Next Article in Journal
Land-Use Types Regulate Se:Cd Ratios of Natural Seleniferous Soil Derived from Different Parent Materials in Subtropical Hilly Areas
Next Article in Special Issue
A Comparison between the Latest Models of Li-Ion Batteries and Petrol Chainsaws Assessing Noise and Vibration Exposure in Cross-Cutting
Previous Article in Journal
Potential Use of Two Forest Species (Salix alba and Casuarina glauca) in the Rhizofiltration of Heavy-Metal-Contaminated Industrial Wastewater
Previous Article in Special Issue
Effect of Different Vegetation Restoration on Recovery of Compaction-Induced Soil Degradation in Hyrcanian Mixed Forests: Influence on Soil C and N Pools and Enzyme Activities
 
 
Font Type:
Arial Georgia Verdana
Font Size:
Aa Aa Aa
Line Spacing:
Column Width:
Background:
Article

Disturbance Caused by Animal Logging to Soil Physicochemical and Biological Features in Oak Coppices: A Case-Study in Central Italy

by
Francesco Latterini
1,*,
Rachele Venanzi
2,*,
Walter Stefanoni
3 and
Rodolfo Picchio
2
1
Institute of Dendrology, Polish Academy of Sciences, Parkowa 5, 62-035 Kórnik, Poland
2
Department of Agricultural and Forest Sciences, Tuscia University, 01100 Viterbo, Italy
3
Consiglio per la Ricerca in Agricoltura e l’Analisi dell’Economia Agraria, Centro di Ricerca Ingegneria e Trasformazioni Agroalimentari, Via della Pascolare 16, 00015 Monterotondo, Italy
*
Authors to whom correspondence should be addressed.
Forests 2023, 14(3), 655; https://doi.org/10.3390/f14030655
Submission received: 30 January 2023 / Revised: 6 March 2023 / Accepted: 21 March 2023 / Published: 22 March 2023

Abstract

Firewood extraction by mule forwarding is still common in oak coppices in Central and Southern Italy. This is due to the scarce presence of aerial extraction systems such as cable yarders. Considering the importance of forest soil for all ecosystem services, the evaluation of the disturbance that a given extraction system has on the forest soil is a fundamental aspect in the framework of sustainable forest management. Therefore, this study was developed to assess the disturbance caused to the physicochemical and biological features of soil and to coppice after mule logging according to the standards of silvicultural treatment, as well as the recovery time needed after the logging intervention. Four cutting blocks located in Central Italy represented the study area, one cutting block represented the unharvested control, while the others were logged 3 years (CB-2019), 8 years (CB-2014) and 10 years (CB-2012) prior to the field surveys. In each harvested cutting block the soil was subdivided into disturbed soil (DIST—mule trails) and low disturbance soil (LD—area within the harvested cutting block not affected by mule passage). This experimental design assessed the disturbance caused by logging operations by mules (DIST soil) and the silvicultural treatment (LD soil) to soil physicochemical (bulk density, penetration resistance, shear resistance, and soil organic matter) and biological properties (soil microarthropod community evaluated with the QBS-ar index). The results revealed a significant disturbance in the mule trails for all the investigated variables. The disturbance was particularly strong for the QBS-ar index, with values which were lower than half of those of the control area. Furthermore, no recovery process was evident even after 10 years from the logging interventions. Instead, values of the various parameters became worse with time after harvesting. On the other hand, no marked disturbance was revealed in LD soil, except for a significant decrease in soil organic matter. Although this is a preliminary evaluation that needs to be confirmed with further study, this trial suggested that mule logging cannot be considered a fully low-impact approach to forest operations and that studies with a longer time span after harvesting are needed to assess the recovery process in the mule trails.

1. Introduction

Coppicing represents one of the oldest forms of forest management [1,2,3]. A coppice is a flexible system that requires a low level of energy input, is adaptable and can be modified according to the needs of a rural society [4]. Coppice forests are typical of the Mediterranean landscape and in Italy, they cover more than 3.5 million hectares [5,6]. Almost half of this forest cover is oak coppices, totalling nearly 1.6 million ha [4]. These are located in the hilly and mountainous parts of the country, mostly in Central and Southern Italy [5,7].
Logging operations in oak coppices are carried out, for the most part, to retrieve firewood [8,9]. These operations contribute to the production of renewable energy, according to the objectives of European Union environmental policies [10]. In addition, coppice forests provide several ecosystem services. For example, the heterogeneous landscape creates suitable environmental conditions for several endangered species, through its different structures and patterns of full light and shadows which are typical of coppice forests [11]. Furthermore, the high stem density which characterizes coppice forests is particularly effective against soil erosion and rockfall [12,13].
In any case, the fundamental ecosystem services of a forest can only be ensured by sustainable management [14,15,16]. The application of sustainable forest operations is a key aspect [17,18], with a particular reference to safeguarding forest soil after logging operations [19,20,21]. Coppice forests in Italy are, in fact, mostly located in sensitive soil conditions, characterized by steep slopes and high soil roughness [5]. Moreover, logging operations are generally carried out in the context of small-scale forestry, given that coppice forests are more abundant in central and southern Italy, where forest enterprises are usually conducted by a family business, operating with a low or medium level of mechanization [22,23].
The factors described explain why animal logging is still common in coppice forests in central and southern Italy. It is the usual method used on steep slopes (higher than 40%) and high terrain roughness (higher than 50%), considering that aerial extraction systems, such as tower yarders, are hardly available [7]. In particular, the harvesting system which is commonly used is the short wood system with semimechanized felling and processing and mule forwarding extraction [24].
It may seem that animal logging is a low-impact approach [25], and fully environmentally friendly. It generally has a lower level of disturbance to soil, residual stand, and natural regeneration compared to mechanized timber extraction [26,27,28]. However, there is very little literature concerning the evaluation of the disturbance to forest soil after mule forwarding in oak coppices of the Mediterranean area. The current literature available focuses on horse skidding [29] and has been carried out mainly in Iran [30,31]. Furthermore, there is no literature from studies on the evaluation of the impacts of mule logging on the biological features of the soil. The literature available focuses on the physicochemical characteristics of forest soil [32]. Finally, most of the literature was based on a short-term evaluation of the changes in soil features. There is no assessment of the recovery time needed to return to prelogging conditions, which is an important and fundamental aspect [33,34,35].
The aim of this case study was to assess the disturbance caused by mule forwarding on the physicochemical and biological properties of the soil of Mediterranean oak coppices. The evaluation of the recovery capacity of the forest soil over a 10-year period after logging was also included.
The research hypotheses behind the experimental design were therefore: (i) mule forwarding causes a significant soil disturbance with negative effects also on the biological features of the soil; (ii) a 10-year period is enough to allow the values of physicochemical and biological properties of soil in the mule trails to return to prelogging conditions; and (iii) short wood extraction by mule forwarding is a fully environmental-friendly approach to forest operations for firewood production.

