Comparison of the Biomass and Dendrometric Parameters of Norway Spruce with Its Different Representations in Young Stands at Lower Altitudes in the Czech Republic
Abstract
1. Introduction
2. Materials and Methods
2.1. Location of the Study
2.2. Selection of Stands
- The age of the stand: 5, 15 or 25 years;
- The FVZ location: the 2nd, 3rd or 4th FVZ (Table 1);
- The percentage representation (admix class): up to 30%, 31%–60%, 61%–90% or over 91%, where each stand had to remain in the same class the entire time.
2.3. Selection of Trees
2.4. Measurements
2.5. Data Analysis
3. Results
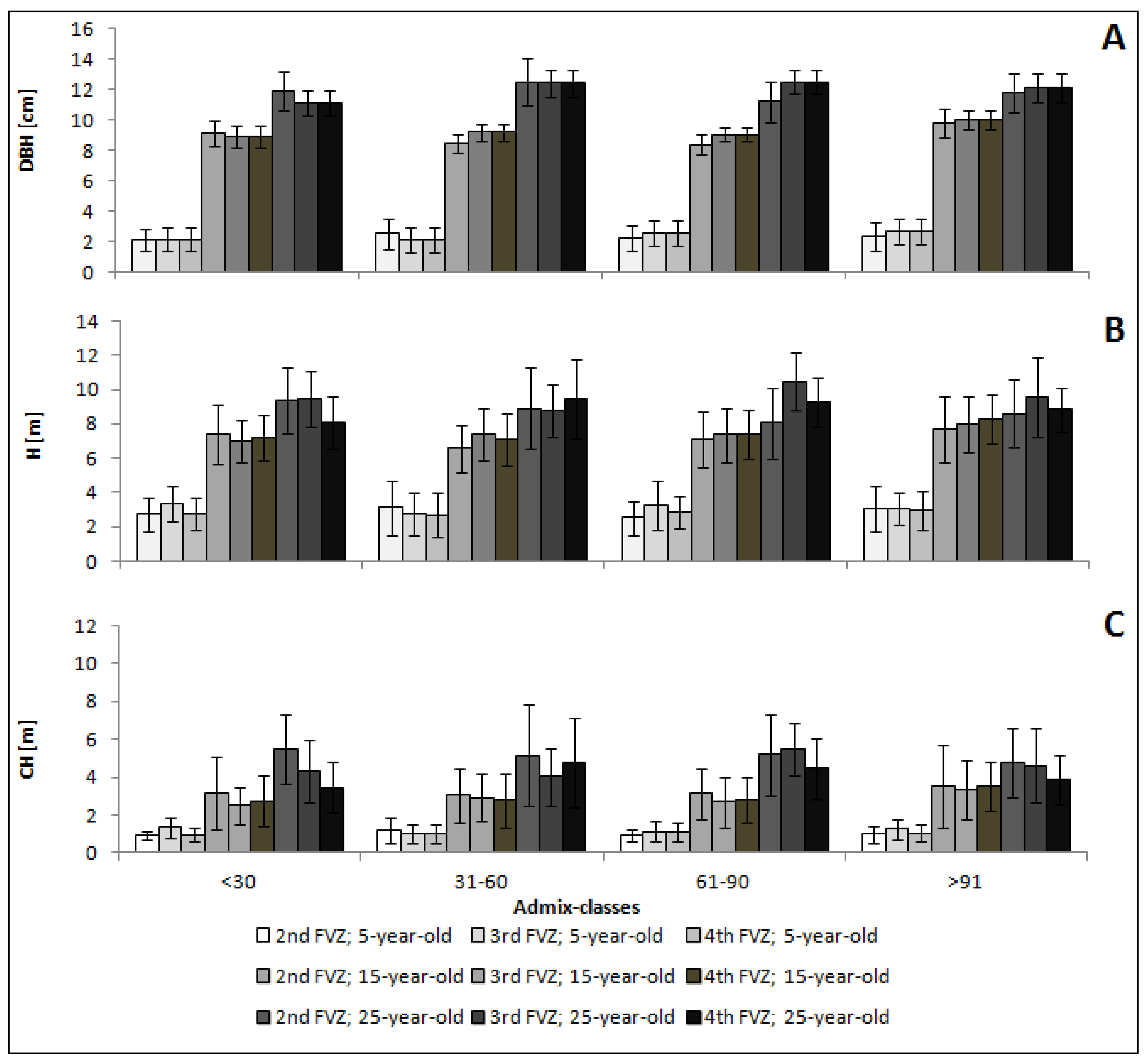
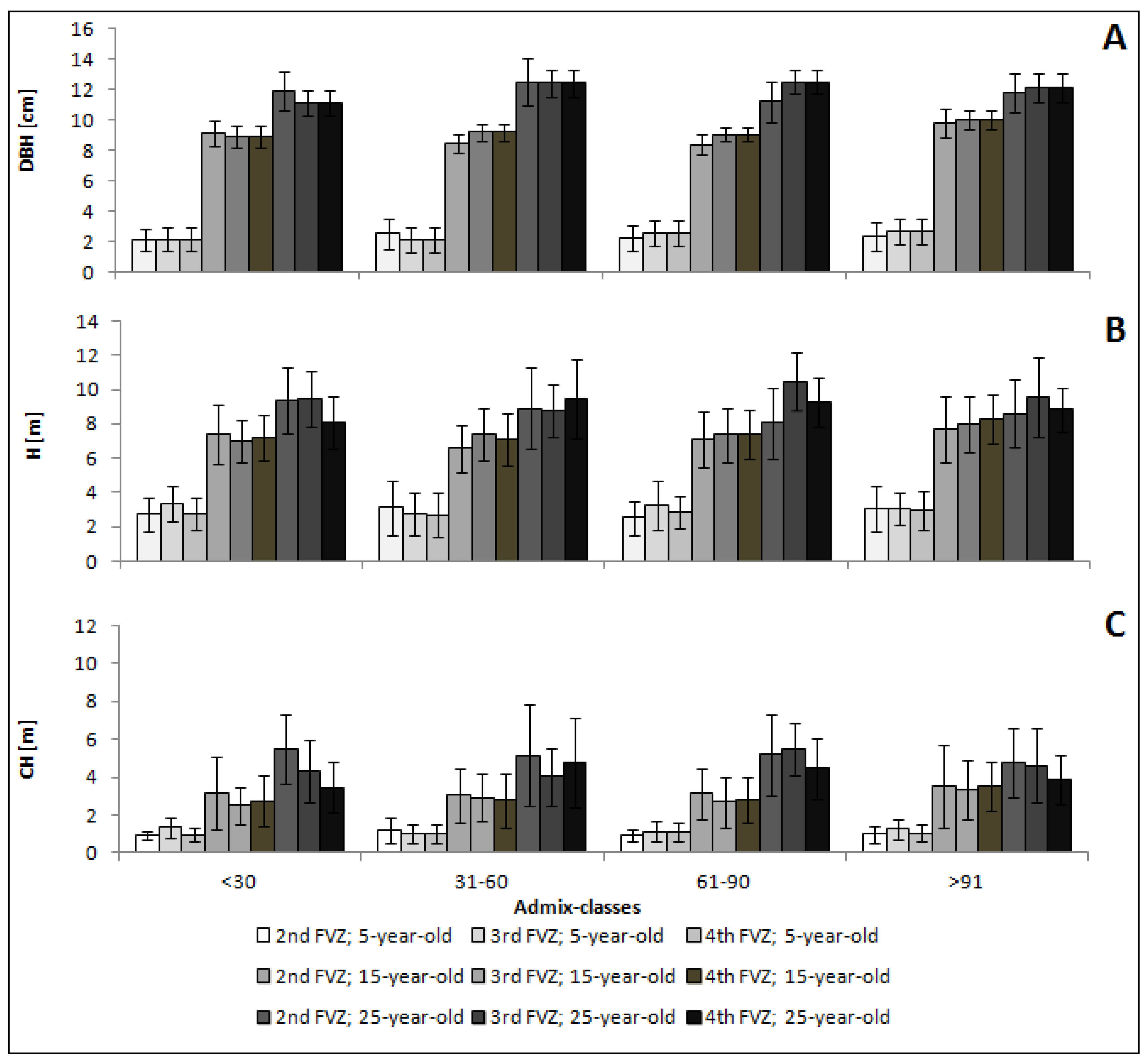
3.1. Basic Dendrometric Parameters
3.2. Biomass
3.2.1. Total Above-Ground Biomass
3.2.2. Stem Biomass
3.2.3. Branch Biomass
3.2.4. Needle Biomass
4. Discussion
- The higher the percentage of spruce representation in the stand, the less total above-ground biomass there was;
- The higher the FVZ (i.e., the altitude of the stand) in which the stand was located, the less total above-ground biomass there was.
5. Conclusions
- Although the differences in dendrometric parameters, such as the DBH, total height and height of crown base, were not statistically insignificant and negligible in the 5-, 15- and 25-year-old stands, the greatest (and also statistically significant) differences appeared in the total above-ground and stem biomass.
