Next Article in Journal
Spatial Principles of Territories Selection for Priority Development of Agroforestry Complexes
Previous Article in Journal
The Impact of Roadkill on Cervid Populations in Lithuania
 
 
Font Type:
Arial Georgia Verdana
Font Size:
Aa Aa Aa
Line Spacing:
Column Width:
Background:
Article

Modeling Juvenile Stand Development and Fire Risk of Post-Fire Planted Forests under Variations in Thinning and Fuel Treatments Using FVS–FFE

1
Division of Forestry and Natural Resources, West Virginia University, 322 Percival Hall, 1145 Evansdale Dr, Morgantown, WV 26506, USA
2
Davis & Elkins College, 100 Campus Drive, Elkins, WV 26241, USA
3
School of Forest Resources, University of Maine, 5755 Nutting Hall, Orono, ME 04469, USA
4
United States Department of Agriculture—Forest Service, Pacific Southwest Research Station, 3644 Avtech Parkway, Redding, CA 96002, USA
*
Author to whom correspondence should be addressed.
Forests 2023, 14(6), 1223; https://doi.org/10.3390/f14061223
Submission received: 7 April 2023 / Revised: 25 May 2023 / Accepted: 3 June 2023 / Published: 13 June 2023

Abstract

In the past, the dry mixed conifer forests of California’s Sierra Nevada mountains experienced frequent low to mixed severity fires. However, due to fire suppression and past management, forest structure has changed, and the new fire regimes are characterized by large, high severity fires which kill a majority of the overstory trees. These new disturbance patterns require novel approaches to regenerate the forest as they are not adapted to large, high severity fires. We forecasted growth and fire behavior of young plantations for 100 years into the future using the Forest Vegetation Simulator (FVS) and its Fire and Fuels Extension (FFE). In these simulations, we tested combinations of different fuel treatments (mastication only, mastication with prescribed burning, and no fuels treatments) with different overstory thinning intensities (residual densities of 370 SDI (stand density index), 495 SDI, 618 SDI (TPH), and no overstory thinning) on stand growth and potential fire behavior using analysis of variance. We compared growth and crowning index at the end of the simulation and the simulation age when the flame length, basal area mortality, and fire type reached low severity between fuel treatment, thinning intensity, and original management of stands (plantation with PCT [precommercial thinning], plantation without PCT, and natural regenerating stands). These comparisons are essential to identify which fuel treatment categories reduce fire risk. We found an overall pattern of decreasing crown fire occurrence and fire induced mortality across all simulations due to increasing canopy base height and decreasing canopy bulk density. In particular, stands with mastication and prescribed burning transitioned from crown fire types to surface fires 10 years earlier compared to mastication only or no fuel treatment. Furthermore, pre-commercially thinned stands transitioned from crown fire states to surface fires 10 years earlier in the simulations compared to un-thinned and naturally regenerating stands. Stands with mastication and burning went below 25% reference threshold of basal area mortality 11 and 17 years earlier before the mastication only and no fuel treatment, respectively. In addition, pre-commercially thinned stands went below 25% basal area mortality 9 and 5 years earlier in the simulation compared to un-thinned or naturally regenerated stands, respectively. Mastication with prescribed burning (MB) was the most effective treatment for quickly reducing fire behavior by consuming surface fuels, thus drastically lowing flame length (e.g., surface flame length of MB was 0.6 m compared to mastication only [1.3 m] and no treatment [1.4 m]). Furthermore, intensive thinning reduced risk of active crown fires spreading through the stand. Prioritizing prescribed burning, when possible, and thinning (both pre-commercially and from below) are the most effective ways to quickly improve fire resistance in mixed conifer plantations. Our results highlight the different stressors that post-fire planted forests experience and how different silvicultural treatments interact over time to reduce fire risk, which demonstrates the importance of treating stands early and the effectiveness of surface fuel treatments.

1. Introduction

Wildfires in the western United States have become more severe, larger, longer lasting, and more destructive [1,2] in overstocked forests due to heavy fuel loads. Planted forests may be more susceptible to higher severity fire compared to surrounding natural stands [3,4,5]. This increased risk can be attributed to their single species and dense, homogenous structure, which differs greatly from fire-resilient, pre-fire suppression conditions found in areas that historically had frequent fires, like the mixed conifer forests in the Sierra Nevada mountains [6,7]. Younger plantations are especially at risk; their increased density leads to a high accumulation of surface and canopy fuel, their lower canopy base height increases the likelihood of crown fires, and their thinner, less fire-resistant bark results in higher post-fire mortality [8].
Science-based, active management of plantations has been employed to reduce their risk of high-severity fire. First, planting density has been significantly reduced to break a high continuity of surface and canopy fuels. Second, a larger growing space with fewer trees and additional silvicultural treatments such as control of competing vegetation and fertilization have proved to effectively enhance rapid tree growth and stand development [9]; this in turn indirectly increases stand resistance to disturbances by quickly increasing canopy height and bark thickness and controlling shrubs between trees to break continuity of ground fuels. Third, foresters can apply thinnings early to manipulate stand structure to promote stand resilience. Fourth, planting trees in clustered groups has been proposed—though yet to be tested—by resembling century-old forest stand tree patterns evolved from natural regeneration patterns to reduce fuel connectivity and slow fire spread [10,11]. Finally, fuel reduction treatments, such as overstory thinning, mastication, and prescribed fire, are often necessary for effective mitigation efforts [12]. Overstory thinning reduces crown density, thus slowing the spread of fire through a canopy, but it does little to affect how fire spreads along the surface fuels [12]. Mastication of small trees and shrubs can reduce connectivity from the surface to the crown via ladder fuels [13,14,15,16,17]. However, the addition of the small, chipped fuels to the surface fuel bed can increase flame lengths and spread rate [15]. Therefore, the effectiveness of using only mastication is contested, and likely, dependent on pre-treatment and residual stocking levels. Studies found it can both reduce [15] and increase risk of crown fire [14]. Other studies found mastication helped moderate some fire behavior metrics while exacerbating others [13,17]. Therefore, mastication is often combined with prescribed fire [15,18,19]. Prescribed fire simultaneously reduces surface fuels (via consumption) and crown fuels (via consumptions and post-fire mortality), while promoting understory diversity and releasing nutrients back into the soil [19,20]. While some damage from prescribed fire is inevitable in young plantations due to their low canopy base height and thin bark, the effect of fire on fuel loading, and thus, future fire behavior, often outweighs most of the damage it causes [21,22].
Simulation modeling allows managers and researchers to test the efficacy of different management techniques on planted forest yield and reduction in wildfire risk over long periods without going through the time, costs, and logistics of implementing them in the field. The Forest Vegetation Simulator (FVS) and its Fire and Fuels Extension (FFE) is one effective tool to evaluate growth and fire behavior. FVS is a free, keyword-based, spatially independent tree-based model, developed by the U.S. Forest Service which models stand level growth and mortality over time using tree and plot level variables collected in the field [23]. There are 20 different variants of FVS, each calibrated to specific regions in the United States. FVS allows the user to perform different management actions in the stand, including many types of thinning and fuels treatments. Additionally, the model is customizable, allowing the user to calibrate growth and mortality relationships. FVS–FFE is used to model fires in the stands, calculate simulated and potential fire behavior, and calculate fuels in the stand [24].
Creating and calibrating a model of stand development under different fuel treatment scenarios using FVS–FFE can provide a more comprehensive understanding of how stand growth influences fire behavior over time and help identify how different treatments will influence stand development and fire risk. Specifically, the objectives of this work are to (1) determine what combination of thinning intensity and fuel treatments best reduces crown fire danger and maximizes growth in mixed conifer forests, and (2) determine the persistence of early management in the younger planted stands. From an ecological standpoint, this study makes an important contribution to post-fire restoration of conifer-dominated forest systems. From a management standpoint, this study provides important fire management insight for addressing fuel treatment concerns. Overall, improvements in understanding how to effectively manage fuel conditions will ultimately lead to reduced fire risk, and thereby, improve safety of firefighting professionals.

2. Methods

2.1. Study Area

This study took place in the boundary of the 2004 Power Fire that burned at the southern extent of the Eldorado National Forest, which lies in the northcentral Sierra Nevada mountains of California (Figure 1). Field sampling logistics were carried out between West Virginia University (WVU) and the United States Forest Service (USFS) Amador ranger station located in Eldorado National Forest. These mountains are in a Mediterranean climate, with dry, warm summers and cool, wet winters, and are officially classified in the Sierra Nevada ecological subregion [25]. Most of the precipitation falls as snow from October to April, averaging about 130 cm throughout the year. Mean daily temperature ranges from −6.4 °C in January to 22.5 °C in August (PRISM Climate Group, http://prism.oregonstate.edu, accessed 6 March 2019). The soils are primarily Jocal loam in the western portion and vary in the eastern portion, but with large area compromised of Chaix-Pilliken coarse sandy loam and Windy gravelly sandy loam [26]. The study site range from 1300 to 2000 m in elevation, in the mid-range of the mountains (Figure 2). The dominant forest type is mixed conifer, which consists of ponderosa pine (Pinus ponderosa Lawson and C. Lawson), Jeffery pine (Pinus jefferyi Grev. and Balf.), sugar pine (Pinus lambertina Douglas), Douglas-fir (Pseudotsuga menziesii (Mrib.) Franco), incense cedar (Calocedrus decurrens (Torr.) Florin), white fir (Abies concolor (Gord. and Glend.) Lindl. ex Hildebr.), red fir (Abies magnifica A. Murr.), and giant sequoia (Sequoiadendron giganteum (Lindl.) Buchholz). Jeffrey pine and red fir are more common at higher elevations [25].
The Power Fire burned 6000 hectares, with almost 50% of the fire burning at high severity, corresponding to more than 75% tree mortality [27]. In efforts to restore the burned area, the Forest Service established plantations from 2005 to 2009 [28]. They planted ponderosa pine, Jeffery pine, sugar pine, Douglas-fir, incense cedar, white fir, red fir, and giant sequoia, with ponderosa pine being the most predominate. Two planting arrangements were used. The clustered planting arrangement mimics century-old forest group-gap structure (Figure 3). It is composed of aggregates of 2–4 trees, with about 6.4 m between clusters and 1 m between trees in the cluster for a final planting density of 494 to 988 trees per hectare. The evenly spaced arrangement follows a traditional silvicultural planting scheme with even spacing. Trees were planted evenly with about 4 m inter-tree spacing, a planting density of 741 to 865 trees per hectare. About 75% of all plantations were pre-commercially thinned (PCT) from 2013 to 2015. This thinning was performed on trees and shrubs, with slash left unmulched on the ground. Both planting arrangements yielded a uniform stand after thinning and the range of tree density after precommercial thinning was 280 to 700 trees per hectare.

