Selection of the Optimal Timber Harvest Based on Optimizing Stand Spatial Structure of Broadleaf Mixed Forests
Abstract
:1. Introduction
2. Methods
2.1. Study Site
2.2. Stand Spatial Structure Optimization
2.2.1. A Transition Matrix Growth Model
2.2.2. Optimization Formulations
3. Results
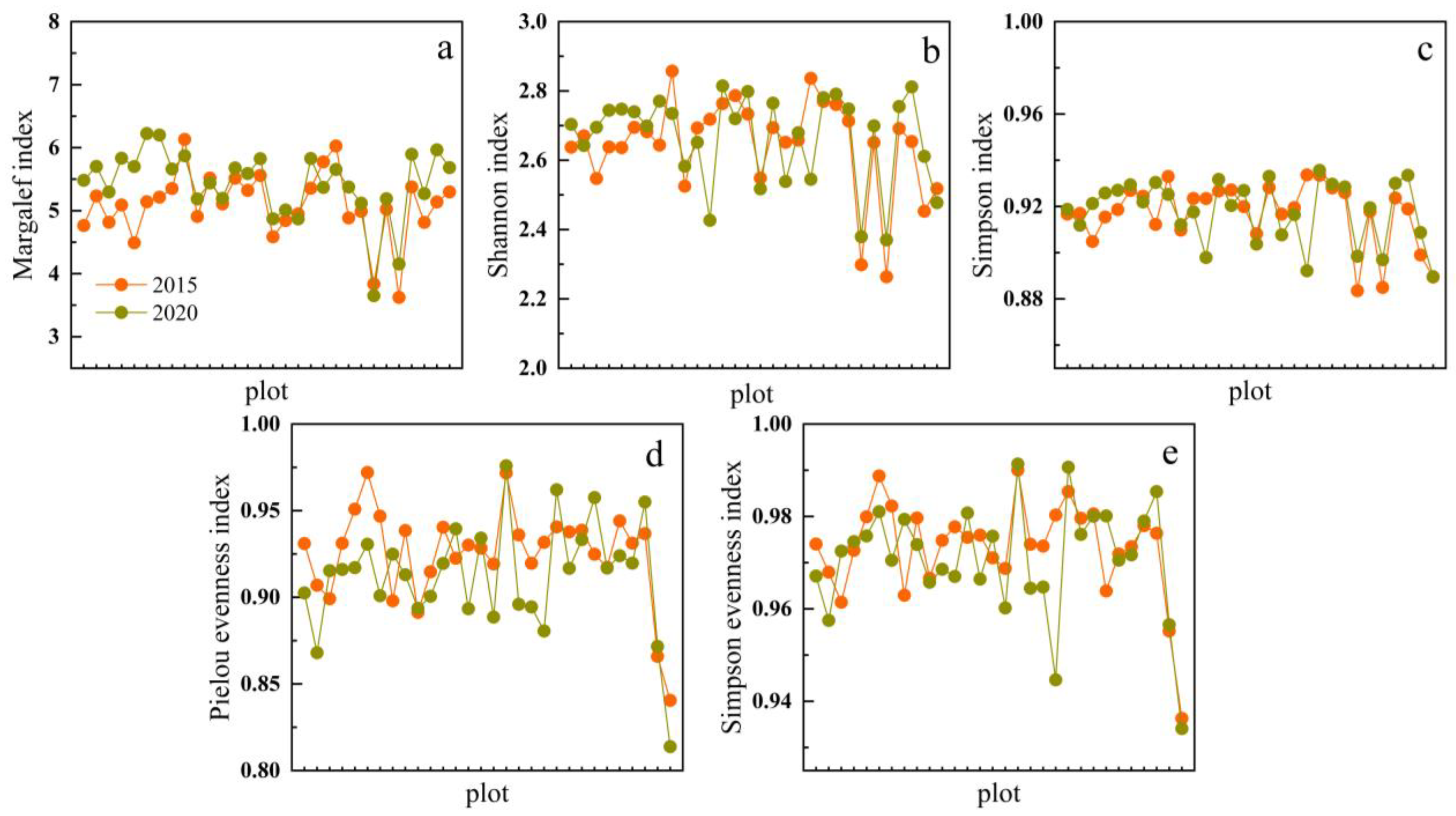
3.1. Dynamic Analysis of Stand Structure
3.2. A Variable Transition Matrix Growth Model
3.3. Stand Spatial Structure Optimization
4. Discussion
5. Conclusions
Author Contributions
Funding
Data Availability Statement
Conflicts of Interest
References
- Dong, L.; Jin, X.; Pukkala, T. How to manage mixed secondary forest in a sustainable way? Eur. J. For. Res. 2019, 138, 789–801. [Google Scholar] [CrossRef]
- Ikonen, V.P.; Kellomäki, S.; Peltola, H. Sawn timber properties of Scots pine as affected by initial stand density, thinning and pruning: A simulation-based approach. Silva Fenn. 2009, 43, 411–431. [Google Scholar] [CrossRef]
- Joerg, R.; Ladislav, K.; Michal, B. Finding equilibrium in continuous-cover forest management sensitive to interest rates using an advanced matrix transition model. J. For. Econ. 2018, 33, 83–94. [Google Scholar] [CrossRef]
- Choi, J.; An, H. A Forest Growth Model for the Natural Broadleaved Forests in Northeastern Korea. Forests 2016, 7, 288. [Google Scholar] [CrossRef]
- Hao, Q.; Meng, F.; Zhou, Y. Determining the optimal selective harvest strategy for mixed-species stands with a transition matrix growth model. New For. 2005, 29, 207–219. [Google Scholar] [CrossRef]
- Roberts, M.R.; Hruska, A.J. Predicting diameter distributions: A test of the stationary Markov model. Can. J. For. Res. 1986, 16, 130–135. [Google Scholar] [CrossRef]
- Roitman, I.; Vanclay, J.K. Assessing size–class dynamics of a neotropical gallery forest with stationary models. Ecol. Model. 2015, 297, 118–125. [Google Scholar] [CrossRef]
- Liang, J.J.; Picard, N. Matrix Model of Forest Dynamics: An Overview and Outlook. For. Sci. 2013, 59, 359–378. [Google Scholar] [CrossRef]
- Lexerød, N.L.; Eid, T. An evaluation of different diameter diversity indices based on criteria related to forest management planning. For. Ecol. Manag. 2006, 222, 17–28. [Google Scholar] [CrossRef]
- Wang, H.; Peng, H.; Hui, G. Large trees are surrounded by more heterospecific neighboring trees in Korean pine broad-leaved natural forests. Sci. Rep. 2018, 8, 9149. [Google Scholar] [CrossRef] [PubMed]
- Gadow, K.V.; Zhang, C.V.; Wehenkel, C. Forest Structure and Diversity; Springer: Dordrecht, The Netherlands, 2012. [Google Scholar] [CrossRef]
- Macarthur, R.H.; Macarthur, J.W. On bird species diversity. Ecology 1961, 42, 594–598. [Google Scholar] [CrossRef]
