Modeling-Based Risks Assessment and Management of Climate Change in South Korean Forests
Abstract
1. Introduction
2. Materials and Methods
2.1. Study Area
2.2. Risk Assessment in Forest Sector
2.2.1. Basic Framework to Link AR5 and AR6 Concept and Modeling Process for Analysis
2.2.2. Forest Growth Model
2.2.3. Simulating Scenarios
2.3. Data Preparation and Modification
3. Results
3.1. Forest Growth
3.2. Risk Assessment
3.2.1. Hazard: Climate Change
3.2.2. Exposure: Forest
3.2.3. Adaptive Pathway: Forest Management
3.2.4. Vulnerability of Forest
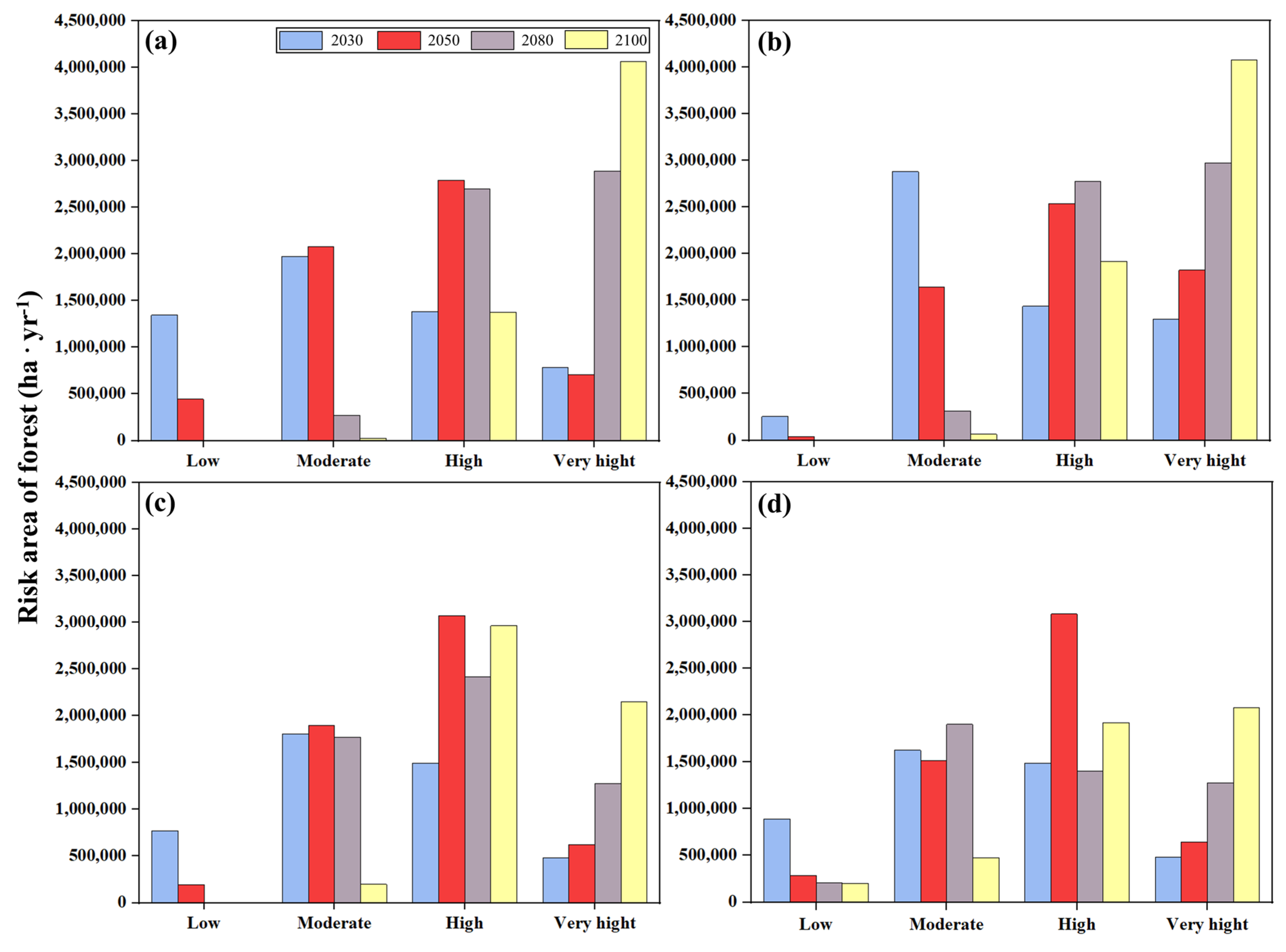
3.2.5. Risk Assessment of Forest
4. Discussion
5. Conclusions
Supplementary Materials
Author Contributions
Funding
Data Availability Statement
Acknowledgments
Conflicts of Interest
References
- Caney, S. Cosmopolitan Justice, Responsibility, and Global Climate Change. Leiden J. Int. Law 2005, 18, 747–775. [Google Scholar] [CrossRef]
- Few, R. Flooding, Vulnerability and Coping Strategies: Local responses to a Global Threat. Prog. Dev. Stud. 2003, 3, 43–58. [Google Scholar] [CrossRef]
- Lahsen, M.; Sanchez-Rodriguez, R.; Lankao, P.R.; Dube, P.; Leemans, R.; Gaffney, O.; Mirza, M.; Pinho, P.; Osman-Elasha, B.; Smith, M. Impacts, Adaptation and Vulnerability to Global Environmental Change: Challenges and Pathways for an Action-Oriented Research Agenda for Middle-Income and Low-Income Countries. Curr. Opin. Environ. Sustain. 2010, 2, 364–374. [Google Scholar] [CrossRef]
- Adger, W.N.; Brown, I.; Surminski, S. Advances in Risk Assessment for Climate Change Adaptation Policy. Philos. Trans. R. Soc. A Math. Phys. Eng. Sci. 2018, 376, 20180106. [Google Scholar] [CrossRef] [PubMed]