- In all FVZs, the greater the percentage representation of spruce in the stand, the less biomass the mean spruce had, regardless of stand age.
- The mean spruce tree had less biomass in all measured components in the 2nd FVZ than that in the other FVZs, regardless of the percentage representation of spruce in the stand.
- There was less biomass in all components of spruce growing in the 3rd FVZ than of that growing in the 4th FVZ, whereas with increasing percentage representation of spruce, the differences in the amount of the biomass increased.
Author Contributions
Funding
Data Availability Statement
Acknowledgments
Conflicts of Interest
Index of Notations and Abbreviations
| admix class | percentage representation of spruce |
| BB | branch biomass |
| CH | heights of the crown bases |
| CZ | Czech Republic |
| DBH | stem diameter at breast height |
| FVZ | forest vegetation zone |
| H | total height |
| NB | needle biomass |
| SB | stem biomass |
| TAGB | total above-ground biomass |
| TFE | Training Forest Enterprise “Masaryk Forest” Křtiny |
Appendix A
| 5-Year-Old Stands | ||||||
|---|---|---|---|---|---|---|
| FVZ | 3rd FVZ | 4th FVZ | 4th FVZ | 4th FVZ | 4th FVZ | |
| FVZ | Admix class | Up to 30% | Up to 30% | 31%–60% | 61%–90% | Over 91% |
| 2nd FVZ | Up to 30% | 71% *** | 68% *** | |||
| 2nd FVZ | 31%–60% | 49% *** | ||||
| 2nd FVZ | 61%–90% | 52% *** | ||||
| 2nd FVZ | Over 91% | 51% *** | ||||
| 15-year-old stands | ||||||
| FVZ | 4th FVZ | |||||
| FVZ | Admix class | Over 91% | ||||
| 2nd FVZ | Over 91% | 34% ** | ||||
| 3rd FVZ | Over 91% | 33% ** | ||||
| 25-year-old stands | ||||||
| FVZ | 4th FVZ | 4th FVZ | 4th FVZ | 4th FVZ | ||
| FVZ | Admix class | Up to 30% | 31%–60% | 61%–90% | Over 91% | |
| 2nd FVZ | Up to 30% | 29% * | ||||
| 2nd FVZ | 31%–60% | 32% ** | ||||
| 2nd FVZ | 61%–90% | 45% ** | ||||
| 2nd FVZ | Over 91% | 44% *** | ||||
| 5-Year-Old Stands | |||||||||||
|---|---|---|---|---|---|---|---|---|---|---|---|
| FVZ | 3rd FVZ | 3rd FVZ | 3rd FVZ | 3rd FVZ | 4th FVZ | 4th FVZ | 4th FVZ | 4th FVZ | |||
| FVZ | Admix class | Up to 30% | 31%–60% | 61%–90% | Over 91% | Up to 30% | 31%–60% | 61%–90% | Over 91% | ||
| 2nd FVZ | Up to 30% | 74% *** | 71% *** | ||||||||
| 2nd FVZ | 31%–60% | 36% *** | 48% *** | ||||||||
| 2nd FVZ | 61%–90% | 46% *** | 55% *** | ||||||||
| 2nd FVZ | Over 91% | 52% *** | 54% *** | ||||||||
| 3rd FVZ | 31%–60% | 43% *** | |||||||||
| 3rd FVZ | 61%–90% | 46% *** | |||||||||
| 3rd FVZ | Over 91% | 44% *** | |||||||||
| 4th FVZ | 31%–60% | 20% * | |||||||||
| 4th FVZ | 61%–90% | 27% * | |||||||||
| 4th FVZ | Over 91% | 33% * | |||||||||
| 15-year-old stands | |||||||||||
| FVZ | 3rd FVZ | 3rd FVZ | 3rd FVZ | 3rd FVZ | 4th FVZ | 4th FVZ | 4th FVZ | 4th FVZ | |||