2.2. Field Inventory and Fuel Data

We selected sites to represent conditions in both planting arrangements and in adjacent no-plantation forest land. Field sampling occurred from May to August in 2017. We identified clustered and evenly spaced plantations without interplanting after initial establishment, which occurred in moderate- to high-severity burned areas covering similar areas. Stands covered a range of slopes and aspects. Elevation at thinned sites ranged from 1340 to 1570 m and from 1940 to 2000 m at the unthinned sites. Pre-commercial thinning was only performed at lower elevations because the high elevation plantations had not reached an adequate size for thinning. We selected 10 plantations: 3 clustered–thinned, 3 evenly spaced–thinned, 2 clustered–not thinned, and 2 evenly spaced–not thinned (Figure 3). We located natural regenerating stands in areas without management that (1) burned at moderate to high severity and (2) were within one mile of sampled plantations. We selected four naturally regenerating stands, two near the unthinned plantations and two near the thinned plantations (Figure 3).
To determine plot locations within a particular stand, we digitally imposed a 50 by 50 m grid over each stand, with a 20 m buffer zone at stand boundaries. We randomly selected five intersections from each grid as plot locations. If an intersection landed in an area that could not be sampled (i.e., too steep for safe access, road intersecting), we selected another random point until there were a total of five plots per stand. Each plot was circular and 200 m2 (1/50 hectare, 7.98 m radius) in area. All stands had five plots except for two natural regenerating stands, one with seven plots, and one with eight plots. This was done so that clustered, evenly spaced, and natural regenerating stands would each have 25 total plots total.
Each plot had elevation, aspect, and slope measured; every tree in the plot taller than breast height (1.37 m) had species and DBH recorded. Total height and interwhorl height were measured for five randomly selected yellow pines (i.e., P. ponderosa and P. jeffreyi) in each plot; cores were also taken at breast height to determine yearly diameter growth to calibrate growth in FVS–FFE. To estimate fuel loading, two Brown’s fuel transects were conducted along the northwest and southeast radii of the plots [29]. Fuels are categorized by how long they take to respond to changing weather: 1 h fuels (<0.64 cm) were counted for 1/8 of the transect, 10 h fuels (0.64–2.54 cm) were counted along 1/4 of the transect, and 100 h (2.54–7.62 cm) and 1000 h (>7.62 cm) fuels were recorded for the full transect. The specific diameter of any 1000 h fuels were recorded [29]. Fuel bed, litter layer, and duff layer heights were measured at the 1 m point along these transects.

2.3. Growth Simulations

For the fire behavior modeling, we categorized the 14 stands by management regime: 6 plantations had pre-commercial thinning (PCT), 4 plantations did not have PCT (non-PCT), and 4 stands naturally regenerated (NRG) after the fire. Due to the spatial independence of FVS and the spatial uniformity after thinning, we did not separate the plantations by planting arrangement (clustered or evenly spaced), as any long-term planting arrangement effects would be lost.
To simulate mixed conifer plantation conditions, we input field-collected stand and fuel information into FVS. We used the Western Sierra (WS) variant of FVS [30]. Since FVS models growth at a stand level, we averaged elevation, slope, and aspect by plot among the stands. At the tree level, we entered species and DBH for all tree species. We input total height, annual height increments, and annual diameter increments when available so these values would help calibrate growth equations. Average incremental growth from 2014 to 2016 was used for both incremental height and diameter growth, as those years were common amongst all samples.
We modeled common silvicultural prescriptions to accurately represent different management scenarios for Sierra Nevada mixed conifer forests. We ran 12 different simulations on each stand, including all combinations of an overstory thinning and a fuel treatment (Table 1). The overstory thinning treatments included thinning to stand density index (SDI) targets of 370, 495, and 618 TPH (150, 200, and 250 TPA) and no-thinning scenario as control (Table 1). Reineke’s SDI is useful metric as it is not, for the most part, related to age or site quality, so it can be used as a target over time and different sites [31]. We chose these thinning densities based on Long and Shaw [32]. They calculated 1360 TPH (550 TPA) as the maximum SDI for an even aged, mixed conifer stands in the Sierra Nevada. We chose the 495 and 618 SDI targets because they are below the 60% of SDIMax (815 TPH, 330 TPA) where intense competition mortality begins, and above the 35% of SDIMax (475 TPH, 192.5 TPA) the lower limit of full site occupancy [32,33]. We chose the target of 370 SDI to test an intensive thinning option that left the stand below full site occupancy. The three understory fuel treatments were mastication only, mastication with prescribed burning, and no treatment (Table 1). When simulating mastication, all trees below 20.3 cm DBH were masticated, except for in 2027 and 2037, where 7.6 cm and 12.7 cm DBH were used as a cut-off to retain some trees in young stands. The masticated fuels were divided 70% into 10 h (0.64–2.54 cm) and 30% into 1 h fuels (<0.64 cm) categories [34]. All overstory thinning was a thin from below so harvesting began with the smallest diameter trees and continued until the target SDI was reached. In combination with mastication, the thinning lower DBH limit was the upper DBH cutoff for mastication; however, without mastication, there was no lower DBH limit for thinning. To simulate prescribed burning, fires occurred one year after the mastication, which is common practice when using the two treatments together [14,15]. Fuel moisture conditions were selected from the literature [35] to reflect typical prescribed burns in mixed conifer forests (Table 2). Each simulation lasted 100 years with 10-year cycle breaks. We simulated all thinning and fuels treatments in the following years: 2027, 2037, 2057, 2077, and 2097—or 10, 20, 40, 60, and 80 years into the simulation. One simulation without any management served as a control.
To better categorize stand development over 100 years, regeneration was incorporated into our model (Table 3). The WS variant of FVS uses the partial establishment models, which does not include natural regeneration of non-sprouting species (Dixon, 2018). Therefore, regeneration had to be user-defined. Initially, species-specific values were inputted based on field data and values from the literature; regeneration and subsequent stand development were then calibrated based on expert opinion from general guidelines from the USDA Forest Service [36,37]. Final regeneration numbers were meant to accurately reflect different site conditions (namely light availability) and treatment effects. Survival rates for pine species were set higher in simulations with prescribed burning to reflect those species affinity for exposed mineral soil [38]. There were many young incense cedars and not many sugar pines in the sampled stands; therefore, regeneration of incense cedar was favored and sugar pine regeneration rates were kept low in order to mimic the persistence of shade tolerant cedar. For treated stands, we scheduled regeneration to begin 2 years after the initial treatment. We did this to avoid having all seedlings die in the prescribed burns, which happens one year after initial treatment (thinning and/or mastication). For untreated stands, regeneration amounts were delineated by age and trees per hectare (TPH). Regeneration increased with stand aged to reflect more mature trees, and thus, more seed sources. Regeneration decreased with increasing TPH, as competition for light and water increased (Table 3).

2.4. Fuel Model Selection and Fuel Characteristics

To simulate surface fuel conditions, standard fuel models developed by Scott and Burgan [39] were used (Table 4). These standard fuel models have been calibrated for realistic fire behavior. Furthermore, they perform comparably to custom fuel models, and can even do a better job with modeling fine fuels [40]. Additionally, it is recommended that the standard error of a stand’s estimated fuel load be within 20% of the mean fuel loading for the variation within a stand to be fully captured [29].
Scott and Burgan’s [39] fuel model guide was reviewed to determine the best fuel model for each situation. These models are divided into several groups, including slash-blowdown (SB), timber litter (TL), timber understory (TU), and grass-shrub (GS). The groups represent what fuels will carry a fire in that stand. Each specific fuel model has values for fuel in the different size classes and fuel types (live and woody) and their corresponding surface area to volume ratios.
Fuel models were selected to represent initial conditions and changed during the simulation to continue to reflect fuel condition as the stand matures (Table 4; Figure 4). For stands that had PCT, we used a combination of 25% grass and shrub model 2 (GS2), also known as “moderate load, dry climate grass-shrub”, and 75% timber litter model 4 (TL4) “small downed logs” for initial conditions. When the stands reached an SDI of 865 for unmanaged simulations or the third cycle for just thinned simulations, the 25% GS2 fuel model was retained but the TL4 fuel model was replaced by timber litter model 5 (TL5) “high load conifer litter”. The TL4 fuel model represents small, downed trees and the cut trees in the PCT stands were left on site. “High load conifer litter” (TL5) portrays a more developed conifer stand as it accumulates fuels. For the remaining stands, the unthinned and naturally regenerating stands were divided into two groups based on density. The low-density stands had very similar models to the PCT stands, except that TL4 was replaced with TL3, “moderate load conifer litter”, and the switch to TL5 was made in the fourth cycle for just thinning simulations. The low density stands had a large shrub component, like the thinned stands, but they did not have the same abundance of small, downed logs. For the high density stands, a slightly different approach was used. The simulation began with timber understory model TU4, “dwarf conifer with understory”, since it best represented dense stands consisting of many small trees with overlapping crowns and low height to live crowns. In these stands, the fuel model switches over to TL8 “long needle litter” when it reaches 988 SDI for no management simulations or at the third cycle for just thinning simulations. TL8 was chosen to represent fuels conditions in an older, denser conifer forests [19,40,41,42]. The SDI cut offs for model switches were determined by simulating fire with the different fuel models over time and finding a point in time where a smooth transition between the chosen fuel models would happen.
Fuel models were also changed during the simulation to reflect the effect of different fuel management (Table 4). While FVS accounts for fuel build up and decay as simulations run, masticated fuel beds and prescribed burns produce unique fuel characteristics that need to have their own fuel models. We decided to use slash and blowdown models SB1 “low load activity fuel” and SB2 “moderate load activity fuel or low load blowdown” to reflect post mastication fuel beds. These models have high amounts of fine fuels, which resembles a masticated fuel bed [34]. Additionally, these two models are frequently recommended to adequately portray masticated fuel beds [13,15,43,44]. Timber litter model 1 (TL1), also known as “low load compact conifer litter”, was used to reflect post prescribed burn conditions, as it is recommended by Scott and Burgan [39] and is frequently used for modeling post-fire conditions [15,39,44].
Canopy base height (CBH) and canopy bulk density (CBD) are two stand level characteristics that influence fire behavior. CBH is the distance from the ground to the level of the crown where the density of fuels first surpasses 0.011 kgm−3, the threshold of fuel density where a fire can travel vertically through the canopy [24,45]. CBD is a measurement of canopy fuels that will be consumed in a crown fire: mainly, foliage and 1 h fuels (Smith, 2009). To calculate it, firstly, crown mass for all trees is calculated based on species, DBH, height, crown ratio, and dominance position [24]. Then, FVS-FFE finds the “effective canopy bulk density” by finding the maximum 4 m running average for 0.3 thick canopy fuel layers [24].

2.5. Fire Weather

To model severe fire weather conditions, we used weather data from the closest remote automatic weather station (RAWS) to the study sites, Beaver Camp Loc (Station ID: 042601). Daily weather data were downloaded from October to May, the common fire season for the Sierra Nevada mountains, for all available years (1996–2018). From that daily weather data, energy release component (ERC) and potential fuel moistures for different fuel size classes were calculated using Fire Family Plus [46]. ERC is a measure of fire intensity as a function of fuel moisture and is often used as an index for fire severity [13,14,47]. Average weather (temperature, wind speed) and fuel moisture values corresponding to the 97th percentile in ERC were used to represent severe fire weather conditions (Table 2).

