Tree Crown Affects Biomass Allocation and Its Response to Site Conditions and the Density of Platycladus orientalis Linnaeus Plantation
Abstract
1. Introduction
2. Materials and Methods
2.1. Experimental Site
2.2. Experimental Design and Investigation
2.3. Crown Indicators Investigation and Calculation
- (1)
- Objective indicators
- (2)
- Subjective indicators
- (3)
- Composite indicators
2.4. Biomass Model
2.5. Data Analysis
3. Results
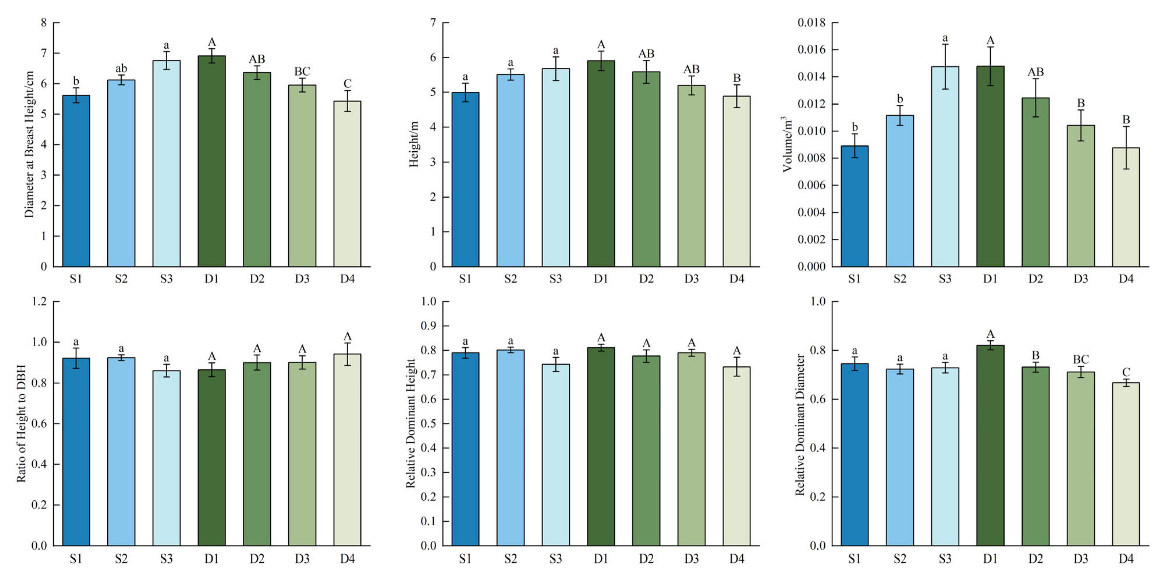
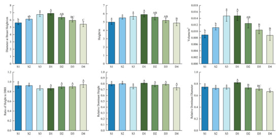
3.1. Trees Growth under Different Site Conditions and Densities
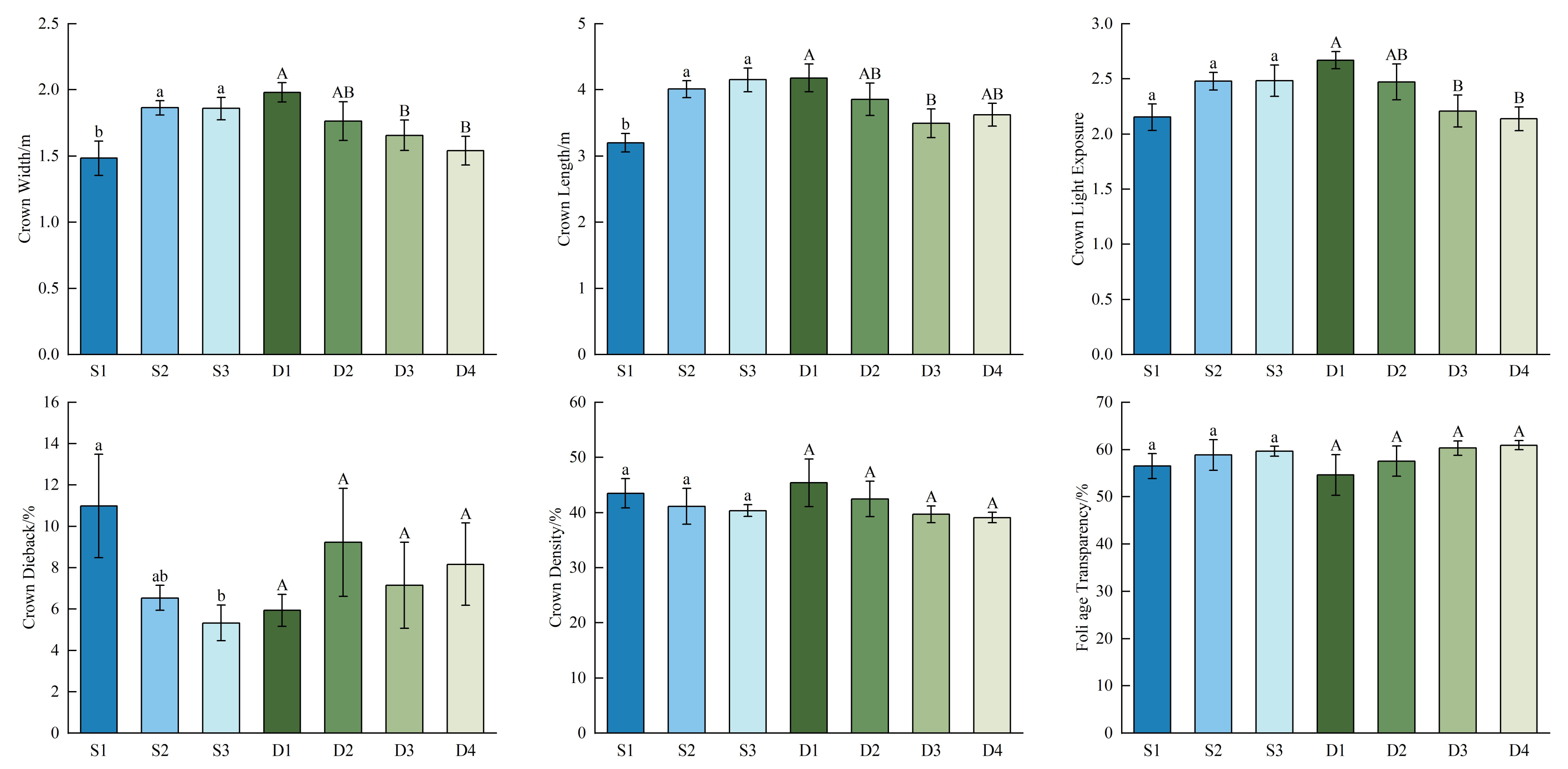
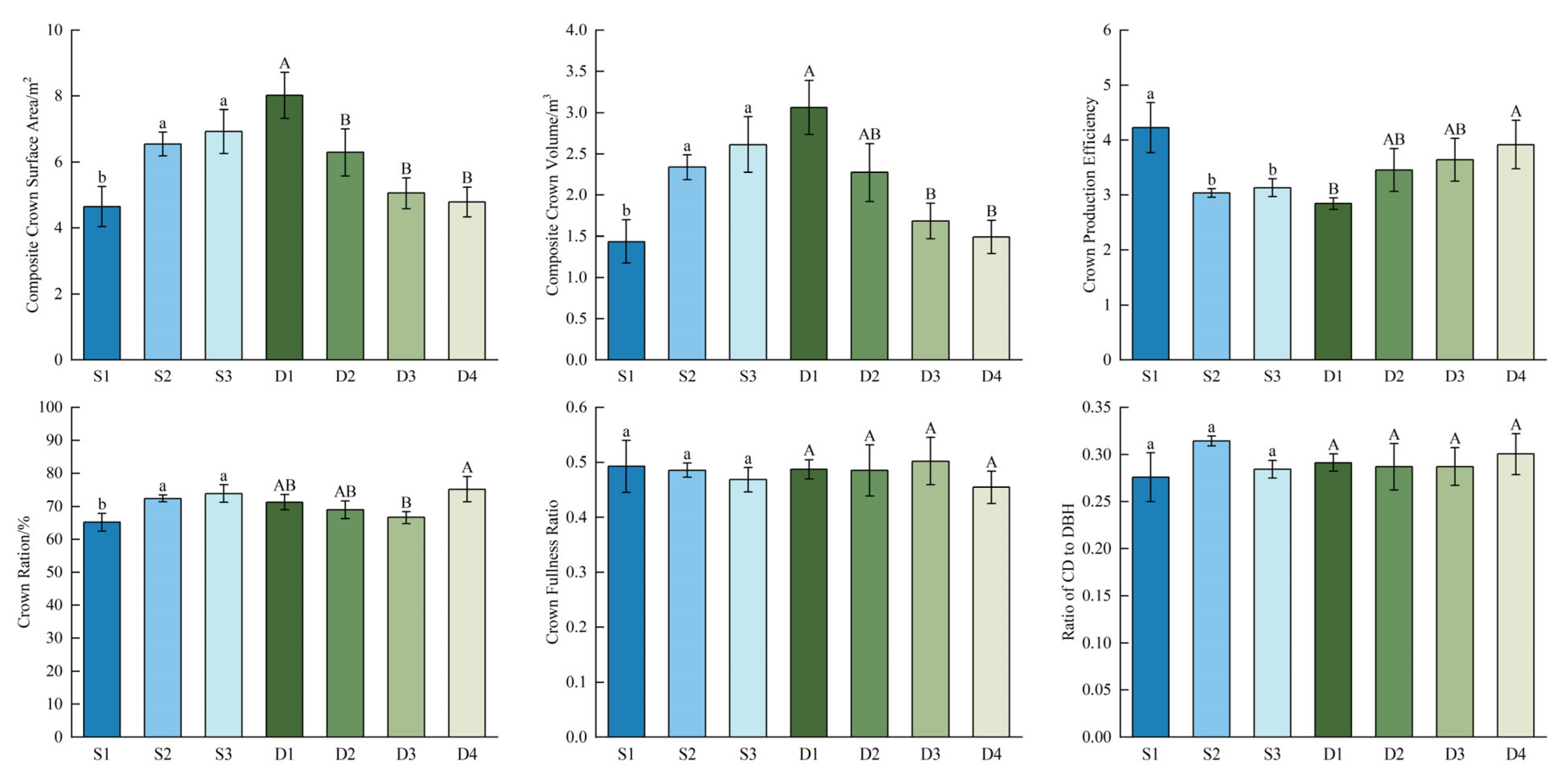
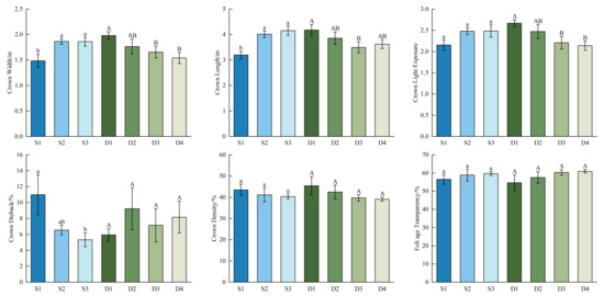
3.2. Crown Growth under Different Site Conditions and Densities
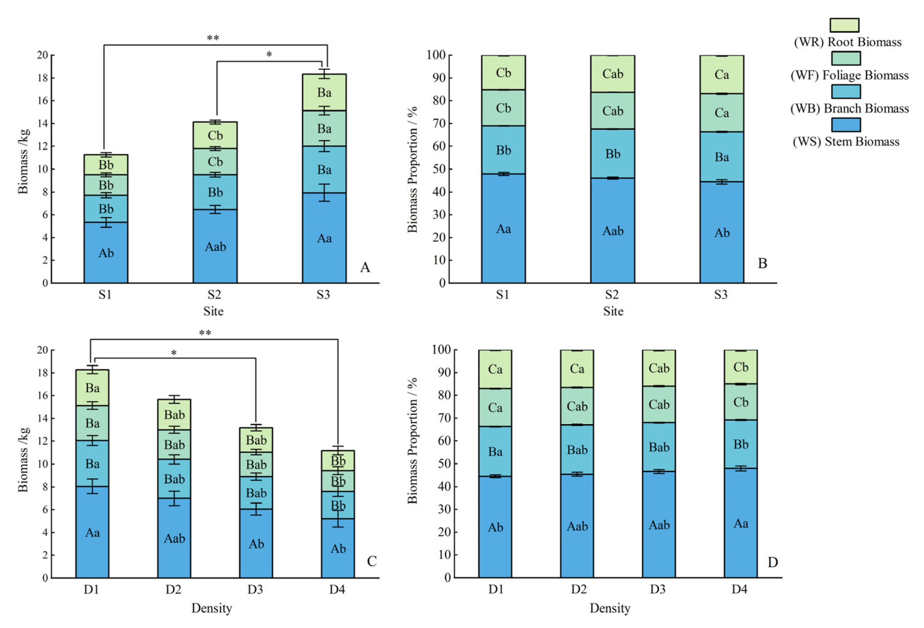
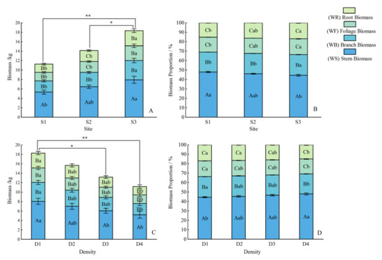
3.3. Biomass Accumulation and Distribution at Different Site Conditions and Densities
3.4. Biomass Allometric Relationship at Different Site Conditions and Densities
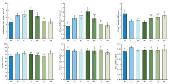
3.5. Effect of Crown Indicators on Biomass Allocation under Different Site Conditions and Densities
4. Discussion
4.1. Effect of Site Condition and Density on Tree and Crown Growth
4.2. Effect of Site Condition and Density on Biomass Accumulation
4.3. Relationship between Crown and Tree Growth
4.4. Influence of Crown on Biomass Allometric Growth Relationship
4.5. Policy Recommendations and Managerial Implications
5. Conclusions
Author Contributions
Funding
Data Availability Statement
Acknowledgments
Conflicts of Interest
References
- Lewis, S.L.; Wheeler, C.E.; Mitchard, E.T.; Koch, A. Restoring Natural Forests Is the Best Way to Remove Atmospheric Carbon. Nature 2019, 568, 25–28. [Google Scholar] [CrossRef] [PubMed]
- Poorter, H.; Niklas, K.J.; Reich, P.B.; Oleksyn, J.; Poot, P.; Mommer, L. Biomass Allocation to Leaves, Stems and Roots: Meta-Analyses of Interspecific Variation and Environmental Control. New Phytol. 2012, 193, 30–50. [Google Scholar] [CrossRef] [PubMed]
- Romero, F.M.B.; Jacovine, L.A.G.; Ribeiro, S.C.; Neto, J.A.F.; Ferrante, L. Stocks of Carbon in Logs and Timber Products from Forest Management in the Southwestern Amazon. Forests 2020, 11, 1113. [Google Scholar] [CrossRef]
- Baker, T.R.; Phillips, O.L.; Malhi, Y.; Almeida, S.; Arroyo, L.; Di Fiore, A.; Erwin, T.; Killeen, T.J.; Laurance, S.G.; Laurance, W.F.; et al. Variation in Wood Density Determines Spatial Patterns inAmazonian Forest Biomass. Glob. Change Biol. 2004, 10, 545–562. [Google Scholar] [CrossRef]
- Nogueira, E.M.; Nelson, B.W.; Fearnside, P.M. Wood Density in Dense Forest in Central Amazonia, Brazil. For. Ecol. Manag. 2005, 20, 261–286. [Google Scholar] [CrossRef]
- Shipley, B.; Meziane, D. The Balanced-Growth Hypothesis and the Allometry of Leaf and Root Biomass Allocation. Funct. Ecol. 2002, 16, 326–331. [Google Scholar] [CrossRef]
- He, Y.; Guo, S.; Wang, Z. Research Progress of Trade-off Relationships of Plant Functional Traits. Chin. J. Plant Ecol. 2019, 43, 1021–1035. [Google Scholar] [CrossRef]
- Minden, V.; Kleyer, M. Internal and External Regulation of Plant Organ Stoichiometry. Plant Biol. 2014, 16, 897–907. [Google Scholar] [CrossRef]
- Coleman, J.S.; McConnaughay, K.D.; Ackerly, D.D. Interpreting Phenotypic Variation in Plants. Trends Ecol. Evol. 1994, 9, 187–191. [Google Scholar] [CrossRef]
- Veresoglou, S.D.; Peñuelas, J. Variance in Biomass-Allocation Fractions Is Explained by Distribution in European Trees. New Phytol. 2019, 222, 1352–1363. [Google Scholar] [CrossRef]
- Enquist, B.J.; Niklas, K.J. Global Allocation Rules for Patterns of Biomass Partitioning in Seed Plants. Science 2002, 295, 1517–1520. [Google Scholar] [CrossRef] [PubMed]
