Multispectral Image Determination of Water Content in Aquilaria sinensis Based on Machine Learning
Abstract
1. Introduction
2. Materials and Methods
2.1. Overview of the Study Site
2.2. Experimental Design and Data Acquisition
2.2.1. Experimental Design
2.2.2. Data Acquisition
2.3. Image Processing
2.3.1. Image Registration
2.3.2. Image Segmentation
2.4. Feature Extraction
2.5. Data Analysis and Modelling
2.5.1. Data Dimensionality Reduction
2.5.2. Random Forest Regression Model
2.5.3. Model Parameter Optimization
2.5.4. Model Evaluation
3. Results
3.1. Effect of Soil Water Content on the Growth of A. sinensis
3.2. Image Segmentation Effect
3.3. A. sinensis Water Content Prediction Model
3.3.1. Correlation Analysis
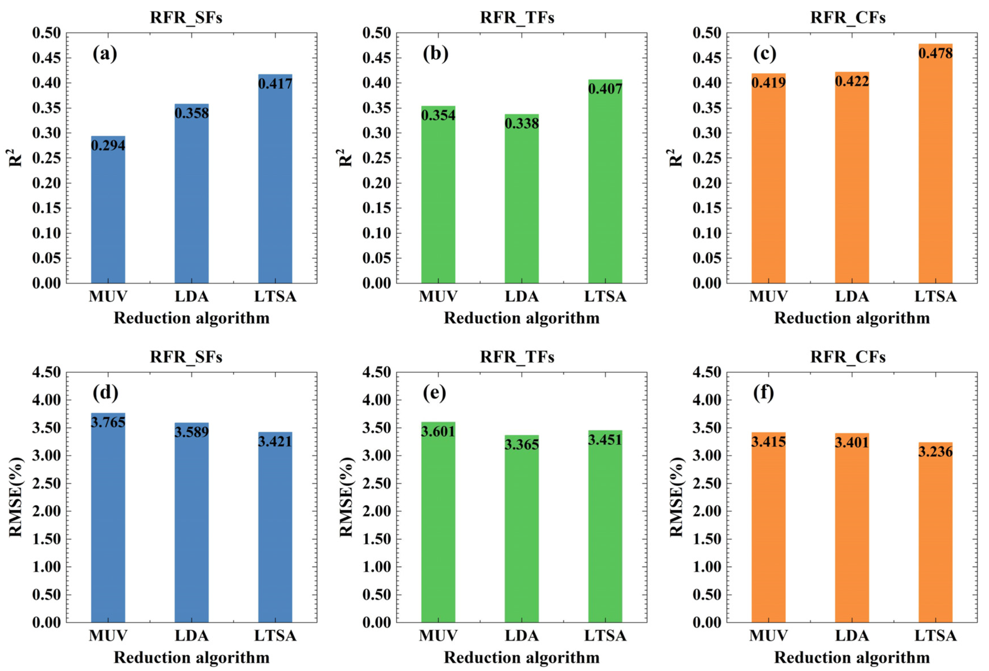
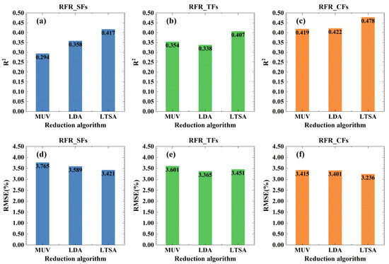
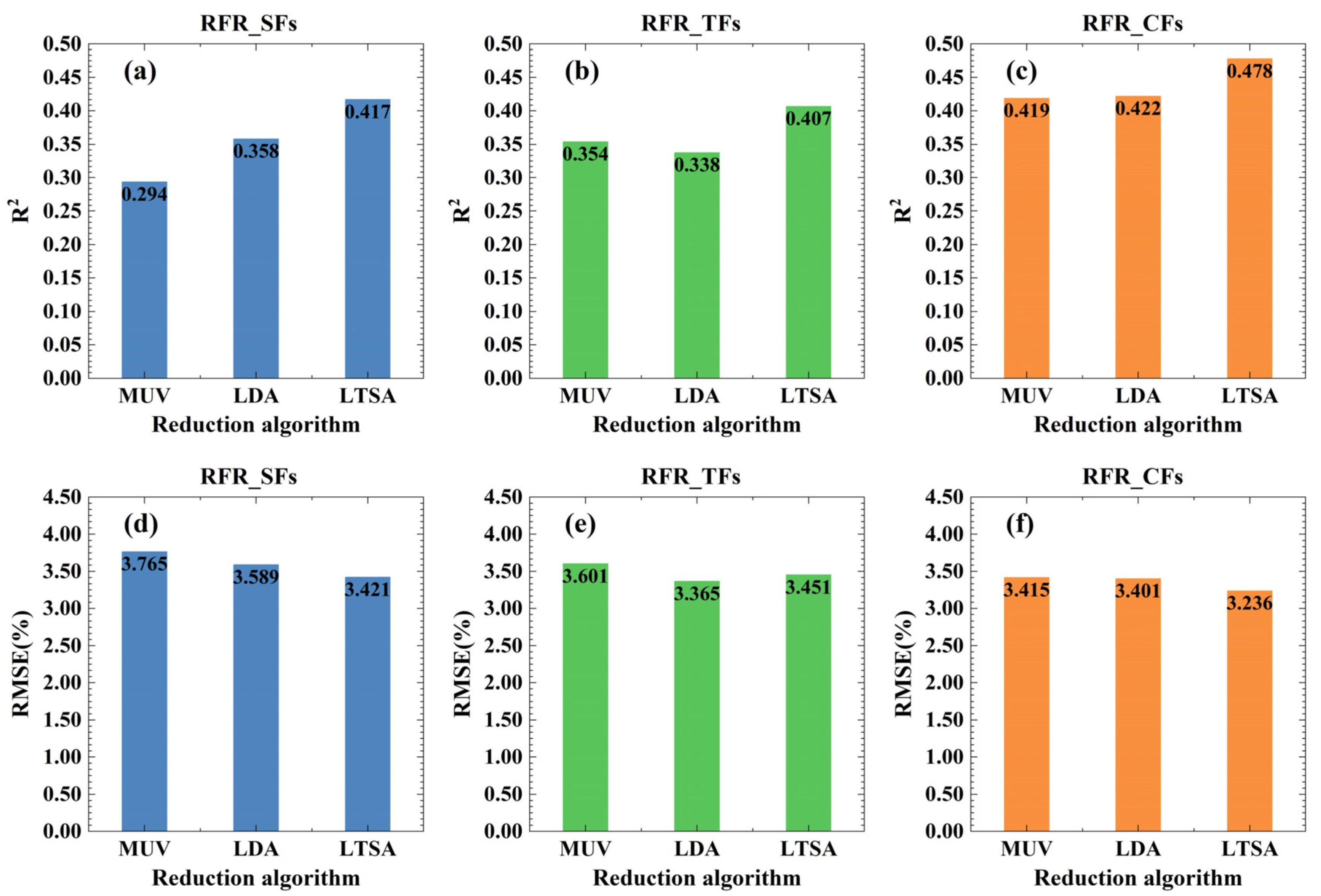
3.3.2. Selection of the Dimensionality Reduction Algorithm
3.3.3. Model Optimization and Verification
3.3.4. Comparison between SSA-RFR_CFs and CNN_CFs Models
4. Discussion
4.1. Segmentation of Multispectral Images
4.2. Model Construction and Optimization
4.2.1. Extraction of Feature Vectors
4.2.2. Selection of Explanatory Variables
4.2.3. RFR Hyperparameter Optimization
4.3. Future Outlook
5. Conclusions
Author Contributions
Funding
Data Availability Statement
Acknowledgments
Conflicts of Interest
References
- Li, W.; Chen, H.Q.; Wang, H.; Mei, W.L.; Dai, H.F. Natural products in agarwood and Aquilaria plants: Chemistry, biological activities and biosynthesis. Nat. Prod. Rep. 2021, 38, 528–565. [Google Scholar] [CrossRef]
- Feng, J.; Yang, X.W.; Wang, R.F. Bio-assay guided isolation and identification of α-glucosidase inhibitors from the leaves of Aquilaria sinensis. Phytochemistry 2011, 72, 242–247. [Google Scholar] [CrossRef]
- Wongwad, E.; Pingyod, C.; Saesong, T.; Waranuch, N.; Wisuitiprot, W.; Sritularak, B.; Ingkaninan, K. Assessment of the bioactive components, antioxidant, antiglycation and anti-inflammatory properties of Aquilaria crassna Pierre ex Lecomte leaves. Ind. Crop. Prod. 2019, 138, 111448. [Google Scholar] [CrossRef]
- Ma, S.; Fu, Y.; Li, Y.; Wei, P.; Liu, Z. The formation and quality evaluation of agarwood induced by the fungi in Aquilaria sinensis. Ind. Crop. Prod. 2021, 173, 114129. [Google Scholar] [CrossRef]
- Yuan, Y.; Wang, X.; Shi, M.; Wang, P. Performance comparison of RGB and multispectral vegetation indices based on machine learning for estimating Hopea hainanensis SPAD values under different shade conditions. Front. Plant Sci. 2022, 13, 28953. [Google Scholar] [CrossRef]
