Effects of Artificial Restoration and Natural Recovery on Plant Communities and Soil Properties across Different Temporal Gradients after Landslides
Abstract
:1. Introduction
2. Materials and Methods
2.1. Study Area
2.2. Selection of Sample Sites
2.3. Data Collection
2.4. Data Analysis
3. Results
3.1. Species Composition and Diversity
3.2. Vegetation Patterns under Different Restoration Strategies
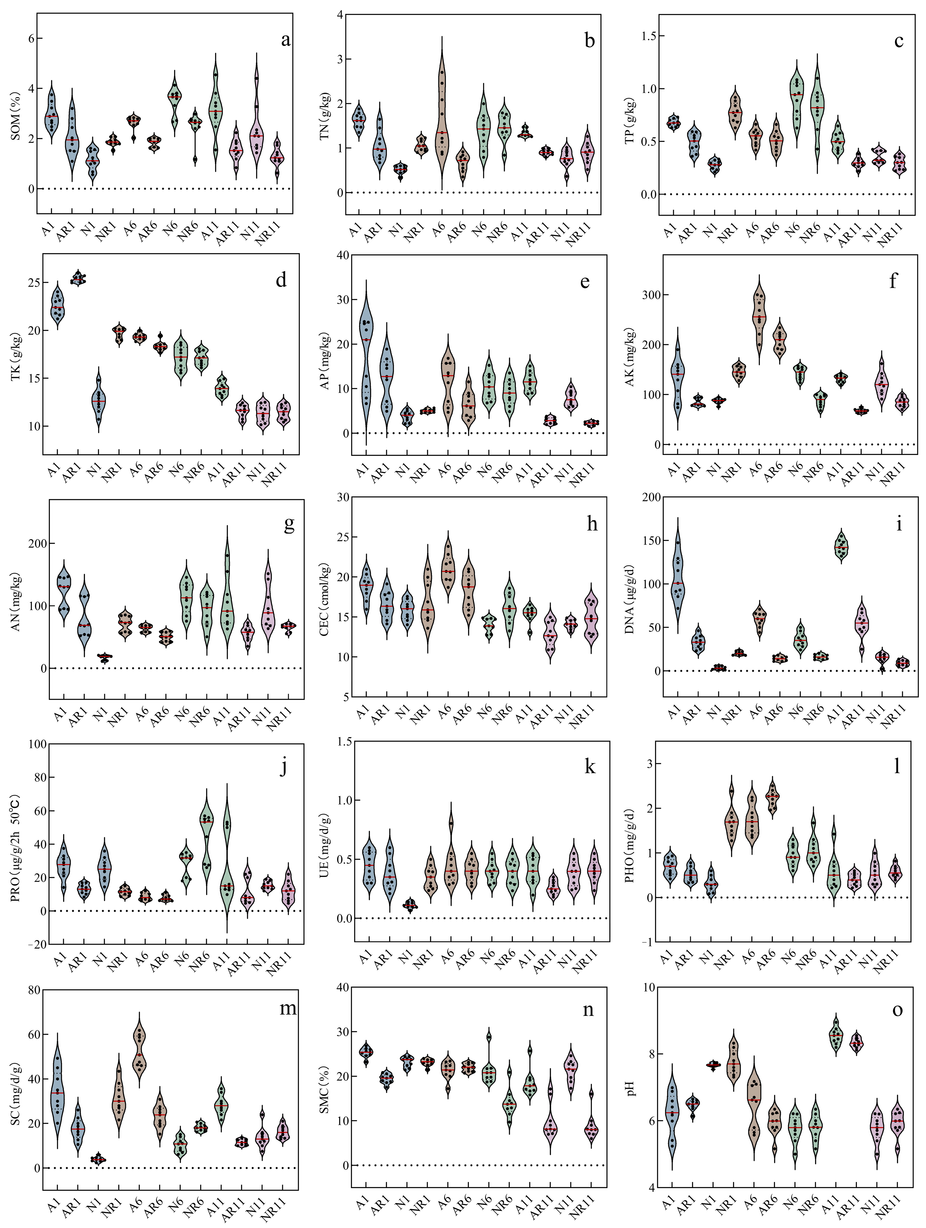
3.3. Soil Properties under Different Restoration Strategies
4. Discussion
5. Conclusions
Author Contributions
Funding
Institutional Review Board Statement
Informed Consent Statement
Data Availability Statement
Conflicts of Interest
References
- Lopes, L.F.; Oliveira, S.C.; Neto, C.; Zezere, J.L. Vegetation Evolution by Ecological Succession as a Potential Bioindicator of Landslides Relative Age in Southwestern Mediterranean Region. Nat. Hazards 2020, 103, 599–622. [Google Scholar] [CrossRef]
- Kirschbaum, D.; Stanley, T.; Zhou, Y. Spatial and Temporal Analysis of a Global Landslide Catalog. Geomorphology 2015, 249, 4–15. [Google Scholar] [CrossRef]
- Guariguata, M.R. Landslide Disturbance and Forest Regeneration in the Upper Luquillo Mountains of Puerto Rico. J. Ecol. 1990, 78, 814–832. [Google Scholar] [CrossRef]
- Lin, W.-T.; Lin, C.-Y.; Tsai, J.-S.; Huang, P.-H. Eco-Environmental Changes Assessment at the Chiufenershan Landslide Area Caused by Catastrophic Earthquake in Central Taiwan. Ecol. Eng. 2008, 33, 220–232. [Google Scholar] [CrossRef]
- Sidle, R.C.; Gomi, T.; Akasaka, M.; Koyanagi, K. Ecosystem Changes Following the 2016 Kumamoto Earthquakes in Japan: Future Perspectives. Ambio 2018, 47, 721–734. [Google Scholar] [CrossRef]
- Mi, J.; Liu, R.; Zhang, S.; Hou, H.; Yang, Y.; Chen, F.; Zhang, L. Vegetation Patterns on a Landslide after Five Years of Natural Restoration in the Loess Plateau Mining Area in China. Ecol. Eng. 2019, 136, 46–54. [Google Scholar] [CrossRef]
- Li, B.; Zeng, T.; Ran, J.; Yue, B.; Zhang, M.; Shang, T.; Zhu, D. Characteristics of the Early Secondary Succession after Landslides in a Broad-Leaved Deciduous Forest in the South Minshan Mountains. For. Ecol. Manag. 2017, 405, 238–245. [Google Scholar] [CrossRef]
- Neto, C.; Cardigos, P.; Oliveira, S.C.; Zezere, J.L. Floristic and Vegetation Successional Processes within Landslides in a Mediterranean Environment. Sci. Total Environ. 2017, 574, 969–981. [Google Scholar] [CrossRef]
- Zhao, B.; Wang, Y.; Chen, M.; Luo, Y.; Liang, R.; Li, J. Typical Characteristics of Large-Scale Landslides in the Transition Belt between the Qinghai-Tibet Plateau and the Loess Plateau. Arab. J. Geosci. 2019, 12, 470. [Google Scholar] [CrossRef]
- Sloggy, M.R.; Suter, J.F.; Rad, M.R.; Manning, D.T.; Goemans, C. Changing Climate, Changing Minds? The Effects of Natural Disasters on Public Perceptions of Climate Change. Clim. Change 2021, 168, 25. [Google Scholar] [CrossRef]
