Abstract
As a result of the progressing climate changes, there is an increase in the volume of pine deadwood harvested each year from Polish forests. Its presence is an important part of the forest ecosystem; however, there are some indications that the material obtained from dying trees can be characterized by lower quality and properties. Taking into account the growing issue of tree dieback, the volume of pine wood annually harvested in Poland, and the importance of wooden products from an economic standpoint, preliminary research aimed at recognizing the process and its effect on the mechanical properties was conducted. Model trees in Brzeg Forest District were selected based on the crown defoliation. The properties of wood obtained from trees representing three different categories of soundness were determined according to the relevant standards. Based on the results of density, modulus of elasticity, bending strength, and compressive strength, it was found that there were statistically significant differences in wood quality depending on the condition of the tree. The results were particularly interesting in the case of compressing strength, where a healthy tree of lower density showed a similar strength to a dying tree with a much higher density.
1. Introduction
Scots pine (Pinus sylvestris L.) is the basic forest-forming species in Poland as it accounts for almost 60% of Polish forests. There was nearly 40 million m3 of wood harvested in Poland in the recent period and pine wood formed the vast majority of it. Therefore, pine wood occupies a leading position in terms of suitability for industrial production. It is widely used in both a round state (construction stamps, mines, telecommunication poles, piles) and a sawn form [,,].
In recent years, which were characterized by a significant decrease in precipitation, there was a rapid increase in the release of pine deadwood in the forests, which indicates the occurrence of a drought period. The appearance of drought as a phenomenon is not entirely new. The process of Scots pine dieback in a forest stands has been observed since the turn of the 20th and 21st centuries in many places, usually representing the area of its natural occurrence in the European climate zone. Pine dies especially at the border of its natural range, where the impact of environmental limiting factors may be stronger; however, there are also numerous locations distant from these borders, for example those in Poland. Moreover, the dieback process of pine is interpreted as the symptom of changes in the species structure in Europe [,,,,,,,]. The occurrence of drought periods was recorded in the years 1920–21, 1930–31, 1950–54, 1962–63, and 1989–92 []. A similar situation has been observed in recent years. The statistics obtained from the State Forests show an upward trend in the volume of harvested deadwood in the last five years. Until 2015, the amount of harvested dead pine wood oscillated around 2%. Then, in the following years, it gradually increased to reach the level of about 10% in 2020. However, the occurrence of deadwood does not apply to the entire region of Poland. The greatest weakening of stands, and hence the appearance of a large amount of deadwood, concerns mainly western and south-western Poland.
The presence of deadwood itself in forest stands is important for the entire ecosystem and it plays the crucial role in nutrient cycling, soil formation, and sustaining the biodiversity in general []. However, it has to be remembered that wood as a material has been indispensable in many applications for centuries; therefore, managing the deadwood, which represents a significant economic resource, is the issue that has to be thoroughly evaluated [,]. Literature reports indicate that deadwood may be characterized by a lower moisture content; lower density; and lower concentration of lignin, hemicelluloses, and extractives [,]. Thus, it may affect the properties of wood; cause technological difficulties in its processing; and, consequently, also limit the possibility of application. Moreover, the progressing dieback process can also affect the quality of chips for pulping, affect the quality of flakes for composites’ production, and deteriorate both the physical and mechanical properties of manufactured particleboards [].
The problem of the occurrence and role of deadwood in nature as well as, more broadly, understanding the issue of deadwood, recently became a scientific interest of many authors [,,,,,]. Unfortunately, there are no literature data describing the correlation between the reduction of the assimilation apparatus and the technical quality of wood. However, taking into account the complexity of the process, the effect of regional conditions, and the large number of influencing factors, more studies are needed to recognize the process and assess the possibility of slowing it down. Therefore, the presented study aimed to determine the mechanical properties of the wood originating from dying trees. Another aspect is the fact that, currently, there are no standards that define the condition of dying wood. Therefore, the conducted research is a part of an attempt to define the condition of trees during the process of dying. This is the introduction to extensive research and a further project that will allow for a multi-factor analysis of the impact of progressing dieback process on the properties of harvested wood.