- Liu, N.; Wang, H.; Nan, H. Structural Diversity Closely associated with Canopy Species Diversity and Stand Age in Species-Poor Montane Forests on Loess Plateau of China. Pol. J. Ecol. 2017, 65, 183–193. [Google Scholar] [CrossRef]
- Hui, G.Y.; Hu, Y.B.; Liu, R.H. Methods of Analyzing Stand Spatial Dominance in Forest Observational Studies. Res. Inst. For. 2019, 2, 12. (In Chinese) [Google Scholar]
- Ghalandarayeshi, S.; Nord-Larsen, T.; Johannsen, V.K. Spatial patterns of tree species in Suserup Skov -a semi-natural forest in Denmark. For. Ecol. Manag. 2017, 406, 391–401. [Google Scholar] [CrossRef]
- Dong, L.; Wei, H.; Liu, Z. Optimizing Forest Spatial Structure with Neighborhood-Based Indices: Four Case Studies from Northeast China. Forests 2020, 11, 413. [Google Scholar] [CrossRef]
- Li, Y.; Hui, G.; Wang, H. Selection priority for harvested trees according to stand structural indices. iForest-Biogeosci. For. 2017, 10, 561–566. [Google Scholar] [CrossRef]
- Dong, L.; Bettinger, P.; Liu, Z. Optimizing neighborhood-based stand spatial structure: Four cases of boreal forests. For. Ecol. Manag. 2022, 506, 119965. [Google Scholar] [CrossRef]
- Tobin, J. Estimation of Relationships for Limited Dependent Variables. Econometrica 1958, 26, 24–36. [Google Scholar] [CrossRef]
- Liang, J.; Zhou, M.; Verbyla, D.L.; Zhang, L.; Springsteen, A.L.; Malone, T. Mapping forest dynamics under climate change: A matrix model. For. Ecol. Manag. 2011, 262, 2250–2262. [Google Scholar] [CrossRef]
- Hui, G.Y.; Hu, Y.B. Measuring Species Spatial Isolation in Mixed Forests. For. Res. 2001, 14, 23–27. (In Chinese) [Google Scholar]
- Hui, G.Y.; Klaus, V.G.; Matthias, A. The neighborhood pattern—A new structure parameter for describing distribution of forest tree potation. Sci. Silvae Sin. 1999, 35, 37–42. (In Chinese) [Google Scholar]
- Zhao, Z.H.; Hui, G.Y.; Hu, Y.B.; Li, Y.F.; Wang, H.X. Method and application of stand spatial advantage degree based on the neighborhood comparison. Beijing For. Univ. 2014, 36, 78–82. (In Chinese) [Google Scholar]
- Kvålseth, T.O. Note on biological diversity, evenness, and homogeneity measures. Oikos 1991, 62, 123–127. [Google Scholar] [CrossRef]
- Gadow, K.V.; Hui, G.Y. Modelling Forest Development. For. Sci. 1999, 57, 1146–1158. [Google Scholar]
- He, L.Y.; Kang, X.G.; Zhao, J.H.; Gao, Y. Diameter class diversity indices for spruce-fir conifer and broadleaf mixed stands in the Chang bai Mountains. J. Zhejiang AF Univ. 2011, 28, 432–438. (In Chinese) [Google Scholar]
- State Forestry Bureau. Technical Provisions for Continuous Inventory of State Forest Resources. State Forestry Bureau: Beijing, China, 2014. Available online: https://www.renrendoc.com/paper/240200486.html (accessed on 10 January 2023).
- Kang, X.G. Forest Management; China Forestry Publishing House: Beijing, China, 2010. (In Chinese) [Google Scholar]