- Yi, Q.; Bao, A.; Wang, Q.; Zhao, J. Estimation of leaf water content in cotton by means of hyperspectral indices. Comput. Electron. Agric. 2013, 90, 144–151. [Google Scholar] [CrossRef]
- Dong, C.; An, T.; Yang, M.; Yang, C.; Liu, Z.; Li, Y.; Fan, S. Quantitative prediction and visual detection of the moisture content of withering leaves in black tea (Camellia sinensis) with hyperspectral image. Infrared Phys. Technol. 2022, 123, 104118. [Google Scholar] [CrossRef]
- Yang, F.F.; Liu, T.; Wang, Q.Y.; Du, M.Z.; Yang, T.L.; Liu, D.Z.; Liu, S.P. Rapid determination of leaf water content for monitoring waterlogging in winter wheat based on hyperspectral parameters. J. Integr. Agric. 2021, 20, 2613–2626. [Google Scholar] [CrossRef]
- Xuan, G.; Gao, C.; Shao, Y.; Wang, X.; Wang, Y.; Wang, K. Maturity determination at harvest and spatial assessment of moisture content in okra using Vis-NIR hyperspectral imaging. Postharvest Biol. Technol. 2021, 180, 111597. [Google Scholar] [CrossRef]
- Tran, C.D.; Grishko, V.I. Determination of water contents in leaves by a near-infrared multispectral imaging technique. Microchem. J. 2004, 76, 91–94. [Google Scholar] [CrossRef]
- Huang, Y.; Sui, R.; Thomson, S.J.; Fisher, D.K. Estimation of cotton yield with varied irrigation and nitrogen treatments using aerial multispectral imagery. Int. J. Agric. Biol. Eng. 2013, 6, 37–41. [Google Scholar]
- Mwinuka, P.R.; Mbilinyi, B.P.; Mbungu, W.B.; Mourice, S.K.; Mahoo, H.F.; Schmitter, P. The feasibility of hand-held thermal and UAV-based multispectral imaging for canopy water status assessment and yield prediction of irrigated African eggplant (Solanum aethopicum L). Agric. Water Manag. 2021, 245, 106584. [Google Scholar] [CrossRef]
- Torres, I.; Sánchez, M.T.; Benlloch-González, M.; Pérez-Marín, D. Irrigation decision support based on leaf relative water content determination in olive grove using near infrared spectroscopy. Biosyst. Eng. 2019, 180, 50–58. [Google Scholar] [CrossRef]
- Malvandi, A.; Feng, H.; Kamruzzaman, M. Application of NIR spectroscopy and multivariate analysis for Non-destructive evaluation of apple moisture content during ultrasonic drying. Spectrochim. Acta A Mol. Biomol. Spectrosc. 2022, 269, 120733. [Google Scholar] [CrossRef] [PubMed]