- Reisinger, A.; Howden, M.; Vera, C.; Garschagen, M.; Hurlbert, M.; Kreibiehl, S.; Mach, K.J.; Mintenbeck, K.; O’neill, B.; Pathak, M.; et al. The Concept of Risk in the IPCC Sixth Assessment Report: A Summary of Cross-Working Group Discussions; IPCC: Geneva, Switzerland, 2020; pp. 1–15. [Google Scholar]
- Jointly Related Ministries of South Korea. 1st Basic Plan for Response to Climate Change 2016; Jointly Related Ministries of South Korea: Daejeon, Republic of Korea, 2016.
- Connelly, A.; Carter, J.; Handley, J.; Hincks, S. Enhancing the Practical Utility of Risk Assessments in Climate Change Adaptation. Sustainability 2018, 10, 1399. [Google Scholar] [CrossRef]
- Jointly Related Ministries of South Korea. 2nd National Climate Change Adaptation Measures 2015; Jointly Related Ministries of South Korea: Daejeon, Republic of Korea, 2015.
- Park, D.S.; Park, B.; Jung, E. Guidelines for the VESTAP-Based Climate Change Vulnerability Assessment. J. Clim. Chang. Res. 2017, 8, 339–346. [Google Scholar] [CrossRef]
- Korea Environment Institute. Development of Integrated Model for Climate Change Impact and Vulnerability Assessment: Forest, Agriculture; Korea Environment Institute: Sejong, Republic of Korea, 2021. [Google Scholar]
- Korea Ministry of Environment. A Study on the Establishment of the 2nd National Climate Change Adaptation Plan; Korea Ministry of Environment: Sejong, Republic of Korea, 2014.
- Jointly Related Ministries of South Korea. 3rd National Climate Change Adaptation Measures Detailed Implementation Plan (2021–2025); Jointly Related Ministries of South Korea: Sejong, Republic of Korea, 2021.
