Soil Enzyme Activity Differs among Native Species and Continuously Planted Eucalyptus Plantations
Abstract
:1. Introduction
2. Materials and Methods
2.1. Experimental Sites
2.2. Experimental Design
2.3. Soil Sampling
2.4. Analysis of Enzyme Activity and Microbial Biomass
2.5. Statistics Analyses
3. Results
3.1. Physical Properties, Nutrient Characteristics, and Stoichiometry of Available Nutrients in Soil
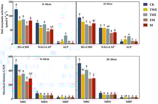
3.2. Activity of Soil Enzymes and Microbial Biomass
3.3. Stoichiometry and Correlation Analysis of Soil Enzymes and Microbial Biomass
3.4. Correlation of Soil Enzyme Activity and Stoichiometry with Soil Properties
4. Discussion
4.1. Activity of Soil Enzymes in Response to Different Transformation Measures
4.2. Assessment of Nutrient Limitation from Soil ES Characteristics
4.3. Key Factors Driving the Alterations in the Activity and Stoichiometric Characteristics of Soil Enzymes
5. Conclusions
Author Contributions
Funding
Data Availability Statement
Conflicts of Interest
References
- Sardans, J.; Peñuelas, J.; Estiarte, M. Changes in Soil Enzymes Related to C and N Cycle and in Soil C and N Content under Prolonged Warming and Drought in a Mediterranean Shrubland. Appl. Soil Ecol. 2008, 39, 223–235. [Google Scholar] [CrossRef]
- Burns, R.G. Soil Enzymes; Academic Press: Cambridge, MA, USA, 1978. [Google Scholar]
- Xu, H.; Qu, Q.; Li, G.; Liu, G.; Geissen, V.; Ritsema, C.J.; Xue, S. Impact of Nitrogen Addition on Plant-Soil-Enzyme C–N–P Stoichiometry and Microbial Nutrient Limitation. Soil Biol. Biochem. 2022, 170, 108714. [Google Scholar] [CrossRef]
- Zhang, W.; Liu, Y.; Geng, M.; Chen, R.; Wang, J.; Xue, B.; Xie, P.; Wang, J. Extracellular Enzyme Stoichiometry Reveals Carbon and Nitrogen Limitations Closely Linked to Bacterial Communities in China’s Largest Saline Lake. Front. Microbiol. 2022, 13, 1002542. [Google Scholar] [CrossRef]
- Wang, M.; Chen, H.; Zhang, W.; Wang, K. Soil Nutrients and Stoichiometric Ratios as Affected by Land Use and Lithology at County Scale in a Karst Area, Southwest China. Sci. Total Environ. 2018, 619–620, 1299–1307. [Google Scholar] [CrossRef] [PubMed]
- Cui, Y.; Fang, L.; Guo, X.; Wang, X.; Zhang, Y.; Li, P.; Zhang, X. Ecoenzymatic Stoichiometry and Microbial Nutrient Limitation in Rhizosphere Soil in the Arid Area of the Northern Loess Plateau, China. Soil Biol. Biochem. 2018, 116, 11–21. [Google Scholar] [CrossRef]
- Wei, X.; Zhu, Z.; Liu, Y.; Luo, Y.; Deng, Y.; Xu, X.; Liu, S.; Richter, A.; Shibistova, O.; Guggenberger, G.; et al. C:N:P Stoichiometry Regulates Soil Organic Carbon Mineralization and Concomitant Shifts in Microbial Community Composition in Paddy Soil. Biol. Fertil. Soils 2020, 56, 1093–1107. [Google Scholar] [CrossRef]