2. Materials and Methods

2.1. Study Area

The study area is located in Central Italy in the Municipality of Montopoli (Latium, Italy, coordinates WGS84UTM33T 311861 E; 4682966 N) and it consists of four cutting blocks belonging to the local municipal authority. A vision of the four parcels on the local topographic map is given in Figure 1. The average annual temperature in the zone is 14.2 °C with the highest temperatures in July (23.4 °C) and lowest in January (5.7 °C). The average annual precipitation is 857 mm. The bedrock is limestone, and the soil texture is the same in all the four cutting blocks which show a clay–loam soil. The cutting blocks consist of holm oak (Quercus ilex L.) coppices, the rotation period in the study area is 40 years and the interventions are usually carried out releasing 120 standards per hectare. Such a long rotation period is a consequence of the low soil fertility in the area, which is characterized by a steep slope, high terrain roughness and shallow soils with a depth of 10–20 cm. Logging interventions were carried out in 2019 (CB-2019, 3 years before the field surveys), 2014 (CB-2014, 8 years before the field surveys), and 2012 (CB-2012, 10 years before the field surveys). In the harvested cutting blocks logging was performed, applying the short wood system by semimechanized felling and processing with a chainsaw, and log extraction was performed by forwarding 1-m long logs with mules. A team of 10 mules and two operators carried out the extraction operation, the average load weight was 180–200 kg of firewood per mule. The values of the topographical features of the four cutting blocks are similar to each other in terms of slope, elevation, terrain roughness and aspect (Table 1). Terrain roughness was not excessive in the three harvested cutting blocks and, therefore, mules were selected for logging due to the steep slope, which was higher than 40% in all of the cutting blocks.

2.2. Experimental Design

The applied experimental design was the same as suggested by a recent review on the topic [36] which allows for investigating separately the disturbance to the forest soil related to logging operations and silvicultural treatment. In the three harvested cutting blocks, the soil was divided into two different portions: the soil affected by mule passage (disturbed soil–DIST) and the soil in which the silvicultural treatment was applied but no animal passage was detected (low disturbance soil–LD). In the disturbed soil it is possible to assess the disturbance directly related to logging operations, while in the low-disturbance soil, only the disturbance related to the silvicultural treatment which was applied (in this case coppicing with 120 standards per hectare) was assessed. A further unharvested cutting block was used as a control area (CON). Applying the same design to cutting blocks harvested in different years allowed for the evaluation of the recovery process of soil features. Therefore, the experimental design presented seven experimental treatments (CB-2019 DIST; CB-2019 LD; CB-2014 DIST; CB-2014 LD; CB-2012 DIST; CB-2012 LD, and CON).
The values of soil physicochemical properties (bulk density, penetration resistance, shear resistance, and organic matter) and biological properties (QBS-ar index) were assessed in the four investigated parcels, as described below. Prior to this, the authors performed an assessment of the percentage of soil affected by mule passage, that is the percentage of disturbed soil. To carry out this evaluation, eight linear transects were established in each harvested cutting block (CB-2019, CB-2014, and CB-2012). Each transect was 50 m long and 1 m wide and established by a compass and tape measure. Along the transect, the visual assessment was performed for the presence or absence of bent understory, crushed litter, ruts, or soil mixing, in order to discriminate between disturbed soil and low-disturbance soil. Subsequently, the detected disturbed surface was reported as a percentage of the overall surface of the transect.

2.2.1. Soil Physicochemical Features

Penetration resistance (MPa) and shear resistance (Mg m−2) were evaluated by applying a dedicated handheld instrument in the first 5 cm of soil. Obtained values were subsequently referred to the soil water-holding capacity according to Saxton et al. [37]. Penetration resistance and shear resistance were measured eighteen times in each treatment for a total of 126 measurements for each of the two variables.
Soil sampling for bulk density (g cm−3) estimation was carried out with a dedicated corer (6 soil samples in each experimental treatment for a total number of 42 soil samples). Samples were placed in plastic bags and shipped to the laboratory. Soil samples were subsequently weighed after oven drying at 105 °C to constant weight (dry weight). The ratio between the dry weight and the volume of the cylinder of the corer (100 cm3) is the value of soil bulk density [1].
Soil organic matter, in terms of percentage, was evaluated by collecting 6 soil samples in each experimental treatment (42 samples in total). The same instrument, as for bulk density sampling, was applied. The percentage of organic matter in the soil was then determined by incineration in a muffle incinerator at 400 °C for 4 h [1].