- Byun, J.Y.; Lee, W.K.; Choi, S.H.; Oh, S.H.; Yoo, S.J.; Kwon, T.S.; Sung, J.H.; Woo, J.K. Vulnerability Assessment for Forest Ecosystem to Climate Change Based on Spatio-temporal Information. Korean J. Remote Sens. 2012, 28, 159–169. [Google Scholar] [CrossRef]
- Kim, E.; Lee, J.; Park, G.; Lim, J. Change of Subalpine Coniferous Forest Area over the Last 20 Years. J. Korean Soc. For. Sci. 2019, 108, 10–20. [Google Scholar]
- Lee, J.; Kim, H.; Song, C.; Kim, G.S.; Lee, W.K.; Son, Y. Determining Economically Viable Forest Management Option with Consideration of Ecosystem Services in Korea: A Strategy after Successful National Forestation. Ecosyst. Serv. 2020, 41, 101053. [Google Scholar] [CrossRef]
- Mitchard, E.T.A. The Tropical Forest Carbon Cycle and Climate Change. Nature 2018, 559, 527–534. [Google Scholar] [CrossRef]
- Choi, S.; Lee, W.-K.; Kwak, H.; Kim, S.-R.; Yoo, S.; Choi, H.-A.; Park, S.; Lim, J.-H. Vulnerability assessment of forest ecosystem to climate change in Korea using MC1 model. J. For. Plan. 2011, 16, 149–161. [Google Scholar]
- Song, C.; Pietsch, S.A.; Kim, M.; Cha, S.; Park, E.; Shvidenko, A.; Schepaschenko, D.; Kraxner, F.; Lee, W.K. Assessing forest ecosystems across the vertical edge of the mid-latitude ecotone using the BioGeoChemistry Management Model (BGC-MAN). Forests 2019, 10, 523. [Google Scholar] [CrossRef]
- Choi, Y.; Lim, C.H.; Krasovskiy, A.; Platov, A.; Kim, Y.; Chung, H.I.; Kim, M.; Lee, W.K.; Shvidenko, A.; Kraxner, F.; et al. Can a national afforestation plan achieve simultaneous goals of biodiversity and carbon enhancement? Exploring optimal decision making using multi-spatial modeling. Biol. Conserv. 2022, 267, 109474. [Google Scholar] [CrossRef]
- Anderegg, W.R.; Trugman, A.T.; Badgley, G.; Anderson, C.M.; Bartuska, A.; Ciais, P.; Cullenward, D.; Field, C.B.; Freeman, J.; Goetz, S.J.; et al. Climate-Driven Risks to the Climate Mitigation Potential of Forests. Science 2020, 368, eaaz7005. [Google Scholar] [CrossRef]
- Korea Forest Service. Forest Basic Statistics for 2020; Korea Forest Service: Daejeon, Republic of Korea, 2021.
- An, H.; Seok, H.D.; Lee, S.M.; Choi, J. Forest Management Practice for Enhancing Carbon Sequestration in National Forests of Korea. Forest Sci. Technol. 2019, 15, 80–91. [Google Scholar] [CrossRef]
- Lee, S.; Lee, S.; Shin, J.; Yim, J.; Kang, J. Assessing the Carbon Storage of Soil and Litter from National Forest Inventory Data in South Korea. Forests 2020, 11, 1318. [Google Scholar] [CrossRef]
- FAO. Global Forest Resources Assessment 2020 Report: Republic of Korea; FAO: Rome, Italy, 2020. [Google Scholar]
- Korea Forest Service. Statistical Yearbook of Forestry 2020; Korea Forest Service: Daejeon, Republic of Korea, 2020.