- Lalanne, J.-B.; Taggart, J.C.; Guo, M.S.; Herzel, L.; Schieler, A.; Li, G.-W. Evolutionary Convergence of Pathway-Specific Enzyme Expression Stoichiometry. Cell 2018, 173, 749–761.e38. [Google Scholar] [CrossRef]
- Zhang, W.; Xu, Y.; Gao, D.; Wang, X.; Liu, W.; Deng, J.; Han, X.; Yang, G.; Feng, Y.; Ren, G. Ecoenzymatic Stoichiometry and Nutrient Dynamics along a Revegetation Chronosequence in the Soils of Abandoned Land and Robinia Pseudoacacia Plantation on the Loess Plateau, China. Soil Biol. Biochem. 2019, 134, 1–14. [Google Scholar] [CrossRef]
- Romanyà, J.; Blanco-Moreno, J.M.; Sans, F.X. Phosphorus Mobilization in Low-P Arable Soils May Involve Soil Organic C Depletion. Soil Biol. Biochem. 2017, 113, 250–259. [Google Scholar] [CrossRef]
- Li, Y.; Han, C.; Sun, S.; Zhao, C. Effects of Tree Species and Soil Enzyme Activities on Soil Nutrients in Dryland Plantations. Forests 2021, 12, 1153. [Google Scholar] [CrossRef]
- Sinsabaugh, R.L. Phenol Oxidase, Peroxidase and Organic Matter Dynamics of Soil. Soil Biol. Biochem. 2010, 42, 391–404. [Google Scholar] [CrossRef]
- Moorhead, D.L.; Sinsabaugh, R.L. A theoretical model of litter decay and microbial interaction. Ecol. Monogr. 2006, 76, 151–174. [Google Scholar] [CrossRef]
- Sinsabaugh, R.L.; Lauber, C.L.; Weintraub, M.N.; Ahmed, B.; Allison, S.D.; Crenshaw, C.; Contosta, A.R.; Cusack, D.; Frey, S.; Gallo, M.E.; et al. Stoichiometry of Soil Enzyme Activity at Global Scale: Stoichiometry of Soil Enzyme Activity. Ecol. Lett. 2008, 11, 1252–1264. [Google Scholar] [CrossRef]
- Peng, X.; Wang, W. Stoichiometry of Soil Extracellular Enzyme Activity along a Climatic Transect in Temperate Grasslands of Northern China. Soil Biol. Biochem. 2016, 98, 74–84. [Google Scholar] [CrossRef]
- Fujita, K.; Miyabara, Y.; Kunito, T. Microbial Biomass and Ecoenzymatic Stoichiometries Vary in Response to Nutrient Availability in an Arable Soil. Eur. J. Soil Biol. 2019, 91, 1–8. [Google Scholar] [CrossRef]
- He, Q.; Wu, Y.; Bing, H.; Zhou, J.; Wang, J. Vegetation Type Rather than Climate Modulates the Variation in Soil Enzyme Activities and Stoichiometry in Subalpine Forests in the Eastern Tibetan Plateau. Geoderma 2020, 374, 114424. [Google Scholar] [CrossRef]
- Li, Y.; Nie, C.; Liu, Y.; Du, W.; He, P. Soil Microbial Community Composition Closely Associates with Specific Enzyme Activities and Soil Carbon Chemistry in a Long-Term Nitrogen Fertilized Grassland. Sci. Total Environ. 2019, 654, 264–274. [Google Scholar] [CrossRef]
- Ananbeh, H.; Stojanović, M.; Pompeiano, A.; Voběrková, S.; Trasar-Cepeda, C. Use of Soil Enzyme Activities to Assess the Recovery of Soil Functions in Abandoned Coppice Forest Systems. Sci. Total Environ. 2019, 694, 133692. [Google Scholar] [CrossRef]
- Song, X.; Yang, J.; Hussain, Q.; Liu, X.; Zhang, J.; Cui, D. Stable Isotopes Reveal the Formation Diversity of Humic Substances Derived from Different Cotton Straw-Based Materials. Sci. Total Environ. 2020, 740, 140202. [Google Scholar] [CrossRef]