- Bouwer, L.M. Have Disaster Losses Increased Due to Anthropogenic Climate Change? Bull. Am. Meteorol. Soc. 2011, 92, 39–46. [Google Scholar] [CrossRef]
- Aronson, J.; Clewell, A.; Moreno-Maeos, D. Ecological Restoration and Ecological Engineering: Complementary or Indivisible? Ecol. Eng. 2016, 91, 392–395. [Google Scholar] [CrossRef]
- Uprety, Y.; Asselin, H.; Bergeron, Y.; Doyon, F.; Boucher, J.-F. Contribution of Traditional Knowledge to Ecological Restoration: Practices and Applications. Ecoscience 2012, 19, 225–237. [Google Scholar] [CrossRef]
- Van Diggelen, R.; Grootjans, A.P.; Harris, J.A. Ecological Restoration: State of the Art or State of the Science? Restor. Ecol. 2001, 9, 115–118. [Google Scholar] [CrossRef]
- Chazdon, R.L. Beyond Deforestation: Restoring Forests and Ecosystem Services on Degraded Lands. Science 2008, 320, 1458–1460. [Google Scholar] [CrossRef]
- Deng, L.; Wang, K.-B.; Chen, M.-L.; Shangguan, Z.-P.; Sweeney, S. Soil Organic Carbon Storage Capacity Positively Related to Forest Succession on the Loess Plateau, China. Catena 2013, 110, 1–7. [Google Scholar] [CrossRef]
- Peng, X.; Dai, Q.; Ding, G.; Shi, D.; Li, C. Impact of Vegetation Restoration on Soil Properties in Near-Surface Fissures Located in Karst Rocky Desertification Regions. Soil Tillage Res. 2020, 200, 104620. [Google Scholar] [CrossRef]
- Shi, P.; Zhang, Y.; Li, P.; Li, Z.; Yu, K.; Ren, Z.; Xu, G.; Cheng, S.; Wang, F.; Ma, Y. Distribution of Soil Organic Carbon Impacted by Land-Use Changes in a Hilly Watershed of the Loess Plateau, China. Sci. Total Environ. 2019, 652, 505–512. [Google Scholar] [CrossRef]
- Xu, X.; Zhang, D. Comparing the Long-Term Effects of Artificial and Natural Vegetation Restoration Strategies: A Case-Study of Wuqi and Its Adjacent Counties in Northern China. Land Degrad. Dev. 2021, 32, 3930–3945. [Google Scholar] [CrossRef]
- Fu, B.; Wang, S.; Liu, Y.; Liu, J.; Liang, W.; Miao, C. Hydrogeomorphic Ecosystem Responses to Natural and Anthropogenic Changes in the Loess Plateau of China. In Annual Review of Earth and Planetary Sciences; Jeanloz, R., Freeman, K.H., Eds.; Annual Reviews: Palo Alto, CA, USA, 2017; Volume 45, pp. 223–243. ISBN 978-0-8243-2045-4. [Google Scholar]
- Jiang, W.; Yang, S.; Yang, X.; Gu, N. Negative Impacts of Afforestation and Economic Forestry on the Chinese Loess Plateau and Proposed Solutions. Quat. Int. 2016, 399, 165–173. [Google Scholar] [CrossRef]
- Wang, X.; Huang, Z.; Hong, M.M.; Zhao, Y.F.; Ou, Y.S.; Zhang, J. A Comparison of the Effects of Natural Vegetation Regrowth with a Plantation Scheme on Soil Structure in a Geological Hazard-Prone Region. Eur. J. Soil Sci. 2019, 70, 674–685. [Google Scholar] [CrossRef]
- Hu, P.; Xiao, J.; Zhang, W.; Xiao, L.; Yang, R.; Xiao, D.; Zhao, J.; Wang, K. Response of Soil Microbial Communities to Natural and Managed Vegetation Restoration in a Subtropical Karst Region. Catena 2020, 195, 104849. [Google Scholar] [CrossRef]