2.2.2. QBS-ar Index (Soil Biological Quality Based on Microarthropods)

The QBS-ar index was used to assess the disturbance to the biological component of the forest soil. QBS-ar is a qualitative index which evaluates the complexity of the microarthropod community in the soil. The basic concept behind this index is that soil of high quality is characterized by the presence of a high number of microarthropod groups which are specifically adapted to the soil environment.
Thus, soil microarthropods are clustered into several biological forms based on their morphological adaptation to the soil environment. A score called EMI (ecomorphological index), which ranges from 1 to 20 in proportion to the degree of adaptation, is assigned to each form [38]. The QBS-ar Index is then calculated as the sum of the EMIs of all the groups within a given soil sample. To calculate the QBS-ar index, 6 soil samples 10 × 10 × 10 cm were collected using a specific corer in each treatment (42 soil samples in total). Berlese–Tüllgren funnels were subsequently used to extract the microarthropods from the soil samples. The various specimens in each sample were then stored in a preserving solution (75% ethyl alcohol and 25% glycerol by volume) and further identified at different taxonomic levels (order for Insecta, Collembola, Chelicerata, and Crustacea and class for Myriapoda) using a stereo microscope.

2.3. Statistical Analysis

Being an experimental design with a single study area, a fixed effects approach was applied for the statistical analysis of the data.
Prior to proper analysis, data homoschedasticity and normality were checked by a Levene test [39] and a Shapiro–Wilk test [40], respectively. In this case, the assumptions of data normality and homoschedasticity were confirmed and a one-way ANOVA [41] was applied to check for the presence of statistically significant differences (p < 0.05) among the values of the various experimental treatments. The HSD Tukey test [42] was applied as a post hoc in case one-way ANOVA reported significant differences among treatments. Due to data nonnormality for QBS-ar values, a nonparametric approach was used by applying the Kruskall–Wallis test [43] and the Duncan test [44] as post hoc tests. All the analyses were performed using the software Statistica 7.0 (Statsoft, Tulsa, OK, USA) [45].

3. Results

3.1. Percentage of Surface Affected by Mule Trails

The percentage of disturbed soil in the three investigated cutting blocks was 60% on average, ranging from 55% in CB-2019 to 64% in CB-2014. However, no statistically significant difference was detected among the values of the disturbed surface among the three cutting blocks, as reported in Figure 2.

3.2. Soil Physicochemical Properties

The one-way ANOVA revealed the presence of statistically significant differences among the values of bulk density in the experimental treatments (Figure 3). Bulk density in the low-disturbance soil was significantly higher than the control values only in the cutting block CB-2014, while no differences were detected for CB-2019 and CB-2012. On the other hand, the soil affected by mule passage showed significantly higher values of bulk density in comparison to the control area, with a significant increase of 19% in CB-2019 and an even higher soil compaction was detected in CB-2014 and CB-2012 with an average increase of about 36%.
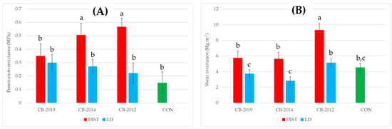
Statistically significant differences were also detected regarding the values of soil penetration and shear resistance (Figure 4a,b, respectively), with the two variables showing a similar trend. Interestingly, a significant increase in penetration resistance was shown only in the mule trails in CB-2014 and CB-2012, while for shear resistance, an increase was shown only in the disturbed soil in CB-2012. It seems, therefore, that soil compaction in terms of penetration and shear resistance did not change significantly in a short time after logging, but tended to grow after a longer period. No significant alteration was instead detected concerning the values in the low disturbance soil not affected by the passage of the mules.
A statistically significant alteration was also revealed by one-way ANOVA for the values of soil organic matter in the various experimental treatments (Figure 5). Differently from what was shown for the other physicochemical variables, it seems that also the silvicultural treatment applied, i.e., coppicing with standards, can significantly decrease soil organic matter. Indeed, the obtained data revealed a statistically significant decrease in CB-2019, which is not recovered in CB-2012. Organic matter in the mule trails showed instead a particular trend, increasing significantly after logging but rapidly decreasing until reaching values significantly lower than the control ones in CB-2012.

3.3. Soil Biological Properties

The Kruskall–Wallis test revealed the presence of statistically significant differences among the values of the QBS-ar index in the experimental treatments (Figure 6). Similar to what was revealed for a major part of the physicochemical properties of the soil, practically no significant alteration was detected in the low-disturbance soil, with values in CB-2012 that were even higher than in the control area. On the other hand, the soil microarthropod community was significantly disturbed by the passage of mules. Indeed, values of the QBS-ar index in the mule trails were significantly lower than in the control area. This impact was evident in CB-2019 and there seems to have been no recovery at all in CB-2012, with values which were at the same level in the cutting block harvested 3 years (CB-2019) and 10 years (CB-2012) prior to the field surveys. The alteration of the QBS-ar index in the mule trails is particularly marked, with values which were less than half those in the control area.