- Sinsabaugh, R.S. Enzymic Analysis of Microbial Pattern and Process. Biol. Fertil. Soils 1994, 17, 69–74. [Google Scholar] [CrossRef]
- Corrales, A.; Turner, B.L.; Tedersoo, L.; Anslan, S.; Dalling, J.W. Nitrogen Addition Alters Ectomycorrhizal Fungal Communities and Soil Enzyme Activities in a Tropical Montane Forest. Fungal Ecol. 2017, 27, 14–23. [Google Scholar] [CrossRef]
- Yang, X.; Yang, L.; Li, Q.; Li, X.; Xu, G.; Xu, Z.; Jia, Y. Short-Term Responses of Soil Nutrients and Enzyme Activities to Nitrogen Addition in a Larix Principis-Rupprechtii Plantation in North China. Front. Ecol. Evol. 2023, 11, 1105150. [Google Scholar] [CrossRef]
- Groffman, P.M.; Fisk, M.C. Phosphate Additions Have No Effect on Microbial Biomass and Activity in a Northern Hardwood Forest. Soil Biol. Biochem. 2011, 43, 2441–2449. [Google Scholar] [CrossRef]
- Ma, X.; Zhou, Z.; Chen, J.; Xu, H.; Ma, S.; Dippold, M.A.; Kuzyakov, Y. Long-Term Nitrogen and Phosphorus Fertilization Reveals That Phosphorus Limitation Shapes the Microbial Community Composition and Functions in Tropical Montane Forest Soil. Sci. Total Environ. 2023, 854, 158709. [Google Scholar] [CrossRef]
- Wang, C.; Mori, T.; Mao, Q.; Zhou, K.; Wang, Z.; Zhang, Y.; Mo, H.; Lu, X.; Mo, J. Long-Term Phosphorus Addition Downregulates Microbial Investments on Enzyme Productions in a Mature Tropical Forest. J. Soils Sediments 2020, 20, 921–930. [Google Scholar] [CrossRef]
- Du, J.; Hou, F.; Zhou, Q. Response of Soil Enzyme Activity and Soil Bacterial Community to PCB Dissipation across Different Soils. Chemosphere 2021, 283, 131229. [Google Scholar] [CrossRef] [PubMed]
- Chapin, F.S.; Matson, P.A.; Mooney, H.A. Principles of Terrestrial Ecosystem Ecology; Springer: New York, NY, USA, 2002; ISBN 978-0-387-95439-4. [Google Scholar]
- Allison, S.D.; Weintraub, M.N.; Gartner, T.B.; Waldrop, M.P. Evolutionary-Economic Principles as Regulators of Soil Enzyme Production and Ecosystem Function. In Soil Enzymology; Shukla, G., Varma, A., Eds.; Soil Biology; Springer: Berlin/Heidelberg, Germany, 2010; Volume 22, pp. 229–243. ISBN 978-3-642-14224-6. [Google Scholar]
- Dong, C.; Wang, W.; Liu, H.; Xu, X.; Zeng, H. Temperate Grassland Shifted from Nitrogen to Phosphorus Limitation Induced by Degradation and Nitrogen Deposition: Evidence from Soil Extracellular Enzyme Stoichiometry. Ecol. Indic. 2019, 101, 453–464. [Google Scholar] [CrossRef]
- Ren, H.; Lv, C.; Fernández-García, V.; Huang, B.; Yao, J.; Ding, W. Biochar and PGPR Amendments Influence Soil Enzyme Activities and Nutrient Concentrations in a Eucalyptus Seedling Plantation. Biomass Conv. Bioref. 2021, 11, 1865–1874. [Google Scholar] [CrossRef]