- Chen, Z.; Wang, X. Model for estimation of total nitrogen content in sandalwood leaves based on nonlinear mixed effects and dummy variables using multispectral images. Chemom. Intell. Lab. Syst. 2019, 195, 103874. [Google Scholar] [CrossRef]
- Kyratzis, A.C.; Skarlatos, D.P.; Menexes, G.C.; Vamvakousis, V.F.; Katsiotis, A. Assessment of Vegetation Indices Derived by UAV Imagery for Durum Wheat Phenotyping under a Water Limited and Heat Stressed Mediterranean Environment. Front. Plant Sci. 2017, 8, 1114. [Google Scholar] [CrossRef]
- Mwinuka, P.R.; Mourice, S.K.; Mbungu, W.B.; Mbilinyi, B.P.; Tumbo, S.D.; Schmitter, P. UAV-based multispectral vegetation indices for assessing the interactive effects of water and nitrogen in irrigated horticultural crops production under tropical sub-humid conditions: A case of African eggplant. Agric. Water Manag. 2022, 266, 107516. [Google Scholar] [CrossRef]
- Zhou, Y.; Lao, C.; Yang, Y.; Zhang, Z.; Chen, H.; Chen, Y.; Yang, N. Diagnosis of winter-wheat water stress based on UAV-borne multispectral image texture and vegetation indices. Agric. Water Manag. 2021, 256, 107076. [Google Scholar] [CrossRef]
- Ge, P.; Lan, C.; Wang, H. An improvement of image registration based on phase correlation. Optik 2014, 125, 6709–6712. [Google Scholar] [CrossRef]
- Chelbi, S.; Mekhmoukh, A. Features based image registration using cross correlation and Radon transform. Alex. Eng. J. 2018, 57, 2313–2318. [Google Scholar] [CrossRef]
- Sims, D.A.; Gamon, J.A. Relationships between leaf pigment content and spectral reflectance across a wide range of species, leaf structures and developmental stages. Remote Sens. Environ. 2002, 81, 337–354. [Google Scholar] [CrossRef]
- Schumacher, P.; Mislimshoeva, B.; Brenning, A.; Zandler, H.; Brandt, M.; Samimi, C.; Koellner, T. Do Red Edge and Texture Attributes from High-Resolution Satellite Data Improve Wood Volume Estimation in a Semi-Arid Mountainous Region? Remote Sens. 2016, 8, 540. [Google Scholar] [CrossRef]
- Yang, G.; Li, C.; Wang, Y.; Yuan, H.; Feng, H.; Xu, B.; Yang, X. The DOM Generation and Precise Radiometric Calibration of a UAV-Mounted Miniature Snapshot Hyperspectral Imager. Remote Sens. 2017, 9, 642. [Google Scholar] [CrossRef]
- Tucker, C.J. Red and photographic infrared linear combinations for monitoring vegetation. Remote Sens. Environ. 1979, 8, 127–150. [Google Scholar] [CrossRef]