- Guo, J.; Gong, P. Forest Cover Dynamics from Landsat Time-Series Data over Yan’an City on the Loess Plateau during the Grain for Green Project. Int. J. Remote Sens. 2016, 37, 4101–4118. [Google Scholar] [CrossRef]
- Wang, B.; Zhang, G.-H.; Shi, Y.-Y.; Li, Z.-W.; Shan, Z.-J. Effects of Near Soil Surface Characteristics on the Soil Detachment Process in a Chronological Series of Vegetation Restoration. Soil Sci. Soc. Am. J. 2015, 79, 1213–1222. [Google Scholar] [CrossRef]
- Wang, B.; Liu, G.B.; Xue, S.; Zhu, B. Changes in Soil Physico-Chemical and Microbiological Properties during Natural Succession on Abandoned Farmland in the Loess Plateau. Environ. Earth Sci. 2011, 62, 915–925. [Google Scholar] [CrossRef]
- Deng, L.; Wang, K.; Zhu, G.; Liu, Y.; Chen, L.; Shangguan, Z. Changes of Soil Carbon in Five Land Use Stages Following 10 Years of Vegetation Succession on the Loess Plateau, China. Catena 2018, 171, 185–192. [Google Scholar] [CrossRef]
- Schlatter, D.C.; Bakker, M.G.; Bradeen, J.M.; Kinkel, L.L. Plant Community Richness and Microbial Interactions Structure Bacterial Communities in Soil. Ecology 2015, 96, 134–142. [Google Scholar] [CrossRef]
- Wang, J.; Zhao, W.; Zhang, X.; Liu, Y.; Wang, S.; Liu, Y. Effects of Reforestation on Plant Species Diversity on the Loess Plateau of China: A Case Study in Danangou Catchment. Sci. Total Environ. 2019, 651, 979–989. [Google Scholar] [CrossRef]
- Wang, S.; Meng, X.; Chen, G.; Guo, P.; Xiong, M.; Zeng, R. Effects of Vegetation on Debris Flow Mitigation: A Case Study from Gansu Province, China. Geomorphology 2017, 282, 64–73. [Google Scholar] [CrossRef]
- Kravchenko, A.N.; Negassa, W.C.; Guber, A.K.; Rivers, M.L. Protection of Soil Carbon within Macro-Aggregates Depends on Intra-Aggregate Pore Characteristics. Sci. Rep. 2015, 5, 16261. [Google Scholar] [CrossRef]
- Haile, S.G.; Nair, V.D.; Nair, P.K.R. Contribution of Trees to Carbon Storage in Soils of Silvopastoral Systems in Florida, USA. Glob. Change Biol. 2010, 16, 427–438. [Google Scholar] [CrossRef]
- Lin, Y.; Deng, H.; Du, K.; Li, J.; Lin, H.; Chen, C.; Fisher, L.; Wu, C.; Hong, T.; Zhang, G. Soil Quality Assessment in Different Climate Zones of China’s Wenchuan Earthquake Affected Region. Soil Tillage Res. 2017, 165, 315–324. [Google Scholar] [CrossRef]
- Blonska, E.; Lasota, J.; Piaszczyk, W.; Wiechec, M.; Klamerus-Iwan, A. The Effect of Landslide on Soil Organic Carbon Stock and Biochemical Properties of Soil. J. Soils Sediments 2018, 18, 2727–2737. [Google Scholar] [CrossRef]
- Liu, Z.; Fu, B.; Zheng, X.; Liu, G. Plant Biomass, Soil Water Content and Soil N:P Ratio Regulating Soil Microbial Functional Diversity in a Temperate Steppe: A Regional Scale Study. Soil Biol. Biochem. 2010, 42, 445–450. [Google Scholar] [CrossRef]