- Lee, S.; Lee, S.; Han, H.; You, J.; Yim, J.; Bae, J.S. Spatial and Temporal Patterns of Forest Management Activities from 1990 to 2019 to Demonstrate Additionality for Climate Change Mitigation in the Forest Sector of South Korea. Forests 2021, 12, 1003. [Google Scholar] [CrossRef]
- IPCC. Climate Change 2014: Impacts, Adaptation, and Vulnerability; Cambridge University Press: Cambridge, UK, 2014; pp. 1–32. [Google Scholar]
- IPCC. Climate Change 2022: Impacts, Adaptation and Vulnerability; IPCC: Geneva, Switzerland, 2022; pp. 1–59. [Google Scholar]
- Torresan, S.; Critto, A.; Rizzi, J.; Marcomini, A. Assessment of Coastal Vulnerability to Climate Change Hazards at the Regional Scale: The Case Study of the North Adriatic Sea. Nat. Hazards Earth Syst. 2012, 12, 2347–2368. [Google Scholar] [CrossRef]
- Füssel, H.M. Vulnerability: A Generally Applicable Conceptual Framework for Climate Change Research. Glob. Environ. Chang. 2007, 17, 155–167. [Google Scholar] [CrossRef]
- Mastrandrea, M.D.; Mach, K.J.; Plattner, G.K.; Edenhofer, O.; Stocker, T.F.; Field, C.B.; Ebi, K.L.; Matschoss, P.R. The IPCC AR5 Guidance Note on Consistent Treatment of Uncertainties: A Common Approach Across the Working Groups. Clim. Chang. 2011, 108, 675–691. [Google Scholar] [CrossRef]
- IPCC. Working Group II of the IPCC Assesses the Impacts, Adaptation and Vulnerabilities Related to Climate Change; IPCC: Geneva, Switzerland, 2007. [Google Scholar]
- Gao, J.; Jiao, K.; Wu, S. Quantitative Assessment of Ecosystem Vulnerability to Climate Change: Methodology and Application in China. Environ. Res. Lett. 2018, 13, 094016. [Google Scholar] [CrossRef]
- United Nations International Strategy for Disaster Reduction. Terminology: Basic Terms of Disaster Risk Reduction; United Nations Office for Disaster Risk Reduction: Geneva, Switzerland, 2009; pp. 1–35. [Google Scholar]
- Mika, J. Weather and Climate Extremes in Light of the Ipcc Srex (2011) and Beyond. Aerul Si Apa. Compon. Ale Mediu. 2011, 25–32. [Google Scholar]
- Ogunbode, C.A.; Doran, R.; Böhm, G. Exposure to the IPCC Special Report on 1.5 °C Global Warming is Linked to Perceived Threat and Increased Concern about Climate Change. Clim. Chang. 2020, 158, 361–375. [Google Scholar] [CrossRef]
- Payn, T.; Carnus, J.M.; Freer-Smith, P.; Kimberley, M.; Kollert, W.; Liu, S.; Orazio, C.; Rodriguez, L.; Silva, L.N.; Wingfield, M.J. Changes in Planted Forests and Future Global Implications. For. Ecol. Manag. 2015, 352, 57–67. [Google Scholar] [CrossRef]
- Xu, K.; Wang, X.; Jiang, C.; Sun, O.J. Assessing the Vulnerability of Ecosystems to Climate Change Based on Climate Exposure, Vegetation Stability and Productivity. For. Ecosyst. 2020, 7, 23. [Google Scholar] [CrossRef]
- UNFCCC. Adaptation Private Sector Initiative (PSI); UNFCCC: Bonn, Germany, 2013. [Google Scholar]
- Singh, C.; Ford, J.; Ley, D.; Bazaz, A.; Revi, A. Assessing the Feasibility of Adaptation Options: Methodological Advancements and Directions for Climate Adaptation Research and Practice. Clim. Chang. 2020, 162, 255–277. [Google Scholar] [CrossRef]
- Mimura, N.; Pulwarty, R.S.; Duc, D.M.; Elshinnawy, I.; Redsteer, M.H.; Huang, H.Q.; Nkem, J.N.; Rodriguez, R.A.S.; Moss, R.; Vergara, W. Adaptation Planning and Implementation; Cambridge University Press: Cambridge, UK, 2015; pp. 869–898. [Google Scholar]
- Pecchi, M.; Marchi, M.; Moriondo, M.; Forzieri, G.; Ammoniaci, M.; Bernetti, I.; Bindi, M.; Chirici, G. Potential Impact of Climate Change on the Spatial Distribution of Key Forest Tree Species in Italy under RCP4.5 IPCC Trajectory for 2050s. Forests 2020, 11, 934. [Google Scholar] [CrossRef]
- Kappes, M.S. Multi-Hazard Risk Analyses: A Concept and Its Implementation; Dipl.-Geoökologin University: Vienna, Austria, 2011; Available online: http://www.ano-omiv.cnrs.fr/images/Publications/PDFs/Ubaye/PhdThesis/2011-Kappes_PhDThesis.pdf (accessed on 13 September 2022).