- Buschmann, C.; Nagel, E. In vivo spectroscopy and internal optics of leaves as basis for remote sensing of vegetation. Int. J. Remote Sens. 1993, 14, 711–722. [Google Scholar] [CrossRef]
- Woebbecke, D.M.; Meyer, G.E.; Von Bargen, K.; Mortensen, D.A. Color indices for weed identification under various soil, residue, and lighting conditions. Trans. ASAE. 1995, 38, 259–269. [Google Scholar] [CrossRef]
- Roujean, J.L.; Breon, F.M. Estimating PAR absorbed by vegetation from bidirectional reflectance measurements. Remote Sens. Environ. 1995, 51, 375–384. [Google Scholar] [CrossRef]
- Gitelson, A.A.; Kaufman, Y.J.; Merzlyak, M.N. Use of a green channel in remote sensing of global vegetation from EOS-MODIS. Remote Sens. Environ. 1996, 58, 289–298. [Google Scholar] [CrossRef]
- Chen, J.M. Evaluation of vegetation indices and a modified simple ratio for boreal applications. Can. J. Remote Sens. 1996, 22, 229–242. [Google Scholar] [CrossRef]
- McFeeters, S.K. The use of the Normalized Difference Water Index (NDWI) in the delineation of open water features. Int. J. Remote Sens. 1996, 17, 1425–1432. [Google Scholar] [CrossRef]
- Huete, A.R.; Liu, H.Q.; Batchily, K.V.; Van Leeuwen, W.J.D.A. A comparison of vegetation indices over a global set of TM images for EOS-MODIS. Remote Sens. Environ. 1997, 59, 440–451. [Google Scholar] [CrossRef]
- Kawashima, S.; Nakatani, M. An algorithm for estimating chlorophyll content in leaves using a video camera. Ann. Bot. 1998, 81, 49–54. [Google Scholar] [CrossRef]
- Datt, B. Visible/near infrared reflectance and chlorophyll content in Eucalyptus leaves. Int. J. Remote Sens. 1999, 20, 2741–2759. [Google Scholar] [CrossRef]
- Gitelson, A.A.; Gritz, Y.; Merzlyak, M.N. Relationships between leaf chlorophyll content and spectral reflectance and algorithms for non-destructive chlorophyll assessment in higher plant leaves. J. Plant Physiol. 2003, 160, 271–282. [Google Scholar] [CrossRef] [PubMed]
- Gitelson, A.A.; Viña, A.; Ciganda, V.; Rundquist, D.C.; Arkebauer, T.J. Remote estimation of canopy chlorophyll content in crops. Geophys. Res. Lett. 2005, 32, 8403. [Google Scholar] [CrossRef]
- Meyer, G.E.; Neto, J.C. Verification of color vegetation indices for automated crop imaging applications. Comput. Electron. Agric. 2008, 63, 282–293. [Google Scholar] [CrossRef]
- Siegmann, B.; Jarmer, T.; Lilienthal, H.; Richter, N.; Selige, T.; Höfle, B. Comparison of narrow band vegetation indices and empirical models from hyperspectral remote sensing data for the assessment of wheat nitrogen concentration. In Proceedings of the 8th EARSeL Workshop on Imaging Spectroscopy, Nantes, France, 8–10 April 2013; pp. 8–10. [Google Scholar]
