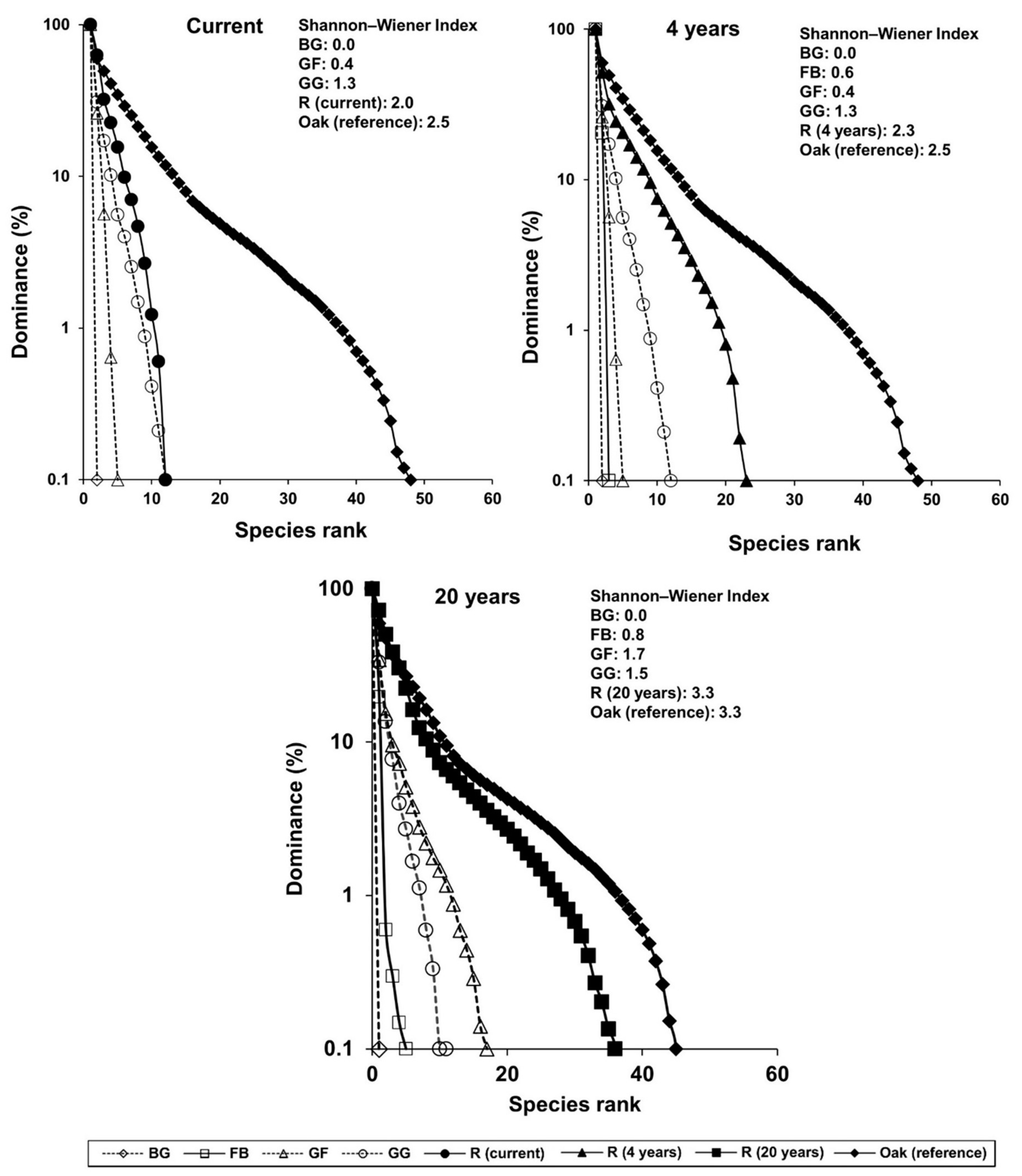
3.4. Species Diversity
3.5. Exotic Species
3.6. Vegetation Dynamics
4. Discussion
4.1. Restoration Effects Confirmed from Soil Physico-Chemical Properties
4.2. Vegetation Development
4.3. Percentage of Exotic Species
4.4. Evaluation of Restoration Effect
5. Conclusions
Author Contributions
Funding
Data Availability Statement
Conflicts of Interest
References
- Lee, H.; Lim, B.S.; Kim, D.U.; Kim, A.R.; Seol, J.W.; Lim, C.H.; Kil, J.H.; Moon, J.S.; Lee, C.S. Decline and passive restoration of forest vegetation around the Yeocheon industrial complex of Southern Korea. Forests 2020, 11, 674. [Google Scholar] [CrossRef]
- Lee, C.S.; Moon, J.S.; Cho, Y.C. Effects of soil amelioration and tree planting on restoration of an air-pollution damaged forest in south Korea. Water Air Soil Pollut. 2007, 179, 239–254. [Google Scholar] [CrossRef]
- Lee, C.S.; Moon, J.S.; Hwangbo, J.K.; You, Y.H. Selection of pollution-tolerant plants and restoration planning to recover the forest ecosystem degraded by air pollution in the industrial complex. Kor. J. Biol. Sci. 2002, 6, 59–64. [Google Scholar] [CrossRef]
- Freedman, R.; Hall, M.; Adler, L.E.; Leonard, S. Evidence in postmortem brain tissue for decreased numbers of hippocampal nicotinic receptors in schizophrenia. Biol. Psychiatry 1995, 38, 22–33. [Google Scholar] [CrossRef] [PubMed]
- Lee, C.S.; Cho, Y.C.; Shin, H.C.; Lee, S.M.; Oh, W.S.; Park, S.; Seol, E.S.; Lee, C.H.; Eom, A.H.; Cho, H.J. An Evaluation of the Effects of Rehabilitation Practiced in Coal Mining Spoils in Korea: 2. An Evaluation Based on the Physicochemical Properties of Soil. J. Ecol. Environ. 2008, 31, 23–29. [Google Scholar] [CrossRef]
- Lee, C.S.; Jung, S.; Lim, B.S.; Kim, A.R.; Lim, C.H.; Lee, H. Forest decline under progress in the urban forest of Seoul, Central Korea. In Forest Degradation Around the World; Nazip Suratman, M., Abd Latif, Z., De Oliveira, G., Brunsell, N., Shimabukuro, Y., Antonio Costa Dos Santos, C., Eds.; IntechOpen: London, UK, 2019. [Google Scholar]
- Kim, G.S.; Kim, A.R.; Lim, B.S.; Seol, J.; An, J.H.; Lim, C.H.; Joo, S.J.; Lee, C.S. Assessment of the Carbon Budget of Local Governments in South Korea. Atmosphere 2022, 13, 342. [Google Scholar] [CrossRef]