2.6. Statistical Analysis

To assess how stand development and fire behavior differed among the fuel treatments, thinning intensities and PCT, we performed three-way ANOVAs on the simulation outputs using those metrics as the three factors. For stand growth, we only included trees over 20 cm DBH (to avoid any impact of small trees from regeneration) to calculate basal area per hectare, and quadratic mean diameter (QMD) for each stand at the end of the simulation. All fire behavior data was taken from the FVS potential fire report, which determines fire behavior and effects if fire burned through the stand based on the weather and fuel conditions assigned. None of the fire effects from the potential fire report influence subsequent stand development. After plotting several fire behavior variables over the length of the simulation during exploratory analysis, we observed a common pattern among all simulations where fire behavior increased in the early years, then stabilized to low severity values with little variation (Figure 5, Figure 6 and Figure 7). Therefore, to analyze fire behavior, we decided to identify the years for each simulation where each variable reaches the “stable level” of surface fires, low flame length, and low mortality. We first analyzed the year where the fire type transitions to surface fire. Fires are categorized into four different categories: active crown fire, passive crown fire, condition crown fire, and surface fire. In an active crown fire, the fire spreads through the canopy, burning and killing almost all trees in the stand. In passive crown fires, individual trees will torch and have their crowns burned, but the fire does not spread through the crown. In a conditional crown fire, if the fire starts as a surface fire it will most likely stay there, but if an adjacent stand has a crown fire, it may spread into the crown of the stand. Surface fires are the least severe, stay on the ground, and usually do not kill many mature trees [23]. To analyze mortality, we looked at when percent basal area mortality went below 25%, a common cutoff for low severity fires [27]. To analyze flame length, we tested when canopy base height exceeded flame length. Crowning index followed a different pattern from the other variables, so it was tested accordingly. Crowning index is the required wind speed at 6 m above ground to sustain an active crown fire. Consequently, as crowning index increases fire risk decreases. To test the overall pattern of crowning index, we tested its value at the end of the simulation.
To better understand the relationship between fire behavior and stand development, we summarized and graphed fire effects (mortality), fire behavior (flame length, spread rates, fire type), and fuel variables (canopy base height, canopy density) over the length of the simulation. For each prescribed fire, we summarized the percent of the total trees killed in each prescribed fire and compared these values across original management and thinning intensity. We summarized surface and total flame length and spread rate for all simulation years and tested them among the fuel treatments. Surface flame length and spread rate refers to fire behavior when consuming surface (ground) fuels. Total flame length and spread accounts for fire spread into the crowns of trees [24]. We tested all three-way ANOVAs using the “aov” function in R Studio [48]. We tested for normality using a QQ plot and Shapiro–Wilk test. If normality was not met, we performed different transformation on the data until it was. When differences were detected, groups were assessed with multiple comparisons using Tukey’s HSD.

3. Results

3.1. Stand Growth

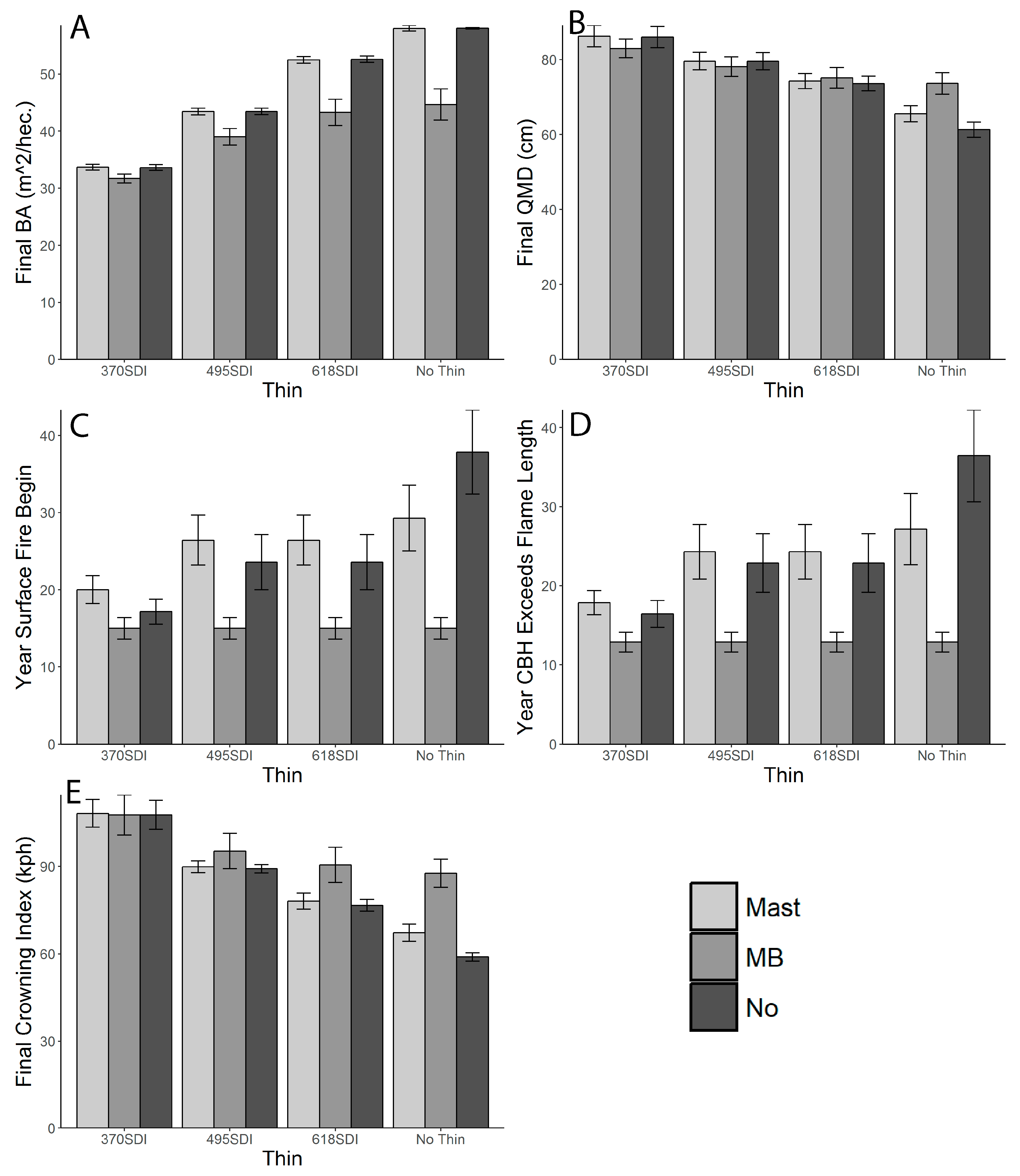
The difference in final basal area and QMD were best explained by thinning intensity and whether the simulation had a prescribed burn. Final basal area per hectare differed among fuel treatment (p < 0.0001) and thinning intensity (p < 0.0001), but the affect of fuel treatment depended on the thinning intensity (p < 0.0001) (Table 5 and Table 6, Figure 8A). Within the 370 SDI and 495 SDI thinning intensities there were no significant affect of fuel treatment on basal area. However, the mastication with prescribed burn fuel treatment resulted in less basal area than the mastication only fuel treatment and no fuel treatment in the 618 SDI thinning and no overstory thinning scenarios (Figure 8A). Within the different fuel treatments, responses to thinning intensities differed. In the mastication with prescribed burning fuel treatment, the only significant differences between thinning intensities were among non-adjacent intensities (e.g., 370 SDI and 618 SDI, not 370 SDI and 495 SDI), with the larger SDI targets having greater basal area. A similar pattern occurred with mastication only and no fuel treatment scenarios, but all differences among thinning intensities were significant (Figure 8A). Overall, final basal area increased as thinning intensity decreased (370 SDI being the most intense and no overstory thinning being the least intense) and mastication with burning had the lowest final basal area compared to mastication only and no fuel treatment simulations (Table 6).
QMD had the opposite patterns of basal area, differing among thinning intensities (p < 0.0001) and original management (p <0.0001) (Table 5 and Table 7). The effect of fuel treatment depended on the thinning intensity (p = 0.0373) (Table 5, Figure 8B). Within the different thinning intensities, QMD did not differ between fuel treatments, expect when there was no overstory thinning (Figure 8B). Under no-thinning scenarios, mastication with prescribed burning resulted in larger QMD than the no fuel treatment simulations. Within the mastication only and no fuel treatments, QMD increased with thinning intensity only among a few non-adjacent thinning intensities (Figure 8B). For example, in the mastication only fuel treatment, 370 SDI was only different from 618 thin and no thinning, but not different from the 495 SDI simulations. Within the mastication with burning treatment there were no differences in QMD between thinning intensities (Figure 8B). Overall, QMD increased as thinning intensity increased; the no thinned stands had QMDs that were 11.5% smaller than the 370 SDI simulations (Table 7). The naturally regenerating stands had 11.8% larger QMD than both plantation types (Table 7).

3.2. Fire Behavior

Several factors influenced what simulation year surface fires began. The timing when fire risk decline differed among fuel treatments (p < 0.0001), thinning intensity (p = 0.0005), original management (p < 0.0001), and the interaction of fuel treatment and thinning intensity (p = 0.0213) (Table 5, Figure 5 and Figure 8C). Within different thinning intensities, fuel treatment only affected simulation year when surface fires began for the no overstory thinning simulations; stands that experienced mastication with burning transitioned to surface fires 14 and 23 years earlier than the mastication only treatment and the no fuel treatment simulations, respectively. Thinning intensity only affected when surface fire began when no fuel treatment was simulated (Figure 8C). Within the no fuel treatment simulations, all three thinning intensities reached surface fires sooner than the no overstory thinning simulations (Figure 8C). Overall, mastication with burning resulted a transition to surfaces fires 10 years sooner than mastication only and no fuel treatment (Figure 5). For overall thinning intensity, only the 370 SDI transitioned to surface fires before no overstory thinning simulations. The PCT plantations reached surface fire 10 years sooner than both the non-PCT plantations and the natural regenerating stands (Figure 5).
Simulation year when basal area mortality went below 25% was reduced the most by prescribed fire. It differed among fuel treatments (p < 0.0001), thinning intensities (0.0175), and original management (p < 0.0001) (Table 5, Figure 6). The mastication with burning fuel treatment went below 25% basal area mortality 11 and 17 years before the mastication only and no fuel treatment, respectively; mastication only went below 25% mortality 6 years before the no fuel treatment simulations (Figure 6). Among the different thinning intensities, the only significant difference was that the 370 SDI thinning intensity went below 25% basal area mortality 5 years before the no overstory thinning simulations (Figure 6). The PCT plantations went below 25% basal area mortality 9 and 5 years sooner than the non-PCT plantations and the naturally regenerating stands, respectively. The natural regenerating stands went below 25% mortality 4 years sooner than the non-PCT stands (Figure 6).
Age when canopy base height went above flame length followed the same patterns as the age when surface fire began. It differed among fuel treatment (p < 0.0001), thinning intensity (p = 0.0016), and original management (p < 0.0001), and there was a trend in the interaction of fuel treatment and thinning intensity (p = 0.0513) (Table 5, Figure 7 and Figure 8D). The interaction followed the same trends as age when fire type transitioned to surface fire (Figure 8D). Overall, mastication with burning resulted in canopy base height exceeding flame length 10 years sooner than both mastication only and no fuel treatment simulations (Figure 7). Only the 370 SDI thinning level reached canopy base height above flame length 10 years sooner than the no overstory thinning simulations (Figure 7). The PCT plantations reached canopy base height above flame length 11 and 7 years sooner than that non-PCT plantations and the natural regenerating stands, respectively (Figure 7).
The pattern of final crowning index was affected by thinning targets more than the other fire behavior variables. Final crowning index differed among fuel treatment (p < 0.0001), thinning intensity (p < 0.0001), original management (p = 0.0003), and the interaction between fuel treatment and overstory thinning (p = 0.0073) (Table 5, Figure 8E and Figure 9). When comparing within thinning intensity, we only found a difference between fuel treatments in the no overstory thinning scenarios. When no overstory thinning was simulated, mastication with burning resulted in a significantly higher final crowning index than mastication only and no fuel treatment only in the no overstory thinning simulations (Figure 8E). Within the no fuel treatment simulations, there were differences among all the thinning intensities expect when comparing 618 SDI and 495 SDI (Figure 8E); when comparing thinning intensities within mastication simulations, results were very similar. However, within the mastication with burning, there were very few significant differences between thinning intensities (Figure 8E). In all cases of significant difference, the more intensive thinning treatment had a higher final crowning index. Overall, mastication with burning had higher final crowning indices than the mastication only and no fuel treatment simulations (Figure 9). All overstory thinning treatments were different from each other, with the more intensive thinning resulting in the higher crowing index (Figure 9). The natural regenerating stands had a higher crowing index than both plantation types (Figure 9).