- Wilsey, B.J.; Barber, K.; Martin, L.M. Exotic Grassland Species Have Stronger Priority Effects than Natives Regardless of Whether They Are Cultivated or Wild Genotypes. New Phytol. 2015, 205, 928–937. [Google Scholar] [CrossRef] [PubMed]
- Wubs, E.R.J.; van der Putten, W.H.; Bosch, M.; Bezemer, T.M. Soil Inoculation Steers Restoration of Terrestrial Ecosystems. Nat. Plants 2016, 2, 16107. [Google Scholar] [CrossRef]
- Cheng, S.; Yu, H.; Yang, G.; Yang, R.; Liu, Y.; Zhang, Z.; Xiong, G.; Peng, B.; Gao, Y.; Li, J. Impacts of Wenchuan Earthquake-Induced Landslides on Tree Organ Nutrients. In Proceedings of the 2012 International Conference on Biomedical Engineering and Biotechnology, Washington, DC, USA, 28–30 May 2012; pp. 1518–1520. [Google Scholar]
- Walker, L.R.; Shiels, A.B. Landslide Ecology; Cambridge University Press: Cambridge, UK, 2012. [Google Scholar]
- Huang, Y.; Han, H.; Tang, C.; Liu, S. Plant Community Composition and Interspecific Relationships among Dominant Species on a Post-Seismic Landslide in Hongchun Gully, China. J. Mt. Sci. 2017, 14, 1985–1994. [Google Scholar] [CrossRef]
- Yang, Q.; Liu, S.; Hu, C.; Lin, Y.; Zhang, B.; Luo, M.; Peng, H. Ecological Species Groups and Interspecific Association of Vegetation in Natural Recovery Process at Xiejiadian Landslide after 2008 Wenchuan Earthquake. J. Mt. Sci. 2016, 13, 1609–1620. [Google Scholar] [CrossRef]
- Bienes, R.; Marques, M.J.; Sastre, B.; Garcia-Diaz, A.; Ruiz-Colmenero, M. Eleven Years after Shrub Revegetation in Semiarid Eroded Soils: Influence in Soil Properties. Geoderma 2016, 273, 106–114. [Google Scholar] [CrossRef]
- Kang, D.; Zou, S.; Ma, L.; Yin, C.; Zhu, D. Abiotic Regulation: Landslide Scale and Altitude Regulate Functional Traits of Regenerating Plant Communities After Earthquakes. Front. Ecol. Evol. 2022, 10, 846642. [Google Scholar] [CrossRef]
- Rengers, F.K.; McGuire, L.A.; Coe, J.A.; Kean, J.W.; Baum, R.L.; Staley, D.M.; Godt, J.W. The Influence of Vegetation on Debris-Flow Initiation during Extreme Rainfall in the Northern Colorado Front Range. Geology 2016, 44, 823–826. [Google Scholar] [CrossRef]
- Li, Y.Y.; Shao, M.A. Change of Soil Physical Properties under Long-Term Natural Vegetation Restoration in the Loess Plateau of China. J. Arid Environ. 2006, 64, 77–96. [Google Scholar] [CrossRef]
- Fu, X.; Shao, M.; Wei, X.; Horton, R. Soil Organic Carbon and Total Nitrogen as Affected by Vegetation Types in Northern Loess Plateau of China. Geoderma 2010, 155, 31–35. [Google Scholar] [CrossRef]
- Gruba, P.; Mulder, J. Tree Species Affect Cation Exchange Capacity (CEC) and Cation Binding Properties of Organic Matter in Acid Forest Soils. Sci. Total Environ. 2015, 511, 655–662. [Google Scholar] [CrossRef]
- Birkas, M.; Stingli, A.; Szemok, A.; Kalmar, T.; Bottlik, L. Soil Condition and Plant Interrelations in Dry Years. Cereal Res. Commun. 2008, 36, 15–18. [Google Scholar]