- West, G.B.; Brown, J.H.; Enquist, B.J. A General Model for the Structure and Allometry of Plant Vascular Systems. Nature 1999, 400, 664–667. [Google Scholar] [CrossRef]
- Fan, G.; Cui, Z.; Zhang, J.; Huang, Y.; Shen, X.; Zhao, X. Effects of Population Density on the Biomass Allocation and Allometric Growth of Chenopodium Acuminatum. Acta Ecol. Sin. 2017, 37, 5080–5090. [Google Scholar]
- Fengri, L. Modeling Crown Profile of Larix Olgensis Trees. Sci. Silvae Sin. 2004, 40, 16–24. [Google Scholar]
- Zarnoch, S.J.; Bechtold, W.A.; Stolte, K.W. Using Crown Condition Variables as Indicators of Forest Health. Can. J. For. Res. 2004, 34, 1057–1070. [Google Scholar] [CrossRef]
- Zhang, S.B.; Wen, G.J.; Qu, Y.Y.; Yang, L.Y.; Song, Y. Trade-Offs between Xylem Hydraulic Efficiency and Mechanical Strength in Chinese Evergreen and Deciduous Savanna Species. Tree Physiol. 2022, 42, 1337–1349. [Google Scholar] [CrossRef]
- Quan, Y.; Li, M.; Zhen, Z.; Yuanshuo, H. Modeling Crown Characteristic Attributes and Profile of Larix Olgensis Using UAV-Borne Lidar. J. Northeast Univ. 2019, 47, 52–28. [Google Scholar]
- Bagdon, B.A.; Nguyen, T.H.; Vorster, A.; Paustian, K.; Field, J.L. A Model Evaluation Framework Applied to the Forest Vegetation Simulator (FVS) in Colorado and Wyoming Lodgepole Pine Forests. For. Ecol. Manag. 2021, 480, 118619. [Google Scholar] [CrossRef]
- Liu, Z.; Li, F. Crown Structure Model and Three Dimensional Computer Graphics Simulation for Mongolian Scots Pine Plantation. Sci. Silvae Sin. 2009, 45, 54–61. [Google Scholar]
- Li, G.D.; Zhang, Y.X.; Fu, H.M.; Li, D.D.; Yue, Z.W.; Xi, B.Y.; Wang, Y. Characteristics of Crown Architecture of Young Triploid Populus Tomentosa B301 Clones. J. Northwest For. Univ. 2021, 36, 94–101. [Google Scholar]
- Zhao, K.; Fahey, T.J.; Wang, X.; Wang, J.; He, F.; Fan, C.; Jia, Z.; Li, X. Effect of Thinning Intensity on the Stem CO2 Efflux of Larix Principis-Rupprechtii Mayr. For. Ecosyst. 2021, 8, 63. [Google Scholar] [CrossRef]
- Sun, Y.; Gao, H.; Li, F. Using Linear Mixed-Effects Models with Quantile Regression to Simulate the Crown Profile of Planted Pinus Sylvestris Var. Mongolica Trees. Forests 2017, 8, 446. [Google Scholar] [CrossRef]
- Raptis, D.; Kazana, V.; Kazaklis, A.; Stamatiou, C. A Crown Width-Diameter Model for Natural Even-Aged Black Pine Forest Management. Forests 2018, 9, 610. [Google Scholar] [CrossRef]
- Zhang, H.; Wang, K.; Xu, X.; Song, T.; Xu, Y.; Zeng, F. Biogeographical Patterns of Biomass Allocation in Leaves, Stems and Roots in China’s Forests. Sci. Rep. 2015, 5, 15997. [Google Scholar] [CrossRef] [PubMed]
- Wan, Z.; Li, X.; Liu, C.; Sun, H.; Wang, X.; Fang, L. Dynamic Analysis of Relationship among Tree Height, Diameter at the Breast Height and Crown of Artificial Sassafras Tzumu Forest at Different Development Stages. Genom. Appl. Biol. 2017, 36, 331–339. [Google Scholar]
- Li, R.; Weiskittel, A.R. Comparison of Model Forms for Estimating Stem Taper and Volume in the Primary Conifer Species of the North American Acadian Region. Ann. For. Sci. 2010, 67, 302. [Google Scholar] [CrossRef]
- Wu, J.; Jiang, F.; Peng, S.; Ma, K.; Chen, S.; Sun, H. Estimating the Tree Height and Yield of Camellia Oleifera by Combining Crown Volume. J. Nanjing For. Univ. 2022, 46, 53. [Google Scholar]
- Romero, F.M.B. Aboveground Biomass Allometric Models for Large Trees in Southwestern Amazonia. Trees For. People 2022, 9, 100317. [Google Scholar] [CrossRef]
- Goodman, R.C.; Phillips, O.L.; Baker, T.R. The Importance of Crown Dimensions to Improve Tropical Tree Biomass Estimates. Ecol. Appl. 2014, 24, 680–698. [Google Scholar] [CrossRef]
- Randolph, K.C.; Moser Jr, J.W. An Evaluation of Changes in Tree Crown Characteristics to Assess Forest Health in Two Indiana State Parks. North. J. Appl. For. 2004, 21, 50–55. [Google Scholar] [CrossRef]