- Possoch, M.; Bieker, S.; Hoffmeister, D.; Bolten, A.; Schellberg, J.; Bareth, G. Multi-temporal crop surface models combined with the RGB vegetation index from UAV-ed images for forage monitoring in grassland. Int. Arch. Photogramm. Remote Sens. Spat. Inf. Sci. 2016, 41, 991–998. [Google Scholar] [CrossRef]
- Vala, M.; Baxi, A. A review on Otsu image segmentation algorithm. Comput. Sci. 2013, 2, 387–389. [Google Scholar]
- Breiman, L. Random forests. Mach. Learn. 2001, 45, 5–32. [Google Scholar] [CrossRef]
- Cutler, D.R.; Edwards, T.C., Jr.; Beard, K.H.; Cutler, A.; Hess, K.T.; Gibson, J.; Lawler, J.J. Random forests for classification in ecology. Ecology 2017, 88, 2783–2792. [Google Scholar] [CrossRef]
- Heidari, A.A.; Mirjalili, S.; Faris, H.; Aljarah, I.; Mafarja, M.; Chen, H. Harris hawks optimization: Algorithm and applications. Futur. Gener. Comp. Syst. 2019, 97, 849–872. [Google Scholar] [CrossRef]
- Wang, G.G.; Deb, S.; Cui, Z. Monarch butterfly optimization. Neural Comput. Appl. 2019, 31, 1995–2014. [Google Scholar] [CrossRef]
- Xue, J.; Shen, B. A novel swarm intelligence optimization approach: Sparrow search algorithm. Syst. Sci. Control Eng. 2020, 8, 22–34. [Google Scholar]
- Li, Y.; Wang, J.; Yao, K. Modified phase correlation algorithm for image registration based on pyramid. Alex. Eng. J. 2022, 61, 709–718. [Google Scholar] [CrossRef]
- Li, J. An image feature point matching algorithm based on fixed scale feature transformation. Optik 2013, 124, 1620–1623. [Google Scholar] [CrossRef]
- Cun, X.; Pun, C.M.; Gao, H. Applying stochastic second-order entropy images to multi-modal image registration. Signal Process. Image Commun. 2018, 65, 201–209. [Google Scholar] [CrossRef]
- Hamuda, E.; Glavin, M.; Jones, E. A survey of image processing techniques for plant extraction and segmentation in the field. Comput. Electron. Agric. 2016, 125, 184–199. [Google Scholar]
- Suh, H.K.; Hofstee, J.W.; van Henten, E.J. Investigation on combinations of colour indices and threshold techniques in vegetation segmentation for volunteer potato control in sugar beet. Comput. Electron. Agric. 2020, 179, 105819. [Google Scholar] [CrossRef]
- Kim, Y.; Jackson, T.; Bindlish, R.; Lee, H.; Hong, S. Radar vegetation index for estimating the vegetation water content of rice and soybean. IEEE Geosci. Remote Sens. Lett. 2011, 9, 564–568. [Google Scholar]