2. Materials and Methods
In order to conduct the preliminary studies regarding the influence of the crown defoliation on changes in the properties of wood raw material, a stand located in the Brzeg Forest District (50°85′ N; 17°45′ E) was selected (Table 1).

Table 1.
Characteristics of Brzeg Forest District.
On the selected area, 12 Scots pine trees in Kraft Class II and III were selected. The chosen individual trees represented classes I and II of thickness and differed in health condition. The condition of the trees was assessed based on the condition of the tree crown and the reduction of the assimilation apparatus. The crowns of the selected trees met the following assumptions (the appearance of the crowns is presented in Figure 1):

Figure 1.
Categories of pine based on the crown defoliations.
- -
- Group A—trees with a green crown, no discoloration, healthy, without visible reduction in needles;
- -
- Group B—trees weakened, partially discolored crowns with a notable reduction in needles up to 40%;
- -
- Group C—trees weakened, partially discolored or completely discolored crowns with a notable reduction in needles from 30% to 50%.
The classification into these groups was made on the basis of visual assessment.
Roundwood rollers 120 cm long with a diameter ranging from 30 to 50 cm were collected from the middle section of the log, which starts above 4 m from the lower (thicker) end (butt-end section) (Figure 2). The preliminary division of rollers was carried out with the use of a mechanical log splitter system in order to maintain the longitudinal course of the fibers for the obtained pieces. The obtained sawn timber was subjected to the chamber drying process until the equilibrium moisture content of approximately 12%–15% was reached. After cooling and seasoning, the obtained pieces were cut into laboratory samples from the mature wood section located at a distance of at least 1 cm from the circumference of the trunk, as suggested by Tomczak and Jelonek []. Assessment of the physical and mechanical properties of pine wood was conducted according to proper standards:

Figure 2.
Scheme for obtaining samples for research.
- -
- bending strength (MOR) and modulus of elasticity (MOE) based on EN 408 [];
- -
- compressive strength based on PN-D-04102 [];
- -
- density based on PN-77/D-4101 [].
The determination of each property was carried out on not less than 20 samples from each variant.
The obtained results were analyzed with the use of Statistica 13.0 package by performing an analysis of variance (ANOVA) at a significance level of α = 0.05.
3. Results and Discussion
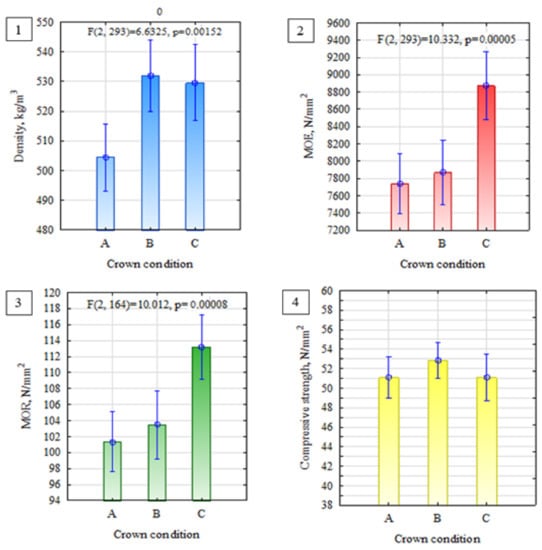
Despite that only a few investigations have been made, the obtained research results are very interesting in the context of both literature reports and planned research (Figure 3). For the analyzed mechanical properties determined in the bending test, quite clear statistical differences between the mean values were observed. What is particularly interesting is that the group of trees characterized by the highest defoliation has the highest values of the investigated features. However, despite the fact that samples from group A had a significantly lower density when compared with samples from group B, both MOR and MOE of wood obtained from the trees belonging to group A (so-called healthy trees) and B (with a defoliation of 30%) were very similar. At this stage of stand dieback, spectacular changes in the mechanical properties of wood, which, according to the literature, can be observed in the later period of degradation, have not yet been confirmed [,]. At present, based on the preliminary results, too few samples were collected to make unambiguous conclusions on the impact of tree dieback on the quality changes in the raw material. The observed relationships cannot be fully explained by the difference in the density of wood obtained from the selected model trees. The results of the compressive strength test performed so far indicate a significant change in strength properties. Healthy trees with a lower density showed a similar level of strength as the trees characterized by major crown damage above 30%, which can indicate the deterioration in the quality of wood harvested from dying stands. Currently, the selected model trees show a relatively good condition, which translates into the observed mechanical properties. Although these values are high, the dependencies on the degree of defoliation are no longer unequivocal. Therefore, a broader look at the problem of tree dieback and wood quality is required as numerous studies confirm that it undergoes significant decomposition in the long term [,,].

