The Coupling Relationship between Herb Communities and Soil in a Coal Mine Reclamation Area after Different Years of Restoration
Abstract
:1. Introduction
2. Materials and Methods
2.1. Overview of the Study Area
2.2. Plot Setting and Sample Collection
2.3. Determination of Soil Samples’ Properties
2.4. Calculation of Herb Diversity
2.5. Grey Correlation Coupling Analysis
2.6. Data Processing and Analysis Softwares
3. Results
3.1. Difference Characteristics of Soil Properties
3.2. Composition of Understory Herb Community after Different Restoration Years
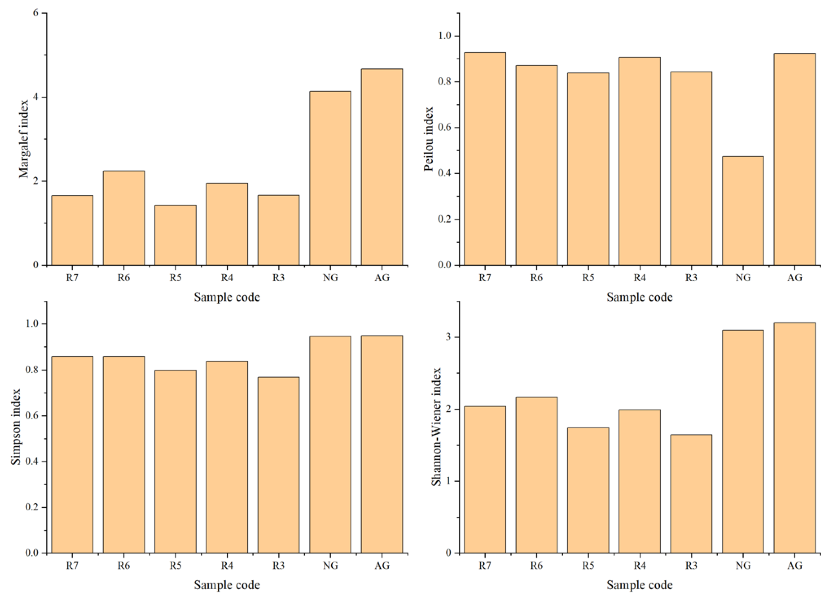
3.3. Diversity Characteristics of Herbaceous Plant Communities after Different Restoration Years
3.4. Analysis of Grey Correlation between Plant Community Diversity and Soil Factors
3.5. Analysis of Coupling/Coordinating between Plant Community Diversity and Soil Factors
4. Discussion
4.1. Analysis of Community Composition and Diversity of Understory Herbaceous Plants in Coal Mines’ Reclamation Areas
4.2. Analysis of Coupling between Herb Community and Soil Factors after Different Restoration Years
5. Conclusions
Author Contributions
Funding
Institutional Review Board Statement
Informed Consent Statement
Data Availability Statement
Conflicts of Interest
References
- Wang, G.; Xu, Y.; Ren, H. Intelligent and ecological coal mining as well as clean utilization technology in China: Review and prospects. Int. J. Min. Sci. Technol. 2019, 29, 161–169. [Google Scholar] [CrossRef]
- Kent, M.; Coker, P. Vegetation Description and Analysis, a Practical Approach; John Wiley & Sons: New York, NY, USA, 1992; p. 319. [Google Scholar]
- Lim, B.-S.; Kim, A.R.; Seol, J.; Oh, W.-S.; An, J.-H.; Lim, C.-H.; Lee, C.-S. Effects of Soil Amelioration and Vegetation Introduction on the Restoration of Abandoned Coal Mine Spoils in South Korea. Forests 2022, 13, 483. [Google Scholar] [CrossRef]
- Xiao, W.; Hu, Z.; Fu, Y. Zoning of land reclamation in coal mining area and new progresses for the past 10 years. Int. J. Coal Sci. Technol. 2014, 1, 177–183. [Google Scholar] [CrossRef]
- Sheoran, V.; Sheoran, S.A. Reclamation of abandoned mine land. J. Min. Metall. A Min. 2009, 45, 13–32. [Google Scholar]
- Luna, L.; Pastorelli, R.; Bastida, F.; Hernández, T.; García, C.; Miralles, I.; Solé-Benet, A. The combination of quarry restoration strategies in semiarid climate induces different responses in biochemical and microbiological soil properties. Appl. Soil Ecol. 2016, 107, 33–47. [Google Scholar] [CrossRef]
- Mukhopadhyay, S.; George, J.; Masto, R.E. Changes in polycyclic aromatic hydrocarbons (PAHs) and soil biological parameters in a revegetated coal mine spoil. Land Degrad. Dev. 2017, 28, 1047–1055. [Google Scholar] [CrossRef]
- Zhou, W.; Qian, M.; Wang, S.; Li, S.; Cao, Y. Spatial Distribution and Regulating Factors of Soil Nutrient Stocks in Afforested Dump of Pingshuo Opencast Coalmine, China. Forests 2022, 13, 345. [Google Scholar] [CrossRef]
- Cohen-Fernandez, A.C.; Naeth, M.A. Increasing woody species diversity for sustainable limestone quarry reclamation in Canada. Sustainability 2013, 5, 1340–1355. [Google Scholar] [CrossRef]