- Huang, L.; Han, H.; Niu, S.; Cheng, X.; Zhou, W. Spatial Heterogeneity of Canopy Photosynthesis in Larix Principis-Rupprechtii Mayr. Plantations. J. Nanjing For. Univ. 2017, 60, 193. [Google Scholar]
- Muhairwe, C.K.; LeMay, V.M.; Kozak, A. Effects of Adding Tree, Stand, and Site Variables to Kozak’s Variable-Exponent Taper Equation. Can. J. For. Res. 1994, 24, 252–259. [Google Scholar] [CrossRef]
- Leites, L.P.; Robinson, A.P. Improving Taper Equations of Loblolly Pine with Crown Dimensions in a Mixed-Effects Modeling Framework. For. Sci. 2004, 50, 204–212. [Google Scholar]
- MacFarlane, D.W.; Weiskittel, A.R. A New Method for Capturing Stem Taper Variation for Trees of Diverse Morphological Types. Can. J. For. Res. 2016, 46, 804–815. [Google Scholar] [CrossRef]
- Weiskittel, A.R.; Hann, D.W.; Kershaw, J.A., Jr.; Vanclay, J.K. Forest Growth and Yield Modeling; John Wiley & Sons: Hoboken, NJ, USA, 2011. [Google Scholar]
- Alexander, S.A.; Palmer, C.J. Forest Health Monitoring in the United States: First Four Years. Environ. Monit. Assess. 1999, 55, 267–277. [Google Scholar] [CrossRef]
- Bechtold, W.A. Crown Position and Light Exposure Classification—An Alternative to Field-Assigned Crown Class. North. J. Appl. For. 2003, 20, 154–160. [Google Scholar] [CrossRef]
- Laroque, G.; Marshall, P. Crown Development in Red Pine Stands. Can. J. For. Res. 1994, 24, 762–774. [Google Scholar] [CrossRef]
- Vose, J.M.; Allen, H.L. Leaf Area, Stemwood Growth, and Nutrition Relationships in Loblolly Pine. For. Sci. 1988, 34, 547–563. [Google Scholar]
- Colter Burkes, E.; Will, R.E.; Barron-Gafford, G.A.; Teskey, R.O.; Shiver, B. Biomass Partitioning and Growth Efficiency of Intensively Managed Pinus Taeda and Pinus Elliottii Stands of Different Planting Densities. For. Sci. 2003, 49, 224–234. [Google Scholar]
- Will, R.E.; Narahari, N.V.; Shiver, B.D.; Teskey, R.O. Effects of Planting Density on Canopy Dynamics and Stem Growth for Intensively Managed Loblolly Pine Stands. For. Ecol. Manag. 2005, 205, 29–41. [Google Scholar] [CrossRef]
- Zhao, D.; Bullock, B.P.; Montes, C.R.; Wang, M.; Westfall, J.; Coulston, J.W. Long-Term Dynamics of Loblolly Pine Crown Structure and Aboveground Net Primary Production as Affected by Site Quality, Planting Density and Cultural Intensity. For. Ecol. Manag. 2020, 472, 118259. [Google Scholar] [CrossRef]
- Curtin, R. Stand Density and the Relationship of Crown Width to Diameter and Height in Eucalyptus Obliqua. Aust. For. 1964, 28, 91–105. [Google Scholar] [CrossRef]
- Duan, J.; Ma, L.; Jia, L.; Xu, C.; Jia, Z.; Che, W. The Density Effect of Platycladus orientalis Plantation in Beijing Area. Acta Ecol. Sin. 2010, 30, 3206–3214. [Google Scholar]
- Albaugh, T.J.; Maier, C.A.; Campoe, O.C.; Yáñez, M.A.; Carbaugh, E.D.; Carter, D.R.; Cook, R.L.; Rubilar, R.A.; Fox, T.R. Crown Architecture, Crown Leaf Area Distribution, and Individual Tree Growth Efficiency Vary across Site, Genetic Entry, and Planting Density. Trees 2020, 34, 73–88. [Google Scholar] [CrossRef]
- Shen, G. Silviculture, 3rd ed.; China Forestry Publishing House: Beijing, China, 2001. [Google Scholar]
- Cheng, J.; Cheng, J.; Gao, Y. Structural Characteristics of Community Biomass in Robinia Pseudoacacia Plantations under Different Site Conditions at Webei Loess Region, Northwestern China. J. Beijing For. Univ. 2014, 36, 15–21. [Google Scholar]
- Wang, P.; Wang, S.; Wang, Q.; Li, K. Suitable Site Conditions for Betula Platyphylla in Maoershan Forest Farm Heilongjiang Province. J. Northeast For. Univ. 2010, 38, 9–11. [Google Scholar]
- Jagodziński, A.; Oleksyn, J. Ecological Consequences of Silviculture at Variable Stand Densities. I. Stand Growth and Development. Sylwan 2009, 153, 75–85. [Google Scholar]
- Fan, S.; Liu, G.; Zhang, Q.; Feng, H.; Zong, Y.; Ren, H. A Study on Biomass and Productivity of Populus\times Xiaohei Plantation on Sandy Land in North China. For. Res. Beijing 2010, 23, 71–76. [Google Scholar]