- Gunn, J.; Keller, W.; Negusanti, J.; Potvin, R.; Beckett, P.; Winterhalder, K. Ecosystem recovery after emission reductions: Sudbury, Canada. Water Air Soil Pollut. 1995, 85, 1783–1788. [Google Scholar] [CrossRef]
- Aronson, J.; Floret, C.; Le Floc’h, E.; Ovalle, C.; Pontanier, R. Restoration and rehabilitation of degraded ecosystems in arid and semi-arid lands. I. A view from the south. Restor. Ecol. 1993, 1, 8–17. [Google Scholar] [CrossRef]
- McDonald, T.; Gann, G.; Jonson, J.; Dixon, K. International Standards for the Practice of Ecological Restoration–Including Principles and Key Concepts; Society for Ecological Restoration: Washington, DC, USA, 2016. [Google Scholar]
- Gann, G.D.; McDonald, T.; Walder, B.; Aronson, J.; Nelson, C.R.; Jonson, J.; Hallett, J.G.; Eisenberg, C.; Guariguata, M.R.; Liu, J. International principles and standards for the practice of ecological restoration. Restor. Ecol. 2019, 27, S1–S46. [Google Scholar] [CrossRef]
- Society for Ecological Restoration International Science (SERI) and Policy Working Group (PWG). The SER International Primer on Ecological Restoration; Society for Ecological Restoration International: Tucson, AZ, USA, 2004. [Google Scholar]
- Lim, C.H.; Kim, G.S.; An, J.H.; You, B.H.; Bae, Y.S.; Byun, H.G.; Lee, C.S. Relationship between biodiversity and landscape structure in the Gyungan stream basin, central Korea. Entomol. Res. 2016, 46, 260–271. [Google Scholar] [CrossRef]
- Kondolf, G.M.; Anderson, S.; Lave, R.; Pagano, L.; Merenlender, A.; Bernhardt, E. Two decades of river restoration in California: What can we learn? Restor. Ecol. 2007, 15, 516–523. [Google Scholar] [CrossRef]
- Palmer, M.; Allan, J.D.; Meyer, J.; Bernhardt, E.S. River restoration in the twenty-first century: Data and experiential knowledge to inform future efforts. Restor. Ecol. 2007, 15, 472–481. [Google Scholar] [CrossRef]
- Tischew, S.; Baasch, A.; Conrad, M.K.; Kirmer, A. Evaluating restoration success of frequently implemented compensation measures: Results and demands for control procedures. Restor. Ecol. 2010, 18, 467–480. [Google Scholar] [CrossRef]
- Wilson, K.A.; Lulow, M.; Burger, J.; Fang, Y.C.; Andersen, C.; Olson, D.; O’Connell, M.; McBride, M.F. Optimal restoration: Accounting for space, time and uncertainty. J. Appl. Ecol. 2011, 48, 715–725. [Google Scholar] [CrossRef]