- Podlaski, R. Forest modelling: The gamma shape mixture model and simulation of tree diameter distributions. Ann. For. Sci. 2017, 74, 29. [Google Scholar] [CrossRef]
- Zhang, G.G.; Liu, R.H.; Hui, G.Y.; Zhang, G.Q.; Zhao, Z.H.; Hu, Y.B. N-variate distribution, and its annotation on forest spatial structural parameters: A case study of Quercus aliena var. acuteserrata natural mixed forest in Xiaolong Mountains, Gansu Province of northwestern China. J. Beijing For. Univ. 2019, 41, 21–31. [Google Scholar] [CrossRef]
- Pldveer, E.; Korjus, H.; Kiviste, A. Assessment of spatial stand structure of hemi boreal conifer dominated forests according to different levels of naturalness-ScienceDirect. Ecol. Indic. 2020, 110, 105944. [Google Scholar] [CrossRef]
- Wang, H.X.; Huang, S.X.; Zhang, S.S. Localized neighborhood species mingling is correlated with individual tree size inequality in natural forests in South China. Ann. For. Sci. 2021, 78, 102. [Google Scholar] [CrossRef]
- Fichtner, A.; Härdtle, W.; Bruelheide, H. Neighbourhood interactions drive overyielding in mixed-species tree communities. Nat. Commun. 2018, 9, 1144. [Google Scholar] [CrossRef] [PubMed]
- Young, B.; Liang, J.; Iii, F. Effects of species and tree size diversity on recruitment in the alaskan boreal forest: A geospatial approach. For. Ecol. Manag. 2011, 262, 1608–1617. [Google Scholar] [CrossRef]
- Leiterer, R.; Furrer, R.; Schaepman, M.E.; Morsdorf, F. Forest canopy-structure characterization: A data-driven approach. For. Ecol. Manag. 2015, 358, 48–61. [Google Scholar] [CrossRef]
- Brown, C.; Law, R.; Illian, J.B. Linking ecological processes with spatial and non-spatial patterns in plant communities. J. Ecol. 2011, 99, 1402–1414. [Google Scholar] [CrossRef]
- Peet, R.K.; Christensen, N.L. Competition and tree death. Bioscience 1987, 37, 586–595. [Google Scholar] [CrossRef]
- Varga, P.; Chen, H.Y.H.; Klinka, K. Tree-size diversity between single- and mixed-species stands in three forest types in western Canada. Can. J. For. Res. 2005, 35, 593–601. [Google Scholar] [CrossRef]
- Ou, Y.S.; Xiang, W.; Wang, X. Effects of stand age, richness and density on productivity in subtropical forests in China. J. Ecol. 2019, 107, 2266–2277. [Google Scholar] [CrossRef]
- Dieler, J.; Uhl, E.; Biber, P. Effect of forest stand management on species composition, structural diversity, and productivity in the temperate zone of Europe. Eur. J. For. Res. 2017, 136, 739–766. [Google Scholar] [CrossRef]
- Zhao, A.; Huth, A.; Pohl, F.; Rebmann, C.; Fischer, R. Carbon Sequestration in Mixed Deciduous Forests: The Influence of Tree Size and Species Composition Derived from Model Experiments. Forests 2021, 12, 726. [Google Scholar] [CrossRef]
- Zhang, Y.; Chen, H.Y.H. Individual size inequality links forest diversity and above-ground biomass. J. Ecol. 2015, 103, 1245–1252. [Google Scholar] [CrossRef]