- Zabalza, J.; Ren, J.; Wang, Z.; Marshall, S.; Wang, J. Singular spectrum analysis for effective feature extraction in hyperspectral imaging. IEEE Geosci. Remote Sens. Lett. 2014, 11, 1886–1890. [Google Scholar] [CrossRef]
- Patra, S.; Modi, P.; Bruzzone, L. Hyperspectral Band Selection Based on Rough Set. IEEE Trans. Geosci. Remote Sens. 2015, 53, 5495–5503. [Google Scholar] [CrossRef]
- Qu, Y.; Liu, Z. Dimensionality reduction and derivative spectral feature optimization for hyperspectral target recognition. Optik 2017, 130, 1349–1357. [Google Scholar] [CrossRef]
- Liang, Y.; Kou, W.; Lai, H.; Wang, J.; Wang, Q.; Xu, W.; Lu, N. Improved estimation of aboveground biomass in rubber plantations by fusing spectral and textural information from UAV-based RGB imagery. Ecol. Indic. 2022, 142, 109286. [Google Scholar] [CrossRef]
- Dube, T.; Mutanga, O. Investigating the robustness of the new Landsat-8 Operational Land Imager derived texture metrics in estimating plantation forest aboveground biomass in resource constrained areas. ISPRS-J. Photogramm. Remote Sens. 2015, 108, 12–32. [Google Scholar] [CrossRef]
- Zhang, C.; Huang, C.; Li, H.; Liu, Q.; Li, J.; Bridhikitti, A.; Liu, G. Effect of Textural Features in Remote Sensed Data on Rubber Plantation Extraction at Different Levels of Spatial Resolution. Forests 2020, 11, 399. [Google Scholar] [CrossRef]
- Liu, Y.; Liu, S.; Li, J.; Guo, X.; Wang, S.; Lu, J. Estimating biomass of winter oilseed rape using vegetation indices and texture metrics derived from UAV multispectral images. Comput. Electron. Agric. 2019, 166, 105026. [Google Scholar] [CrossRef]
- Mohammadi, B. Letter to the editor “Estimation of sodium adsorption ratio indicator using data mining methods: A case study in Urmia Lake basin, Iran” by Mohammad Taghi Sattari, Arya Farkhondeh, and John Patrick Abraham. Environ. Sci. Pollut. Res. 2019, 26, 10439–10440. [Google Scholar] [CrossRef]
- Yin, Z.; Wen, X.; Feng, Q.; He, Z.; Zou, S.; Yang, L. Integrating genetic algorithm and support vector machine for modeling daily reference evapotranspiration in a semi-arid mountain area. Hydrol. Res. 2017, 48, 1177–1191. [Google Scholar] [CrossRef]
- Jia, Y.; Su, Y.; Zhang, R.; Zhang, Z.; Lu, Y.; Shi, D.; Huang, D. Optimization of an extreme learning machine model with the sparrow search algorithm to estimate spring maize evapotranspiration with film mulching in the semiarid regions of China. Comput. Electron. Agric. 2022, 201, 107298. [Google Scholar] [CrossRef]