- Ren, H.; Qin, X.; Huang, B.; Fernández-García, V.; Lv, C. Responses of Soil Enzyme Activities and Plant Growth in a Eucalyptus Seedling Plantation Amended with Bacterial Fertilizers. Arch. Microbiol. 2020, 202, 1381–1396. [Google Scholar] [CrossRef]
- Zeng, Z.; Mao, C.; Li, W.; Yang, M.; Liu, S. Effects of stand modification on soil trace elements in Eucalyptus plantations. J. For. Environ. 2022, 42, 253–261. [Google Scholar] [CrossRef]
- Luo, L. Studied on Biomass Productivities, Nutrient Characteristics and Carbon Storages of Manglietla Glauca Plantation at First-Growing Stage. Master Thesis, Guangxi University, Nanning, China, 2012. [Google Scholar]
- Chen, G. Study on mixed afforestation of Eucalyptus ssp. and Magnolia glauca Blume. J. Mt. Agric. Biol. 2018, 37, 62–66. [Google Scholar] [CrossRef]
- Xu, Y.; Du, A.; Wang, Z.; Zhu, W.; Li, C.; Wu, L. Effects of Different Rotation Periods of Eucalyptus Plantations on Soil Physiochemical Properties, Enzyme Activities, Microbial Biomass and Microbial Community Structure and Diversity. For. Ecol. Manag. 2020, 456, 117683. [Google Scholar] [CrossRef]
- Zhong, J.; Pan, P.; Xiao, S.; Ouyang, X. Influence of Eucalyptus Plantation on Soil Organic Carbon and Its Fractions in Severely Degraded Soil in Leizhou Peninsula, China. Forests 2022, 13, 1606. [Google Scholar] [CrossRef]
- Maillard, F.; Leduc, V.; Bach, C.; De Moraes Gonçalves, J.L.; Androte, F.D.; Saint-André, L.; Laclau, J.-P.; Buée, M.; Robin, A. Microbial Enzymatic Activities and Community-Level Physiological Profiles (CLPP) in Subsoil Layers Are Altered by Harvest Residue Management Practices in a Tropical Eucalyptus Grandis Plantation. Microb. Ecol. 2019, 78, 528–533. [Google Scholar] [CrossRef]
- Zhou, X.; Zhu, H.; Wen, Y.; Goodale, U.M.; Zhu, Y.; Yu, S.; Li, C.; Li, X. Intensive Management and Declines in Soil Nutrients Lead to Serious Exotic Plant Invasion in Eucalyptus Plantations under Successive Short-rotation Regimes. Land Degrad. Dev. 2020, 31, 297–310. [Google Scholar] [CrossRef]
- Zhu, L.; Wang, J.; Weng, Y.; Chen, X.; Wu, L. Soil Characteristics of Eucalyptus Urophylla × Eucalyptus Grandis Plantations under Different Management Measures for Harvest Residues with Soil Depth Gradient across Time. Ecol. Indic. 2020, 117, 106530. [Google Scholar] [CrossRef]
- Wei, S.; Tan, J.; Zhu, X.; Qin, W.; Deng, L.; Zhang, L. Growth regularity of Manglietia glauca plantation growing in Nanning. J. Northwest For. Univ. 2011, 26, 5. [Google Scholar]
- Xu, Y.; Ren, S.; Liang, Y.; Du, A.; Li, C.; Wang, Z.; Zhu, W.; Wu, L. Soil Nutrient Supply and Tree Species Drive Changes in Soil Microbial Communities during the Transformation of a Multi-Generation Eucalyptus Plantation. Appl. Soil Ecol. 2021, 166, 103991. [Google Scholar] [CrossRef]
- Agriculture Dept (U S). Soil Survey Staff Keys to Soil Taxonomy (Eleventh Edition); USDA-Natural Resources Conservation Service: Washington, DC, USA, 2010.