- Lindenmayer, D.B.; Likens, G.E.; Franklin, J.F. Rapid responses to facilitate ecological discoveries from major disturbances. Front. Ecol. Environ. 2010, 8, 527–532. [Google Scholar] [CrossRef]
- Palmer, M.A.; Filoso, S. Restoration of ecosystem services for environmental markets. Science 2009, 325, 575–576. [Google Scholar] [CrossRef]
- Wortley, L.; Hero, J.M.; Howes, M. Evaluating ecological restoration success: A review of the literature. Restor. Ecol. 2013, 21, 537–543. [Google Scholar] [CrossRef]
- Noss, R.F. Indicators for Monitoring Biodiversity: A Hierarchical Approach. Conserv. Biol. 1990, 4, 355–364. [Google Scholar] [CrossRef]
- Aronson, J.; Le Floc’h, E. Vital Landscape Attributes: Missing Tools for Restoration Ecology. Restor. Ecol. 1996, 4, 377–387. [Google Scholar] [CrossRef]
- Ruiz-Jaen, M.C.; Mitchell Aide, T. Restoration success: How is it being measured? Restor. Ecol. 2005, 13, 569–577. [Google Scholar] [CrossRef]
- Ruiz-Jaén, M.C.; Aide, T.M. Vegetation structure, species diversity, and ecosystem processes as measures of restoration success. For. Ecol. Manag. 2005, 218, 159–173. [Google Scholar] [CrossRef]
- Korea Meteorological Administration. KMA Weather Data Service. Available online: https://data.kma.go.kr (accessed on 29 June 2023).
- Lee, J.T.; Shin, D.; Chung, Y. Air pollution and daily mortality in Seoul and Ulsan, Korea. Environmental Health Perspectives 1999, 107, 149–154. [Google Scholar] [CrossRef] [PubMed]
- Kim, J.H.; Mun, H.T.; Cho, D.S.; Lee, C.S. Selection and Breeding of Tolerant Species and Bioindicator to Air Pollution and Acid Rain; A research report for development of the advanced technology; Ministry of Environment of Korea: Seoul, Korea, 1996; (In Korean with English summary).
- Lee, C.S.; Lee, K.S.; Hwangbo, J.K.; You, Y.H.; Kim, J.H. Selection of Tolerant Plants and Their Arrangement to Restore a Forest Ecosystem Damaged by Air Pollution. Water Air Soil Pollut. 2004, 156, 251–273. [Google Scholar] [CrossRef]
- Allen, S.E.; Grimshaw, H.M.; Rowland, A.P. Chemical Analysis. Methods in Plant Ecology; Moore, P.D., Chapman, S.B., Eds.; Blackwell: London, UK, 1986. [Google Scholar]
- Lee, T.B. Illustrated Flora of Korea; HyangMoonSa: Seoul, Korea, 1985. [Google Scholar]
- Korea National Arboretum. Korean Plant Names Index. Available online: http://www.nature.go.kr/kbi/plant/pilbk/selectPlantPilbkGnrlList.do (accessed on 29 June 2023).