3.3. General Fire Behavior and Stand Structure Patterns

When comparing percent mortality following prescribed burns between thinning targets, we only found significant differences during the last burn. In 2097, the prescribed burn killed more trees in the 618 SDI and no overstory thinning treatment than the 370 SDI treatment (Table 8). When comparing mortality from prescribed burns across original management, the PCT plantation had slightly less mortality than the other treatments in the first two buns. In 2027 the non-PCT plantation had about 8% less mortality than the NRG stands and in 2037, the NRG stands had about 2% less mortality than the non-PCT plantations (Table 8). A consistent pattern was found when comparing differences in surface and total fire behavior. When comparing total spread rate and flame length, mastication with burning had lower values than both mastication only and no fuel treatment; there was no different between mastication only and no fuel treatment (Table 9). When comparing surface behavior, mastication with burning was still lower than the other two fuel treatments, but mastication only was also significantly lower than the no fuel treatment (Table 9).

4. Discussion

Thinning treatments impacted stocking levels predictably, as overstory thinning decreased basal area but increased QMD (Table 6). All the thinning and fuel simulations were from below, making it unlikely for any regeneration to make it to the overstory, resulting in a lower overstory basal area as thinning intensity increased. While the overall stocking decreased with thinning intensity, residual mean tree size after thinning increased as overstory thinning intensity increased. Ponderosa pine and mixed conifer stands show a positive growth response to thinning because thinning reduces competition for water, light, and nutrients and allows for more growing space [37,49,50,51].
Mortality from the mastication with burning treatment provided growth benefits to the stands (Table 7). Smaller trees have a lower chance of surviving fires than larger trees, so prescribed fires can shift diameter distributions upward [52]. Mortality from prescribed burning is unavoidable; in fact, one of its benefits is that it reduces stem density providing a competition release for the remaining trees [52,53,54]. The effect of mastication with burning was only seen in the 618 SDI and no overstory thin simulations for basal area and only the no overstory thinning simulations for final QMD (Figure 5 and Figure 8A). This could be due to the mortality response of different thinning intensities to prescribed burning. The prescribed fires killed more trees in the 618 SDI and the no thin simulations compared to the 370 SDI simulations (Table 8). The percent mortality from prescribed burning is in line with other studies. Percent mortality from the simulations of prescribed fire was the highest in the earliest fire (2029), ranging from 33 to 64%, decreased to 19–44% for the next prescribed fire in 2039, and stayed below 22% for all subsequent prescribed fires (Table 8). Reiner et al. [15] performed a mastication and burning study in a 25-year-old plantation, and found mortality from prescribed burning between 27 and 49%, which overlaps with the 33–64% mortality observed in this study.
One unexpected result was the effect of original management on final QMD. When comparing the stands in 2017, the PCT plantations had larger diameter than the non-PCT plantations and natural regeneration stands. However, at the end of the simulation, the natural regenerating stands’ QMD were about 8 cm larger than the PCT and non-PCT plantations (Table 7). In general, the thinned stands had steeper slopes than the other two original management groupings. High slopes often have a negative effect on tree growth due to decreasing soil depth [55]; this relationship is expressed in the diameter growth equations of FVS—that is, it predicts more diameter growth on gentler slopes [23,30]. The small differences in slope could manifest themselves over time. Furthermore, projections of stand characteristics using forest simulation models can start to unravel with long-term projection time periods [56].
While the fuels and overstory thinning treatments had a large effect on fire behavior, all stands, regardless of silvicultural prescription, experienced a similar pattern in fire behavior over 100 years. Fire severity and intensity reached a maximum usually within the first 10 to 50 years of the simulation, but eventually decreased so that surface fires were more common, flame lengths were below canopy-base height, and mortality was below 25% (Figure 5, Figure 6 and Figure 7). This pattern is a consequence of the stand structure and development in even aged planted forests. When the stands are young, the trees have low canopy base heights, leaving them susceptible to crown scorch, even with low flame length. The horizontally homogenous nature of a plantation allows for the fire to spread throughout the stand, resulting in high mortality [10]. This pattern has been seen in young ponderosa pine and mixed conifer plantations (under 50 years), both modeled and observed [5,8,57]. However, as the stand grows, those canopy fuels move away from the ground, increasing canopy base height (Figure 10). The uniform distribution of growth in planted forests usually results in one size/age class, so there will not be several layers of vertical stratum lowering the position of canopy base height. Regeneration can also affect canopy base height. If regeneration is dense enough it can lower canopy base height and help carry a fire from the surface to the canopy, torching and killing mature trees. The simulated overstory thinning and fuels treatments removed regeneration, as they all focused on small trees, preventing them from becoming a ladder fuel. Regeneration in the simulations without any management did not keep canopy base height low enough to maintain severe fire behavior though the full simulation, though it did delay the onset of canopy base height overtaking flame length (Figure 7).
High canopy base heights have been noted in an even-aged mixed conifer forest before. Stephens and Moghaddas [57] studied mature (80–100 years old), even aged stands that naturally regenerated after railroad logging and did not experience any silvicultural treatment effects on height to crown base. They found high canopy base heights in these stands, and therefore, low potential for crown fire [58]. While not a plantation, the stand structure is like what one would find in plantations; in addition, this study did include some even aged stands that naturally regenerated after a fire. However, there are other factors besides canopy base height that control whether a fire will travel into a crown. Downed logs and snags can also be ladder fuels, and extreme winds can also carry a surface fire to the crown [5]. Creating a fire resilient forest stand cannot simply rely on the fact that canopy base heights will eventually increase over time in a plantation.
The main variables that influence fire behavior in FVS–FFE such as surface fuel loading, canopy base height, and canopy bulk density can be modified by various silvicultural treatments [12]. A consistent interaction between thinning intensity and fuel treatment was observed for most of the fire behavior variables (Table 5, Figure 8). There were more significant effects of fuel treatment in no overstory thinning simulations. This could be due to the nature of the stand structure and how the thinning was performed. All thinning treatments were from below, so they removed the smallest trees first. Smaller trees can act as ladder fuels which can carry fire up into tree canopies [12]. Simulations without overstory thinning needed something else to reduce ladder fuels, which mastication and prescribe burning can do [17].
Mastication with prescribed burning was the most effective fuel treatment because of how it altered surface fuels and flame lengths (Figure 5, Figure 6, Figure 7 and Figure 8). After a prescribed burn, most of the surface and ladder fuels have been consumed [12,19,59]. This decreases flame length and reduces the risk of crown fires as fires on the surface cannot travel up the canopy [19]. This reduction crowning drastically reduces fire caused mortality (Figure 6). The effectiveness of prescribe burning can be seen in the interaction among thinning and fuel treatments in the transition to surface fires (Figure 8C). Using prescribed fire with mastication caused the transition to surface fires to happen so quickly and consistently, that tree density did not matter in the range observed. Prescribed burning is often found to be the most effective treatment for reducing surface fuel loading and thus reduce fire risk in Sierra Nevada plantations [14,15,17,44].
The differences between the mastication only and the no fuel treatment simulations were minimal (Figure 2, Figure 4 and Figure 6). One of main benefits of mastication is how it removes ladder fuels [13,17]. However, in an even aged plantation, where most trees are about the same size, there are not many ladder fuels, diminishing the benefits of mastication [14]. Additionally, mastication does not remove the fuels from the stand, it just moves them to the surface and decreases their size. Both Kobizar et al. [14] and Reiner et al. [15] found that masticated fuel beds produced longer flame lengths than stands without fuels treatments when modeling fire behavior in young Sierra Nevada pine plantations.
Despite high total flame lengths, masticated fuels reached basal area mortality under 25% earlier than the no fuel treatment simulations (Figure 6). Both the average surface flame length and average surface spread rate across all years in masticated fuel beds were smaller than the no fuel treatments, while there were no differences among total flame length and spread rate (Table 9). These differences in surface fire behavior could result in less scorch damage in the scenarios with masticated fuel beds, and thus, less mortality. Both laboratory and field studies suggest that masticating fuels results in denser fuel beds than can dampen surface flame lengths and spread rates [13,60]. Masticated fuel beds can be quite difficult to model [13,43]. The fuel particles often have an irregular shape which can have complicated interactions with fuel moisture and decay [43,61]. A development of a fuel model specifically designed for masticated fuel beds would improve subsequent studies modeling fire behavior under different fuel treatments.
The largest impact of overstory thinning intensity on fire behavior was seen on crowning index. As thinning intensity increased, crowning index increased (Figure 9). As the stand density decreases from thinning, the density of fuels in the canopy will also decrease simply due to less trees being present (Figure 11). A decrease in canopy bulk density results in less canopy fuel continuity, which ultimately, decreases the occurrence and severity of crown fires [12]. While thinning target influenced other fire behavior variables due to removing ladder fuels, the only differences found between the targets were usually among the most intense thinning target, 370 SDI, and no thinning. Additionally, the difference between them was usually only a 5–10 year improvement when fire behavior reached low risk levels, while mastication with burning often provided a 15–20 year improvement. The more the stands were thinned, the larger the trees became (Table 7). Larger trees will have thicker bark which is more resistant to fire [62,63]. Furthermore, repeated thinning in ponderosa pine plantation alone to 320 SDI enhances DBH to about 70 cm in a Sierra Nevada site at age 60 [51], which was not affected by a fire [64]. Thinning the overstory to below full site capacity was required to produce the most effective changes in mortality from fire, suggesting it is not a viable option to reduce crown fire risk. Several other studies have found similar results of overstory thinning having minimal reductions in fire behavior alone [12,17,65]. This is likely due to the fact that overstory thinning does not decrease surface fuels; in fact, it can increase surface fuels when logging slash is left on the ground.
In addition to the silvicultural impacts on fire behavior, several differences among the original management scenarios were found. These differences can be attributed to original stand structure and how they grew over time. The stands with PCT reached low mortality and achieved a canopy base height above flame length sooner than the other original management scenarios (Figure 3 and Figure 4). While at the end of the simulation the natural regenerating stands had larger trees, the stand with PCT started out with larger trees. This switch from the PCT trees to the natural regenerating trees as the largest likely happened after fire behavior decreased. Like with thinning intensity, this response could also be linked to bark thickness. Larger trees have thicker bark, which protects the vascular cambium from heat and scorch damage from fire and is a common adaptation in trees in fire dependent ecosystems [63].
There are some modeling limitations with FVS–FFE that should be taken into consideration. As mentioned earlier, the lack of a full establishment model for all variants and a fuel model for masticated fuel beds create complications for accurately modeling fire behavior [23,65]. Another limitation of FVS is its spatial independence. The spatial arrangement of trees can greatly affect growth and fire behavior [6,7,66,67]. In addition to this, post-fire planted forests have included experimentation with planting trees in a clustered arrangement to mimic this pattern [10]. Although the plantations used in this study were a mix of clustered and evenly spaced trees, they were not analyzed along these lines since it is difficult to incorporate spatial dependency in FVS. Another spatial variable which is not included in FVS is landscape fire behavior dynamics. The spatial arrangement of stands and silvicultural treatments across a landscape can affect how a fire spreads [68]. The landscape aspect of fire behavior was outside of the scope of this project but is an important factor consider when interpreting results. Stands that are predicted to have conditional crown fires are more likely to have crown fire spread if an adjacent stand has an active crown fire [26]. Lastly, shrubs have been proven to be a factor that can impact plantation growth in the Sierra Nevada; often controlling for shrubs can be one of the most important factors in plantation survival and growth [36,69]. FVS has a submodel for shrubs and understory cover, but it is not currently developed for the western Sierra variant or linked with the FFE extension, and therefore not used in this project. An expansion of this submodel would greatly help in modeling plantation and post-fire growth in the Sierra Nevada.