4. Discussion

4.1. Discussion of the Obtained Results

The obtained results can only partially confirm the statement that animal logging represents a low-impact approach to forest operations [25]. It was indeed demonstrated that animal logging is effective in reducing pollutant emissions from forest operations [24,29] as well as limiting damage to the residual stand [27]. On the other hand, the results of the present study revealed a substantial alteration of soil features related to mule logging, confirming the first research hypothesis. Furthermore, the percentage of disturbed surface which resulted to be approximately 60% showed a widespread soil disturbance, almost double what happens in the case of the application of mechanized ground-based extraction systems [36].
The results in terms of increased soil compaction in the mule trails are in line with what is reported in the current literature. The percentage of bulk density increase in the soil affected by mule passage is indeed comparable with the range of +11% to +38.66% found in similar studies carried out in Iran in selective logging interventions in mature mixed hardwood forests [26,30,31,32]. The results are also partially in line with the previous research carried out in the similar context of Mediterranean coppice forests but evaluating the effects on forest soil of different levels of mechanization. Indeed the average increase in soil compaction is in line with the values reported for coppicing with standard interventions in central Italy oak and chestnut coppices, however, extracting the wooden material using forestry-fitted farm tractors, grapple skidders, or forwarders [1,46,47,48]. On the other hand, the recovery time for both physicochemical and biological soil features was five years in oak coppices [1,46] and eight years in chestnut coppices [47], while values found in this study have not yet recovered and have therefore have not returned to pre-logging conditions after 10 years from harvesting operations. Thus, the second research hypothesis is rejected. It is, however, worth noting how the faster recovery observed in the current literature for similar stands and interventions can be related to different conditions of soil fertility. These conditions in this trial were particularly poor in comparison to the fresh and fertile volcanic soils investigated by Venanzi et al. [1,46,47].
The two major findings of this study are on the one hand the lack of a recovery trend of all the investigated variables, and on the other hand, the strong disturbance of the microarthropod community in the mule trails.
Although the full recovery of soil features after logging can take decades, a recovery trend has always been reported in every study which focused on this type of issue [33,49,50]. However, there is no recovery trend in this trial, though soil features seem to become worse with time after harvesting intervention. The effect of grazing can be excluded to explain such an unusual trend, considering that grazing is forbidden for several years after harvesting by local forest regulations. Moreover, it has to be noted that this was observed only in the mule trails, while a grazing effect would be evident in the low-disturbance soil as well. Therefore, a possible explanation of the worsening of soil physicochemical features can be explained by the fact that mule trails could become with time preferential lines of water flow. Strong compaction, limited width and steep slopes could indeed force the repeated passage of water flow along the mule trails, further deteriorating overall soil features along them. This is also evident for soil organic matter, which, after an initial increase, probably as a consequence of animal defecation, rapidly decreases to values which are lower than in the control area.
The very strong impact on the microarthropod community in the mule trails, along with the complete absence of any recovery trend, is the other major finding of this trial. It is probable that such a strong disturbance could also be related to the particularly poor soil conditions in the study area. Given that areas with this type of conditions are usually where mule logging is applied, the investigation of such an important aspect should be a priority in future research on the same topic.
Considering these preliminary findings, it cannot be concluded that mule forwarding is a fully environmentally friendly approach in the study area context, thus rejecting the third research hypothesis. On the other hand, it currently represents the only option applicable for firewood production from oak coppices located in harsh soil conditions in the silvicultural context of Central and Southern Italy. The gradual substitution of animal extraction with aerial systems seems therefore recommended in order to increase the overall sustainability of the forest operations in such a context. Aerial systems would render higher productivity while causing a lower level of soil disturbance [51,52,53,54,55]. Moreover, the ergonomic aspect is fundamental when dealing with the sustainability of a given harvesting system, and the operators who work with mules carry out their activities in harsher conditions than the ones operating tower yarders [56,57,58]. Obviously, an extensive training program based on the collaboration among forest enterprises, researchers, and public entities is crucial to gradually reach the goal of replacing animal extraction with more modern and complex technologies such as tower yarders [59,60,61].

4.2. Study Limitations and Future Research Efforts

This study represents a preliminary trial carried out with a case-study approach, the obtained results are innovative and interesting, but preliminary. Studies dealing with natural environments imply a high level of uncontrolled variability, related to the numerous variables which could affect the results. Therefore, the results of single case studies are limited and cannot be used to shape a general conclusion. However, such studies are the platform from which scientific debates are launched to update more complex studies including meta-analysis.
The findings showed that the disturbance to soil physicochemical and biological features related to mule logging in Mediterranean oak coppices is far from negligible. Mostly, the complete absence of a recovery trend, even after 10 years from logging operations, is among the major concerns which should be investigated in future research. It is equally important to prolong the time span of the evaluation to assess the amount of time needed to start and complete the recovery of soil features. It is, however, worth acknowledging how the long rotation period of about 40 years applied in the study area could be a positive factor to promote the recovery of soil features after harvesting intervention.

5. Conclusions

Notwithstanding the general worldwide trend of increasing the level of mechanization in forest operations, mule logging is still a common extraction system to retrieve firewood from oak coppice stands in central and southern Italy. There is currently a lack of knowledge regarding the disturbance related to mule logging on soil physicochemical and biological features in this kind of forest stand. Therefore, the present case study aimed to carry out a preliminary evaluation of this important aspect in the context of the sustainability of forest management. The findings revealed how mule logging can cause a significant increase in soil compaction with subsequent detrimental effects on the soil microarthropod community, thus suggesting that this system cannot be considered fully environmentally friendly in the studied context. It is interesting to note that different from similar studies on higher levels of mechanization, no recovery trend of soil features was detected in the mule trails. In fact, the values of soil physicochemical and biological parameters became worse with time after logging operations. This suggests that mule trails can act as a preferential line for water flow, with subsequent concerns about hydrological as well as biological aspects. In this case, the long rotation period of about 40 years seems suitable to provide a sufficient amount of time to allow the forest soil to recover.
Future studies on the topic should be therefore aimed to confirm this aspect, by allowing more time for evaluation after logging interventions.

Author Contributions

Conceptualization, F.L., R.V., and R.P.; methodology, F.L., R.V., and R.P.; formal analysis, F.L. and R.P.; writing—original draft preparation, F.L., R.V., and W.S.; writing—review and editing, F.L., R.V., W.S., and R.P.; supervision, R.P. All authors have read and agreed to the published version of the manuscript.