- Blouin, M.; Hodson, M.E.; Delgado, E.A.; Baker, G.; Brussaard, L.; Butt, K.R.; Dai, J.; Dendooven, L.; Peres, G.; Tondoh, J.E.; et al. A Review of Earthworm Impact on Soil Function and Ecosystem Services. Eur. J. Soil Sci. 2013, 64, 161–182. [Google Scholar] [CrossRef]
- Xu, C.; Gorum, T.; Tanyas, H. Editorial: Application of Remote Sensing and GIS in Earthquake-Triggered Landslides. Front. Earth Sci. 2022, 10, 964753. [Google Scholar] [CrossRef]
- Cao, S.; Chen, L.; Shankman, D.; Wang, C.; Wang, X.; Zhang, H. Excessive Reliance on Afforestation in China’s Arid and Semi-Arid Regions: Lessons in Ecological Restoration. Earth Sci. Rev. 2011, 104, 240–245. [Google Scholar] [CrossRef]







| Sample Areas | Restoration Period (Year) | Slope Aspect | Gradient (°) C | Altitude (m) | Restoration Method |
|---|---|---|---|---|---|
| A1 | 1 | South | 12~28 | 1240 | Artificial restoration |
| AR1 | / | Southeast | 15~31 | 1157 | References |
| N1 | 1 | east | 21~39 | 960 | Natural |
| NR1 | / | Southeast | 16~38 | 938 | References |
| A6 | 6 | Southeast | 33~52 | 1219 | Artificial restoration |
| AR6 | / | South | 27~42 | 1238 | References |
| N6 | 6 | East | 24~45 | 644 | Natural |
| NR6 | / | Southeast | 16~34 | 620 | References |
| A11 | 11 | West | 20~36 | 1101 | Artificial restoration |
| AR11 | / | South | 18~33 | 1103 | References |
| N11 | 11 | East | 29~54 | 1084 | Natural |
| NR11 | / | East | 22~39 | 1065 | References |
| Number | Title | Index | Formula | Parameter |
|---|---|---|---|---|
| 1 | Importance value | : : relative frequency. | ||
| 2 | Margalef richness index | : total individuals | ||
| 3 | Simpson advantage degree index | : total individuals | ||
| 4 | Pielou evenness index | : number of community species; : Shannon–Wiener diversity index | ||
| 5 | Shannon–Wiener diversity index | : number of community species; : Number of species i as a proportion of all species |
| One-Year Manual Restoration Sample Area | One-Year Natural Recovery Sample Area | ||||||
|---|---|---|---|---|---|---|---|
| No. | Name | IV (%) | Vegetation Type | No. | Name | IV (%) | Vegetation Type |
| 1 | Toona sinensis (Juss.) Roem. | 47.347 | Tree | 1 | Rhus chinensis Mill. | 56.369 | Tree |
| 2 | Zanthoxylum bungeanum Maxim. | 31.887 | 2 | Diospyros lotus L. | 43.630 | ||
| 3 | Pinus armandii Franch. | 15.841 | 3 | ||||
| 4 | Toxicodendron vernicifluum (Stokes) F. A. Barkley | 12.752 | 4 | ||||
| 5 | Juglans regia L. | 12.681 | 5 | ||||
| 8 | Lonicera caerulea L. | 44.979 | Shrub | 8 | Elaeagnus umbellata Thunb. | 36.117 | Shrub |
| 9 | Cornus alba L. | 26.593 | 9 | Celastrus angulatus Maxim. | 33.769 | ||
| 10 | Kerria japonica (L.) DC. | 17.923 | 10 | Akebia trifoliata (Thunb.) Koidz. | 30.113 | ||
| 11 | Euonymus alatus (Thunb.) Siebold | 10.505 | 11 | ||||