- Feng, X.; Zhang, L.; Zhao, F.; Bai, H.; Doughty, R. Effects of Mixing Feldspathic Sandstone and Sand on Soil Microbial Biomass and Extracellular Enzyme Activities—A Case Study in Mu Us Sandy Land in China. Appl. Sci. 2019, 9, 3963. [Google Scholar] [CrossRef]
- Gozukara, G.; Altunbas, S.; Dengiz, O.; Adak, A. Assessing the Effect of Soil to Water Ratios and Sampling Strategies on the Prediction of EC and pH Using pXRF and Vis-NIR Spectra. Comput. Electron. Agric. 2022, 203, 107459. [Google Scholar] [CrossRef]
- Walkley, A. An Examination of Methods for Determining Organic Carbon and Nitrogen in Soils. (With One Text-Figure.). J. Agric. Sci. 1935, 25, 598–609. [Google Scholar] [CrossRef]
- Li, S.; Zheng, X.; Liu, C.; Yao, Z.; Zhang, W.; Han, S. Influences of Observation Method, Season, Soil Depth, Land Use and Management Practice on Soil Dissolvable Organic Carbon Concentrations: A Meta-Analysis. Sci. Total Environ. 2018, 631–632, 105–114. [Google Scholar] [CrossRef] [PubMed]
- Lu, K. Analytical Methods of Soil and Agricultural Chemistry; China Agricultural Science and Technology Press: Beijing, China, 1999. [Google Scholar]
- Sommers, L.E. Chemical Analysis of Ecological Materials. Soil Sci. Soc. Am. J. 1977, 41, vi–viii. [Google Scholar] [CrossRef]
- Page, A.L. Methods of Soil Analysis: Part 2 Chemical and Microbiological Properties; Agronomy Monographs; Soil Science Society of America: Madison, WI, USA, 1982. [Google Scholar]
- Marx, M.C.; Wood, M.; Jarvis, S.C. A Microplate Fluorimetric Assay for the Study of Enzyme Diversity in Soils. Soil Biol. Biochem. 2001, 33, 1633–1640. [Google Scholar] [CrossRef]
- Moorhead, D.L.; Sinsabaugh, R.L.; Hill, B.H.; Weintraub, M.N. Vector Analysis of Ecoenzyme Activities Reveal Constraints on Coupled C, N and P Dynamics. Soil Biol. Biochem. 2016, 93, 1–7. [Google Scholar] [CrossRef]
- Brookes, P.C.; Landman, A.; Pruden, G.; Jenkinson, D.S. Chloroform Fumigation and the Release of Soil Nitrogen: A Rapid Direct Extraction Method to Measure Microbial Biomass Nitrogen in Soil—ScienceDirect. Soil Biol. Biochem. 1985, 17, 837–842. [Google Scholar] [CrossRef]
- Cenini, V.L.; Fornara, D.A.; McMullan, G.; Ternan, N.; Carolan, R.; Crawley, M.J.; Clément, J.-C.; Lavorel, S. Linkages between Extracellular Enzyme Activities and the Carbon and Nitrogen Content of Grassland Soils. Soil Biol. Biochem. 2016, 96, 198–206. [Google Scholar] [CrossRef]
- Geng, Y.; Wang, D.; Yang, W. Effects of Different Inundation Periods on Soil Enzyme Activity in Riparian Zones in Lijiang. Catena 2017, 149, 19–27. [Google Scholar] [CrossRef]
- Liu, D.; Huang, Y.; Sun, H.; An, S. The Restoration Age of Robinia Pseudoacacia Plantation Impacts Soil Microbial Biomass and Microbial Community Structure in the Loess Plateau. Catena 2018, 165, 192–200. [Google Scholar] [CrossRef]
- Xiong, Y.; Yu, B.; Bai, M.; Zhang, X.; Huang, G.; Furman, A. Soil Properties and Plant Growth Response to Litter in a Prolonged Enclosed Grassland of Loess Plateau, China. J. Earth Sci. 2019, 30, 1041–1048. [Google Scholar] [CrossRef]