- Kc, B.; Shepherd, J.M.; King, A.W.; Johnson Gaither, C. Multi-Hazard Climate Risk Projections for the United States. Nat. Hazards 2021, 105, 1963–1976. [Google Scholar] [CrossRef]
- Kavvada, A.; Ruiz-Barradas, A.; Nigam, S. AMO’s structure and climate footprint in observations and IPCC AR5 climate simulations. Clim. Dyn. 2013, 41, 1345–1364. [Google Scholar] [CrossRef]
- Malakar, K.; Mishra, T.; Hari, V.; Karmakar, S. Risk Mapping of Indian Coastal Districts Using IPCC-AR5 Framework and Multi-Attribute Decision-Making approach. J. Environ. Manag. 2021, 294, 112948. [Google Scholar] [CrossRef]
- Sharma, J.; Ravindranath, N.H. Applying IPCC 2014 Framework for Hazard-Specific Vulnerability Assessment under Climate Change. Environ. Res. Commun. 2019, 1, 051004. [Google Scholar] [CrossRef]
- Hare, W.L.; Cramer, W.; Schaeffer, M.; Battaglini, A.; Jaeger, C.C. Climate Hotspots: Key Vulnerable Regions, Climate Change and Limits to Warming. Reg. Environ. Chang. 2011, 11, 1–13. [Google Scholar] [CrossRef]
- Timberlake, T.J.; Schultz, C.A. Climate Change Vulnerability Assessment for Forest Management: The Case of the U.S. Forest Service. Forests 2019, 10, 1030. [Google Scholar] [CrossRef]
- Gallina, V.; Torresan, S.; Critto, A.; Sperotto, A.; Glade, T.; Marcomini, A. A Review of Multi-Risk Methodologies for Natural Hazards: Consequences and Challenges for a Climate Change Impact Assessment. J. Environ. Manag. 2016, 168, 123–132. [Google Scholar] [CrossRef] [PubMed]
- Lecina-Diaz, J.; Martínez-Vilalta, J.; Alvarez, A.; Banqué, M.; Birkmann, J.; Feldmeyer, D.; Vayreda, J.; Retana, J. Characterizing Forest Vulnerability and Risk to Climate-Change Hazards. Front. Ecol. Environ. 2021, 19, 126–133. [Google Scholar] [CrossRef]
- Van Vuuren, D.P.; Riahi, K.; Moss, R.; Edmonds, J.; Thomson, A.; Nakicenovic, N.; Kram, T.; Berkhout, F.; Swart, R.; Janetos, A.; et al. A Proposal for a New Scenario Framework to Support Research and Assessment in Different Climate Research Communities. Glob. Environ. Chang. 2012, 22, 21–35. [Google Scholar] [CrossRef]
- Fussel, H.M. Review and Quantitative Analysis of Indices of Climate Change Exposure, Adaptive Capacity, Sensitivity, and Impacts. World Dev. 2010, 1–34. [Google Scholar]
- Cui, G.; Kwak, H.; Choi, S.; Kim, M.; Lim, C.H.; Lee, W.K.; Kim, J.S.; Chae, Y. Assessing vulnerability of forests to climate change in South Korea. J. For. Res. 2016, 27, 489–503. [Google Scholar] [CrossRef]
- Hanewinkel, M.; Hummel, S.; Albrecht, A. Assessing Natural Hazards in Forestry for Risk Management: A Review. Eur. J. For. Res. 2011, 130, 329–351. [Google Scholar] [CrossRef]
- O’Neill, B.C.; Oppenheimer, M.; Warren, R.; Hallegatte, S.; Kopp, R.E.; Pörtner, H.O.; Scholes, R.; Birkmann, J.; Foden, W.; Licker, R.; et al. IPCC Reasons for Concern Regarding Climate Change risks. Nat. Clim. Chang. 2017, 7, 28–37. [Google Scholar] [CrossRef]