5. Conclusions

One of the objectives of the study was to determine what combination of thinning intensity and fuel treatments best reduces crown fire danger and maximizes growth. The results indicated that stand development and the various silvicultural treatments all interacted to create a variety of simulations outcomes. While the overall pattern of increasing canopy base heights over time eventually lead to a decrease in fire behavior metrics regardless of treatment, the amount of time required to reach these decreased crown fire risks changed with treatment. Using prescribed burns reduced flame lengths so drastically, that canopy base height quickly exceeded flame length. Additionally, performing intensive thinning reduced risk of active crown fires spreading through the stand. These results suggest that treating stands early is important for reducing fire risk, as that is when the risk is the highest. Further research into specific timing of treatments will help answer this. Prioritizing prescribed burning, when possible, and thinning from below, are the most effective ways to quickly improve fire resistance in mixed conifer plantations. However, the most effective treatments are not without disadvantages. The prescribed burns killed many trees, reducing overall stock. The most intensive thinning treatment provided the best reduction of fire behavior but was also below full stocking level.
The second objective of the study was to determine the persistence of early management in the younger planted stands, some of which received early pre-commercial thinning. Identifying the most effective early stand management techniques to create fire resilient stands has become increasingly important in the past few decades. More than half of the Forest Service’s plantations in the Sierra Nevada mountains established from 1998 to 2016 have not received PCT, and 38% of them have not experienced any competition release [10]. These young, dense stands pose a large crown fire risk, and if they are left unmanaged, this risk will continue for several decades. Our study’s findings indicated that the pre-commercial thinning helped reduce crown fire risk and reduce the extent of basal area mortality.
While the study was conducted in the Sierra Nevada region of northern California in the Pacific southwest region of the United States, the findings of this study have implications for other forest systems in other countries sharing similarities in physiography and vegetation. In particular, the findings of our study have the potential to be extrapolated to other areas which share a montane forest environment, a climate that is Mediterranean in nature, and a forest composition that is dominated by conifer species. For example, there are many similarities between the Sierra Nevada mixed-conifer forest system and the Mediterranean pine forests of Spain dominated primarily by Pinus pinaster Ait. (e.g., [70]).
The methodology used in our study has both advantages and disadvantages. In terms of advantages, we did a comprehensive consideration of three treatment factors. Namely, we considered three different categories of original management (i.e., natural stand, planted with not pre-commercial thinning, and planted with no pre-commercial thinning), crossed with different three categories of fuel treatments (i.e., no treatment, mastication only, and mastication with prescribed burning), which were further crossed with four thinning targets. This provides insight into how to manage the post-fire regeneration of mixed conifer forests to ensure resilience against crown fire risk.
In terms of disadvantages in our methodology, our study only simulated expected fire behavior based on different treatment categories, but did not spatially model fire spread across the landscape. Thus, future modeling efforts could examine the spatial propagation of fire which could include incorporation of landowner objectives and degree of investment in fuel treatment activities between neighboring parcels of land [71,72]. FVS is not without drawbacks, either. It can be sensitive to certain inputs, like regeneration and fuel models, and cannot incorporate all the complexity of fire, like spatial arrangement of trees. However, it provides a good tool for evaluating overall trends of stand development and how to alter them to reduce fire risk. Furthermore, future re-inventorying of stand and fuel conditions will allow more rigorous validation of our simulations and help identity appropriate management intervals and approaches. Moving forward, continued tracking of forest growth dynamics across forest and habitat types recovering from the Power Fire can help in future validation of new extensions of forest growth and fuel management models and software.

Author Contributions

Formal analysis, I.A.; Funding acquisition, S.C.; Methodology, I.A., N.P., S.C. and J.Z.; Supervision, S.C. and J.Z.; Writing—original draft, I.A.; Writing—review and editing, N.P., S.C., M.P. and J.Z. All authors have read and agreed to the published version of the manuscript.

Funding

This project was funded by the United States Forest Service, Pacific Southwest Station, Participating Agreement # 17-PA-11272139-010. This work was also supported by the United States Department of Agriculture (USDA), National Institute of Food and Agriculture (NIFA), McIntire Stennis Project # 1017946.

Data Availability Statement

The data presented in this study are available on request from the corresponding author. The data are not publicly available until full completion of all project components.

Acknowledgments

Assistance in the field was provided by S. Dickinson, K. Finley, M. Subedi, S. Spottswood, and C. Albright. Logistical support during field data collection from Amador Ranger District, Eldorado National Forest is greatly appreciated. We appreciate the comments of two anonymous reviewers.

Conflicts of Interest

The authors declare no conflict of interest.