Figure 3.
Properties of wood: 1—density; 2—modulus of elasticity; 3—bending strength; 4—compressive strength.
4. Conclusions
Based on the conducted preliminary research, it can be suggested that statistically significant differences in the wood properties of trees characterized by different conditions were observed. The model trees selected based on the observation of crown defoliation showed differences in both density and strength characteristics. It is especially interesting that sound, healthy trees with a lower density are characterized by a similar compressive strength compared with trees with major crown damage and much higher density. However, taking into account the preliminary nature of the study and the number of analyzed trees, more research is needed to draw clear conclusions.
Author Contributions
Conceptualization, Z.M. and R.M.; methodology, Z.M. and R.M.; validation, J.K., J.W., Z.M. and D.D.; formal analysis, Z.M., J.K. and R.M.; investigation, Z.M., J.K. and D.D.; resources, J.W.; data curation, D.D. and R.M.; writing—original draft preparation, Z.M. and R.M.; writing—review and editing, Z.M., J.K. and D.D.; visualization, J.K., J.W. and D.D.; supervision, Z.M.; project administration, R.M.; funding acquisition, R.M. All authors have read and agreed to the published version of the manuscript.
Funding
This research received no external funding.
Data Availability Statement
The data presented in this study are available upon request from the corresponding author.
Conflicts of Interest
The authors declare no conflict of interest.
References
- Kartawik, N.; Behnke-Borowczyk, J. Fungal Communities in Pine Deadwood. Environ. Sci. Proc. 2022, 22, 41. [Google Scholar]
- Jaworski, A. Charakterystyka Hodowlana Drzew i Krzewów Leśnych; PWRiL: Warszawa, Poland, 2011. [Google Scholar]
- Białobok, S.; Boratyński, A.; Bugała, W. Biologia Sosny Zwyczajnej; Sorus: Kharkov, Ukraine, 1993; ISBN 83-85599-21-5. [Google Scholar]
- Rigling, A.; Bigler, C.; Eilmann, B.; Feldmeyer-Christe, E.; Gimmi, U.; Ginzler, C.; Graf, U.; Mayer, P.; Vacchiano, G.; Weber, P.; et al. Driving factors of a vegetation shift from Scots pine to pubescent oak in dry Alpine forests. Glob. Chang. Biol. 2013, 19, 229–240. [Google Scholar] [CrossRef]
- Camarero, J.J.; Gazol, A.; Sancho-Benages, S.; Sangüesa-Barreda, G. Know your limits? Climate extremes impact the range of Scots pine in unexpected places. Ann. Bot. 2015, 116, 917–927. [Google Scholar] [CrossRef] [PubMed]
- Buras, A.; Schunk, C.; Zeiträg, C.; Herrmann, C.; Kaiser, L.; Lemme, H.; Straub, C.; Taeger, S.; Gößwein, S.; Klemmt, H.-J. Are Scots Pine Forest Edges Particularly Prone to Drought-Induced Mortality? Environ. Res. Lett. 2018, 13, 025001. [Google Scholar] [CrossRef]
- Bose, A.K.; Gessler, A.; Bolte, A.; Bottero, A.; Buras, A.; Cailleret, M.; Camarero, J.J.; Haeni, M.; Hereş, A.; Hevia, A.; et al. Growth and resilience responses of Scots pine to extreme droughts across Europe depend on predrought growth conditions. Glob. Chang. Biol. 2020, 26, 4521–4537. [Google Scholar] [CrossRef] [PubMed]