- Cai, F.; Zhang, Y.; Mi, N.; Ming, H.; Zhang, S.; Zhang, H.; Zhao, X. Maize (Zea mays L.) physiological responses to drought and rewatering, and the associations with water stress degree. Agric. Water Manag. 2020, 241, 106379. [Google Scholar] [CrossRef]
- Tang, R.; Luo, X.; Li, C.; Zhong, S. A study on nitrogen concentration detection model of rubber leaf based on spatial-spectral information with NIR hyperspectral data. Infrared Phys. Technol. 2022, 122, 104094. [Google Scholar] [CrossRef]
- Backoulou, G.F.; Elliott, N.C.; Giles, K.L.; Mirik, M. Processed multispectral imagery differentiates wheat crop stress caused by greenbug from other causes. Comput. Electron. Agric. 2015, 115, 34–39. [Google Scholar] [CrossRef]








| Category | Group | Soil Water Content |
|---|---|---|
| Control group | CK | 30%–40% |
| Treatment group 1 Treatment group 2 Treatment group 3 | T1 | 40%–60% |
| T2 | 60%–80% | |
| T3 | 80%–90% |
| Band Name | Abbreviation | Center Wavelength (nm) | Bandwidth FWHM (nm) |
|---|---|---|---|
| Blue | B | 475 | 20 |
| Green | G | 560 | 20 |
| Red | R | 668 | 10 |
| Near IR | NIR | 840 | 40 |
| Red Edge | RE | 717 | 10 |
| Vegetation Index | Abbreviation | Formula * | Reference |
|---|---|---|---|
| Difference Vegetation Index | DVI | NIR − R | [24] |
| Normalized Difference Vegetation Index | NDVI | (NIR − R)/(NIR + R) | [25] |
| Excess Green Index | EXG | 2 G − R − B | [26] |
| Normalized Green-Bule Difference Index | NGBDI | (G − B)/(G + B) | [26] |
| Normalized Green-Red Difference Index | NGRDI | (G − R)/(G + R) | [26] |
| Water Index | WI | (G − B)/(R − G) | [26] |
| Renormalized Difference Vegetation Index | RDVI | NIR − R/(NIR + R)1/2 | [27] |
| Green Normalized Difference Vegetation Index | GNDVI | (NIR − G)/(NIR + G) | [28] |
| Modified Simple Ratio | MSR | (NIR/R − 1)/(NIR/R + 1)1/2 | [29] |
| Normalized Difference Water Index | NDWI | G − NIR/G + NIR | [30] |
| Enhanced Vegetation Index | EVI | 2.5 (NIR − R)/(NIR + 6 R − 7.5 B + 1) | [31] |
| Kawasaki Index | IKAW | (R + B)/(R − B) | [32] |
| Simple Ratio Vegetation Index | SR | R/G × NIR | [33] |
| Chlorophyll Index | CI | (R + G)/2 | [34] |
| Red-Edge Chlorophyll Vegetation Index | RECI | (NIR/RED) − 1 | [35] |
| Excess Red Index | EXR | 1.4 R − G | [36] |