References

  1. Miller, J.D.; Safford, H.D.; Crimmins, M.; Thode, A.E. Quantitative evidence for increasing forest fire severity in the Sierra Nevada and southern Cascade Mountains, California and Nevada, USA. Ecosystems 2009, 12, 16–32. [Google Scholar] [CrossRef]
  2. North, M.P.; Stephens, S.L.; Collins, B.M.; Agee, J.K.; Aplet, G.H.; Franklin, J.F.; Fulé, P. Reform forest fire management. Science 2015, 349, 1280–1281. [Google Scholar] [CrossRef] [PubMed]
  3. Lyons-Tinsley, C.; Peterson, D.L. Surface fuel treatments in young, regenerating stands affect wildfire severity in a mixed conifer forest, eastside Cascade Range, Washington, USA. For. Ecol. Manag. 2012, 270, 117–125. [Google Scholar] [CrossRef]
  4. Weatherspoon, C.P.; Skinner, C.N. An assessment of factors associated with damage to tree crowns from the 1987 wildfires in Northern California. For. Sci. 1995, 41, 430–451. [Google Scholar]
  5. Zald, H.S.J.; Dunn, C.J. Severe fire weather and intensive forest management increase fire severity in a multi-ownership landscape. Ecol. Appl. 2018, 28, 1068–1080. [Google Scholar] [CrossRef]
  6. Larson, A.J.; Churchill, D.J. Tree spatial patterns in fire-frequent forests of western North America, including mechanisms of pattern formation and implications for designing fuel reduction and restoration treatments. For. Ecol. Manag. 2012, 267, 74–92. [Google Scholar] [CrossRef]
  7. Stephens, S.L.; Fry, D.L.; Franco-Vizcaíno, E. Wildfire and forests in northwestern Mexico: The United States wishes it had similar fire problems. Ecol. Soc. 2008, 13, 10. [Google Scholar] [CrossRef]
  8. Thompson, J.R.; Spies, T.A.; Olsen, K.A. Canopy damage to conifer plantations within a large mixed-severity wildfire varies with stand age. For. Ecol. Manag. 2011, 262, 355–360. [Google Scholar] [CrossRef]
  9. Zhang, J.W.; Finley, K.A.; Young, D.H.; Fiddler, G.O.; Looney, C. Growth response of ponderosa pine to intensive cultural treatments varies with site quality and plantation age. For. Sci. 2022, 68, 212–225. [Google Scholar] [CrossRef]
  10. North, M.P.; Stevens, J.T.; Greene, D.F.; Coppoletta, M.; Knapp, E.E.; Latimer, A.M.; Restaino, C.M.; Tompkins, R.E.; Welch, K.R.; Wyrsch, P.; et al. Tamm Review: Reforestation for resilience in dry western U.S. forests. For. Ecol. Manag. 2019, 432, 209–224. [Google Scholar] [CrossRef]
  11. Welch, K.R.; Safford, H.D.; Young, T.P. Predicting conifer establishment 5–7 years after wildfire in middle elevation yellow pine and mixed conifer forests of the North American Mediterranean-climate zone. Ecosphere 2016, 7, e01609. [Google Scholar] [CrossRef]
  12. Agee, J.K.; Skinner, C.N. Basic principles of forest fuel reduction treatments. For. Ecol. Manag. 2005, 211, 83–96. [Google Scholar] [CrossRef]
  13. Knapp, E.E.; Varner, J.M.; Busse, M.D.; Skinner, C.N.; Shestak, C.J. Behaviour and effects of prescribed fire in masticated fuelbeds. Int. J. Wildland Fire 2011, 20, 932–945. [Google Scholar] [CrossRef]
  14. Kobziar, L.N.; Mcbride, J.R.; Stephens, S.L. The efficacy of fire and fuels reduction treatments in a Sierra Nevada pine plantation. Int. J. Wildland Fire 2009, 18, 791–801. [Google Scholar] [CrossRef]
  15. Reiner, A.L.; Vaillant, N.M.; Dailey, S.N. Mastication and Prescribed Fire Influences on Tree Mortality and Predicted Fire Behavior in Ponderosa Pine. J. Appl. For. 2012, 27, 36–41. [Google Scholar] [CrossRef]
  16. Reiner, A.L.; Vaillant, N.M.; Fites-Kaufman, J.A.; Dailey, S.N. Mastication and prescribed fire impacts on fuels in a 25-year old ponderosa pine plantation, southern Sierra Nevada. For. Ecol. Manag. 2009, 258, 2365–2372. [Google Scholar] [CrossRef]
  17. Stephens, S.L.; Moghaddas, J.J. Experimental fuel treatment impacts on forest structure, potential fire behavior, and predicted tree mortality in a California mixed conifer forest. For. Ecol. Manag. 2005, 215, 21–36. [Google Scholar] [CrossRef]
  18. Kobziar, L.; Moghaddas, J.; Stephens, S.L. Tree mortality patterns following prescribed fires in a mixed conifer forest. Can. J. For. Res. 2007, 36, 3222–3238. [Google Scholar] [CrossRef]
  19. Vaillant, N.M.; Fites-Kaufman, J.A.; Stephens, S.L. Effectiveness of prescribed fire as a fuel treatment in Californian coniferous forests. Int. J. Wildland Fire 2009, 18, 165. [Google Scholar] [CrossRef]
  20. Kane, J.M.; Morgan Varner, J.; Knapp, E.E.; Powers, R.F. Understory vegetation response to mechanical mastication and other fuels treatments in a ponderosa pine forest. Appl. Veg. Sci. 2010, 13, 207–220. [Google Scholar] [CrossRef]
  21. Bellows, R.S.; Thomson, A.C.; Helmstedt, K.J.; York, R.A.; Potts, M.D. Damage and mortality patterns in young mixed conifer plantations following prescribed fires in the Sierra Nevada, California. For. Ecol. Manag. 2016, 376, 193–204. [Google Scholar] [CrossRef]
  22. York, R.A.; Levine, J.; Foster, D.; Stephens, S.; Collins, B. Silviculture can facilitate repeat prescribed burn programs with long-term strategies. Calif. Agric. 2021, 75, 104–111. [Google Scholar] [CrossRef]
  23. Dixon, G. Essential FVS: A User’s Guide to the Forest Vegetation Simulator; U.S. Department of Agriculture Forest Service: Fort Collins, CO, USA, 2018; p. 226.
  24. Reinhardt, E.D.; Crookston, N.L. Fire and Fuels Extension to the Forest Vegetation Simulator; General Technical Reports RMRS-GTR-116; USDA Forest Service: Ogden, UT, USA, 2003. Available online: https://www.fs.usda.gov/fmsc/ftp/fvs/docs/gtr/FFEguide.pdf (accessed on 15 May 2019).
  25. Bailey, R.G. Identifying ecoregion boundaries. Environ. Manag. 2004, 34, S14–S26. [Google Scholar] [CrossRef]
  26. Natural Resources Conservation Service. Web Soil Survey; Natural Resources Conservation Service: Sacramento, CA, USA, 2019. Available online: https://websoilsurvey.nrcs.usda.gov/app/ (accessed on 15 May 2019).
  27. Hann, W.J.; Shlisky, A.; Havlina, D.; Schon, K.; Barrett, S.W.; DeMeo, T.E.; Pohl, K.; Menakis, J.P.; Hamilton, D.; Jones, J.; et al. Interagency Fire Regime Condition Class (FRCC) Guidebook; USDA Forest Service, U.S. Department of the Interior, The Nature Conservancy: Boise, ID, USA, 2008. Available online: https://landfire.gov/frcc/frcc_guidebooks.php (accessed on 15 May 2019).
  28. Estes, B.; Gross, S. Power Fire Ecological Framework; USDA Forest Service: Placerville, CA, USA, 2015.
  29. Brown, J.K. Handbook for Inventorying Downed Woody Material; US Department of Agriculture, Forest Service, Intermountain Forest and Range Experiment Station: Ogden, UT, USA, 1974.
  30. Keyser, C.E.; Dixon, G.E. Western Sierra Nevade (WS) Variant Overview—Forest Vegetation Simulator; U.S. Department of Agriculture, Forest Service, Forest Management Service Center: Fort Collins, CO, USA, 2018.
  31. Shaw, J.D. Reineke’s Stand Density Index: Where Are We and Where Do We Go From Here? In Proceedings of the Society of American Foresters 2005 National Convention, Fort Worth, TX, USA, 19–23 October 2005; pp. 1–13. [Google Scholar]
  32. Long, J.N.; Shaw, J.D. A Density Management Diagram for Even-Aged Sierra Nevada Mixed-Conifer Stands. West. J. Appl. For. 2012, 27, 187–195. [Google Scholar] [CrossRef]
  33. Drew, T.J.; Flewelling, J.W. Stand Density Management: An Alternative Approach and Its Application to Douglas-fir Plantations. For. Sci. 1979, 25, 518–532. [Google Scholar]
  34. Kane, J.M.; Varner, J.M.; Knapp, E.E. Novel fuelbed characteristics associated with mechanical mastication treatments in northern California and south-western Oregon, USA. Int. J. Wildland Fire 2009, 18, 686–697. [Google Scholar] [CrossRef]
  35. Johnson, M.C.; Kennedy, M.C.; Peterson, D.L. Simulating fuel treatment effects in dry forests of the western United States: Testing the principles of a fire-safe forest. Can. J. For. Res. 2011, 41, 1018–1030. [Google Scholar] [CrossRef]
  36. McDonald, P.M.; Fiddler, G.O. Twenty-Five Years of Managing Vegetation in Conifer Plantations in Northern and Central California: Results, Application, Principles, and Challenges; General Technical Reports PSW-GTR_231; USDA Forest Service: Albany, CA, USA, 2010. Available online: http://www.srs.fs.usda.gov/pubs/37965 (accessed on 15 May 2019).
  37. Zhang, J.W.; Oliver, W.W.; Ritchie, M.W.; Neal, D.L. Overstory and understory dynamics in a ponderosa pine plantation vary with stand density in the Sierra Nevada: 40-year results. For. Sci. 2013, 59, 670–680. [Google Scholar] [CrossRef]
  38. Zald, H.S.J.; Gray, A.N.; North, M.P.; Kern, R.A. Initial tree regeneration responses to fire and thinning treatments in a Sierra Nevada mixed-conifer forest, USA. For. Ecol. Manag. 2008, 256, 168–179. [Google Scholar] [CrossRef]
  39. Scott, J.H.; Burgan, R.E. Standard Fire Behavior Fuel Models: A Comprehensive Set for Use with Rothermel’s Surface Fire Spread Model; USDA Forest Service: Fort Collins, CO, USA, 2005. [CrossRef]
  40. Noonan-Wright, E.K.; Vaillant, N.M.; Reiner, A.L. The effectiveness and limitations of fuel modeling using the fire and fuels extension to the forest vegetation simulator. For. Sci. 2014, 60, 231–240. [Google Scholar] [CrossRef]
  41. Pawlikowski, N.C.; Coppoletta, M.; Knapp, E.; Taylor, A.H. Spatial dynamics of tree group and gap structure in an old-growth ponderosa pine-California black oak forest burned by repeated wildfires. For. Ecol. Manag. 2019, 434, 289–302. [Google Scholar] [CrossRef]
  42. Seli, R.C.; Ager, A.A.; Crookston, N.L.; Finney, M.A.; Bahro, B.; Agee, J.K.; McHugh, C.W. Incorporating Landscape Fuel Treatment Modeling into the Forest Vegetation Simulator. In Third Forest Vegetation Simulator Conference; U.S. Department of Agriculture Forest Service: Fort Collins, CO, USA, 2008; Volume 54, pp. 27–39. [Google Scholar]
  43. Kreye, J.K.; Brewer, N.W.; Morgan, P.; Varner, J.M.; Smith, A.M.S.; Hoffman, C.M.; Ottmar, R.D. Fire behavior in masticated fuels: A review. For. Ecol. Manag. 2014, 314, 193–207. [Google Scholar] [CrossRef]
  44. Schmidt, D.A.; Taylor, A.H.; Skinner, C.N. The influence of fuels treatment and landscape arrangement on simulated fire behavior, Southern Cascade Range, California. For. Ecol. Manag. 2008, 255, 3170–3184. [Google Scholar] [CrossRef]
  45. Smith, F.W. A Manager’s Guide to Canopy Fuels. Fort Collins, CO. 2009. Available online: https://www.firescience.gov/projects/06-3-3-13/project/06-3-3-13_a_managers_guide_to_canopy_fuels.pdf (accessed on 15 May 2019).
  46. Bradshaw, L.; Jolly, M. FireFamilyPlus; USDA Forest Service: Ogden, UT, USA, 2014.
  47. Safford, H.D.; Stevens, J.T.; Merriam, K.; Meyer, M.D.; Latimer, A.M. Fuel treatment effectiveness in California yellow pine and mixed conifer forests. For. Ecol. Manag. 2012, 274, 17–28. [Google Scholar] [CrossRef]
  48. RStudio Team. RStudio: Integrated Development for R.; RStudio Team: Boston, MA, USA, 2018; Available online: http://www.rstudio.com/ (accessed on 15 May 2019).
  49. Dore, S.; Fry, D.L.; Collins, B.M.; Vargas, R.; York, R.A.; Stephens, S.L. Management impacts on carbon dynamics in a Sierra Nevada mixed conifer forest. PLoS ONE 2016, 11, e0150256. [Google Scholar] [CrossRef] [PubMed]
  50. Feeney, S.R.; Kolb, T.E.; Covington, W.W.; Wagner, M.R. Influence of thinning and burning restoration treatments on presettlement ponderosa pines at the Gus Pearson Natural Area. Can. J. For. Res. 2011, 28, 1295–1306. [Google Scholar] [CrossRef]
  51. Zhang, J.W.; Ritchie, M.W.; Maguire, D.A.; Oliver, W.W. Thinning ponderosa pine (Pinus ponderosa) stands reduces mortality while maintaining stand productivity. Can. J. For. Res. 2013, 43, 311–320. [Google Scholar] [CrossRef]
  52. Van Mantgem, P.J.; Stephenson, N.L.; Knapp, E.; Battles, J.; Keeley, J.E. Long-term effects of prescribed fire on mixed conifer forest structure in the Sierra Nevada, California. For. Ecol. Manag. 2011, 261, 989–994. [Google Scholar] [CrossRef]
  53. North, M.P.; Innes, J.; Zald, H.S.J. Comparison of thinning and prescribed fire restoration treatments to Sierran mixed-conifer historic conditions. Can. J. For. Res. 2007, 37, 331–342. [Google Scholar] [CrossRef]
  54. Schmidt, L.; Hille, M.G.; Stephens, S.L. Restoring Northern Sierra Nevada Conifer Forest Composition and Structure with Precribed Fires of Varying Intensities. Fire Ecol. 2006, 2, 20–33. [Google Scholar] [CrossRef]
  55. Stage, A.R. An expression for the effect of aspect, slope, and habitat type on tree growth. For. Sci. 1976, 22, 457–460. [Google Scholar]
  56. Kangas, A.S. On the prediction bias and variance in long-term growth projections. For. Ecol. Manag. 1997, 96, 207–216. [Google Scholar] [CrossRef]
  57. Stephens, S.L.; Moghaddas, J.J. Silvicultural and reserve impacts on potential fire behavior and forest conservation: Twenty-five years of experience from Sierra Nevada mixed conifer forests. Biol. Conserv. 2005, 125, 369–379. [Google Scholar] [CrossRef]
  58. North, M.P. Managing Sierra Nevada Forests; General Technical Reports PSW-GTR-237; USDA Forest Service: Albany, CA, USA, 2012. Available online: http://www.srs.fs.usda.gov/pubs/40254 (accessed on 15 May 2019).
  59. Stephens, S.L. Evaluation of the effects of silvicultural and fuels treatments on potential fire behaviour in Sierra Nevada mixed-conifer forests. For. Ecol. Manag. 1998, 105, 21–35. [Google Scholar] [CrossRef]
  60. Kreye, J.K.; Varner, J.M.; Knapp, E.E. Effects of particle fracturing and moisture content on fire behaviour in masticated fuelbeds burned in a laboratory. Int. J. Wildland Fire 2011, 20, 308. [Google Scholar] [CrossRef]
  61. Kreye, J.; Varner, J. Moisture dynamics in masticated fuelbeds: A preliminary analysis. In Proceedings of the Fire Environment-Innovations, Management, and Policy, Destin, FL, USA, 26–30 March 2007; pp. 173–186. Available online: http://www.firescience.gov/projects/05-2-1-20/project/KreyeVarner2007.pdf (accessed on 15 May 2019).
  62. Hood, S.M.; Varner, J.M.; Van Mantgem, P.; Cansler, C.A. Fire and tree death: Understanding and improving modeling of fire-induced tree mortality. Environ. Res. Lett. 2018, 13, 113004. [Google Scholar] [CrossRef]
  63. Pellegrini, A.F.; Anderegg, W.R.; Paine, C.T.; Hoffmann, W.A.; Kartzinel, T.; Rabin, S.S.; Sheil, D.; Franco, A.C.; Pacala, S.W. Convergence of bark investment according to fire and climate structures ecosystem vulnerability to future change. Ecol. Lett. 2017, 20, 307–316. [Google Scholar] [CrossRef] [PubMed]
  64. Zhang, J.W.; Finley, K.; Johnson, N.; Ritchie, M.W. Lowering stand density enhances resiliency of ponderosa pine forests to disturbances and climate change. For. Sci. 2019, 65, 496–507. [Google Scholar] [CrossRef]
  65. North, M.P.; Stine, P.A.; O’Hara, K.; Zielinski, W.J.; Stephens, S.L.; Service, F.; Hara, K.O. An Ecosystem Management Strategy for Sierran Mixed-Conifer Forests; General Technical Reports PSW-GTR-220; USDA Forest Service: Albany, CA, USA, 2009.
  66. Churchill, D.J.; Larson, A.J.; Dahlgreen, M.C.; Franklin, J.F.; Hessburg, P.F.; Lutz, J.A. Restoring forest resilience: From reference spatial patterns to silvicultural prescriptions and monitoring. For. Ecol. Manag. 2013, 291, 442–457. [Google Scholar] [CrossRef]
  67. Ziegler, J.P.; Hoffman, C.; Battaglia, M.; Mell, W. Spatially explicit measurements of forest structure and fire behavior following restoration treatments in dry forests. For. Ecol. Manag. 2017, 386, 1–12. [Google Scholar] [CrossRef]
  68. Finney, M.A. Design of regular landscape fuel treatment patterns for modifying fire growth and behavior. For. Sci. 2001, 47, 219–228. [Google Scholar]
  69. Zhang, J.W.; Webster, J.; Powers, R.F.; Mills, J. Reforestation after the Fountain Fire in Northern California: An Untold Success Story. J. For. 2008, 106, 425–430. [Google Scholar]
  70. Molina, J.R.; Ortega, M.; Rodriquez y Silva, F. Fire ignition patterns to manage prescribe fire behavior: Application to Mediterranean pine forests. J. Environ. Manag. 2022, 302, 114052. [Google Scholar] [CrossRef] [PubMed]
  71. Al Abri, I.; Grogan, K. The interaction of wildfire risk mitigation policies in the presence of spatial externalities and heterogeneous landowners. Forests 2016, 11, 15. [Google Scholar] [CrossRef]
  72. Busby, G.M.; Albers, H.J.; Montgomery, C.A. Wildfire risk management in a landscape with fragmented ownership and spatial interactions. Land Econ. 2012, 88, 496–517. [Google Scholar] [CrossRef]
Figure 1. Location of Eldorado National Forest (gray) and the perimeter of the 2004 Power Fire (black) in northern California.
Figure 1. Location of Eldorado National Forest (gray) and the perimeter of the 2004 Power Fire (black) in northern California.
Forests 14 01223 g001
Figure 2. Topographic land cover map showing elevation contour lines within the 2004 Power Fire perimeter (solid black line) situated in the El Dorado National Forest, California.
Figure 2. Topographic land cover map showing elevation contour lines within the 2004 Power Fire perimeter (solid black line) situated in the El Dorado National Forest, California.
Forests 14 01223 g002
Figure 3. Sampling locations within the 2004 Power Fire perimeter in the El Dorado National Forest, California. The original treatment categories are shown indicating whether stands were naturally regenerated; and if not, whether they were planted in a clustered or evenly spaced arrangement, and whether or not they were pre-commercially thinned.
Figure 3. Sampling locations within the 2004 Power Fire perimeter in the El Dorado National Forest, California. The original treatment categories are shown indicating whether stands were naturally regenerated; and if not, whether they were planted in a clustered or evenly spaced arrangement, and whether or not they were pre-commercially thinned.
Forests 14 01223 g003
Figure 4. Decision tree showing fuel model used in unmanaged simulations, only overstory thinning simulations, and initial conditions. SDI = stand density index; TPH = trees per hectare; see Table 4 or Scott and Burgan [38] for full description of fuel model names in final white boxes.
Figure 4. Decision tree showing fuel model used in unmanaged simulations, only overstory thinning simulations, and initial conditions. SDI = stand density index; TPH = trees per hectare; see Table 4 or Scott and Burgan [38] for full description of fuel model names in final white boxes.
Forests 14 01223 g004
Figure 5. Potential fire type over time by fuel treatment (Mast = mastication only, MB = mastication with burning, No = No fuel treatment), thinning target, and original management (Trt: NRG = natural regenerating stands, PCT = plantations with pre-commercial thinning, non-PCT = plantations without pre-commercial thinning). Y Axis: 4 = Active crown five, 3 = passive crown fire, 2 = conditional crown fire, 1 = surface fire.
Figure 5. Potential fire type over time by fuel treatment (Mast = mastication only, MB = mastication with burning, No = No fuel treatment), thinning target, and original management (Trt: NRG = natural regenerating stands, PCT = plantations with pre-commercial thinning, non-PCT = plantations without pre-commercial thinning). Y Axis: 4 = Active crown five, 3 = passive crown fire, 2 = conditional crown fire, 1 = surface fire.
Forests 14 01223 g005
Figure 6. % basal area mortality from potential fires over time by fuel treatment (Mast = mastication only, MB = mastication with burning, No = No fuel treatment), thinning target, and original management (Trt: NRG = natural regenerating stands, PCT = plantations with pre-commercial thinning, non-PCT = plantations without pre-commercial thinning).
Figure 6. % basal area mortality from potential fires over time by fuel treatment (Mast = mastication only, MB = mastication with burning, No = No fuel treatment), thinning target, and original management (Trt: NRG = natural regenerating stands, PCT = plantations with pre-commercial thinning, non-PCT = plantations without pre-commercial thinning).
Forests 14 01223 g006
Figure 7. Canopy base height minus total flame length from potential fires over time by fuel treatment (Mast = mastication only, MB = mastication with burning, No = No fuel treatment), thinning target, and original management (Trt: NRG = natural regenerating stands, PCT = plantations with pre-commercial thinning, non-PCT = plantations without pre-commercial thinning).
Figure 7. Canopy base height minus total flame length from potential fires over time by fuel treatment (Mast = mastication only, MB = mastication with burning, No = No fuel treatment), thinning target, and original management (Trt: NRG = natural regenerating stands, PCT = plantations with pre-commercial thinning, non-PCT = plantations without pre-commercial thinning).
Forests 14 01223 g007
Figure 8. Interaction of fuel treatment (Mast = mastication only, MB = mastication with burning, No = No fuel treatment) and thinning target for (A) basal area (m2 ha−1), (B) QMD (cm), (C) age when surface fire begins, (D) age CBH exceeds flame length, and (E) final crowning index (kph). Error bars are +/−1 standard error.
Figure 8. Interaction of fuel treatment (Mast = mastication only, MB = mastication with burning, No = No fuel treatment) and thinning target for (A) basal area (m2 ha−1), (B) QMD (cm), (C) age when surface fire begins, (D) age CBH exceeds flame length, and (E) final crowning index (kph). Error bars are +/−1 standard error.
Forests 14 01223 g008
Figure 9. Crowning index from potential fires over time by fuel treatment (Mast = mastication only, MB = mastication with burning, No = No fuel treatment), thinning target, and original management (Trt: NRG = natural regenerating stands, PCT = plantations with pre-commercial thinning, non-PCT = plantations without pre-commercial thinning).
Figure 9. Crowning index from potential fires over time by fuel treatment (Mast = mastication only, MB = mastication with burning, No = No fuel treatment), thinning target, and original management (Trt: NRG = natural regenerating stands, PCT = plantations with pre-commercial thinning, non-PCT = plantations without pre-commercial thinning).
Forests 14 01223 g009
Figure 10. Canopy base height over time by fuel treatment (Mast = mastication only, MB = mastication with burning, No = No fuel treatment), thinning target, and original management (Trt: NRG = natural regenerating stands, PCT = plantations with pre-commercial thinning, non-PCT = plantations without pre-commercial thinning).
Figure 10. Canopy base height over time by fuel treatment (Mast = mastication only, MB = mastication with burning, No = No fuel treatment), thinning target, and original management (Trt: NRG = natural regenerating stands, PCT = plantations with pre-commercial thinning, non-PCT = plantations without pre-commercial thinning).
Forests 14 01223 g010
Figure 11. Canopy bulk density over time by fuel treatment (Mast = mastication only, MB = mastication with burning, No = No fuel treatment), thinning target, and original management (Trt: NRG = natural regenerating stands, PCT = plantations with pre-commercial thinning, non-PCT = plantations without pre-commercial thinning).
Figure 11. Canopy bulk density over time by fuel treatment (Mast = mastication only, MB = mastication with burning, No = No fuel treatment), thinning target, and original management (Trt: NRG = natural regenerating stands, PCT = plantations with pre-commercial thinning, non-PCT = plantations without pre-commercial thinning).
Forests 14 01223 g011
Table 1. Matrix of treatments used in FVS simulations. SDI = Stand Density Index. Mast = mastication only, Mast + Burn = mastication with burning.
Table 1. Matrix of treatments used in FVS simulations. SDI = Stand Density Index. Mast = mastication only, Mast + Burn = mastication with burning.
Thinning Target
Fuels Treatment370 SDI495 SDI618 SDINo Thin
Mast.All StandsAll StandsAll StandsAll Stands
Mast. + BurnAll StandsAll StandsAll StandsAll Stands
No fuel treatmentAll StandsAll StandsAll StandsAll Stands
Table 2. Simulated prescribed fire and potential severe fire conditions.
Table 2. Simulated prescribed fire and potential severe fire conditions.
Fuel Moisture (%)
FireWindspeed (kph)Temperature (°C)1 h10 h100 h1000 hDuffLive WoodyLive Herb
Prescribed4.81012121425150150150
97% Fire Weather35.4312.73.156.42.769.920.9
Table 3. Regeneration amounts in terms of trees per acre used after incorporating survival rates by species. The no management (a) scenario amounts were delineated by simulation age and TPH (trees per hectare). For treated stands (b) (mastication + prescribed burning, mastication only, thinning only) regeneration was only implemented after treatments and delineated by fuel treatment and thinning target.
Table 3. Regeneration amounts in terms of trees per acre used after incorporating survival rates by species. The no management (a) scenario amounts were delineated by simulation age and TPH (trees per hectare). For treated stands (b) (mastication + prescribed burning, mastication only, thinning only) regeneration was only implemented after treatments and delineated by fuel treatment and thinning target.
(a)No management
Age
0–3030–6060–100
Trees per Hectare
Species0–247247–495495–9900–247247–495>4950–247>247
PIPO3.751.50.7561.50.759.751.5
PILA2.70.90.91.80.90.92.70.9
ABCO2.71.350.94.51.350.97.651.35
CADE3.62.41.262.41.210.22.4
TOTAL12.756.153.7518.36.153.7530.36.15
 