- Pathak, S.; Agarwal, A.V.; Pandey, V.C. Phytoremediation—A holistic approach for remediation of heavy metals and metalloids. In Bioremediation of Pollutants; Elsevier: Amsterdam, The Netherlands, 2020; pp. 3–16. [Google Scholar]
- Li, L.; Li, T.; Meng, H.; Xie, Y.; Zhang, J.; Hong, J. Effects of Seven-Year Fertilization Reclamation on Bacterial Community in a Coal Mining Subsidence Area in Shanxi, China. Int. J. Environ. Res. Public Health 2021, 18, 12504. [Google Scholar] [CrossRef]
- Fan, X.; Guan, Y.; Bai, Z.; Zhou, W.; Zhu, C. Optimization of Reclamation Measures in a Mining Area by Analysis of Variations in Soil Nutrient Grades under Different Types of Land Usage—A Case Study of Pingshuo Coal Mine, China. Land 2022, 11, 321. [Google Scholar] [CrossRef]
- Zhang, Z.; Ai, N.; Liu, G.; Liu, C.; Qiang, F. Soil quality evaluation of various microtopography types at different restoration modes in the loess area of Northern Shaanxi. Catena 2021, 207, 105633. [Google Scholar] [CrossRef]
- Li, X.; Lei, S.; Liu, F.; Wang, W. Analysis of Plant and Soil Restoration Process and Degree of Refuse Dumps in Open-Pit Coal Mining Areas. Int. J. Environ. Res. Public Health 2020, 17, 1975. [Google Scholar] [CrossRef] [PubMed]
- Liu, D.; Yang, Y. Coupling Coordinative Degree of Regional Economy-Tourism-Ecological Environment—A Case Study of Anhui Province. Resour. Environ. Yangtze Basin 2011, 20, 892–896. [Google Scholar]
- Wang, H.; Guo, Y.; Xu, Y.; Qi, W.; Bu, F.; Qi, H. Coupling Relationship between Vegetation and Soil System in Ecological Restoration of Different Stand Types in Jiufeng Mountain. Ecol. Environ. Sci. 2021, 30, 2309–2316. [Google Scholar]
- An, S.; Zhang, S.; Hou, H.; Zhang, Y.; Xu, H.; Liang, J. Coupling Coordination Analysis of the Ecology and Economy in the Yellow River Basin under the Background of High-Quality Development. Land 2022, 11, 1235. [Google Scholar] [CrossRef]
- Luo, Q.; Ning, H.; Chen, Q. Relation between Vegetation and Soil of Haloxylon ammodendron Plantation in the Process of Sand-fixation. J. Desert Res. 2018, 38, 780–790. [Google Scholar]
- Peng, W.; Song, T.; Zeng, F.; Wang, K.; Du, H.; Lu, S. Models of vegetation and soil coupling coordinative degree in grain for green project in depressions between karst hills. Trans. Chin. Soc. Agric. Eng. 2011, 27, 305–310. [Google Scholar]
- Jiyi, Z.; Halin, Z.; Tonghui, Z.; XueYong, Z. Dynamics of species diversity of communities in restoration processes in Horqin Sandy Land. Acta Phytoecol. Sin. 2004, 28, 86–92. [Google Scholar] [CrossRef]
- Nilsson, M.-C.; Wardle, D.A. Understory vegetation as a forest ecosystem driver: Evidence from the northern Swedish boreal forest. Front. Ecol. Environ. 2005, 3, 421–428. [Google Scholar] [CrossRef]
- Liu, Y.-F.; Huang, Z.; Meng, L.-C.; Li, S.-Y.; Wang, Y.-B.; Liu, Y.; López-Vicente, M.; Wu, G.-L. Understory shading exacerbated grassland soil erosion by changing community composition. Catena 2022, 208, 105771. [Google Scholar] [CrossRef]
- Thomaes, A.; de Keersmaeker, L.; Verschelde, P.; Vandekerkhove, K.; Verheyen, K. Tree species determine the colonisation success of forest herbs in post-agricultural forests: Results from a 9 yr introduction experiment. Biol. Conserv. 2014, 169, 238–247. [Google Scholar] [CrossRef]