- Braun-Blanquet, J. Pflanzengesellschaft und Biozönose. In Pflanzensoziologie; Springer: Vienna, Austria, 1964; pp. 1–6. [Google Scholar] [CrossRef]
- Hill, M.O. A Fortran program for detrended correspondence analysis and reciprocal averaging. Vegetatio 1979, 42, 47–58. [Google Scholar] [CrossRef]
- Kent, M.; Coker, P. Vegetation Description and Analysis: A Practical Approach; John Wiley & Sons: Chichester, UK, 1992. [Google Scholar]
- Lee, C.S.; You, Y.H.; Robinson, G.R. Secondary Succession and Natural Habitat Restoration in Abandoned Rice Fields of Central Korea. Restor. Ecol. 2002, 10, 306–314. [Google Scholar] [CrossRef]
- Magurran, A.E. Measuring Biological Diversity; Blackwell: New York, NY, USA, 2004. [Google Scholar]
- Shaaban, M.; Peng, Q.; Hu, R.; Wu, Y.; Lin, S.; Zhao, J. Dolomite application to acidic soils: A promising option for mitigating N2O emissions. Environ. Sci. Pollut. Res. 2015, 22, 19961–19970. [Google Scholar] [CrossRef] [PubMed]
- Litvinovich, A.; Lavrishchev, A.; Bure, V.; Zhapparova, A.; Kekilbayeva, G.; Saljnikov, E. Impact of dolomite rock waste on soil acidity and absorption of Ca and Mg by barley and wheat. Ciência E Agrotecnologia 2023, 47, e006622. [Google Scholar] [CrossRef]
- Singh, A.; Agrawal, M.; Marshall, F.M. The role of organic vs. inorganic fertilizers in reducing phytoavailability of heavy metals in a wastewater-irrigated area. Ecol. Eng. 2010, 36, 1733–1740. [Google Scholar] [CrossRef]
- Kim, A.R.; Lim, B.S.; Seol, J.; Lim, C.H.; You, Y.H.; Lee, W.S.; Lee, C.S. Diagnostic Assessment and Restoration Plan for Damaged Forest around the Seokpo Zinc Smelter, Central Eastern Korea. Forests 2021, 12, 663. [Google Scholar] [CrossRef]
- Hutchinson, S. Grounded theory. In Nursing Research: A Qualitative Perspective; Munhall, P., Oiler, C., Eds.; Appleton-Century-Crofts: Norwalk, CA, USA, 1986; pp. 111–130. [Google Scholar]
- Ma, J.F. Syndrome of aluminum toxicity and diversity of aluminum resistance in higher plants. Int. Rev. Cytol. 2007, 264, 225–252. [Google Scholar]
- Nguyen, A.; Nguyen, T.T.; Nguyen, D.K.; Richter, O.; Do, H.T.T. Management of Al3+ Residue in the Soil by Mapping Soil Capability in Retaining and Transporting Al3+ in the Farmland of Trang Bom District, Vietnam. Agronomy 2022, 12, 1243. [Google Scholar] [CrossRef]
- IQBAL, T. Effect of Al compounds on soil pH and bioavailability of Al in two acid soils. Turk. J. Agric. For. 2012, 36, 720–728. [Google Scholar] [CrossRef]
- Rahman, M.A.; Lee, S.H.; Ji, H.C.; Kabir, A.H.; Jones, C.S.; Lee, K.W. Importance of mineral nutrition for mitigating aluminum toxicity in plants on acidic soils: Current status and opportunities. Int. J. Mol. Sci. 2018, 19, 3073. [Google Scholar] [CrossRef]
- Li, X.; Li, Y.; Mai, J.; Tao, L.; Qu, M.; Liu, J.; Shen, R.; Xu, G.; Feng, Y.; Xiao, H. Boron Alleviates Aluminum Toxicity by Promoting Root Alkalization in Transition Zone via Polar Auxin Transport. Plant Physiol. 2018, 177, 1254–1266. [Google Scholar] [CrossRef] [PubMed]