| FVZ | Admix class | Up to 30% | 31%–60% | 61%–90% | Over 91% | Up to 30% | 31%–60% | 61%–90% | Over 91% | ||
| 2nd FVZ | Up to 30% | 25% *** | |||||||||
| 2nd FVZ | 31%–60% | 19% * | 25% *** | ||||||||
| 2nd FVZ | 61%–90% | 21% *** | |||||||||
| 2nd FVZ | Over 91% | 33% *** | |||||||||
| 3rd FVZ | 61%–90% | 20% *** | |||||||||
| 3rd FVZ | Over 91% | 34% *** | |||||||||
| 25-year-old stands | |||||||||||
| FVZ | 2nd FVZ | 2nd FVZ | 3rd FVZ | 3rd FVZ | 3rd FVZ | 3rd FVZ | 4th FVZ | 4th FVZ | 4th FVZ | 4th FVZ | |
| FVZ | Admix class | Up to 30% | 31%–60% | Up to 30% | 31%–60% | 61%–90% | Over 91% | Up to 30% | 31%–60% | 61%–90% | Over 91% |
| 2nd FVZ | Up to 30% | 24% *** | 29% *** | ||||||||
| 2nd FVZ | 31%–60% | 20% ** | 33% *** | ||||||||
| 2nd FVZ | 61%–90% | 31% *** | 29% *** | 36% *** | 45% *** | ||||||
| 2nd FVZ | Over 91% | 25% *** | 24% *** | 28% *** | 44% *** | ||||||
| 3rd FVZ | 31%–60% | 12% * | 16% ** | ||||||||
| 3rd FVZ | 61%–90% | 17% * | 14% * | ||||||||
| 3rd FVZ | Over 91% | 25% ** | 22% *** | ||||||||
| 4th FVZ | 61%–90% | 10% * | |||||||||
| 4th FVZ | Over 91% | 9% * | |||||||||
| 5-Year-Old Stands | |||||
|---|---|---|---|---|---|
| FVZ | 2nd FVZ | 3rd FVZ | 4th FVZ | ||
| FVZ | Admix class | Up to 30% | 31%–60% | 31%–60% | |
| 2nd FVZ | 31%–60% | 60% *** | 52% *** | 68% *** | |
| 2nd FVZ | 61%–90% | 28% ** | |||
| 2nd FVZ | Over 91% | 33% * | |||
| 15-year-old stands | |||||
| FVZ | 4th FVZ | 4th FVZ | |||
| FVZ | Admix class | 61%–90% | Over 91% | ||
| 2nd FVZ | 61%–90% | 43% ** | |||
| 2nd FVZ | Over 91% | 46% ** | |||
| 25-year-old stands | |||||
| FVZ | 4th FVZ | 4th FVZ | 4th FVZ | 4th FVZ | |
| FVZ | Admix class | Up to 30% | 31%–60% | 61%–90% | Over 91% |
| 2nd FVZ | Up to 30% | 38% ** | |||
| 2nd FVZ | 31%–60% | 30% * | |||
| 2nd FVZ | 61%–90% | 35% ** | |||
| 2nd FVZ | Over 91% | 38% * | |||
| 5-Year-Old Stands | ||||||||
|---|---|---|---|---|---|---|---|---|
| FVZ | 2nd FVZ | 2nd FVZ | 2nd FVZ | 3rd FVZ | 3rd FVZ | 4th FVZ | 4th FVZ | |
| FVZ | Admix class | Up to 30% | 61%–90% | Over 91% | Up to 30% | 31%–60% | Up to 30% | 31%–60% |
| 2nd FVZ | Up to 30% | 36% ** | 48% *** | |||||
| 2nd FVZ | 31%–60% | 39% ** | 42% *** | 44% *** | 49% *** | 62% *** | ||
| 15-year-old stands | ||||||||
| FVZ | 4th FVZ | 4th FVZ | ||||||
| FVZ | Admix class | 61%–90% | Over 91% | |||||
| 2nd FVZ | 61%–90% | 35% ** | ||||||
| 2nd FVZ | Over 91% | 47% *** | ||||||
| 25-year-old stands | ||||||||
| FVZ | 4th FVZ | 4th FVZ | ||||||
| FVZ | Admix class | 61%–90% | Over 91% | |||||
| 2nd FVZ | 61%–90% | 49% *** | ||||||
| 2nd FVZ | Over 91% | 39% *** | ||||||
References
- EUFORGEN. Picea Abies. Norway Spruce. Available online: www.euforgen.org/species/picea-abies/ (accessed on 10 May 2021).