| Excess Green Minus Excess Red | EXGR | 3 G − 2.4 R − B | [36] |
| Normalized Difference Red Edge Vegetation Index | NDRE | (NIR – RE)/(NIR + RE) | [37] |
| Red Green Blue Vegetation Indices | RGBVI | (G2 – B R2)/(G2 + B * R2) | [38] |
| Green Index | GLI | (2 G − R − B)/(R + G + B) | [39] |
| Evaluation Index | Best Effect | Worst Effect | Average |
|---|---|---|---|
| Vpc | 0.9771 | 0.9640 | 0.9722 |
| Vpe | 0.0233 | 0.0344 | 0.0262 |
| Model | R2 | RMSE/% | MAPE/% | Rank |
|---|---|---|---|---|
| MBO-RFR_SFs | 0.7581 | 2.2030 | 2.5662 | ⑤ |
| HHO-RFR_SFs | 0.7528 | 2.2274 | 2.5388 | ⑥ |
| SSA-RFR_SFs | 0.7731 | 2.1336 | 2.5388 | ④ |
| MBO-RFR_TFs | 0.7265 | 2.3425 | 2.8680 | ⑨ |
| HHO-RFR_TFs | 0.7286 | 2.3338 | 2.8709 | ⑧ |
| SSA-RFR_TFs | 0.7348 | 2.3069 | 2.8412 | ⑦ |
| MBO-RFR_CFs | 0.8204 | 1.8986 | 2.3085 | ② |
| HHO-RFR_CFs | 0.8182 | 1.9101 | 2.3147 | ③ |
| SSA-RFR_CFs | 0.8282 | 1.8566 | 2.2864 | ① |
Disclaimer/Publisher’s Note: The statements, opinions and data contained in all publications are solely those of the individual author(s) and contributor(s) and not of MDPI and/or the editor(s). MDPI and/or the editor(s) disclaim responsibility for any injury to people or property resulting from any ideas, methods, instructions or products referred to in the content. |
© 2023 by the authors. Licensee MDPI, Basel, Switzerland. This article is an open access article distributed under the terms and conditions of the Creative Commons Attribution (CC BY) license (https://creativecommons.org/licenses/by/4.0/).
Share and Cite
Wang, P.; Wu, Y.; Wang, X.; Shi, M.; Chen, X.; Yuan, Y. Multispectral Image Determination of Water Content in Aquilaria sinensis Based on Machine Learning. Forests 2023, 14, 1144. https://doi.org/10.3390/f14061144
Wang P, Wu Y, Wang X, Shi M, Chen X, Yuan Y. Multispectral Image Determination of Water Content in Aquilaria sinensis Based on Machine Learning. Forests. 2023; 14(6):1144. https://doi.org/10.3390/f14061144
Chicago/Turabian StyleWang, Peng, Yi Wu, Xuefeng Wang, Mengmeng Shi, Xingjing Chen, and Ying Yuan. 2023. "Multispectral Image Determination of Water Content in Aquilaria sinensis Based on Machine Learning" Forests 14, no. 6: 1144. https://doi.org/10.3390/f14061144
APA StyleWang, P., Wu, Y., Wang, X., Shi, M., Chen, X., & Yuan, Y. (2023). Multispectral Image Determination of Water Content in Aquilaria sinensis Based on Machine Learning. Forests, 14(6), 1144. https://doi.org/10.3390/f14061144