- Tian, G.; Marcus, H.; Tobias, E.; Anders, B.N. The role of forest stand structure as biodiversity indicator. For. Ecol. Manag. 2014, 330, 82–93. [Google Scholar] [CrossRef]
- Ou, Y.S.; Xiang, W.; Gou, M. Stability in subtropical forests: The role of tree species diversity, stand structure, environmental and socio-economic conditions. Glob. Ecol. Biogeogr. 2021, 30, 500–513. [Google Scholar] [CrossRef]
- Zhang, Y.; Chen HY, H.; Reich, P.B. Forest productivity increases with evenness, species richness and trait variation: A global meta-analysis. J. Ecol. 2012, 100, 742–749. [Google Scholar] [CrossRef]
- Du, X.; Wang, X.; Meng, J. A Climate-Sensitive Transition Matrix Growth Model for Masson Pine (Pinus massoniana Lamb.) Natural Forests in Hunan Province, South-Central China. Forests 2023, 14, 1539. [Google Scholar] [CrossRef]
- Lopez Torres, I.; Perez, S.O.; Robredo, F.G.; Belda, C.F. Optimizing the management of uneven-aged Pinusnigra stands between two stable positions. iForest-Biogeosci. For. 2016, 9, 599–607. [Google Scholar] [CrossRef]






| Plot | Mean Elevation (m) | Slope (°) | Slope Position | Slope Aspect | Number of Species |
|---|---|---|---|---|---|
| 1 | 367 | <5 | Down | South | 12 |
| 2 | 357 | <15 | Medium | South | 13 |
| 3 | 459 | <15 | Up | South | 13 |
| 4 | 457 | <15 | Down | South | 11 |
| 5 | 359 | <5 | Medium | South | 12 |
| 6 | 371 | <5 | Medium | South | 14 |
| 7 | 375 | <5 | Up | South | 13 |
| 8 | 469 | <5 | Up | South | 9 |
| 9 | 475 | <5 | Up | South | 8 |
| 10 | 503 | <5 | Medium | South | 10 |
| 11 | 490 | <5 | Medium | East | 10 |
| 12 | 522 | <5 | Medium | East | 12 |
| 13 | 542 | <5 | Down | South | 10 |
| 14 | 491 | <15 | Down | South | 7 |
| 15 | 501 | <5 | Up | South | 7 |
| 16 | 444 | <15 | Up | South | 11 |
| 17 | 469 | <5 | Up | South | 8 |
| 18 | 465 | <5 | Medium | North | 9 |
| 19 | 415 | <5 | Medium | North | 10 |
| 20 | 396 | <5 | Medium | South | 13 |
| 21 | 363 | <5 | Flat | None | 12 |
| 22 | 402 | <5 | Down | North | 8 |
| 23 | 413 | <15 | Medium | North | 10 |
| 24 | 314 | <15 | Medium | None | 13 |
| 25 | 408 | <15 | Medium | North | 12 |
| 26 | 414 | <15 | Medium | Southwest | 9 |
| 27 | 417 | <15 | Medium | Northwest | 12 |
| 28 | 345 | <15 | Medium | North | 10 |
| 29 | 320 | <5 | Medium | None | 8 |
| 30 | 303 | <5 | Down | None | 6 |
| Variables | Definition | ||
|---|---|---|---|
| Variables in 5 years (2015–2020) | G | Tree diameter growth during five years | |
| R | Number of trees recruited to the minimum diameter class during five years | ||
| Mr | The mortality rate of a live tree during five years; 1 for dead tree and 0 for alive tree | ||
| Stand variables | DBH | Diameter at breast height | |
| DBH2 | Square of diameter at breast height | ||