- Ellenberg, H.; Leuschner, C. Vegetation Mitteleuropas mit den Alpen in Ökologischer Sicht [Vegetation of Central Europe with the Alps from an Ecological Point of View]; Ulmer: Stuttgart, Germany, 1978; p. 1357. (In German) [Google Scholar]
- Nebe, W. Über Beziehungen zwischen Klima und Wachstum der Fichte (Picea abies) in ihrem europäischen Verbreitungsgebiet [About relationships between climate and growth of the spruce (Picea abies) in its European range]. Archiv für Forstwesen 1968, 17, 1219–1238. (In German) [Google Scholar]
- Schmidt-Vogt, H. Die Fichte—Ein Handbuch in Zwei Bänden, Band I. Taxonomie, Verbreitung, Morphologie, Ökologie, Waldgesellschaften [A Manual in Two Volumes, Volume I Taxonomy, Distribution, Morphology, Ecology, Forest Societies]; Paul Parey: Hamburg, Germany, 1977; p. 647. (In German) [Google Scholar]
- Ellenberg, H. (Ed.) Vegetation Ecology of Central Europe; Cambridge University Press: Cambridge, UK, 2009; p. 756. [Google Scholar]
- Quitt, E. Klimatické oblasti Československa [Climatic Regions of Czechoslovakia]; Academia: Praha, Czech Republic, 1971; p. 73. (In Czech) [Google Scholar]
- Plíva, K. Trvale Udržitelné Obhospodařování Lesů Podle Souborů Lesních Typů [Sustainable Forest Management According to Sets of Forest Types]; Ústav Pro Hospodářskou Úpravu Lesů: Brandýs nad Labem, Czech Republic, 2000; p. 34. (In Czech) [Google Scholar]
- Souček, J.; Tesař, V. Metodika Přestavby Smrkových Monokultur na Stanovištích Přirozených Smíšených Porostů [Gudlines on Norway Spruce Stand Transformation on Sites Naturally Dominated by Mixed Forest Stands]; Výzkumný Ústav Lesního Hospodářství a Myslivosti, v.v.i.: Jíloviště-Strnady, Czech Republic, 2008; p. 37. (In Czech) [Google Scholar]
- Spiecker, H. Silvicultural management in maintaining biodiversity and resistance of forests in Europe—Temperate zone. J. Environ. Manag. 2003, 67, 55–65. [Google Scholar] [CrossRef]
- Modrzyński, J. Outline of Ecology. In Biology and Ecology of Norway Spruce; Tjoelker, M.G., Boratyński, A., Bugała, W., Eds.; Springer: Dordrecht, Germany, 2007; pp. 195–253. [Google Scholar]
- Babst, F.; Poulter, B.; Trouet, V.; Tan, K.; Neuwirth, B.; Wilson, R.; Carrer, M.; Grabner, M.; Tegel, W.; Levanič, T.; et al. Site- and species-specific responses of forest growth to climate across the European continent. Glob. Ecol. Biogeogr. 2013, 22, 706–717. [Google Scholar] [CrossRef]
- Urban, O.; Pokorný, R. Tree growth under the impact of elevated CO2 concentration and some practical assessments. An. Inst. Cercet. Amenaj. Silv. 2003, 46, 93–98. [Google Scholar]
- Bose, A.K.; Scherrer, D.; Camarero, J.J.; Ziche, D.; Babst, F.; Bigler, C.; Bolte, A.; Dorado-Liñán, I.; Etzold, S.; Fonti, P.; et al. Climate sensitivity and drought seasonality determine post-drought growth recovery of Quercus petraea and Quercus robur in Europe. Sci. Total Environ. 2021, 784, 147222. [Google Scholar] [CrossRef]
- Primicia, I.; Camarero, J.J.; Janda, P.; Čada, V.; Morrissey, R.C.; Trotsiuk, V.; Bače, R.; Teodosiu, M.; Svoboda, M. Age, competition, disturbance and elevation effects on tree and stand growth response of primary Picea abies forest to climate. For. Ecol. Manag. 2015, 354, 77–86. [Google Scholar] [CrossRef]
- Lindén, M. Increment and Yield in Mixed Stands with Norway Spruce in Southern Sweden. Doctoral Thesis, Sveriges lantbruksuniv, Alnarp, Sweden, 2003. [Google Scholar]
- Hooper, D.U.; Chapin III, F.S.; Ewel, J.J.; Hector, A.; Inchausti, P.; Lavorel, S.; Lawton, J.H.; Lodge, D.M.; Loreau, M.; Naeem, S.; et al. Effects of biodiversity on ecosystem functioning: A consensus of current knowledge. Ecol. Monogr. 2005, 75, 3–35. [Google Scholar] [CrossRef]
- Kelty, M.J. The role of species mixtures in plantation forestry. For. Ecol. Manag. 2006, 233, 195–204. [Google Scholar] [CrossRef]