| 12 | Artemisia lavandulifolia DC. | 23.894 | Herb | 12 | Equisetum arvense L. | 9.193 | Herb |
| 13 | Achnatherum chinense (Hitchc.) Tzvelev | 18.584 | 13 | Artemisia annua L. | 5.361 | ||
| 14 | Artemisia annua L. | 10.619 | 14 | Equisetum hyemale L. | 4.877 | ||
| 15 | Duchesnea indica (Andrews) Teschem. | 8.850 | 15 | Artemisia lavandulifolia DC. | 4.752 | ||
| 16 | Phedimus aizoon (L.) ‘t Hart | 7.965 | 16 | Arundinella hirta (Thunberg) Tanaka | 4.438 | ||
| 17 | Plantago asiatica L. | 7.080 | 17 | Artemisia annua L. | 4.130 | ||
| 18 | Asplenium pekinense Hance | 4.425 | 18 | Setaria viridis (L.) P. Beauv. | 3.833 | ||
| Six-Year Manual Restoration Sample Area | Six-Year Natural Recovery Sample Area | ||||||
| No. | Name | IV (%) | Vegetation Type | No. | Name | IV (%) | Vegetation Type |
| 1 | Pinus massoniana Lamb. | 29.187 | Tree | 1 | Juglans regia L. | 50.922 | Tree |
| 2 | Quercus variabilis Blume | 20.090 | 2 | Pinus massoniana Lamb. | 24.730 | ||
| 3 | Cotinus coggygria var. cinereus Engl. | 19.809 | 3 | Cotinus coggygria var. cinereus Engl. | 14.302 | ||
| 4 | Fraxinus stylosa Lingelsh. in Engler | 12.661 | 4 | Broussonetia papyrifera (L.) L’Hér. ex Vent. | 10.047 | ||
| 5 | Quercus robur L. | 10.471 | 5 | ||||
| 8 | Berberis feddeana C. K. Schneid. | 44.852 | Shrub | 8 | Rosa multiflora Thunb. | 39.310 | Shrub |
| 9 | Akebia trifoliata (Thunb.) Koidz. | 21.039 | 9 | Elaeagnus umbellata Thunb. | 33.983 | ||
| 10 | Pueraria montana var. lobata (Willd.) Maesen & S. M. Almeida ex Sanjappa & Predeep | 20.405 | 10 | Rubus parvifolius L. | 26.707 | ||
| 11 | Wikstroemia pilosa W. C. Cheng | 16.798 | 11 | ||||
| 12 | Elsholtzia ciliata (Thunb.) Hyl. | 13.162 | Herb | 12 | Artemisia argyi H. Lév. & Vaniot | 22.579 | Herb |
| 13 | Humulus scandens (Lour.) Merr. | 10.508 | 13 | Fragaria vesca L. | 9.754 | ||
| 14 | Lagopsis supina (Steph.) Ikonn.-Gal. | 6.647 | 14 | Stellaria vestita Kurz | 8.969 | ||
| 15 | Artemisia argyi H. Lév. & Vaniot | 5.105 | 15 | Artemisia annua L. | 5.314 | ||
| 16 | Stellaria vestita Kurz | 4.689 | 16 | Artemisia lavandulifolia DC. | 4.661 | ||
| 17 | Carex agglomerata C. B. Clarke | 4.632 | 17 | Setaria viridis (L.) P. Beauv. | 3.799 | ||
| 18 | Artemisia annua L. | 4.512 | 18 | Artemisia dubia var. subdigitata (Mattf.) Y. R. Ling | 3.757 | ||
| Eleven-Year Manual Restoration Sample Area | Eleven-Year Natural Recovery Sample Area | ||||||
| No. | Name | IV (%) | Vegetation Type | No. | Name | IV (%) | Vegetation Type |
| 1 | Gleditsia sinensis Lam. | 15.208 | Tree | 1 | Quercus variabilis Blume | 38.025 | Tree |
| 2 | Pinus bungeana Zucc. ex Endl. | 11.580 | 2 | Phyllostachys sulphurea var. viridis R. A. Young | 18.147 | ||
| 3 | Prunus davidiana (Carrière) Franch. | 10.855 | 3 | Ulmus pumila L. | 13.475 | ||
| 4 | Robinia pseudoacacia L. | 9.163 | 4 | Sambucus williamsii Hance | 8.691 | ||