Funding

This research received no external funding.

Data Availability Statement

Data available on request from the corresponding author.

Conflicts of Interest

The authors declare no conflict of interest.

References

  1. Venanzi, R.; Picchio, R.; Grigolato, S.; Latterini, F. Soil and forest regeneration after different extraction methods in coppice forests. For. Ecol. Manag. 2019, 454, 117666. [Google Scholar] [CrossRef]
  2. Alder, D.C.; Edwards, B.; Poore, A.; Norrey, J.; Marsden, S.J. Irregular silviculture and stand structural effects on the plant community in an ancient semi-natural woodland. For. Ecol. Manag. 2023, 527, 120622. [Google Scholar] [CrossRef]
  3. Matoušková, M.; Urban, J.; Volařík, D.; Hájíčková, M.; Matula, R. Coppicing modulates physiological responses of sessile oak (Quercus petraea Matt. Lieb.) to drought. For. Ecol. Manag. 2022, 517, 120253. [Google Scholar] [CrossRef]
  4. Camponi, L.; Cardelli, V.; Cocco, S.; Serrani, D.; Salvucci, A.; Cutini, A.; Agnelli, A.; Fabbio, G.; Bertini, G.; Roggero, P.P. Effect of coppice conversion into high forest on soil organic C and nutrients stock in a Turkey oak (Quercus cerris L.) forest in Italy. J. Environ. Manage. 2022, 312, 114935. [Google Scholar] [CrossRef]
  5. Manetti, M.C.; Becagli, C.; Bertini, G.; Cantiani, P.; Marchi, M.; Pelleri, F.; Sansone, D.; Fabbio, G. The conversion into high forest of Turkey oak coppice stands: Methods, silviculture and perspectives. iForest-Biogeosciences For. 2020, 13, 309. [Google Scholar] [CrossRef]
  6. Mairota, P.; Manetti, M.C.; Amorini, E.; Pelleri, F.; Terradura, M.; Frattegiani, M.; Savini, P.; Grohmann, F.; Mori, P.; Terzuolo, P.G. Opportunities for coppice management at the landscape level: The Italian experience. iForest-Biogeosciences For. 2016, 9, 775. [Google Scholar] [CrossRef]
  7. Di Marzio, N. An overview of forest cover and management in Italy. Nov. Meh. Sumar. 2020, 41, 63–71. [Google Scholar] [CrossRef]
  8. Del Giudice, A.; Scarfone, A.; Paris, E.; Gallucci, F.; Santangelo, E. Harvesting Wood Residues for Energy Production from an Oak Coppice in Central Italy. Energies 2022, 15, 9444. [Google Scholar] [CrossRef]
  9. Vacchiano, G.; Berretti, R.; Brenta, P.; Meloni, F.; Motta, R.; Nosenzo, A.; Terzuolo, P.G. Vegetative regeneration of beech coppices for biomass in Piedmont, NW Italy. Biomass Bioenergy 2017, 107, 271–278. [Google Scholar] [CrossRef]
  10. Suardi, A.; Bergonzoli, S.; Alfano, V.; Scarfone, A.; Pari, L. Economic distance to gather agricultural residues from the field to the integrated biomass logistic centre: A Spanish case-study. Energies 2019, 12, 3086. [Google Scholar] [CrossRef]
  11. Vacik, H.; Zlatanov, T.; Trajkov, P.; Dekanic, S.; Lexer, M.J. Role of coppice forests in maintaining forest biodiversity. Silva Balc. 2009, 10, 35–45. [Google Scholar]
  12. Radtke, A.; Toe, D.; Berger, F.; Zerbe, S.; Bourrier, F. Managing coppice forests for rockfall protection: Lessons from modeling. Ann. For. Sci. 2014, 71, 485–494. [Google Scholar] [CrossRef]
  13. Scheidl, C.; Heiser, M.; Vospernik, S.; Lauss, E.; Perzl, F.; Kofler, A.; Kleemayr, K.; Bettella, F.; Lingua, E.; Garbarino, M. Assessing the protective role of alpine forests against rockfall at regional scale. Eur. J. For. Res. 2020, 139, 969–980. [Google Scholar] [CrossRef]
  14. Nasiri, M.; Yousefzadeh, H.; Shirvany, A.; Etemad, V.; Espahbodi, K.; Amirchakhmaghi, N.; Rajora, O.P. Effects of fifty years of shelterwood harvesting on genetic diversity and population structure of Oriental beech (Fagus orientalis L.) in the relict Hyrcanian forest. For. Ecol. Manag. 2023, 529, 120623. [Google Scholar] [CrossRef]
  15. Goushehgir, Z.; Feghhi, J.; Innes, J.L. Challenges Facing the Improvement of Forest Management in the Hyrcanian Forests of Iran. Forests 2022, 13, 2180. [Google Scholar] [CrossRef]
  16. García-Montiel, E.; Cubbage, F.; Rojo-Alboreca, A.; Morones-Esquivel, M.M.; Lujan-Álvarez, C.; Montiel-Antuna, E.; López-Serrano, P.M.; Pérez-Rodríguez, F.; Corral-Rivas, J.J. Hierarchical Analysis of Factors Determining the Impact of Forest Certification in Mexico. Forests 2022, 13, 2093. [Google Scholar] [CrossRef]
  17. Marchi, E.; Chung, W.; Visser, R.; Abbas, D.; Nordfjell, T.; Mederski, P.S.; McEwan, A.; Brink, M.; Laschi, A. Sustainable Forest Operations (SFO): A new paradigm in a changing world and climate. Sci. Total Environ. 2018, 634, 1385–1397. [Google Scholar] [CrossRef] [PubMed]
  18. Latterini, F.; Mederski, P.S.; Jaeger, D.; Venanzi, R.; Tavankar, F.; Picchio, R. The Influence of Various Silvicultural Treatments and Forest Operations on Tree Species Biodiversity. Curr. For. Rep. 2023, 9, 59–71. [Google Scholar] [CrossRef]
  19. Nazari, M.; Eteghadipour, M.; Zarebanadkouki, M.; Ghorbani, M.; Dippold, M.A.; Bilyera, N.; Zamanian, K. Impacts of Logging-Associated Compaction on Forest Soils: A Meta-Analysis. Front. For. Glob. Chang. 2021, 4, 780074. [Google Scholar] [CrossRef]
  20. Karami, S.; Jourgholami, M.; Attarod, P.; Venanzi, R.; Latterini, F.; Stefanoni, W.; Picchio, R. The medium-term effects of forest operations on a mixed broadleaf forest: Changes in soil properties and loss of nutrients. Land Degrad. Dev. 2023, 1–14. [Google Scholar] [CrossRef]
  21. Latterini, F.; Venanzi, R.; Picchio, R.; Jagodziński, A.M. Short-term physicochemical and biological impacts on soil after forest logging in Mediterranean broadleaf forests: 15 years of field studies summarized by a data synthesis under the meta-analytic framework. For. Int. J. For. Res. 2023, cpac060. [Google Scholar] [CrossRef]
  22. Spinelli, R.; Magagnotti, N.; Aminti, G.; De Francesco, F.; Lombardini, C. The effect of harvesting method on biomass retention and operational efficiency in low-value mountain forests. Eur. J. For. Res. 2016, 135, 755–764. [Google Scholar] [CrossRef]
  23. Spinelli, R.; Lombardini, C.; Aminti, G.; Magagnotti, N. Efficient debarking to increase value recovery in small-scale forestry operations. Small-scale For. 2018, 17, 377–392. [Google Scholar] [CrossRef]