- Tilman, D. The ecological consequences of changes in biodiversity: A search for general principles. Ecology 1999, 80, 1455–1474. [Google Scholar] [CrossRef]
- Brooker, R.W.; Maestre, F.T.; Callaway, R.M.; Lortie, C.L.; Cavieres, L.A.; Kunstler, G.; Liancourt, P.; Tielbörger, K.; Travis, J.M.J.; Anthelme, F.; et al. Facilitation in plant communities: The past, the present, and the future. J. Ecol. 2008, 96, 18–34. [Google Scholar] [CrossRef]
- Rothe, A.; Binkley, D. Nutritional interactions in mixed species forests: A synthesis. Can. J. For. Res. 2001, 31, 1855–1870. [Google Scholar] [CrossRef]
- Šach, F.; Černohous, V. Hydraulic lift by beech to Spruce: Potentially important ecosystem process for Spruce stand silviculture in connection with climatic change of warming. Zprávy Lesn. Výzkumu 2015, 60, 53–63. [Google Scholar]
- Mauer, O. Rhizologie Lesních Dřevin. Učební Text [Rhizology of Forest Trees. Learning Text]; Mendelova Univerzita v Brně: Brno, Czech Republic, 2013; p. 260. [Google Scholar]
- Hartig, G.L. Anweisung zur Holzzucht für Förster [Wood Growing Instruction for Foresters]; Akademischen Buchhandlung: Marburg, Germany, 1808; p. 233. (In German) [Google Scholar]
- von Cotta, H. Anweisung zum Waldbau [Instructions for Forest Management]; Arnoldische Buchhandlung: Dresden, Leipzig, Germany, 1828; p. 396. (In German) [Google Scholar]
- Edgar, C.B.; Burk, T.E. Productivity of aspen forests in northeastern Minnesota, USA; as related to stand composition and canopy structure. Can. J. For. Res. 2001, 31, 1019–1029. [Google Scholar] [CrossRef]
- MacPherson, D.M.; Lieffers, V.J.; Blenis, P.V. Productivity of aspen stands with and without a Spruce understory in Alberta’s boreal mixedwood forests. For. Chron. 2001, 77, 351–356. [Google Scholar] [CrossRef]
- Pretzsch, H.; Block, J.; Dieler, J.; Hoang Dong, P.; Kohnle, U.; Nagel, J.; Spellmann, H.; Zingg, A. Comparison between the productivity of pure and mixed stands of Norway Spruce and European beech along an ecological gradient. Ann. For. Sci. 2010, 67, 712. [Google Scholar] [CrossRef]
- Vilà, M.; Carrillo-Gavilán, A.; Vayreda, J.; Bugmann, H.; Fridman, J.; Grodzki, W.; Haase, J.; Kunstler, G.; Schelhaas, M.; Trasobares, A. Disentangling biodiversity and climatic determinants of wood production. PLoS ONE 2013, 8, e53530. [Google Scholar] [CrossRef]
- Grossman, J.J.; Vanhellemont, M.; Barsoum, N.; Bauhus, J.; Bruelheide, H.; Castagneyrol, B.; Cavender-Bares, J.; Eisenhauer, N.; Ferlian, O.; Gravel, D.; et al. Synthesis and future research directions linking tree diversity to growth, survival, and damage in a global network of tree diversity experiments. Environ. Exp. Bot. 2018, 152, 68–89. [Google Scholar] [CrossRef]
- Mašínová, T.; Bahnmann, B.D.; Větrovský, T.; Toměovský, M.; Merunková, K.; Baldrian, P. Drivers of yeast community composition in the litter and soil of a temperate forest. FEMS Microbiol. Ecol. 2017, 93, fiw223. [Google Scholar] [CrossRef]
- Köppen, W. Das geographische System der Klimate. In Handbuch der Klimatologie; Köppen, W., Gieger, G., Eds.; Verlag von Gebrüder Borntraeger: Berlin, Germany, 1936. [Google Scholar]
- Buček, A.; Lacina, J. Geobiocenologie II [Geobiocoenology II]; MZLU: Brno, Czech Republic, 1999; p. 245. (In Czech) [Google Scholar]
- Callaway, R.M.; Walker, L.R. Competition and facilitation: A synthetic approach to interactions in plant communities. Ecology 1997, 78, 1958–1965. [Google Scholar] [CrossRef]
- Hallman, E.; Hari, P.; Rasanen, P.K.; Smolander, H. Effect of planting shock on the transpiration, photosynthesis and height increment of scots pine seedlings. Acta For. Fenn. 1978, 161, 1–25. [Google Scholar] [CrossRef]
- Coutts, M.P. Control of Water Loss by Actively Growing Sitka Spruce Seedlings after Transplanting. J. Exp. Bot. 1980, 31, 1587–1597. [Google Scholar] [CrossRef]