- Allison, S.D.; Vitousek, P.M. Responses of Extracellular Enzymes to Simple and Complex Nutrient Inputs. Soil Biol. Biochem. 2005, 37, 937–944. [Google Scholar] [CrossRef]
- Wang, B.; Liu, G.; Xue, S. Effect of Black Locust (Robinia pseudoacacia) on Soil Chemical and Microbiological Properties in the Eroded Hilly Area of China’s Loess Plateau. Environ. Earth Sci. 2012, 65, 597–607. [Google Scholar] [CrossRef]
- Allison, V.J.; Condron, L.M.; Peltzer, D.A.; Richardson, S.J.; Turner, B.L. Changes in Enzyme Activities and Soil Microbial Community Composition along Carbon and Nutrient Gradients at the Franz Josef Chronosequence, New Zealand. Soil Biol. Biochem. 2007, 39, 1770–1781. [Google Scholar] [CrossRef]
- Chen, W.; Guo, X.; Guo, Q.; Tan, X.; Wang, Z. Long-Term Chili Monoculture Alters Environmental Variables Affecting the Dominant Microbial Community in Rhizosphere Soil. Front. Microbiol. 2021, 12, 681953. [Google Scholar] [CrossRef]
- Chapin, F.S.; Matson, P.A.; Vitousek, P.M. Nutrient Cycling. In Principles of Terrestrial Ecosystem Ecology; Springer: New York, NY, USA, 2012; pp. 259–296. [Google Scholar] [CrossRef]
- Rodríguez, H.; Fraga, R. Phosphate Solubilizing Bacteria and Their Role in Plant Growth Promotion. Biotechnol. Adv. 1999, 17, 319–339. [Google Scholar] [CrossRef]
- Craine, J.M.; Morrow, C.; Fierer, N. Microbial nitrogen limitation increases decomposition. Ecology 2007, 88, 2105–2113. [Google Scholar] [CrossRef]
- Marklein, A.R.; Houlton, B.Z. Nitrogen Inputs Accelerate Phosphorus Cycling Rates across a Wide Variety of Terrestrial Ecosystems. New Phytol. 2012, 193, 696–704. [Google Scholar] [CrossRef]
- Wang, J.; Hu, H.; Zhou, M.; Wu, C.; Zhu, L. Soil stoichiometric characteristics of different plantations in the north subtropical region. J. For. Environ. 2023, 43, 68–75. [Google Scholar] [CrossRef]
- Sterner, R.W.; Elser, J.J. Ecological Stoichiometry: Biology of Elements from Molecules to the Biosphere; Princeton University Press: Princeton, NJ, USA, 2003; Volume 25, p. 1183. [Google Scholar] [CrossRef]
- Mooshammer, M.; Wanek, W.; Zechmeister-Boltenstern, S.; Richter, A. Stoichiometric Imbalances between Terrestrial Decomposer Communities and Their Resources: Mechanisms and Implications of Microbial Adaptations to Their Resources. Front. Microbiol. 2014, 5, 22. [Google Scholar] [CrossRef]
- Liu, L. Microbial Resource Limitation Status and Its Influencing Factors in Chongming Dongtan Wetland Sediment. Ph.D. Thesis, East China Normal University, Shanghai, China, 2023. [Google Scholar]
- Pereira, A.P.D.A.; Araujo, A.S.F.; Santana, M.C.; Lima, A.Y.V.; Araujo, V.L.V.P.D.; Verma, J.P.; Cardoso, E.J.B.N. Enzymatic Stoichiometry in Tropical Soil under Pure and Mixed Plantations of Eucalyptus with N2-Fixing Trees. Sci. Agric. (Piracicaba Braz.) 2023, 80, e20210283. [Google Scholar] [CrossRef]