  24. Latterini, F.; Venanzi, R.; Stefanoni, W.; Sperandio, G.; Suardi, A.; Civitarese, V.; Picchio, R. Work Productivity, Costs and Environmental Impacts of Two Thinning Methods in Italian Beech High Forests. Sustainability 2022, 14, 11414. [Google Scholar] [CrossRef]
  25. Malatinszky, Á.; Ficsor, C.; Tormáné Kovács, E. Which Factors Determine the Distribution of Low-Impact Horse Logging in the Hungarian State-Owned Forests? Forests 2022, 13, 1959. [Google Scholar] [CrossRef]
  26. Naghdi, R.; Lotfalian, M.; Bagheri, I.; Jalali, A.M. Damages of skidder and animal logging to forest soils and natural regeneration. Croat. J. For. Eng. 2009, 30, 141–149. [Google Scholar]
  27. Knežević, J.; Gurda, S.; Musić, J.; Halilović, V.; Sokolović, D.; Bajrić, M. The impact of animal logging on residual trees in mixed fir and spruce stands. South-East Eur. For. 2018, 9, 107–114. [Google Scholar] [CrossRef]
  28. Magagnotti, N.; Spinelli, R. Integrating animal and mechanical operations in protected areas. Croat. J. For. Eng. 2011, 32, 489–499. [Google Scholar]
  29. Engel, A.M.; Wegener, J.; Lange, M. Greenhouse gas emissions of two mechanised wood harvesting methods in comparison with the use of draft horses for logging. Eur. J. For. Res. 2012, 131, 1139–1149. [Google Scholar] [CrossRef]
  30. Ezzati, S.; Najafi, A.; Durston, T. Impact of animal logging on soil physical properties in mule trail in Hyrcanian forests. Transp. Res. Part D Transp. Environ. 2011, 16, 316–320. [Google Scholar] [CrossRef]
  31. Ghaffariyan, M.R.; Durston, T.; Sobhani, H.; Mohadjer, M.R.M. Mule logging in northern forests of iran: A study of productivity, cost and damage to Soil and seedlings. Croat. J. For. Eng. 2009, 30, 67–75. [Google Scholar]
  32. Jamshidi, R.; Jaeger, D.; Raafatnia, N.; Tabari, M. Influence of two ground-based skidding systems on soil compaction under different slope and gradient conditions. Int. J. For. Eng. 2008, 19, 9–16. [Google Scholar] [CrossRef]
  33. DeArmond, D.; Ferraz, J.B.S.; Lovera, L.H.; de Souza, C.A.S.; Corrêa, C.; Spanner, G.C.; Lima, A.J.N.; dos Santos, J.; Higuchi, N. Impacts to soil properties still evident 27 years after abandonment in Amazonian log landings. For. Ecol. Manag. 2022, 510, 120105. [Google Scholar] [CrossRef]
  34. Labelle, E.R.; Hansson, L.; Högbom, L.; Jourgholami, M.; Laschi, A. Strategies to Mitigate the Effects of Soil Physical Disturbances Caused by Forest Machinery: A Comprehensive Review. Curr. For. Rep. 2022, 8, 20–37. [Google Scholar] [CrossRef]
  35. Hoffmann, S.; Schönauer, M.; Heppelmann, J.; Asikainen, A.; Cacot, E.; Eberhard, B.; Hasenauer, H.; Ivanovs, J.; Jaeger, D.; Lazdins, A.; et al. Trafficability Prediction Using Depth-to-Water Maps: The Status of Application in Northern and Central European Forestry. Curr. For. Rep. 2022, 8, 55–71. [Google Scholar] [CrossRef]
  36. Picchio, R.; Mederski, P.S.; Tavankar, F. How and How Much, Do Harvesting Activities Affect Forest Soil, Regeneration and Stands? Curr. For. Rep. 2020, 6, 115–128. [Google Scholar] [CrossRef]
  37. Saxton, K.E.; Rawls, W.; Romberger, J.S.; Papendick, R.I. Estimating generalized soil-water characteristics from texture. Soil Sci. Soc. Am. J. 1986, 50, 1031–1036. [Google Scholar] [CrossRef]
  38. Parisi, V.; Menta, C.; Gardi, C.; Jacomini, C.; Mozzanica, E. Microarthropod communities as a tool to assess soil quality and biodiversity: A new approach in Italy. Agric. Ecosyst. Environ. 2005, 105, 323–333. [Google Scholar] [CrossRef]
  39. Glass, G. V Testing homogeneity of variances. Am. Educ. Res. J. 1966, 3, 187–190. [Google Scholar] [CrossRef]
  40. Shapiro, S.S.; Wilk, M.B. An analysis of variance test for normality (complete samples). Biometrika 1965, 52, 591–611. [Google Scholar] [CrossRef]
  41. Fisher, R.A. The Correlation Between Relatives on the Supposition of Mendelian Inheritance. Philos. Trans. R. Soc. Edinb. 1918, 52, 399–433. [Google Scholar] [CrossRef]
  42. Tukey, J.W. Comparing individual means in the analysis of variance. Biometrics 1949, 5, 99–114. [Google Scholar] [CrossRef] [PubMed]
  43. Kruskal, W.H.; Wallis, W.A. Use of Ranks in One-Criterion Variance Analysis. J. Am. Stat. Assoc. 1952, 47, 583–621. [Google Scholar] [CrossRef]
  44. Duncan, D.B. Multiple range and multiple F tests. Biometrics 1955, 11, 1–42. [Google Scholar] [CrossRef]
  45. StatSoft, Inc. STATISTICA (Data Analysis Software System), StatSoft, Inc.: Oklahoma, OK, USA, 2007. Available online: https://www.tibco.com/products/data-science (accessed on 1 January 2023)version 7.0.
  46. Venanzi, R.; Picchio, R.; Spinelli, R.; Grigolato, S. Soil Disturbance and Recovery after Coppicing a Mediterranean Oak Stand: The Effects of Silviculture and Technology. Sustainability 2020, 12, 4074. [Google Scholar] [CrossRef]
  47. Venanzi, R.; Picchio, R.; Grigolato, S.; Spinelli, R. Soil Disturbance Induced by Silvicultural Treatment in Chestnut (Castanea sativa Mill.) Coppice and Post-Disturbance Recovery. Forests 2020, 11, 1053. [Google Scholar] [CrossRef]
  48. Latterini, F.; Venanzi, R.; Tocci, D.; Picchio, R. Depth-to-Water Maps to Identify Soil Areas That Are Potentially Sensitive to Logging Disturbance: Initial Evaluations in the Mediterranean Forest Context. Land 2022, 11, 709. [Google Scholar] [CrossRef]
  49. Rab, M.A. Recovery of soil physical properties from compaction and soil profile disturbance caused by logging of native forest in Victorian Central Highlands, Australia. For. Ecol. Manag. 2004, 191, 329–340. [Google Scholar] [CrossRef]
  50. Tavankar, F.; Picchio, R.; Nikooy, M.; Jourgholami, M.; Naghdi, R.; Latterini, F.; Venanzi, R. Soil natural recovery process and Fagus orientalis lipsky seedling growth after timber extraction by wheeled skidder. Land 2021, 10, 113. [Google Scholar] [CrossRef]
  51. Varch, T.; Erber, G.; Visser, R.; Spinelli, R.; Harrill, H.; Stampfer, K. Advances in Cable Yarding: A Review of Recent Developments in Skyline Carriage Technology. Curr. For. Rep. 2021, 7, 181–194. [Google Scholar] [CrossRef]