- Burdett, A.N. Physiological processes in plantation establishment and the development of specifications for forest planting stock. Can. J. For. Res. 1990, 20, 415–427. [Google Scholar] [CrossRef]
- Grossnickle, S.C. Importance of root growth in overcoming planting stress. New For. 2005, 30, 273–294. [Google Scholar] [CrossRef]
- Lamhamedi, M.S.; Bernier, P.Y.; Hébert, C.; Jobidon, R. Physiological and growth responses of three sizes of containerized Picea mariana seedlings outplanted with and without vegetation control. For. Ecol. Manag. 1998, 110, 13–23. [Google Scholar] [CrossRef]
- Spinnler, D.; Egli, P.; Körner, C. Four-year growth dynamics of Beech-Spruce model ecosystems under CO2 enrichment on two different forest soils. Trees 2002, 16, 423–436. [Google Scholar] [CrossRef]
- Goisser, M.; Zang, U.; Matzner, E.; Borken, W.; Häberle, K.H.; Matyssek, R. Growth of juvenile beech (Fagus sylvatica L.) upon transplant into a wind-opened Spruce stand of heterogeneous light and water conditions. For. Ecol. Manag. 2013, 310, 110–119. [Google Scholar] [CrossRef]
- Struve, D.K.; Joly, R.J. Transplanted red oak seedlings mediate transplant shock by reducing leaf surface area and altering carbon allocation. Can. J. For. Res. 1992, 22, 1441–1448. [Google Scholar] [CrossRef]
- Slodičák, M.; Novák, J. Výchova Lesních Porostů Hlavních Hospodářských Dřevin [Thinning of Forest Stands of the Main Farm Trees]; Výzkumný ústav Lesního Hospodářství a Myslivosti v.v.i.: Jíloviště-Strnady, Czech Republic, 2007; p. 25. (In Czech) [Google Scholar]
- Koch, H.G. Der Holzzuwachs der Waldbäume in verschiedenen Hähenlagen Thuringens in Abhängichkeit von Neiderschlag und Temperatur [The Wood Growth of the Forest Trees in Different Heights of Thuringia as a Function of Envy and Temperature]. Arch. Forstwes. 1958, 7, 27–49. [Google Scholar]
- Modrzyński, J.; Eriksson, G. Response of Picea abies populations from elevational transects in the Polish Sudety and Carpathian mountains to simulated drought stress. For. Ecol. Manag. 2002, 165, 105–116. [Google Scholar] [CrossRef]
- Pokorný, R.; Stojnić, S. Leaf area index of Norway spruce stands in relation to age and defoliation. Beskydy 2012, 5, 173–180. [Google Scholar] [CrossRef]
- Konšel, J. Stručný Nástin Tvorby a Pěstění Lesů v Biologickém Ponětí [A Brief Outline of the Creation and Cultivation of Forests in Biological Terms]; Matice Lesnická: Písek, Czech Republic, 1931; p. 552. (In Czech) [Google Scholar]
- Pretzsch, H. Modellierung der kronenkonkurrenz von fichte und buche in rein-und mischbeständen [Modeling of the crown competition of spruce and beech in pure and mixed stands]. Allg. Forst-Und Jagdztg. 1992, 163, 203–213. (In German) [Google Scholar]
- Juodvalkis, A.; Kairiukstis, L.; Vasiliauskas, R. Effects of thinning on growth of six tree species in north-temperate forests of Lithuania. Eur. J. For. Res. 2005, 124, 187–192. [Google Scholar] [CrossRef]
- Leuschner, C.; Hertel, D.; Schmid, I.; Koch, O.; Muhs, A.; Hölscher, D. Stand fine root biomass and fine root morphology in old-growth beech forests as a function of precipitation and soil fertility. Plant Soil 2004, 258, 43–56. [Google Scholar] [CrossRef]
- Bolte, A.; Villanueva, I. Interspecific competition impacts on the morphology and distribution of fine roots in European beech (Fagus sylvatica L.) and Norway Spruce (Picea abies (L.) Karst.). Eur. J. For. Res. 2006, 125, 15–26. [Google Scholar] [CrossRef]
- Brunner, I.; Herzog, C.; Dawes, M.A.; Arend, M.; Sperisen, C. How tree roots respond to drought. Front. Plant Sci. 2015, 6, 547. [Google Scholar] [CrossRef] [PubMed]
- Rybníček, M.; Čermák, P.; Žid, T.; Kolář, T. Radial Growth and Health Condition of Norway Spruce (Picea Abies (L.) Karst.) Stands in Relation to Climate (Silesian Beskids, Czech Republic). Geochronometria 2010, 36, 9–16. [Google Scholar] [CrossRef]