- Kim, M.; Kraxner, F.; Son, Y.; Jeon, S.W.; Shvidenko, A.; Dmitry, S.; Ham, B.Y.; Lim, C.H.; Song, C.; Hong, M.; et al. Quantifying Impacts of National-Scale Afforestation on Carbon Budgets in South Korea from 1961 to 2014. Forests 2019, 10, 579. [Google Scholar] [CrossRef]
- Byun, J.G.; Lee, W.K.; Kim, M.; Kwak, D.A.; Kwak, H.; Park, T.; Byun, W.H.; Son, Y.; Choi, J.K.; Lee, Y.J.; et al. Radial Growth Response of Pinus densiflora and Quercus spp. to Topographic and Climatic Factors in South Korea. J. Plant Ecol. 2013, 6, 380–392. [Google Scholar] [CrossRef]
- Nam, K.; Lee, W.K.; Kim, M.; Kwak, D.A.; Byun, W.H.; Yu, H.; Kwak, H.; Kwon, T.; Sung, J.; Chung, D.J.; et al. Spatio-Temporal Change in Forest Cover and Carbon Storage Considering Actual and Potential Forest Cover in South Korea. Sci. China Life Sci. 2015, 58, 713–723. [Google Scholar] [CrossRef] [PubMed]
- Kim, M.; Lee, W.K.; Choi, G.M.; Song, C.; Lim, C.H.; Moon, J.; Piao, D.; Kraxner, F.; Shividenko, A.; Forsell, N. Modeling Stand-Level Mortality Based on Maximum Stem Number and Seasonal Temperature. For. Ecol. Manag. 2017, 386, 37–50. [Google Scholar] [CrossRef]
- Piao, D.; Kim, M.; Choi, G.-M.; Moon, J.; Yu, H.; Lee, W.-K.; Wang, S.; Jeon, S.W.; Son, Y.; Son, Y.M.; et al. Development of an Integrated DBH Estimation Model Based on Stand and Climatic Conditions. Forests 2018, 9, 155. [Google Scholar] [CrossRef]
- Kim, M.; Kraxner, F.; Forsell, N.; Song, C.; Lee, W.K. Enhancing the provisioning of ecosystem services in South Korea under climate change: The benefits and pitfalls of current forest management strategies. Reg. Environ. Chang. 2021, 21, 6. [Google Scholar] [CrossRef]
- Son, Y.M.; Lee, G.H.; Kim, R.; Pyo, J.K.; Park, I.H.; Son, Y.W.; Kim, C. Carbon emission factors by major tree species for forest greenhouse gas inventory, Seoul, 2010.
- Hong, M.; Song, C.; Kim, M.; Kim, J.; Lee, S.; Lim, C.H.; Cho, K.; Son, Y.; Lee, W.K. Application of integrated Korean forest growth dynamics model to meet NDC target by considering forest management scenarios and budget. Carbon Balance Manag. 2022, 17, 1–18. [Google Scholar] [CrossRef]
- Korea Forest Service. The 3rd Stage Forest Tending 5-Year Promotion Plan 2012~2018; Korea Forest Service: Daejeon, Republic of Korea, 2013.
- Korea Forest Service. The 6th Basic Forest Plan 2018~2037; Korea Forest Service: Daejeon, Republic of Korea, 2018.
- Bae, J.S.; Joo, R.W.; Kim, Y.S. Forest transition in South Korea: Reality, path and drivers. Land Use Policy 2012, 29, 198–207. [Google Scholar] [CrossRef]
- Kim, G.; Kim, J.; Ko, Y.; Eyman, O.T.G.; Chowdhury, S.; Adiwal, J.; Lee, W.; Son, Y. How do nature-based solutions improve environmental and socio-economic resilience to achieve the sustainable development goals? Reforestation and afforestation cases from the republic of korea. Sustainability 2021, 13, 12171. [Google Scholar] [CrossRef]
- Korea Forest Service. Sustainable Forest Resource Management Guidelines; Korea Forest Service: Daejeon, Republic of Korea, 2020.