- Hattori, D.; Kenzo, T.; Shirahama, T.; Harada, Y.; Kendawang, J.J.; Ninomiya, I.; Sakurai, K. Degradation of Soil Nutrients and Slow Recovery of Biomass Following Shifting Cultivation in the Heath Forests of Sarawak, Malaysia. For. Ecol. Manag. 2019, 432, 467–477. [Google Scholar] [CrossRef]
- Moorhead, D.; Rinkes, Z.; Sinsabaugh, R.; Weintraub, M. Dynamic Relationships between Microbial Biomass, Respiration, Inorganic Nutrients and Enzyme Activities: Informing Enzyme-Based Decomposition Models. Front. Microbiol. 2013, 4, 223. [Google Scholar] [CrossRef] [PubMed]
- Xie, X.; Pu, L.; Wang, Q.; Zhu, M.; Xu, Y.; Zhang, M. Response of Soil Physicochemical Properties and Enzyme Activities to Long-Term Reclamation of Coastal Saline Soil, Eastern China. Sci. Total Environ. 2017, 607–608, 1419–1427. [Google Scholar] [CrossRef] [PubMed]
- Bowles, T.M.; Acosta-Martínez, V.; Calderón, F.; Jackson, L.E. Soil Enzyme Activities, Microbial Communities, and Carbon and Nitrogen Availability in Organic Agroecosystems across an Intensively-Managed Agricultural Landscape. Soil Biol. Biochem. 2014, 68, 252–262. [Google Scholar] [CrossRef]
- Sinsabaugh, R.L.; Moorhead, D.L. Resource Allocation to Extracellular Enzyme Production: A Model for Nitrogen and Phosphorus Control of Litter Decomposition. Soil Biol. Biochem. 1994, 26, 1305–1311. [Google Scholar] [CrossRef]
- Xiao, W.; Chen, X.; Jing, X.; Zhu, B. A Meta-Analysis of Soil Extracellular Enzyme Activities in Response to Global Change. Soil Biol. Biochem. 2018, 123, 21–32. [Google Scholar] [CrossRef]
- Kivlin, S.N.; Treseder, K.K. Soil Extracellular Enzyme Activities Correspond with Abiotic Factors More than Fungal Community Composition. Biogeochemistry 2014, 117, 23–37. [Google Scholar] [CrossRef]
- Sinsabaugh, R.L.; Hill, B.H.; Follstad Shah, J.J. Ecoenzymatic Stoichiometry of Microbial Organic Nutrient Acquisition in Soil and Sediment. Nature 2009, 462, 795–798. [Google Scholar] [CrossRef]
- Turner, B.L. Variation in pH Optima of Hydrolytic Enzyme Activities in Tropical Rain Forest Soils. Appl. Environ. Microbiol. 2010, 76, 6485–6493. [Google Scholar] [CrossRef]
- Xu, Z.; Yu, G.; Zhang, X.; He, N.; Wang, Q.; Wang, S.; Wang, R.; Zhao, N.; Jia, Y.; Wang, C. Soil Enzyme Activity and Stoichiometry in Forest Ecosystems along the North-South Transect in Eastern China (NSTEC). Soil Biol. Biochem. 2017, 104, 152–163. [Google Scholar] [CrossRef]




| Soil Variable | Unit | CK | TWE | THE | EM | M | |
|---|---|---|---|---|---|---|---|
| 0~10 cm | SWC | % | 31.81 ± 2.65 A | 24.17 ± 1.65 B | 22.16 ± 1.20 B | 18.48 ± 0.68 B | 17.66 ± 1.89 B | 
| SBD | g/cm3 | 1.16 ± 0.03 Ab | 1.00 ± 0.04 Bb | 1.01 ± 0.03 Bb | 1.05 ± 0.05 AB | 1.06 ± 0.04 AB | |
| pH | --- | 3.99 ± 0.05 | 4.14 ± 0.03 | 3.97 ± 0.04 | 3.89 ± 0.03 b | 4.10 ± 0.03 a | |
| SOM | g/kg | 99.75 ± 4.40 Aa | 50.84 ± 1.78 Ca | 61.60 ± 3.14 Ba | 67.28 ± 2.49 Ba | 65.68 ± 2.71 Ba | |
| DOC | mg/kg | 646.31 ± 20.76 Aa | 314.96 ± 9.12 Ca | 331.06 ± 7.76 Ca | 397.02 ± 13.97 Ba | 376.70 ± 17.30 Ba | |
| TN | g/kg | 3.48 ± 0.12 Aa | 1.80 ± 0.04 Ca | 1.92 ± 0.02 Ca | 2.39 ± 0.09 Ba | 2.23 ± 0.09 Ba | |