- Huang, F. The Relation of Crown Structure with Poplar Canker under Different Stand Density. J. Nanjing For. Univ. 2010, 53, 79. [Google Scholar]
- Deng, C.; Ma, F.; Xu, X.; Zhu, B.; Tao, J.; Li, Q. Allocation Patterns and Temporal Dynamics of Chinese Fir Biomass in Hunan Province, China. Forests 2023, 14, 286. [Google Scholar] [CrossRef]
- Gong, N.; Ma, L.; Jia, L.; Duan, J. Effects of Different Stand Densities and Site Conditions on Crown of Pinus Tabulaeformis Plantations in Beijing Mountain Area. J. Northeast For. Univ. 2010, 38, 9–12. [Google Scholar]
- Li, G.; Du, S.; Wen, Z. Mapping the Climatic Suitable Habitat of Oriental Arborvitae (Platycladus orientalis) for Introduction and Cultivation at a Global Scale. Sci. Rep. 2016, 6, 30009. [Google Scholar] [CrossRef] [PubMed]
- Wu, Z.; Raven, P.H.; Agendae, D.F.R.P.S. Flora Reipublicae Popularis Sinicae; Missouri Botanical Garden Press: St. Louis, MO, USA, 1994; Volume 8. [Google Scholar]
- Wang, X.; Jia, G.-D.; Deng, W.-P.; Liu, Z.-Q.; Liu, Z.-H.; Qiu, G.-F.; Li, W.-L. Long-Term Water Use Characteristics and Patterns of Typical Tree Species in Seasonal Drought Regions. Ying Yong Sheng Tai Xue Bao J. Appl. Ecol. 2021, 32, 1943–1950. [Google Scholar]
- Hu, X.-G.; Wang, T.; Liu, S.-S.; Jiao, S.-Q.; Jia, K.-H.; Zhou, S.-S.; Jin, Y.; Li, Y.; El-Kassaby, Y.A.; Mao, J.-F. Predicting Future Seed Sourcing of Platycladus orientalis (L.) for Future Climates Using Climate Niche Models. Forests 2017, 8, 471. [Google Scholar] [CrossRef]
- Cui, R.; Qi, S.; Wu, B.; Zhang, D.; Zhang, L.; Zhou, P.; Ma, N.; Huang, X. The Influence of Stand Structure on Understory Herbaceous Plants Species Diversity of Platycladus orientalis Plantations in Beijing, China. Forests 2022, 13, 1921. [Google Scholar] [CrossRef]
- National Forestry and Grassland Administration Selective Cutting Management Model of Target Tree Single Tree Tending in High Density Platycladus orientalis Forest. Available online: http://www.forestry.gov.cn/c/www/sdsf/365462.jhtml (accessed on 4 August 2023).
- Ma, F.; Jia, L.; Duan, J.; Zhou, X. Compilation of Site Index Table for Plantations of Platycladus orientalis in Beijing Mountainous Area. J. Beijing For. Univ. 2008, 30, 78–82. [Google Scholar]
- Ma, L.; Zhai, M.; Xu, C.; Jia, Z. Tending Effect of Platycladus orientalis Plantations upon Soil Moisture Properties in Mountainous Area of Beijing. J. Sourhwest For. Coll. 2005, 25, 64–68. [Google Scholar]
- Zhongkui, J.; Lüyi, M.; Chengyang, X.; Hua, Z.; Sheng, S. Soil Moisture Content and Physical and Chemical Properties of Most Stands of Young Platycladus orientalis in Beijing Mountain Area. J. Soil Water Conserv. 2005, 19, 160–164. [Google Scholar]
- Luo, Y.; Wang, X.; Lu, F. Comprehensive Database of Biomass Regressions for China’s Tree Species; China Forestry Publishing House: Beijing, China, 2015. [Google Scholar]
- Yue, K.; Fornara, D.A.; Li, W.; Ni, X.; Peng, Y.; Liao, S.; Tan, S.; Wang, D.; Wu, F.; Yang, Y. Nitrogen Addition Affects Plant Biomass Allocation but Not Allometric Relationships among Different Organs across the Globe. J. Plant Ecol. 2021, 14, 361–371. [Google Scholar] [CrossRef]
- Wang, L.; Feng, J.; Wang, S.; Jia, C.; Wan, X. The Interaction of Drought and Slope Aspect on Growth of Quercus Variabilis and Platycladus orientalis. Acta Ecol. Sin. 2013, 33, 2425–2433. [Google Scholar] [CrossRef]
- Shi, Y.; Zhao, C.; Song, Q.; Du Jing, W. Allometric Relationship between Height and Crown Width or Diameter of Platycladus orientalis on Different Slope Aspects of Lanzhou Northern Mountains. Chin. J. Ecol. 2015, 34, 1879. [Google Scholar]
- Lee, R.; Sypolt, C. Toward a Biophysical Evaluation of Forest Site Potential. For. Sci. 1974, 20, 145–154. [Google Scholar]