- Grabska, E.; Hawryło, P.; Socha, J. Continuous Detection of Small-Scale Changes in Scots Pine Dominated Stands Using Dense Sentinel-2 Time Series. Remote Sens. 2020, 12, 1298. [Google Scholar] [CrossRef]
- Kunert, N. Preliminary indications for diverging heat and drought sensitivities in Norway spruce and Scots pine in Central Europe. iForest Biogeosci. For. 2020, 13, 89–91. [Google Scholar] [CrossRef]
- Valeriano, C.; Gazol, A.; Colangelo, M.; Camarero, J.J. Drought Drives Growth and Mortality Rates in Three Pine Species under Mediterranean Conditions. Forests 2021, 12, 1700. [Google Scholar] [CrossRef]
- Nechita, C.; Iordache, A.M.; Costinel, D.; Botoran, O.R.; Dănilă, G.; Ionete, R.E.; Varlam, M. A Tree Ring Proxy Evaluation of Declining Causes in Pinus sylvestris L. and Pinus Nigra JF Arnold in Northeastern Romania. Forests 2022, 13, 336. [Google Scholar] [CrossRef]
- Ski, O. Poradnik Ochrony Lasu; Wydawnictwo Świat: Warszawa, Poland, 2001. [Google Scholar]
- Vandekerkhove, K.; De Keersmaeker, L.; Menke, N.; Meyer, P.; Verschelde, P. When nature takes over from man: Dead wood accumulation in previously managed oak and beech woodlands in North-western and Central Europe. For. Ecol. Manag. 2009, 258, 425–435. [Google Scholar] [CrossRef]
- Byrne, T.; Stonestreet, C.; Peter, B. Characteristics and Utilization of Post-Mountain Pine Beetle Wood in Solid Wood Products. In The Mountain Pine Beetle: A Synthesis of Biology, Management and Impacts on Lodgepole Pine; Canadian Forest Service: Ottawa, ON, Canada, 2006; pp. 233–253. [Google Scholar]
- Kawalerczyk, J.; Kuliński, M.; Dziurka, D.; Mirski, R. The possibility to use a side-timber in glulam beams manufacturing for structural applications. In Annals of Warsaw University of Life Sciences-SGGW. Forestry and Wood Technology; Warsaw University of Life Sciences Press: Warsaw, Poland, 2021. [Google Scholar]
- Barron, E.H. Deterioration of Southern Pine Beetle-Killed Trees. For. Prod. J. 1971, 1971, 57–59. [Google Scholar]
- Woo, K.L.; Watson, P.; Mansfield, S.D. The Effects of Mountain Pine Beetle Attack on Lodgepole Pine Wood Morphology and Chemistry: Implications for Wood and Fiber Quality. In Wood and Fiber Science; The Sheridan Press: Sheridan, WY, USA, 2005; pp. 112–126. [Google Scholar]
- Bekhta, P.; Kozak, R.; Gryc, V.; Sebera, V.; Tippner, J. Effects of Wood Particles from Deadwood on the Properties and Formaldehyde Emission of Particleboards. Polymers 2022, 14, 3535. [Google Scholar] [CrossRef] [PubMed]
- Domański, S. Badania Nad Przyczynami Powstawania Posuszu w Starszych Drzewostanach Sosnowych w Wielkopolskim Parku Narodowym w Ludikowie; Państwowe Wydawnictwo Rolnicze i Leśne: Warsaw, Poland, 1953. [Google Scholar]
- Behnke-Borowczyk, J.; Wołowska, D. The identification of fungal species in dead wood of oak. Acta Sci. Pol. Silvarum Colendarum Ratio Ind. Lignaria 2018, 17, 17–23. [Google Scholar] [CrossRef]
- Kowalski, T.; Sowa, J.; Łakomy, P. Mycobiota in Trunks of Dying Spruce Trees in the “Puszcza Białowieska” Promotional Forest Complex and Its Ecological Function. Sylwan 2019, 163, 496–507. [Google Scholar]