| NN | mg/kg | 46.48 ± 2.45 Aa | 17.15 ± 0.94 Ca | 29.56 ± 1.08 Ba | 29.31 ± 1.49 Ba | 20.71 ± 1.05 Ca | |
| AN | mg/kg | 11.48 ± 0.49 A | 11.18 ± 0.30 A | 11.24 ± 0.65 Aa | 9.44 ± 0.17 Ba | 7.51 ± 0.53 C | |
| AP | mg/kg | 21.11 ± 0.67 Aa | 12.31 ± 0.55 Ca | 10.61 ± 0.40 Ca | 20.32 ± 1.35 ABa | 18.19 ± 0.93 Ba | |
| TP | g/kg | 0.35 ± 0.01 B | 0.37 ± 0.01 Ba | 0.50 ± 0.03 Aa | 0.46 ± 0.01 Aa | 0.39 ± 0.01 B | |
| 10~20 cm | SWC | % | 27.89 ± 2.42 A | 24.49 ± 1.62 AB | 20.75 ± 0.53 BC | 17.44 ± 0.80 C | 18.78 ± 1.25 BC | 
| SBD | g/cm3 | 1.25 ± 0.02 Aa | 1.09 ± 0.04 Ba | 1.08 ± 0.03 Bb | 1.06 ± 0.03 B | 1.11 ± 0.02 B | |
| pH | --- | 4.09 ± 0.10 | 4.10 ± 0.03 | 4.03 ± 0.06 | 3.95 ± 0.02 a | 4.03 ± 0.02 b | |
| SOM | g/kg | 52.18 ± 3.80 Ab | 37.97 ± 1.43 Bb | 39.21 ± 2.21 Bb | 46.62 ± 3.51 ABb | 42.93 ± 2.47 Bb | |
| DOC | mg/kg | 342.43 ± 12.64 Ab | 215.58 ± 7.80 Cb | 215.58 ± 9.47 Cb | 285.64 ± 9.25 Bb | 237.54 ± 7.03 Cb | |
| TN | g/kg | 2.03 ± 0.12 Ab | 1.43 ± 0.04 Cb | 1.39 ± 0.02 Cb | 1.68 ± 0.05 Bb | 1.44 ± 0.04 Cb | |
| NN | mg/kg | 23.19 ± 1.66 Ab | 12.93 ± 0.56 Cb | 15.29 ± 0.64 Bb | 20.51 ± 1.24 Ab | 15.44 ± 0.52 Bb | |
| AN | mg/kg | 10.77 ± 0.76 A | 9.95 ± 0.53 Ab | 9.83 ± 0.45 Ab | 8.17 ± 0.36 Bb | 7.41 ± 0.43 B | |
| AP | mg/kg | 12.59 ± 0.39 Ab | 9.86 ± 0.27 Bb | 5.97 ± 0.42 Cb | 11.96 ± 0.64 Ab | 11.17 ± 0.97 Ab | |
| TP | g/kg | 0.31 ± 0.03 D | 0.34 ± 0.01 CDb | 0.45 ± 0.02 Ab | 0.41 ± 0.01 ABb | 0.37 ± 0.01 BC | |
| Disclaimer/Publisher’s Note: The statements, opinions and data contained in all publications are solely those of the individual author(s) and contributor(s) and not of MDPI and/or the editor(s). MDPI and/or the editor(s) disclaim responsibility for any injury to people or property resulting from any ideas, methods, instructions or products referred to in the content. | 
© 2023 by the authors. Licensee MDPI, Basel, Switzerland. This article is an open access article distributed under the terms and conditions of the Creative Commons Attribution (CC BY) license (https://creativecommons.org/licenses/by/4.0/).
Share and Cite
Cheng, Y.; Du, A.; Wang, Z.; Zhu, W.; Ren, S.; Xu, Y.; Ren, S. Soil Enzyme Activity Differs among Native Species and Continuously Planted Eucalyptus Plantations. Forests 2023, 14, 2210. https://doi.org/10.3390/f14112210
Cheng Y, Du A, Wang Z, Zhu W, Ren S, Xu Y, Ren S. Soil Enzyme Activity Differs among Native Species and Continuously Planted Eucalyptus Plantations. Forests. 2023; 14(11):2210. https://doi.org/10.3390/f14112210
Chicago/Turabian StyleCheng, Yajun, Apeng Du, Zhichao Wang, Wankuan Zhu, Shiqi Ren, Yuxing Xu, and Shifu Ren. 2023. "Soil Enzyme Activity Differs among Native Species and Continuously Planted Eucalyptus Plantations" Forests 14, no. 11: 2210. https://doi.org/10.3390/f14112210
APA StyleCheng, Y., Du, A., Wang, Z., Zhu, W., Ren, S., Xu, Y., & Ren, S. (2023). Soil Enzyme Activity Differs among Native Species and Continuously Planted Eucalyptus Plantations. Forests, 14(11), 2210. https://doi.org/10.3390/f14112210
 
        
 
       