(b)Mastication + Prescribed BurnMastication only + Thinning only
Thinning Target
Species370 SDI495 SDI618 SDI370 SDI495 SDI618 SDI
PIPO11.258.15.46.254.53
PILA1.751.41.051.51.20.9
ABCO64.5364.53
CADE64.6364.63
TOTAL2518.612.4519.7514.89.9
Table 4. Description of fuel models from Scott and Burgan [39] used in this study.
Table 4. Description of fuel models from Scott and Burgan [39] used in this study.
Fuel Load (kgm−2)
ModelUseDescription1 h10 h100 hFuel Bed Depth (m)
SB1Masticated fuel beds in plots with original TPH < 1235; Masticated fuel beds following a prescribed fireLow load, activity fuel0.3370.6742.4660.33
SB2Masticated fuel beds in plots with original TPH > 1235Moderate load, activity fuel or low load, blowdown1.0110.9520.8980.33
TL1Post prescribed fireLow load, compact conifer liter0.2250.4930.8060.066
TL375% of low density non-PCT and NRG strands from start to cycle 4 or SDI 865 (no fuel management)Moderate load, conifer litter0.1120.4930.630.099
TL475% of PCT stands from start to cycle 3 or SDI 865 (no fuel management)Small downed logs0.1120.3370.9420.132
GS225% of PCT and low density non-PCT and NRG stands (no fuel management)Moderate load, dry climate grass-shrub0.1120.11200.495
TL575% of PCT and low density non-PCT and NRG stands from cycle 4 or 865 SDI to end (no fuel management)High load, conifer litter0.2590.5610.9860.198
TL8High density non-PCT and NRG stands from cycle 3 or 988 SDI to end (no fuel management)Long-Needle litter1.30.3120.2490.099
TU4High density non-PCT and NRG stands from start to cycle 3 or 988 SDI (no fuel management)Dwarf conifer with understory1.011000.165
Table 5. p-values from three-way ANOVA. Fuels = fuel treatment, thin = thinning target, Trt = original management. * = significance at the 0.05 level.
Table 5. p-values from three-way ANOVA. Fuels = fuel treatment, thin = thinning target, Trt = original management. * = significance at the 0.05 level.
VariableFuelsThinTrtFuels × ThinFuels × TrtThin × TrtFuels × Thin × Trt
Final BA (m2 * hec−1)<0.0001 *<0.0001 *0.873<0.0001 *0.1160.8710.9999
Final QMD (cm)0.3701<0.0001 *<0.0001 *0.0373 *0.98920.77821
Age Surface fire begins<0.0001 *0.0005 *<0.0001 *0.0213 *0.30530.98140.9999
Age when less than 25% BA mortality begins<0.0001 *0.0175 *<0.0001 *0.45020.67750.99520.995
Age when canopy base height exceeds flame length<0.0001 *0.0016 *<0.0001 *0.05130.13450.98941
Final Crowning Index (kmph)<0.0001 *<0.0001 *0.0003 *0.0073 *0.10830.18320.9999
Table 6. Basal area (m2 ha−1) at end of simulation by thinning target and fuel treatment (Mast = mastication only, MB = mastication with burning, No = No fuel treatment), values are averaged across all original management (“Total”). Different letters in the “Total” column indicate significant differences (p < 0.05) between fuel treatments and different letters in the “Total” row indicate significant differences (p < 0.05) between thinning targets. SDI = stand density index.
Table 6. Basal area (m2 ha−1) at end of simulation by thinning target and fuel treatment (Mast = mastication only, MB = mastication with burning, No = No fuel treatment), values are averaged across all original management (“Total”). Different letters in the “Total” column indicate significant differences (p < 0.05) between fuel treatments and different letters in the “Total” row indicate significant differences (p < 0.05) between thinning targets. SDI = stand density index.
Thinning Target
Fuel Treatment370 SDI495 SDI618 SDINo ThinTotal
Mast33.743.552.558.046.9 a
Mast + Burn31.739.043.344.739.7 b
No Fuel33.643.552.658.146.9 a
Total33.0 a42.0 b49.5 c53.6 d44.5
Table 7. QMD (cm) at end of simulation by thinning target and fuel treatment (a) (Mast = mastication only, MB = mastication with burning, No = No fuel treatment) and original management (b) (NRG = natural regenerating stands, PCT = plantations with pre-commercial thinning, non-PCT = plantations without pre-commercial thinning). SDI = stand density index.
Table 7. QMD (cm) at end of simulation by thinning target and fuel treatment (a) (Mast = mastication only, MB = mastication with burning, No = No fuel treatment) and original management (b) (NRG = natural regenerating stands, PCT = plantations with pre-commercial thinning, non-PCT = plantations without pre-commercial thinning). SDI = stand density index.
Thinning Target
370 SDI495 SDI618 SDINo ThinTotal
(a) FuelsMast86.379.674.365.576.4
Mast + Burn83.078.175.173.677.5
No Fuel86.079.573.661.375.1
(b) TrtNRG93.985.879.570.982.5
PCT81.376.372.466.174.0
Non-PCT82.076.57263.873.6
Overall85.179.174.366.876.3
Table 8. Mortality (%) from prescribed fires by original management (a) (Trt: NRG = natural regenerating stands, PCT = plantations with pre-commercial thinning, non-PCT = plantations without pre-commercial thinning), thinning target (b), and year of fire. Different letters in each column within Trt or Thinning target indicate a significant (p < 0.05) difference in mortality. SDI = stand density index.
Table 8. Mortality (%) from prescribed fires by original management (a) (Trt: NRG = natural regenerating stands, PCT = plantations with pre-commercial thinning, non-PCT = plantations without pre-commercial thinning), thinning target (b), and year of fire. Different letters in each column within Trt or Thinning target indicate a significant (p < 0.05) difference in mortality. SDI = stand density index.
Year of Prescribed Fire
20272037205720772097
(a) TrtNRG60 a36.3 a12.9 a6.4 a4.1 a
TH43.2 b24.6 b10.8 ab6.1 a4.1 a
UTH52.5 c35.1 a15.3 b7.0 a4.2 a
(b) Thinning Target370SDI50.1 a30.6 a11.8 a5.6 a3.4 a
495SDI50.7 a31.0 a12.8 a6.3 a3.9 ab
618SDI50.9 a31.0 a13.1 a6.8 a4.4 b
No Thin50.9 a31.0 a13.2 a7.1 a4.8 b
Total (all stands)32.9–64.319.1–44.56.4–21.53.8–11.12.3–7.3
Table 9. Surface and total flame lengths (m) and spread rate (m/min) by fuel treatments (Mast = mastication only, MB = mastication with burning, No Fuel = No fuel treatment). Different letters in rows indicate a difference in flame length or spread rate between fuel treatments.
Table 9. Surface and total flame lengths (m) and spread rate (m/min) by fuel treatments (Mast = mastication only, MB = mastication with burning, No Fuel = No fuel treatment). Different letters in rows indicate a difference in flame length or spread rate between fuel treatments.
Fuel Treatment
MastMBNo FuelTotal
Flame length (m)Surface1.3 a0.6 b1.4 c1.1
Total3.2 a0.9 b3.9 a2.7
Spread rate (m/min)Surface3.8 a1.8 b4.4 c3.3
Total8.6 a3.3 b10.0 a7.3
Disclaimer/Publisher’s Note: The statements, opinions and data contained in all publications are solely those of the individual author(s) and contributor(s) and not of MDPI and/or the editor(s). MDPI and/or the editor(s) disclaim responsibility for any injury to people or property resulting from any ideas, methods, instructions or products referred to in the content.