| 5 | Juglans regia L. | 8.517 | 5 | Quercus robur L. | 6.510 | ||
| 8 | Spiraea × vanhouttei (Briot) Carrière | 27.920 | Shrub | 8 | Spiraea × vanhouttei (Briot) Carrière | 33.477 | Shrub |
| 9 | Euonymus alatus (Thunb.) Siebold | 22.012 | 9 | Elaeagnus umbellata Thunb. | 28.984 | ||
| 10 | Lespedeza bicolor Turcz. | 9.926 | 10 | Wikstroemia nutans Champ. ex Benth. | 9.704 | ||
| 11 | Spiraea cantoniensis Lour. | 7.991 | 11 | Spiraea cantoniensis Lour. | 8.493 | ||
| 12 | Carex breviculmis R. Br. | 15.528 | Herb | 12 | Echinochloa crus-galli (L.) P. Beauv. | 9.748 | Herb |
| 13 | Chrysanthemum lavandulifolium (Fisch. ex Trautv.) Makino | 11.927 | 13 | Artemisia capillaris Thunb. | 8.239 | ||
| 14 | Artemisia argyi H. Lév. & Vaniot | 8.542 | 14 | Senecio scandens Buch.-Ham. ex D. Don | 7.113 | ||
| 15 | Phedimus aizoon (L.) ‘t Hart | 6.830 | 15 | Artemisia argyi H. Lév. & Vaniot | 6.319% | ||
| 16 | Artemisia eriopoda Bunge | 6.769 | 16 | Rubia cordifolia L. | 5.917 | ||
| 17 | Anaphalis sinica Hance | 6.003 | 17 | Aster altaicus Willd. | 4.663 | ||
| 18 | Cirsium japonicum Fisch. ex DC. | 3.964 | 18 | Elsholtzia densa Benth. | 3.708 | ||
Disclaimer/Publisher’s Note: The statements, opinions and data contained in all publications are solely those of the individual author(s) and contributor(s) and not of MDPI and/or the editor(s). MDPI and/or the editor(s) disclaim responsibility for any injury to people or property resulting from any ideas, methods, instructions or products referred to in the content. |
© 2023 by the authors. Licensee MDPI, Basel, Switzerland. This article is an open access article distributed under the terms and conditions of the Creative Commons Attribution (CC BY) license (https://creativecommons.org/licenses/by/4.0/).
Share and Cite
Chen, S.; Hua, J.; Liu, W.; Yang, S.; Wang, X.; Ji, W. Effects of Artificial Restoration and Natural Recovery on Plant Communities and Soil Properties across Different Temporal Gradients after Landslides. Forests 2023, 14, 1974. https://doi.org/10.3390/f14101974
Chen S, Hua J, Liu W, Yang S, Wang X, Ji W. Effects of Artificial Restoration and Natural Recovery on Plant Communities and Soil Properties across Different Temporal Gradients after Landslides. Forests. 2023; 14(10):1974. https://doi.org/10.3390/f14101974
Chicago/Turabian StyleChen, Sibo, Jinguo Hua, Wanting Liu, Siyu Yang, Xiaoqi Wang, and Wenli Ji. 2023. "Effects of Artificial Restoration and Natural Recovery on Plant Communities and Soil Properties across Different Temporal Gradients after Landslides" Forests 14, no. 10: 1974. https://doi.org/10.3390/f14101974
APA StyleChen, S., Hua, J., Liu, W., Yang, S., Wang, X., & Ji, W. (2023). Effects of Artificial Restoration and Natural Recovery on Plant Communities and Soil Properties across Different Temporal Gradients after Landslides. Forests, 14(10), 1974. https://doi.org/10.3390/f14101974