- Kramer, P.J.; Kozlowski, T.T. Physiology of Trees; McGraw Hill Book, Co.: New York, NY, USA, 1960. [Google Scholar]
- Berndtsson, R.; Nodomi, K.; Yasuda, H.; Persson, T.; Chen, H.; Jinno, K. Soil Water and Temperature Patterns in an Arid Desert Dune Sand. J. Hydrol. 1996, 185, 221–240. [Google Scholar] [CrossRef]
- Liu, Z.; Yu, X.; Lou, Y.; Li, H.; Jia, G.; Lu, W. Water Use Strategy of Platycladus orientalis in Beijing Mountainous Area. Acta Ecol. Sin. 2017, 37, 3697–3705. [Google Scholar]
- Xiang, S.; Zhao, X. Research on Root System of Main Afforestation Tree Species in Beijing. J. Beijing For. Univ. 1981, 2, 19–32+34–35. [Google Scholar]
- Wang, C.; Lu, H. Study on Height-Diameter Ratio of Standing Trees in Yunnan Pine Natural Forest. For. Resour. Manag. 1987, 2, 28–31. [Google Scholar]
- Wang, Y.; Wang, D.H.; Zhang, J.N.; Yu, Z.Q.; Liu, J.L. Differences of Crown Two-Dimensional Features of Platycladus orientalis Plantation under Different Stand Densities in Loess Area. J. Northwest For. Univ. 2014, 29, 125–128+135. [Google Scholar]
- Cheng, W.; Gao, M.; Hou, Y.; Meng, Q.; Zhang, W.; Zhao, J. Effects of Different Densities on Biomass of Platycladus orientalis Plantation—A Case Study of State-Owned Forest Farms in Zichuan District. For. Sci. Technol. 2021, 46, 13–16. [Google Scholar]
- Liang, Y.; Ge, Z.Q.; Li, Z.T.; Lv, L.C.; Du, Z.Y.; Wang, Q.H. Study on Growth Characteristics of Platycladus orientalis Plantation with Different Stand Densities in Limestone Mountainous Region of Central Shandong. Hunan For. Sci. Technol. 2019, 46, 37–43. [Google Scholar]
- Dai, L.; Zhou, L.; Wu, L.; Liu, L.; Huang, Y.; Peng, T.; Qiu, J.; He, Z.; Cao, G. Carbon Density and Vertical Spatial Distribution Characteristics of Cunninghamia Lanceolata Forest Ecosystem with Different Stand Density. Acta Ecol. Sin. 2022, 42, 710–719. [Google Scholar]
- Jia, W.; Luo, T.; Li, F. Branch Density Model for Pinus Koraiensis Plantation Based on Thinning Effects. J. Beijing For. Univ. 2021, 43, 12. [Google Scholar]
- Zhao, H.; Lei, Y.; Fu, L. Biomass and Uncertainty Estimates of Pinus massoniana Forest for Different Site Classes in Jiangxi Province. Sci. Silvae Sin. 2017, 53, 81–93. [Google Scholar]
- Lu, L.; Wang, Q.; Ge, Z.; Liang, Y.; Li, Z. Site Classification of Platycladus orientalis Plantations in the Central Mountainous Region of Shandong Province. J. Northeast For. Univ. 2019, 47, 22–40. [Google Scholar]
- Ying-Ying, N.; Xin-E, L.I.; Gang, W. Variation Mode of α Diversity and β Diversity of Plant Community of Different Habitat Gradients from South-Facing Slope to North-Facing Slope and Its Relation with Different Environmental Factors. J. Lanzhou Univ. Nat. Sci. 2010, 46, 73–79. [Google Scholar]
- Jia, Q.; Luo, C.; Liu, Q.; Liu, L.; Li, J. Biomass Allocation in Relation to Stand Density in Pinus Tabuliformis Plantation. J. Nanjing For. Univ. 2015, 58, 87. [Google Scholar]
- Wertz, B.; Bembenek, M.; Karaszewski, Z.; Ochał, W.; Skorupski, M.; Strzeliński, P.; Węgiel, A.; Mederski, P.S. Impact of Stand Density and Tree Social Status on Aboveground Biomass Allocation of Scots Pine Pinus sylvestris L. Forests 2020, 11, 765. [Google Scholar] [CrossRef]
- Li, Z.; Luo, Q.; Xu, Z. Effects of Stand Density on the Biomass Allocation and Tree Height-Diameter Allometric Growth of Picea Schrenkiana Forest on the Northern Slope of the Western Tianshan Mountains. Arid Zone Res. 2021, 38, 545–552. [Google Scholar]
- Litton, C.M.; Ryan, M.G.; Knight, D.H. Effects of Tree Density and Stand Age on Carbon Allocation Patterns in Postfire Lodgepole Pine. Ecol. Appl. 2004, 14, 460–475. [Google Scholar] [CrossRef]
- Nogueira, E.M.; Fearnside, P.M.; Nelson, B.W. Normalization of Wood Density in Biomass Estimates of Amazon Forests. For. Ecol. Manag. 2008, 256, 990–996. [Google Scholar] [CrossRef]