- Halofsky, J.E.; Andrews-Key, S.A.; Edwards, J.E.; Johnston, M.H.; Nelson, H.W.; Peterson, D.L.; Schmitt, K.M.; Swanston, C.W.; Williamson, T.B. Adapting Forest Management to Climate Change: The State of Science and Applications in Canada and the United States. For. Ecol. Manag. 2018, 421, 84–97. [Google Scholar] [CrossRef]
- Wan, J.Z.; Wang, C.J.; Qu, H.; Liu, R.; Zhang, Z.X. Vulnerability of Forest Vegetation to Anthropogenic Climate Change in China. Sci. Total Environ. 2018, 621, 1633–1641. [Google Scholar] [CrossRef]
- Hong, S.; Jeong, H.M.; Shin, M.S.; Kim, J.Y.; Jang, I.Y. Risk Assessment of Temperature Increase for Wetland Flora in South Korea. J. Clim. Chang. Res. 2019, 10, 309–316. [Google Scholar] [CrossRef]
- Reinmann, A.B.; Susser, J.R.; Demaria, E.M.C.; Templer, P.H. Declines in northern forest tree growth following snowpack decline and soil freezing. Glob. Chang. Biol. 2019, 25, 420–430. [Google Scholar] [CrossRef]
- Pokhriyal, P.; Rehman, S.; Areendran, G.; Raj, K.; Pandey, R.; Kumar, M.; Sahana, M.; Sajjad, H. Assessing forest cover vulnerability in Uttarakhand, India using analytical hierarchy process. Model. Earth Syst. Environ. 2020, 6, 821–831. [Google Scholar] [CrossRef]
- Korea Environment Institute. The Recent Spread of Deforestation in the Seoul Metropolitan Area, Is It “Forest Management” or “Mountain Conversion”? Korea Environment Institute: Sejong, Republic of Korea, 2018. [Google Scholar]
- Lee, S.; Choi, S.; Lee, W.K.; Park, T.; Oh, S.; Kim, S.N. Vulnerability Assessment of Forest Distribution by the Climate Change Scenarios. J. For. Soc. 2011, 100, 256–265. [Google Scholar]
- Kwon, K.; Han, H.; Seol, A.; Hyejean, C.; Joosang, C. Analyzing Thinning Effects on Growth and Carbon Absorption for Cryptomeria japonica Stands Using Distance-Independent Growth Simulations. J. Korean For. Soc. 2016, 105, 132–138. [Google Scholar]
- Cortini, F.; Comeau, P.G. Pests, Climate and Competition Effects on Survival and Growth of Trembling Aspen in Western Canada. New For. 2020, 51, 175–190. [Google Scholar] [CrossRef]
- Jandl, R.; Ledermann, T.; Kindermann, G.; Freudenschuss, A.; Gschwantner, T.; Weiss, P. Strategies for Climate-Smart Forest Management in Austria. Forests 2018, 9, 592. [Google Scholar] [CrossRef]
- Kim, K.D. Analysis of Decision Factors on the Participation of Scaling Project for Private Forest Management using a Logit Model. J. Korean For. Soc. 2016, 105, 360–365. [Google Scholar] [CrossRef]
- Woo, H.; Han, H.; Cho, S.; Jung, G.; Kim, B.; Ryu, J.; Won, H.K.; Park, J. Investigating the optimal location of potential forest industry clusters to enhance domestic timber utilization in South Korea. Forests 2020, 11, 936. [Google Scholar] [CrossRef]
- Ficko, A.; Lidestav, G.; Ní Dhubháin, Á.; Karppinen, H.; Zivojinovic, I.; Westin, K. European private forest owner typologies: A review of methods and use. For. Policy Econ. 2019, 99, 21–31. [Google Scholar] [CrossRef]
- Lee, Y.J. Unified Systems on Forest Land Data Management in Korea—New Conceptual Design of Korea Forest SDI Model. J. Korean Cadastre Inf. Assoc. 2018, 20, 164–178. [Google Scholar] [CrossRef]








| Term | Conception | Definition | Existing Utilization |
|---|---|---|---|
| Sensitivity | AR3, 4 | The degree to which a system is affected, either adversely or beneficially, by climate variability or climate change [32] | Ecosystem mechanism, climate reaction, and inherent processes [33] |
| Exposure | AR3, 4 | The degree to which the system is exposed to climate-related stimuli [34] | Extreme climate [35] |