| NDD | Number of trees per hectare | ||
| BA | Stand basal area | ||
| Dg | Average diameter at breast height | ||
| B | Overall basal area of trees larger than the object tree | ||
| Dm | Maximum diameter at breast height | ||
| Diversity variable | H1 | Tree species diversity b | |
| H2 | Tree size diversity | ||
| Site variables | Aspect | Plot aspect; north as 0, west as 90, south as 180, and east as 270(°) | |
| Slope a | Plot slope | ||
| Index | Formula | Definition |
|---|---|---|
| Complete mingling index (Mc) | where is isolation for nearest neighbor tree species; is the number of different species in adjacent pairs of all neighboring trees; is the number of the nearest neighboring trees; is the Simpson index of the spatial structure unit i, ; is tree species of the spatial structure unit I; is proportion of trees of the jth species; is a simple mingling index, , , if reference tree i and its neighbor tree j are of dierent tree species, otherwise, | |
| Uniform angle index (W) | Where α is the angle of two neighbor trees of the spatial structure unit, if the angle α of two neighbor trees; | |
| Dominance index (U) | where zij takes the value 1 if the jth neighbor(dj) is smaller than the reference tree i(di), and the value 0, otherwise, |
| Index | Formula | |
|---|---|---|
| Range of diameter index | Margalef index | |
| Shannon index | ||
| Dominance Index | Simpson index | |
| Evenness index | Pielou evenness index | |
| Simpson evenness index | ||
| Index Value | 2015 (Year) | 2020 (Year) | Range | |
|---|---|---|---|---|
| Number of plots | 30 | 30 | - | |
| Number (N/hm) | 1810 | 1911 | - | |
| Spatial structural index | Mc-index | 0.494 | 0.512 | 0.19~0.71 |
| W-index | 0.541 | 0.536 | 0.48~0.59 | |
| U-index | 0.503 | 0.503 | 0.46~0.54 | |
| Diameter diversity index | Margalef | 5.089 | 5.426 | 2.68~6.23 |
| Shannon | 2.645 | 2.664 | 2.03~2.93 | |
| Simpson | 0.917 | 0.918 | 0.86~0.94 | |
| Pielou evenness index | 0.925 | 0.912 | 0.84~0.98 | |
| Simpson evenness index | 0.972 | 0.970 | 0.93~0.99 | |
| Model | Increment | Mortality | Recruitment |
|---|---|---|---|
| Intercept | −1.09 *** | −1.72 *** | 1.31 × 102 *** |
| DBH | −0.13 *** | 0.03 *** | - |
| DBH2 | 0.01 *** | - | |
| BA | −0.02 *** | 0.04 *** | −2.86 *** |
| H1 | −0.37 *** | 0.62 ** | 2.39 × 101 *** |
| H2 | 0.69 *** | - | −0.6 × 102 *** |
| Dg | 0.05 *** | - | - |
| B | −0.02 *** | 0.05 *** | −2.65 *** |
| Dm | 3.57 *** | - | −0.003 *** |
| NDD | - | - | −0.007 *** |
| SLsinASP | −0.01 ** | 0.03 *** | −1.35 *** |
| logSigma a | - | - | 2.84 *** |
| R2 b | 0.647 | 0.1 | 0.259 |
| AIC | 3488 | 1380 | 2082 |
| BIC | 3555 | 1417 | 2137 |
| logLik c | −1733 | −684 | −1032 |
| Df d | 3152 | 343 | - |
| Diameter | bij | mij | Diameter | bij | mij |
|---|---|---|---|---|---|
| 5 | 0.198 | 0.105 | 30 | 0.308 | 0.008 |