- Nilsson, U.; Albrektson, A. Productivity of Needles and Allocation of Growth in Young Scots Pine Trees of Different Competitive Status. For. Ecol. Manag. 1993, 62, 173–187. [Google Scholar] [CrossRef]
- Kellomäki, S. Effect of the Within-Stand Light Conditions on the Share of Stem, Branch and Needle Growth in a Twenty-Year-Old Scots Pine Stand. Silva Fenn. 1981, 15, 130–139. [Google Scholar] [CrossRef][Green Version]
- Romero, F.M.B.; Ribeiro, S.C. Allometric Equations for Volume, Biomass, and Carbon in Commercial Stems Harvested in a Managed Forest in the Southwestern Amazon: A Case Study. Forests 2020, 11, 874. [Google Scholar] [CrossRef]
- Pretzsch, H. Tree Growth as Affected by Stem and Crown Structure. Trees 2021, 35, 947–960. [Google Scholar] [CrossRef]
- Sprinz, P.T.; Burkhart, H.E. Relationships between Tree Crown, Stem, and Stand Characteristics in Unthinned Loblolly Pine Plantations. Can. J. For. Res. 1987, 17, 534–538. [Google Scholar] [CrossRef]
- Davies, O.; Pommerening, A. The Contribution of Structural Indices to the Modelling of Sitka Spruce (Picea sitchensis) and Birch (Betula spp.) Crowns. For. Ecol. Manag. 2008, 256, 68–77. [Google Scholar] [CrossRef]
- Zhao, Y.; Gao, M.; Li, T.; Wang, W. Effects of Water Stress on Leaf Gas Exchange and Biomass Allocation of Populus × Popularis “35–44” Cuttings. Acta Ecol. Sin. 2020, 40, 1683–1689. [Google Scholar]
- Lau, P.; Ma, L.; Jia, L.; Wang, Y. Model of Crown Composite Index and Health Appraisal of Pinus tabulaeformis and Platycladus orientalis Plantations. J. Northeast For. Univ. 2009, 37, 32–35. [Google Scholar]
- Gedroc, J.; McConnaughay, K.; Coleman, J. Plasticity in Root/Shoot Partitioning: Optimal, Ontogenetic, or Both? Funct. Ecol. 1996, 10, 44–50. [Google Scholar] [CrossRef]
- Xu, C.Y.; Zhang, H.; Jia, Z.K.; Xue, K.; Wang, J.G. Effects of Stand Density and Site Types on Root Characteristics of Platycladus orientalis Plantations in Beijing Mountainous Area. J. Bjing For. Univ. 2007, 29, 95–99. [Google Scholar]
- Wu, M.; Sun, Y.; Guo, X.; Cai, Z.; Guo, W. Predictive Models of Crown Volume and Crown Surface Area for Korean Larch. J. Northeast For. Univ. 2014, 42, 1–5. [Google Scholar]
- Chen, J.; Zhao, C.-Z.; Wang, J.-W.; Zhao, L.-C. Canopy Structure and Radiation Interception of Salix Matsudana: Stand Density Dependent Relationships. Chin. J. Plant Ecol. 2017, 41, 661. [Google Scholar]
- Wang, J.; Jiang, L. Predicting Crown Width for Larix Gmelinii Based on Linear Quantiles Groups. J. Nanjing For. Univ. 2021, 45, 161. [Google Scholar]
- Tong, Y.-W.; Chen, D.-S.; Feng, J.; Gao, H.-L. Crown Width Model for Planted Korean Pine in Eastern Liaoning Mountains Based on Mixed Effect Linear Quantile. Ying Yong Sheng Tai Xue Bao J. Appl. Ecol. 2022, 33, 2321–2330. [Google Scholar]
- Teeguarden, D. Optimum Initial Stocking Density in Ponderosa Pine Plantations. Calif. Agric. 1979, 33, 15–17. [Google Scholar]
- Li, Y.; Liu, S.; Sun, H.; Wang, W.; Xiang, W. Modeling of Height to Crown Base and Crown Width in Spruce-Fir Conifer-Broadleaf Mixed Forest. J. For. Environ. 2022, 42, 289–296. [Google Scholar]
- Xiang, W.; Lei, X.; Zhang, X. Modelling Tree Recruitment in Relation to Climate and Competition in Semi-Natural Larix-Picea-Abies Forests in Northeast China. For. Ecol. Manag. 2016, 382, 100–109. [Google Scholar] [CrossRef]
- Yao, Z.Y.; Liu, J.J. Models for Biomass Estimation of Four Shrub Species Planted in Urban Area of Xi’an City, Northwest China. J. Appl. Ecology. 2014, 25, 111–116. [Google Scholar]
- Ou, J.; Ou, J.; Kang, Y. Single Tree Biomass Simulation of Taxus Yunnanensis Plantation Based on Crown Morphological Index. J. Southwest For. Univ. Nat. Sci. 2022, 7, 194–201. [Google Scholar]