- Liu, W.; Xu, F.; Lv, T.; Zhou, W.; Chen, Y.; Jin, C.; Lu, L.; Lin, X. Spatial responses of antioxidative system to aluminum stress in roots of wheat (Triticum aestivum L.) plants. Sci. Total Environ. 2018, 627, 462–469. [Google Scholar] [CrossRef] [PubMed]
- Sun, C.; Lv, T.; Huang, L.; Liu, X.; Jin, C.; Lin, X. Melatonin ameliorates aluminum toxicity through enhancing aluminum exclusion and reestablishing redox homeostasis in roots of wheat. J. Pineal Res. 2020, 68, e12642. [Google Scholar] [CrossRef]
- Sumner, M.E.; Fey, M.V.; Noble, A.D. Nutrient Status and Toxicity Problems in Acid Soils; Ulrich, B., Sumner, M.E., Eds.; Springer: Berlin, Germany, 1991; pp. 149–182. [Google Scholar] [CrossRef]
- Meriño-Gergichevich, C.; Alberdi, M.; Ivanov, A.; Reyes-Díaz, M. Al3+-Ca2+ interaction in plants growing in acid soils: Al-phytotoxicity response to calcareous amendments. J. Soil Sci. Plant Nutr. 2010, 10, 217–243. [Google Scholar]
- Hue, N. Correcting soil acidity of a highly weathered Ultisol with chicken manure and sewage sludge. Commun. Soil Sci. Plant Anal. 1992, 23, 241–264. [Google Scholar] [CrossRef]
- Chen, D.; Ye, X.; Jiang, Y.; Xiao, W.; Zhang, Q.; Zhao, S.; Shao, S.; Gao, N.; Huang, M.; Hu, J. Continuously applying compost for three years alleviated soil acidity and heavy metal bioavailability in a soil-asparagus lettuce system. Front. Plant Sci. 2022, 13, 972789. [Google Scholar] [CrossRef]
- Rodríguez-Espinosa, T.; Navarro-Pedreño, J.; Gómez Lucas, I.; Almendro Candel, M.B.; Pérez Gimeno, A.; Zorpas, A.A. Soluble Elements Released from Organic Wastes to Increase Available Nutrients for Soil and Crops. Appl. Sci. 2023, 13, 1151. [Google Scholar] [CrossRef]
- Wong, M.; Swift, R.S. Role of organic matter in alleviating soild acidity. In Handbook of Soil Acidity, 1st ed.; Rengel, Z., Ed.; CRC Press: Boca Raton, FL, USA, 2003; pp. 351–372. [Google Scholar]
- Kacprzak, M.; Kupich, I.; Jasinska, A.; Fijalkowski, K. Bio-based waste’substrates for degraded soil improvement—Advantages and challenges in European context. Energies 2022, 15, 385. [Google Scholar] [CrossRef]
- Kreutzer, K. Effects of forest liming on soil processes. In Nutrient Uptake and Cycling in Forest Ecosystems: Proceedings of the CEC/IUFRO Symposium Nutrient Uptake and Cycling in Forest Ecosystems, Halmstad, Sweden, 7–10 June 1993; Springer: Berlin/Heidelberg, Germany, 1993; pp. 447–470. [Google Scholar]
- Singh, R.P.; Singh, P.; Ibrahim, M.H.; Hashim, R. Land application of sewage sludge: Physicochemical and microbial response. In Reviews of Environmental Contamination and Toxicology; Springer: New York, NY, USA, 2011; pp. 41–61. [Google Scholar] [CrossRef]
- Kaupenjohann, M.; Hantschel, R. Die kurzfristige pH-Pufferung von gestörten und ungestörten Waldbodenproben. Z. Für Pflanzenernährung Und Bodenkd. 1987, 150, 156–160. [Google Scholar] [CrossRef]
- Winterhalder, B.; Smith, E.A. Analyzing adaptive strategies: Human behavioral ecology at twenty-five. Evol. Anthropol. 2000, 9, 51–72. [Google Scholar] [CrossRef]