  52. Schweier, J.; Ludowicy, C. Comparison of A Cable-Based and a Ground-Based System in Flat and Soil-Sensitive Area: A Case Study from Southern Baden in Germany. Forests 2020, 11, 611. [Google Scholar] [CrossRef]
  53. Ramstein, L.; Bont, L.G.; Ginzler, C.; Schweier, J. Comparison of single tree detection methods to extract support trees for cable road planning. Eur. J. For. Res. 2022, 141, 1121–1138. [Google Scholar] [CrossRef]
  54. Ottaviani Aalmo, G.; Spinelli, R.; Magagnotti, N.; Visser, R. Quantitative and qualitative workload assessment in steep terrain forest operations: Fostering a safer work environment through yarder automation. Ergonomics 2022, 1–13. [Google Scholar] [CrossRef] [PubMed]
  55. Lee, E.; Choi, Y.; Cho, M.; Cho, K.; Oh, J.; Han, S.; Im, S. A Literature Review on Cable Extraction Practices of South Korea: 1990–2020. Forests 2021, 12, 908. [Google Scholar] [CrossRef]
  56. Lindroos, O.; La Hera, P.; Häggström, C. Drivers of advances in mechanized timber harvesting—A selective review of technological innovation. Croat. J. For. Eng. 2017, 38, 243–258. [Google Scholar]
  57. Spinelli, R.; Magagnotti, N.; Lombardini, C. Performance, capability and costs of small-scale cable yarding technology. Small-scale For. 2010, 9, 123–135. [Google Scholar] [CrossRef]
  58. Bont, L.G.; Ramstein, L.; Frutig, F.; Schweier, J. Tensile forces and deflections on skylines of cable yarders: Comparison of measurements with close-to-catenary predictions. Int. J. For. Eng. 2022, 33, 195–216. [Google Scholar] [CrossRef]
  59. Aalmo, G.O.; Talbot, B. Operator performance improvement through training in a controlled cable yarding study. Int. J. For. Eng. 2014, 25, 5–13. [Google Scholar] [CrossRef]
  60. Hoffmann, S.; Jaeger, D.; Lingenfelder, M.; Schoenherr, S. Analyzing the efficiency of a start-up cable yarding crew in Southern China under new forest management perspectives. Forests 2016, 7, 188. [Google Scholar] [CrossRef]
  61. Cadei, A.; Mologni, O.; Marchi, L.; Sforza, F.; Röser, D.; Cavalli, R.; Grigolato, S. Energy efficiency of a hybrid cable yarding system: A case study in the North-Eastern Italian Alps under real working conditions. J. Agric. Eng. 2021, 52, 3. [Google Scholar] [CrossRef]
Figure 1. Investigated cutting blocks on the local topographic map.
Figure 1. Investigated cutting blocks on the local topographic map.
Forests 14 00655 g001
Figure 2. Percentage of the disturbed soil surface in the three investigated harvested cutting blocks. No statistically significant differences (p < 0.05) were detected by one-way ANOVA. Different colors refer to different treatments.
Figure 2. Percentage of the disturbed soil surface in the three investigated harvested cutting blocks. No statistically significant differences (p < 0.05) were detected by one-way ANOVA. Different colors refer to different treatments.
Forests 14 00655 g002
Figure 3. Values of soil bulk density in the various experimental treatments. Different lowercase letters indicate different homogeneous groups (p < 0.05) according to the HSD Tukey test. Error bars represent the standard deviation. Green color refers to control area.
Figure 3. Values of soil bulk density in the various experimental treatments. Different lowercase letters indicate different homogeneous groups (p < 0.05) according to the HSD Tukey test. Error bars represent the standard deviation. Green color refers to control area.
Forests 14 00655 g003
Figure 4. (A) values of soil penetration resistance in the various experimental treatments. (B) values of soil shear resistance in the various experimental treatments. Different lowercase letters indicate different homogeneous groups (p < 0.05) according to the HSD Tukey test. Error bars represent the standard deviation. Green color refers to control area.
Figure 4. (A) values of soil penetration resistance in the various experimental treatments. (B) values of soil shear resistance in the various experimental treatments. Different lowercase letters indicate different homogeneous groups (p < 0.05) according to the HSD Tukey test. Error bars represent the standard deviation. Green color refers to control area.
Forests 14 00655 g004
Figure 5. Values of soil organic matter in the various experimental treatments. Different lowercase letters indicate different homogeneous groups (p < 0.05) according to the HSD Tukey test. Error bars represent the standard deviation. Green color refers to control area.
Figure 5. Values of soil organic matter in the various experimental treatments. Different lowercase letters indicate different homogeneous groups (p < 0.05) according to the HSD Tukey test. Error bars represent the standard deviation. Green color refers to control area.
Forests 14 00655 g005
Figure 6. Values of QBS-ar index in the various experimental treatments. Different lowercase letters indicate different homogeneous groups (p < 0.05) according to the Duncan test. Green color refers to control area.
Figure 6. Values of QBS-ar index in the various experimental treatments. Different lowercase letters indicate different homogeneous groups (p < 0.05) according to the Duncan test. Green color refers to control area.
Forests 14 00655 g006
Table 1. Main topographical features of the four cutting blocks.
Table 1. Main topographical features of the four cutting blocks.
ParameterCB-2019CB-2015CB-2012Control
Surface (ha)15111611
Mean elevation (m a.s.l.)650500500500
Slope (%)43524243
AspectSouthwestSouthwestSoutheastSoutheast
Terrain roughness (%) *20252025
* terrain roughness is calculated as the percentage of the surface of the cutting block occupied by obstacles to the movement of mechanized machinery (rocks and stones).
Disclaimer/Publisher’s Note: The statements, opinions and data contained in all publications are solely those of the individual author(s) and contributor(s) and not of MDPI and/or the editor(s). MDPI and/or the editor(s) disclaim responsibility for any injury to people or property resulting from any ideas, methods, instructions or products referred to in the content.