| AR5, 6 | The presence of people, livelihoods, species or ecosystems, environmental functions, services and resources, infrastructure, or economic, social, or cultural assets in places and settings that could be adversely affected [36] | Forest ecosystem [37], especially the forest growth model itself [38] | |
| Adaptation | AR3, 4, 5, 6 | Initiatives and measures to reduce the vulnerability of natural and human systems against actual or expected climate change effects [39,40] | Anticipatory and reactive, private and public, and autonomous and planned, especially forest management plans and current practices [41,42] |
| Hazard | AR5, 6 | The potential occurrence of a natural or human-induced physical event or trend or physical impact that may cause loss of life, injury, or other health impacts, as well as damage and loss to property, infrastructure, livelihoods, service provision, ecosystems, and environmental resources [34,43,44] | Climate change scenarios such as temperature and precipitation from Representative Concentration Pathways (RCPs) [45,46] |
| Vulnerability | AR3, 4, 5, 6 | The propensity or predisposition to be adversely affected. Vulnerability encompasses a variety of concepts and elements including sensitivity or susceptibility to harm and lack of capacity to cope and adapt [34,47] | The potential negative changes, area, and portion under adaptive measures [48,49] |
| Risk | AR5, 6 | In the context of climate change responses, risks result from the potential of such responses to not achieve the intended objective(s) or potential trade-offs or negative side-effects [5]. Combine the hazard, exposure, and vulnerability to quantify and classify the potential consequences of the risk to the area of investigation. Probabilistic or relative/quantitative terms can be expressed [50] | Combinations of hazard, vulnerability, and adaptation, especially considering probability or different risk management scenarios [51] |
Disclaimer/Publisher’s Note: The statements, opinions and data contained in all publications are solely those of the individual author(s) and contributor(s) and not of MDPI and/or the editor(s). MDPI and/or the editor(s) disclaim responsibility for any injury to people or property resulting from any ideas, methods, instructions or products referred to in the content. |
© 2023 by the authors. Licensee MDPI, Basel, Switzerland. This article is an open access article distributed under the terms and conditions of the Creative Commons Attribution (CC BY) license (https://creativecommons.org/licenses/by/4.0/).
Share and Cite
Hong, M.; Song, C.; Kim, M.; Kim, J.; Roh, M.; Ko, Y.; Cho, K.; Son, Y.; Jeon, S.; Kraxner, F.; et al. Modeling-Based Risks Assessment and Management of Climate Change in South Korean Forests. Forests 2023, 14, 745. https://doi.org/10.3390/f14040745
Hong M, Song C, Kim M, Kim J, Roh M, Ko Y, Cho K, Son Y, Jeon S, Kraxner F, et al. Modeling-Based Risks Assessment and Management of Climate Change in South Korean Forests. Forests. 2023; 14(4):745. https://doi.org/10.3390/f14040745
Chicago/Turabian StyleHong, Mina, Cholho Song, Moonil Kim, Jiwon Kim, Minwoo Roh, Youngjin Ko, Kijong Cho, Yowhan Son, Seongwoo Jeon, Florian Kraxner, and et al. 2023. "Modeling-Based Risks Assessment and Management of Climate Change in South Korean Forests" Forests 14, no. 4: 745. https://doi.org/10.3390/f14040745
APA StyleHong, M., Song, C., Kim, M., Kim, J., Roh, M., Ko, Y., Cho, K., Son, Y., Jeon, S., Kraxner, F., & Lee, W.-K. (2023). Modeling-Based Risks Assessment and Management of Climate Change in South Korean Forests. Forests, 14(4), 745. https://doi.org/10.3390/f14040745