- Gordon, A.G.; Gorham, E. Ecological aspects of air pollution from an iron-sintering plant at Wawa, Ontario. Can. J. Bot. 1963, 41, 1063–1078. [Google Scholar] [CrossRef]
- Woods, C.L.; Maleta, K.; Ortmann, K. Plant–plant interactions change during succession on nurse logs in a northern temperate rainforest. Ecol. Evol. 2021, 11, 9631–9641. [Google Scholar] [CrossRef] [PubMed]
- Connell, J.H.; Slatyer, R.O. Mechanisms of succession in natural communities and their role in community stability and organization. Am. Nat. 1977, 111, 1119–1144. [Google Scholar] [CrossRef]
- Del Moral, R.; Bliss, L.C. Mechanisms of primary succession: Insights resulting from the eruption of Mount St Helens. In Advances in Ecological Research; Begon, M., Fitter, A.H., Eds.; Academic Press: Cambridge, MA, USA, 1993; Volume 24, pp. 1–66. [Google Scholar]
- Walker, L.R.; Shiels, A.B.; Bellingham, P.J.; Sparrow, A.D.; Fetcher, N.; Landau, F.H.; Lodge, D.J. Changes in abiotic influences on seed plants and ferns during 18 years of primary succession on P uerto R ican landslides. J. Ecol. 2013, 101, 650–661. [Google Scholar] [CrossRef]
- Strydom, T.; Kraaij, T.; Difford, M.; Cowling, R.M. Fire severity effects on resprouting of subtropical dune thicket of the Cape Floristic Region. PeerJ 2020, 8, e9240. [Google Scholar] [CrossRef]
- Puyravaud, J.P. Standardizing the calculation of the annual rate of deforestation. For. Ecol. Manag. 2003, 177, 593–596. [Google Scholar] [CrossRef]
- Young, T.P.; Peffer, E. “Recalcitrant understory layers” revisited: Arrested succession and the long life-spans of clonal mid-successional species. Can. J. For. Res. 2010, 40, 1184–1188. [Google Scholar] [CrossRef]
- Wright, S.J.; Muller-Landau, H.C.; Condit, R.; Hubbell, S.P. Gap-dependent recruitment, realized vital rates, and size distributions of tropical trees. Ecology 2003, 84, 3174–3185. [Google Scholar] [CrossRef]
- White, E.P.; Ernest, S.M.; Kerkhoff, A.J.; Enquist, B.J. Relationships between body size and abundance in ecology. Trends Ecol. Evol. 2007, 22, 323–330. [Google Scholar] [CrossRef] [PubMed]
- Deb, P.; Sundriyal, R. Tree regeneration and seedling survival patterns in old-growth lowland tropical rainforest in Namdapha National Park, north-east India. For. Ecol. Manag. 2008, 255, 3995–4006. [Google Scholar] [CrossRef]
- Kohira, M.; Ninomiya, I. Detecting tree populations at risk for forest conservation management: Using single-year vs. long-term inventory data. For. Ecol. Manag. 2003, 174, 423–435. [Google Scholar] [CrossRef]
- Chew, R.M.; Chew, A.E. The Primary Productivity of a Desert-Shrub (Larrea tridentata) Community. Ecol. Monogr. 1965, 35, 355–375. [Google Scholar] [CrossRef]
- Barbour, M.T. Rapid Bioassessment Protocols for Use in Wadeable Streams and Rivers: Periphyton, Benthic Macroinvertebrates and Fish; US Environmental Protection Agency, Office of Water: Washington, DC, USA, 1999.