Share and Cite

MDPI and ACS Style

Latterini, F.; Venanzi, R.; Stefanoni, W.; Picchio, R. Disturbance Caused by Animal Logging to Soil Physicochemical and Biological Features in Oak Coppices: A Case-Study in Central Italy. Forests 2023, 14, 655. https://doi.org/10.3390/f14030655

AMA Style

Latterini F, Venanzi R, Stefanoni W, Picchio R. Disturbance Caused by Animal Logging to Soil Physicochemical and Biological Features in Oak Coppices: A Case-Study in Central Italy. Forests. 2023; 14(3):655. https://doi.org/10.3390/f14030655

Chicago/Turabian Style

Latterini, Francesco, Rachele Venanzi, Walter Stefanoni, and Rodolfo Picchio. 2023. "Disturbance Caused by Animal Logging to Soil Physicochemical and Biological Features in Oak Coppices: A Case-Study in Central Italy" Forests 14, no. 3: 655. https://doi.org/10.3390/f14030655

APA Style

Latterini, F., Venanzi, R., Stefanoni, W., & Picchio, R. (2023). Disturbance Caused by Animal Logging to Soil Physicochemical and Biological Features in Oak Coppices: A Case-Study in Central Italy. Forests, 14(3), 655. https://doi.org/10.3390/f14030655

Note that from the first issue of 2016, this journal uses article numbers instead of page numbers. See further details here.

Article Metrics

Back to TopTop