- Liao, Y.; Zhang, J.; Bao, R.; Xu, D.; Han, D. Modelling the Dynamics of Carbon Storages for Pinus Densata Using Landsat Images in Shangri-La Considering Topographic Factors. Remote Sens. 2022, 14, 6244. [Google Scholar] [CrossRef]
- Wang, N.; Cheng, Z.; Wen, Z.; Xu, X. Adaptation of Traits and Biomass Allocation of Vitex Negundo Var. Heterophylla Population to Different Slope Aspects in the Hilly Region of Taihang Mountains. For. Ecol. Sci. 2020, 35, 133–143. [Google Scholar]
- Konôpka, B.; Pajtík, J.; Šebeň, V.; Merganičová, K.; Surovỳ, P. Silver Birch Aboveground Biomass Allocation Pattern, Stem and Foliage Traits with Regard to Intraspecific Crown Competition. Cent. Eur. For. J. 2020, 66, 159–169. [Google Scholar] [CrossRef]
- Hynynen, J.; Niemistö, P.; Viherä-Aarnio, A.; Brunner, A.; Hein, S.; Velling, P. Silviculture of Birch (Betula Pendula Roth and Betula Pubescens Ehrh.) in Northern Europe. Forestry 2010, 83, 103–119. [Google Scholar] [CrossRef]
- He, P.; He, D.; Chen, Z.; Xiao, Q. Compatibility Model of Stand Volume and Above-Ground Biomass Based on Tree Height and Crown Characteristics. J. Cent. South Univ. For. Technol. 2020, 40, 28–33. [Google Scholar]
- Limei, Z. Study on Single Biomass Model for Pinus Kesiya Var. Langbianensis. For. Sci. Technol. 2009, 34, 19–23. [Google Scholar]
- Duan, J.; Ma, L.; Jia, L.; Jia, Z.; Gong, N.; Che, W. Effect of Thinning on Platycladus orientalis Plantation and the Diversity of Undergrowth Vegetation. Acta Ecol. Sin. 2010, 30, 1431–1441. [Google Scholar]
- Morin, R.S.; Randolph, K.C.; Steinman, J. Mortality Rates Associated with Crown Health for Eastern Forest Tree Species. Environ. Monit. Assess. 2015, 187, 87. [Google Scholar] [CrossRef]







| Site | Density (Trees·hm−2) | Mean Age (a) | Mean Elevation (m) | Mean Slope (°) | Slope Aspect | Site Index |
|---|---|---|---|---|---|---|
| S1 | D1 (1083 ± 44) | 30 | 185 | 23 | ES | 9 |
| D2 (1875 ± 14) | 30 | 185 | 23 | ES | 9 | |
| D3 (2458 ± 30) | 30 | 185 | 23 | ES | 9 | |
| D4 (3300 ± 28) | 30 | 185 | 23 | ES | 9 | |
| S2 | D1 (1200 ± 62) | 29 | 128 | 18 | ES | 9 |
| D2 (1833 ± 22) | 29 | 128 | 18 | ES | 9 | |
| D3 (2525 ± 28) | 29 | 128 | 18 | ES | 9 | |
| D4 (3308 ± 22) | 29 | 128 | 18 | ES | 9 | |
| S3 | D1 (1266 ± 44) | 32 | 210 | 21 | E | 10 |
| D2 (1850 ± 14) | 32 | 210 | 21 | E | 10 | |
| D3 (2541 ± 33) | 32 | 210 | 21 | E | 10 | |
| D4 (3291 ± 44) | 32 | 210 | 21 | E | 10 |
| Class | Condition of Division |
|---|---|
| 0 | There is no light at all in the crown |
| 1 | There is light at the top or on 1 side of the crown |
| 2 | There is light at the top of the crown or on 1 side (2 sides in total) |
| 3 | There is light at the top of the crown or 2 sides (3 sides in total) |
| 4 | There is light at the top of the crown or on 3 sides (4 sides in total) |
| 5 | There is light at the top of the crown or on 4 sides (5 sides in total) |
| Code | Percentage (%) | Code | Percentage (%) | Code | Percentage (%) |
|---|---|---|---|---|---|
| 00 | 0 | 35 | 31–35 | 70 | 66–70 |
| 05 | 1–5 | 40 | 36–40 | 75 | 71–75 |
| 10 | 6–10 | 45 | 41–45 | 80 | 76–80 |
| 15 | 11–15 | 50 | 46–50 | 85 | 81–85 |
| 20 | 16–20 | 55 | 51–55 | 90 | 86–90 |
| 25 | 21–25 | 60 | 56–60 | 95 | 91–95 |
| 30 | 26–30 | 65 | 61–65 | 100 | 96–100 |
| Indicators | Site Condition (S) | Density (D) | Site Condition× Density (S × D) | ||||
|---|---|---|---|---|---|---|---|
| F | p | F | p | F | p | ||
| Tree Growth | DBH | 19.636 | <0.01 | 28.235 | <0.01 | 0.130 | 0.721 |
| H | 3.533 | 0.070 | 7.672 | <0.01 | 1.298 | 0.263 | |
| V | 18.031 | <0.01 | 17.171 | <0.01 | 0.749 | 0.394 | |
| RHD | 1.872 | 0.181 | 1.793 | 0.190 | 4.201 | 0.055 | |
| RDH | 2.282 | 0.141 | 3.829 | 0.059 | 0.036 | 0.850 | |
| RDD | 0.506 | 0.482 | 26.931 | <0.01 | 1.583 | 0.218 | |
| Crown | CW | 10.676 | <0.01 | 11.588 | <0.01 | 0.018 | 0.894 |
| CL | 21.510 | <0.01 | 6.677 | 0.015 | 0.093 | 0.763 | |