- Lykke, A.M. Assessment of species composition change in savanna vegetation by means of woody plants' size class distributions and local information. Biodivers. Conserv. 1998, 7, 1261–1275. [Google Scholar] [CrossRef]
- Bin, Y.; Lin, G.; Li, B.; Wu, L.; Shen, Y.; Ye, W. Seedling recruitment patterns in a 20 ha subtropical forest plot: Hints for niche-based processes and negative density dependence. Eur. J. For. Res. 2012, 131, 453–461. [Google Scholar] [CrossRef]
- Dyakov, N.; Zhelev, P. Alien species invasion and diversity of riparian forest according to environmental gradients and disturbance regime. Appl. Ecol. Environ. Res. 2013, 11, 249–272. [Google Scholar] [CrossRef]
- Cronk, Q.C.; Fuller, J.L. Plant Invaders: The Threat to Natural Ecosystems; Routledge: England, UK, 2014. [Google Scholar]
- Mooney, H.A.; Mack, R.; McNeely, J.A.; Neville, L.E.; Schei, P.J.; Waage, J.K. Invasive Alien Species: A New Synthesis; Island Press: Washington, DC, USA, 2005. [Google Scholar]
- Rawlins, J.K.; Roundy, B.A.; Davis, S.M.; Egget, D. Predicting germination in semi-arid wildland seedbeds. I. Thermal germination models. Environ. Exp. Bot. 2012, 76, 60–67. [Google Scholar] [CrossRef]
- Kowarik, I. Neophytes in Germany: Quantitative overview, introduction and dispersal pathways, ecological consequences and open questions. Texte Des Umweltbundesamtes Berl. 1999, 18, 12–36. [Google Scholar]
- Shiferaw, W.; Demissew, S.; Bekele, T. Invasive alien plant species in Ethiopia: Ecological impacts on biodiversity a review paper. Int. J. Mol. Biol. 2018, 3, 171–178. [Google Scholar] [CrossRef]
- Meyer, S.E.; Callaham, M.A.; Stewart, J.E.; Warren, S.D. Invasive species response to natural and anthropogenic disturbance. In Invasive Species in Forests and Rangelands of the United States: A Comprehensive Science Synthesis for the United States Forest Sector; Springer Nature: London, UK, 2021; pp. 85–110. [Google Scholar]
- McNeely, J.A. Cities and protected areas: An oxymoron or a partnership? Parks 2001, 11, 1–3. [Google Scholar]
- Daly, E.Z.; Chabrerie, O.; Massol, F.; Facon, B.; Hess, M.C.M.; Tasiemski, A.; Grandjean, F.; Chauvat, M.; Viard, F.; Forey, E.; et al. A synthesis of biological invasion hypotheses associated with the introduction–naturalisation–invasion continuum. Oikos 2023, 2023, e09645. [Google Scholar] [CrossRef]
- Rietkerk, M.; van de Koppel, J. Alternate stable states and threshold effects in semi-arid grazing systems. Oikos 1997, 79, 69–76. [Google Scholar] [CrossRef]
- Edmeades, D.C.; Ridley, A.M. Using lime to ameliorate topsoil and subsoil acidity. In Handbook of Soil Acidity, 1st ed.; Rengel, Z., Ed.; CRC Press: Boca Raton, FL, USA, 2003; pp. 311–350. [Google Scholar]
- Lee, C.S.; Kim, J.Y.; You, Y.H. Amelioration of soil acidified by air pollutant around the industrial complexes. Korean J. Ecol. 1998, 21, 313–320. [Google Scholar]
- Lake, P.S.; Bond, N.; Reich, P. Linking ecological theory with stream restoration. Freshw. Biol. 2007, 52, 597–615. [Google Scholar] [CrossRef]
- Hobbs, R.J.; Cramer, V.A. Restoration ecology: Interventionist approaches for restoring and maintaining ecosystem function in the face of rapid environmental change. Annu. Rev. Environ. Resour. 2008, 33, 39–61. [Google Scholar] [CrossRef]
- Bradshaw, A. Ecological principles and land reclamation practice. Landsc. Plan. 1984, 11, 35–48. [Google Scholar] [CrossRef]
- Bradshaw, Y.W. Urbanization and underdevelopment: A global study of modernization, urban bias, and economic dependency. Am. Sociol. Rev. 1987, 52, 224–239. [Google Scholar] [CrossRef]