| 10 | 0.128 | 0.076 | 35 | 0.420 | 0.003 |
| 15 | 0.150 | 0.081 | 40 | 0.350 | 0.001 |
| 20 | 0.185 | 0.032 | 45 | 0.580 | 0.003 |
| 25 | 0.204 | 0.017 | ≥50 | 0.330 | 0 |
| Variables | Plot6 | Plot10 | Plot11 | Plot18 | ||||
|---|---|---|---|---|---|---|---|---|
| Before | After | Before | After | Before | After | Before | After | |
| Number of diameter class | 8 | 8 | 10 | 10 | 10 | 10 | 9 | 9 |
| Number of tree species | 14 | 14 | 7 | 7 | 9 | 9 | 8 | 8 |
| q-value | 1.299 | 1.281 | 1.188 | 1.207 | 1.343 | 1.317 | 1.281 | 1.238 |
| Mc-index | 0.439 | 0.578 | 0.331 | 0.407 | 0.284 | 0.384 | 0.450 | 0.566 |
| U-index | 0.542 | 0.511 | 0.523 | 0.495 | 0.538 | 0.504 | 0.548 | 0.500 |
| W-index | 0.478 | 0.500 | 0.508 | 0.481 | 0.484 | 0.482 | 0.504 | 0.461 |
| Margalef | 2.582 | 2.786 | 8.415 | 10.00 | 2.634 | 2.919 | 7.358 | 7.759 |
| Shannon | 1.940 | 1.956 | 1.028 | 1.095 | 2.040 | 2.045 | 1.124 | 1.155 |
| Simpson | 0.844 | 0.850 | 0.585 | 0.619 | 0.850 | 0.851 | 0.608 | 0.634 |
| Pielou evenness index | 0.883 | 0.890 | 0.355 | 0.386 | 0.886 | 0.888 | 0.397 | 0.416 |
| Simpson evenness index | 0.950 | 0.956 | 0.620 | 0.658 | 0.944 | 0.945 | 0.646 | 0.676 |
| Objective function value | 0.607 | 0.490 | 0.717 | 0.635 | 0.754 | 0.658 | 0.617 | 0.481 |
Disclaimer/Publisher’s Note: The statements, opinions and data contained in all publications are solely those of the individual author(s) and contributor(s) and not of MDPI and/or the editor(s). MDPI and/or the editor(s) disclaim responsibility for any injury to people or property resulting from any ideas, methods, instructions or products referred to in the content. |
© 2023 by the authors. Licensee MDPI, Basel, Switzerland. This article is an open access article distributed under the terms and conditions of the Creative Commons Attribution (CC BY) license (https://creativecommons.org/licenses/by/4.0/).
Share and Cite
Sheng, Q.; Dong, L.; Chen, Y.; Liu, Z. Selection of the Optimal Timber Harvest Based on Optimizing Stand Spatial Structure of Broadleaf Mixed Forests. Forests 2023, 14, 2046. https://doi.org/10.3390/f14102046
Sheng Q, Dong L, Chen Y, Liu Z. Selection of the Optimal Timber Harvest Based on Optimizing Stand Spatial Structure of Broadleaf Mixed Forests. Forests. 2023; 14(10):2046. https://doi.org/10.3390/f14102046
Chicago/Turabian StyleSheng, Qi, Lingbo Dong, Ying Chen, and Zhaogang Liu. 2023. "Selection of the Optimal Timber Harvest Based on Optimizing Stand Spatial Structure of Broadleaf Mixed Forests" Forests 14, no. 10: 2046. https://doi.org/10.3390/f14102046
APA StyleSheng, Q., Dong, L., Chen, Y., & Liu, Z. (2023). Selection of the Optimal Timber Harvest Based on Optimizing Stand Spatial Structure of Broadleaf Mixed Forests. Forests, 14(10), 2046. https://doi.org/10.3390/f14102046