- Mazur, A.; Przybysz, K.; Kuźmiński, R.; Adamowicz, K.; Jaszczak, R.; Łakomy, P.; Kwaśna, H.; Szewczyk, W.; Turski, M.; Zientarski, J. Sukcesja Owadów Podkorowych w Sztucznie Inicjowanym Procesie Zamierania Sosny. Acta Sci. Pol. Silvarum Colendarum Ratio Ind. Lignaria 2015, 14, 241–259. [Google Scholar] [CrossRef]
- Holeksa, J.; Kapusta, P.; Budziakowska-Kubik, E.; Izworska, K.; Kurek, P.; Piechnik, Ł.; Szarek-Łukaszewska, G.; Zielonka, T.; Żywiec, M. Stan Martwego Drewna Na Terenie Puszczy Niepołomickiej Jako Wynik Długotrwałego Użytkowania Lasu i Krótkotrwałej Ochrony w Ramach Sieci Natura 2000. Fragm. Florist. Geobot. Pol. 2020, 27, 119–139. [Google Scholar] [CrossRef]
- Kuzminski, R.; Lakomy, P.; Mazur, A. Zamieranie Dębów-Historia, Przyczyny i Objawy. Zarz. Ochr. Przyr. Lasach 2007, 1, 194–208. [Google Scholar]
- Tomczak, A.; Jelonek, T. Parametry Techniczne Młodocianego i Dojrzałego Drewna Sosny Zwyczajnej (Pinus sylvestris L.). Sylwan 2012, 156, 695–702. [Google Scholar]
- EN 408; Timber Structures—Structural Timber and Glued Laminated Timber—Determination of Some Physical and Mechanical Properties. European Committee for Standardization: Brussels, Belgium, 2012.
- PN-D-04102; Wood. Determination of Compressive Strength Along Fibers. Polski Komitet Normalizacyjny: Warszawa, Poland, 1979.
- PN-D-04101; Wood. Determination of Density. Polski Komitet Normalizacyjny: Warszawa, Poland, 1977.
- Oberle, B.; Dunham, K.; Milo, A.M.; Walton, M.; Young, D.F.; Zanne, A.E. Progressive, idiosyncratic changes in wood hardness during decay: Implications for dead wood inventory and cycling. For. Ecol. Manag. 2014, 323, 1–9. [Google Scholar] [CrossRef]
- Jelonek, T.; Klimek, K.; Kopaczyk, J.; Wieruszewski, M.; Arasimowicz-Jelonek, M.; Tomczak, A.; Grzywiński, W. Influence of the Tree Decay Duration on Mechanical Stability of Norway Spruce Wood (Picea Abies (L.) Karst.). Forests 2020, 11, 980. [Google Scholar] [CrossRef]
- Přívětivý, T.; Adam, D.; Vrška, T. Decay dynamics of Abies alba and Picea abies deadwood in relation to environmental conditions. For. Ecol. Manag. 2018, 427, 250–259. [Google Scholar] [CrossRef]
- Petrillo, M.; Cherubini, P.; Fravolini, G.; Marchetti, M.; Ascher-Jenull, J.; Schärer, M.; Synal, H.-A.; Bertoldi, D.; Camin, F.; Larcher, R.; et al. Time since death and decay rate constants of Norway spruce and European larch deadwood in subalpine forests determined using dendrochronology and radiocarbon dating. Biogeosciences 2016, 13, 1537–1552. [Google Scholar] [CrossRef]
Disclaimer/Publisher’s Note: The statements, opinions and data contained in all publications are solely those of the individual author(s) and contributor(s) and not of MDPI and/or the editor(s). MDPI and/or the editor(s) disclaim responsibility for any injury to people or property resulting from any ideas, methods, instructions or products referred to in the content. |
© 2023 by the authors. Licensee MDPI, Basel, Switzerland. This article is an open access article distributed under the terms and conditions of the Creative Commons Attribution (CC BY) license (https://creativecommons.org/licenses/by/4.0/).