| CLE | 3.665 | 0.065 | 12.493 | <0.01 | 0.565 | 0.458 | |
| CDBK | 7.627 | <0.01 | 0.299 | 0.588 | 0.352 | 0.557 | |
| FT | 0.351 | 0.707 | 0.819 | 0.496 | 0.087 | 0.997 | |
| CD | 0.731 | 0.399 | 2.936 | 0.097 | 0.579 | 0.452 | |
| CCSA | 16.491 | <0.01 | 25.565 | <0.01 | 0.256 | 0.617 | |
| CCV | 22.988 | <0.01 | 31.286 | <0.01 | 1.615 | 0.213 | |
| CEFF | 10.887 | <0.01 | 6.682 | 0.015 | 1.895 | 0.179 | |
| CR | 9.796 | <0.01 | 0.864 | 0.360 | 3.669 | 0.065 | |
| CFR | 0.193 | 0.664 | 0.238 | 0.629 | 0.005 | 0.945 | |
| RCD | 0.473 | 0.497 | 0.168 | 0.685 | 0.000 | 0.989 | |
| Biomass | WS | 7.709 | <0.01 | 5.050 | 0.007 | 0.639 | 0.698 |
| WB | 8.419 | <0.01 | 4.250 | 0.015 | 0.548 | 0.767 | |
| WF | 8.419 | <0.01 | 4.250 | 0.015 | 0.548 | 0.767 | |
| WR | 8.419 | <0.01 | 4.250 | 0.015 | 0.548 | 0.767 | |
| WT | 8.150 | <0.01 | 4.548 | 0.012 | 0.579 | 0.743 | |
| Site Condition | Density | ||||||||||||||
|---|---|---|---|---|---|---|---|---|---|---|---|---|---|---|---|
| y | x | S1 | S2 | S3 | S1 | S2 | S3 | D1 | D2 | D3 | D4 | D1 | D2 | D3 | D4 |
| Slope | Intercept | Slope | Intercept | ||||||||||||
| LnWS | LnWB | 1.190 c | 1.250 b | 1.270 a | −1.160 A | −1.250 B | −1.270 B | 1.300 a | 1.280 a | 1.240 b | 1.200 c | −1.350 C | −1.310 C | −1.230 B | −1.170 A |
| LnWS | LnWF | 1.269 c | 1.303 b | 1.314 a | −1.575 A | −1.629 B | −1.642 B | 1.333 a | 1.321 a | 1.297 b | 1.272 c | −1.685 C | −1.661 C | −1.619 B | −1.580 A |
| LnWS | LnWR | 1.620 a | 1.620 a | 1.580 a | −2.220 A | −2.230 A | −2.190 A | 1.460 c | 1.520 bc | 1.680 a | 1.630 a | −1.940 A | −2.050 AB | −2.330 C | −2.240 C |
| LnWB | LnWF | 1.060 a | 1.042 b | 1.034 c | −0.340 A | −0.326 B | −0.325 B | 1.023 c | 1.030 c | 1.045 b | 1.058 a | −0.306 A | −0.315 A | −0.330 B | −0.339 C |
| LnWB | LnWR | 1.350 a | 1.290 b | 1.230 b | −0.647 B | −0.605 A | −0.602 A | 1.120 b | 1.180 b | 1.340 a | 1.350 a | −0.425 A | −0.502 A | −0.652 B | −0.654 B |
| LnWF | LnWR | 1.280 a | 1.240 a,b | 1.200 b | −0.213 A | −0.204 A | −0.217 A | 1.100 b | 1.150 b | 1.290 a | 1.280 a | −0.091 A | −0.143 A | −0.232 B | −0.221 B |
Disclaimer/Publisher’s Note: The statements, opinions and data contained in all publications are solely those of the individual author(s) and contributor(s) and not of MDPI and/or the editor(s). MDPI and/or the editor(s) disclaim responsibility for any injury to people or property resulting from any ideas, methods, instructions or products referred to in the content. |
© 2023 by the authors. Licensee MDPI, Basel, Switzerland. This article is an open access article distributed under the terms and conditions of the Creative Commons Attribution (CC BY) license (https://creativecommons.org/licenses/by/4.0/).
Share and Cite
He, L.; Zhang, X.; Wang, X.; Ullah, H.; Liu, Y.; Duan, J. Tree Crown Affects Biomass Allocation and Its Response to Site Conditions and the Density of Platycladus orientalis Linnaeus Plantation. Forests 2023, 14, 2433. https://doi.org/10.3390/f14122433
He L, Zhang X, Wang X, Ullah H, Liu Y, Duan J. Tree Crown Affects Biomass Allocation and Its Response to Site Conditions and the Density of Platycladus orientalis Linnaeus Plantation. Forests. 2023; 14(12):2433. https://doi.org/10.3390/f14122433
Chicago/Turabian StyleHe, Lulu, Xuan Zhang, Xiaoxia Wang, Haseen Ullah, Yadong Liu, and Jie Duan. 2023. "Tree Crown Affects Biomass Allocation and Its Response to Site Conditions and the Density of Platycladus orientalis Linnaeus Plantation" Forests 14, no. 12: 2433. https://doi.org/10.3390/f14122433
APA StyleHe, L., Zhang, X., Wang, X., Ullah, H., Liu, Y., & Duan, J. (2023). Tree Crown Affects Biomass Allocation and Its Response to Site Conditions and the Density of Platycladus orientalis Linnaeus Plantation. Forests, 14(12), 2433. https://doi.org/10.3390/f14122433