- Lüderitz, V.; Zerbe, S.; Jüpner, R.; Arevalo, J.R. Ecosystem restoration and sustainable management of rivers and wetlands–Introduction to the special issue. Wald. Landschaftsforschung Und Naturschutz 2010, 10, 5–6. [Google Scholar]
- Lim, B.S.; Seol, J.; Kim, A.R.; An, J.H.; Lim, C.H.; Lee, C.S. Succession of the abandoned rice fields restores the riparian forest. Int. J. Environ. Res. Public Health 2022, 19, 10416. [Google Scholar] [CrossRef] [PubMed]
- Karr, J.R. Rivers as sentinels: Using the biology of rivers to guide landscape management. River Ecol. Manag. Lessons Pac. Coast. Ecoregion 1998, 1, 502–528. [Google Scholar]
- Karr, J.R. Ecological integrity and ecological health are not the same. Eng. Within Ecol. Constraints 1996, 97, 109. [Google Scholar]
- Naess, A. Ecosophy and gestalt ontology. The Trumpeter 1989, 6, 134–137. [Google Scholar]
- Naeem, S.; Chazdon, R.; Duffy, J.E.; Prager, C.; Worm, B. Biodiversity and human well-being: An essential link for sustainable development. Proc. R. Soc. B Biol. Sci. 2016, 283, 20162091. [Google Scholar] [CrossRef]
- Meffe, G.K.; Carroll, C. Principles of Conservation Biology; Sinauer Associates Inc.: Sunderland, MA, USA, 1997. [Google Scholar]
- Primack, R.B. A Primer of Conservation Biology; Sinauer Associates: Sunderland, MA, USA, 2008. [Google Scholar]
- Gao, T.; Zhu, L.; Zhang, T.; Song, R.; Zhang, Y.; Qiu, L. Is an environment with high biodiversity the most attractive for human recreation? A case study in Baoji, China. Sustainability 2019, 11, 4086. [Google Scholar] [CrossRef]
- Lee, C.S.; Cho, Y.C.; Shin, H.C.; Moon, J.S.; Lee, B.C.; Bae, Y.S.; Byun, H.G.; Yi, H.B. Ecological response of streams in Korea under different management regimes. Water Eng. Res. 2005, 6, 131–147. [Google Scholar]







Disclaimer/Publisher’s Note: The statements, opinions and data contained in all publications are solely those of the individual author(s) and contributor(s) and not of MDPI and/or the editor(s). MDPI and/or the editor(s) disclaim responsibility for any injury to people or property resulting from any ideas, methods, instructions or products referred to in the content. |
© 2023 by the authors. Licensee MDPI, Basel, Switzerland. This article is an open access article distributed under the terms and conditions of the Creative Commons Attribution (CC BY) license (https://creativecommons.org/licenses/by/4.0/).
Share and Cite
Kim, D.-U.; Lim, B.-S.; Seok, J.-E.; Kim, G.-S.; Moon, J.-S.; Lim, C.-H.; Lee, C.-S. Evaluation of the 20-Year Restoration Process in an Air-Pollution-Damaged Forest near the Ulsan Industrial Complex, Korea. Forests 2023, 14, 1565. https://doi.org/10.3390/f14081565
Kim D-U, Lim B-S, Seok J-E, Kim G-S, Moon J-S, Lim C-H, Lee C-S. Evaluation of the 20-Year Restoration Process in an Air-Pollution-Damaged Forest near the Ulsan Industrial Complex, Korea. Forests. 2023; 14(8):1565. https://doi.org/10.3390/f14081565
Chicago/Turabian StyleKim, Dong-Uk, Bong-Soon Lim, Ji-Eun Seok, Gyung-Soon Kim, Jeong-Sook Moon, Chi-Hong Lim, and Chang-Seok Lee. 2023. "Evaluation of the 20-Year Restoration Process in an Air-Pollution-Damaged Forest near the Ulsan Industrial Complex, Korea" Forests 14, no. 8: 1565. https://doi.org/10.3390/f14081565
APA StyleKim, D.-U., Lim, B.-S., Seok, J.-E., Kim, G.-S., Moon, J.-S., Lim, C.-H., & Lee, C.-S. (2023). Evaluation of the 20-Year Restoration Process in an Air-Pollution-Damaged Forest near the Ulsan Industrial Complex, Korea. Forests, 14(8), 1565. https://doi.org/10.3390/f14081565