Share and Cite

MDPI and ACS Style

Allen, I.; Pawlikowski, N.; Chhin, S.; Premer, M.; Zhang, J. Modeling Juvenile Stand Development and Fire Risk of Post-Fire Planted Forests under Variations in Thinning and Fuel Treatments Using FVS–FFE. Forests 2023, 14, 1223. https://doi.org/10.3390/f14061223

AMA Style

Allen I, Pawlikowski N, Chhin S, Premer M, Zhang J. Modeling Juvenile Stand Development and Fire Risk of Post-Fire Planted Forests under Variations in Thinning and Fuel Treatments Using FVS–FFE. Forests. 2023; 14(6):1223. https://doi.org/10.3390/f14061223

Chicago/Turabian Style

Allen, Iris, Natalie Pawlikowski, Sophan Chhin, Michael Premer, and Jianwei Zhang. 2023. "Modeling Juvenile Stand Development and Fire Risk of Post-Fire Planted Forests under Variations in Thinning and Fuel Treatments Using FVS–FFE" Forests 14, no. 6: 1223. https://doi.org/10.3390/f14061223

APA Style

Allen, I., Pawlikowski, N., Chhin, S., Premer, M., & Zhang, J. (2023). Modeling Juvenile Stand Development and Fire Risk of Post-Fire Planted Forests under Variations in Thinning and Fuel Treatments Using FVS–FFE. Forests, 14(6), 1223. https://doi.org/10.3390/f14061223

Note that from the first issue of 2016, this journal uses article numbers instead of page numbers. See further details here.

Article Metrics

Back to TopTop