- van der Maaten, E. Climate sensitivity of radial growth in European beech (Fagus sylvatica L.) at different aspects in southwestern Germany. Trees Struct. Funct. 2012, 26, 777–788. [Google Scholar] [CrossRef]
- Haggar, J.P.; Ewel, J.J. Establishment, resource acquisition, and early productivity as determined by biomass allocation patterns of three tropical tree species. For. Sci. 1995, 41, 689–708. [Google Scholar]
- Richards, J.M.; Caldwell, M.M. Hydraulic lift: Substantial nocturnal water transport between soil layers by Artemisia tridentata roots. Oecologia 1987, 73, 486–489. [Google Scholar] [CrossRef]
- Walentowski, H.; Falk, W.; Mette, T.; Kuny, J.; Bräuning, A.; Meinardus, C.; Zang, C.; Sutcliffe, L.M.E.; Leuscher, C. Assessing future suitability of tree species under climate change by multiple methods: A case study in southern Germany. Ann. For. Res. 2017, 60, 101–126. [Google Scholar] [CrossRef]





| Characteristic | 2nd FVZ | 3rd FVZ | 4th FVZ |
|---|---|---|---|
| Average annual temperature (°C; [32]) | 8 | 7.5 | 7 |
| Precipitation in vegetation period (mm; [6]) | 350–400 | 350–450 | 350–450 |
| Annual precipitation (mm; [32]) | 550–600 | 600–650 | 700 |
| Altitude range (m a.s.l.; [32]) | 200–400 | 300–500 | 400–700 |
| 5-Year-Old Stand | 15-Year-Old Stand | 25-Year-Old Stand | |||||||
|---|---|---|---|---|---|---|---|---|---|
| Linear Coefficient a | Absolute Term b | R2 | Linear Coefficient a | Absolute Term b | R2 | Linear Coefficient a | Absolute Term b | R2 | |
| Total above-ground biomass | |||||||||
| 2nd FVZ | −0.0443 | 4.9133 | 0.0114 | 0.0066 | 33.051 | 0.00003 | −6.697 | 68.459 | 0.8406 |
| 3rd FVZ | −1.9558 | 15.207 | 0.6115 | −1.9444 | 41.409 | 0.945 | −0.67625 | 87.755 | 0.987 |
| 4th FVZ | −1.4158 | 14.531 | 0.8964 | 1.9215 | 40.115 | 0.438 | −3.0408 | 89.675 | 0.8357 |
| Stem biomass | |||||||||
| 2nd FVZ | −0.057 | 4.3588 | 0.0117 | 0.5134 | 28.811 | 0.1732 | −6.1187 | 61.456 | 0.8531 |
| 3rd FVZ | −1.9139 | 14.252 | 0.6199 | −1.6543 | 36.871 | 0.9168 | −5.8689 | 77.75 | 0.9772 |
| 4th FVZ | −1.3053 | 13.277 | 0.8967 | 1.8843 | 36.016 | 0.4901 | −2.8137 | 80.721 | 0.8442 |
Disclaimer/Publisher’s Note: The statements, opinions and data contained in all publications are solely those of the individual author(s) and contributor(s) and not of MDPI and/or the editor(s). MDPI and/or the editor(s) disclaim responsibility for any injury to people or property resulting from any ideas, methods, instructions or products referred to in the content. |
© 2023 by the authors. Licensee MDPI, Basel, Switzerland. This article is an open access article distributed under the terms and conditions of the Creative Commons Attribution (CC BY) license (https://creativecommons.org/licenses/by/4.0/).
Share and Cite
Novosadová, K.; Kadlec, J.; Kománek, M.; Pokorný, R. Comparison of the Biomass and Dendrometric Parameters of Norway Spruce with Its Different Representations in Young Stands at Lower Altitudes in the Czech Republic. Forests 2023, 14, 185. https://doi.org/10.3390/f14020185
Novosadová K, Kadlec J, Kománek M, Pokorný R. Comparison of the Biomass and Dendrometric Parameters of Norway Spruce with Its Different Representations in Young Stands at Lower Altitudes in the Czech Republic. Forests. 2023; 14(2):185. https://doi.org/10.3390/f14020185
Chicago/Turabian StyleNovosadová, Kateřina, Jiří Kadlec, Martin Kománek, and Radek Pokorný. 2023. "Comparison of the Biomass and Dendrometric Parameters of Norway Spruce with Its Different Representations in Young Stands at Lower Altitudes in the Czech Republic" Forests 14, no. 2: 185. https://doi.org/10.3390/f14020185
APA StyleNovosadová, K., Kadlec, J., Kománek, M., & Pokorný, R. (2023). Comparison of the Biomass and Dendrometric Parameters of Norway Spruce with Its Different Representations in Young Stands at Lower Altitudes in the Czech Republic. Forests, 14(2), 185. https://doi.org/10.3390/f14020185