- Wei, L.; Archaux, F.; Hulin, F.; Bilger, I.; Gosselin, F. Stand attributes or soil micro-environment exert greater influence than management type on understory plant diversity in even-aged oak high forests. For. Ecol. Manag. 2020, 460, 117897. [Google Scholar] [CrossRef]
- Ma, K.; Huang, J.; Yu, S.; Chen, L. Plant Community Diversity in Ongling Mountain, Beijing, China: II. Species Richness, Evenness and Species Diversities. ACTA Ecol. Sin. 1995, 15, 268–277. [Google Scholar]
- Gilliam, F.S. The ecological significance of the herbaceous layer in temperate forest ecosystems. BioScience 2007, 57, 845–858. [Google Scholar] [CrossRef]
- Cook, J.E. Structural effects on understory attributes in second-growth forests of northern Wisconsin, USA. For. Ecol. Manag. 2015, 347, 188–199. [Google Scholar] [CrossRef]
- Sasaki, K.; Shirakura, F.; Mallory, F.F. Woody Plant Communities after 40 Years of Pollution Control and Restoration in Smelter-Denuded Landscapes. Northeast. Nat. 2022, 29, 82–96. [Google Scholar] [CrossRef]
- Sun, H.; Zhang, J.; Wang, R.; Li, Z.; Sun, S.; Qin, G.; Song, Y. Effects of vegetation restoration on soil enzyme activity in copper and coal mining areas. Environ. Manag. 2021, 68, 366–376. [Google Scholar] [CrossRef]
- Guo, D.; Shi, Z.; Li, H.; Bai, Z.; Shao, H. The correlation between eco-restoring modes and soil quality succession during plant re-vegetation in large-scale mining areas. Pak. J. Bot. 2020, 52, 317–322. [Google Scholar] [CrossRef]
- Yuan, Y.; Li, X.; Xiong, D.; Wu, H.; Zhang, S.; Liu, L.; Li, W. Effects of restoration age on water conservation function and soil fertility quality of restored woodlands in phosphate mined-out areas. Environ. Earth Sci. 2019, 78, 653. [Google Scholar] [CrossRef]
- Zhang, L.; Wang, J.; Bai, Z.; Lv, C. Effects of vegetation on runoff and soil erosion on reclaimed land in an opencast coal-mine dump in a loess area. Catena 2015, 128, 44–53. [Google Scholar] [CrossRef]
- Indorante, S.J.; Jansen, I.J.; Boast, C.W. Surface mining and reclamation: Initial changes in soil character. J. Soil Water Conserv. 1981, 36, 347–351. [Google Scholar]
- Qin, Z.; Chen, Q.; Ji, X.; Ming, S.; Du, Q. Biodiversity protection and ecological restoration of Guilin Karst quarry. In E3S Web of Conferences, 2020; EDP Sciences: Les Ulis, France, 2020; Volume 194, p. 04025. [Google Scholar]
- Vahter, T.; Bueno, C.G.; Davison, J.; Herodes, K.; Hiiesalu, I.; Kasari-Toussaint, L.; Oja, J.; Olsson, P.A.; Sepp, S.K.; Zobel, M. Co-introduction of native mycorrhizal fungi and plant seeds accelerates restoration of post-mining landscapes. J. Appl. Ecol. 2020, 57, 1741–1751. [Google Scholar] [CrossRef]
- Meng, C.; Lanlan, Z.; Zhen, L.; Zhiqing, Z.; Liping, Z.; Yuanfang, H. Effects of regenerated periods and vegetation modes on soil microbial functional diversity in regenerated land of opencast coal mine. Trans. Chin. Soc. Agric. Eng. 2019, 35, 278–285. [Google Scholar]
- Institute of Soil Science, Chinese Academy of Sciences. Soil Physical Properties Determination Method; Science Press: Beijing, China, 1978. [Google Scholar]
- Bao, S. Soil Agrochemical Analysis; China Agriculture Press: Beijing, China, 2000. [Google Scholar]
- Wang, Y.; Jiang, Z.; Wang, J. Impact of sloping land conversion program on coupling of agricultural ecological system. Syst. Eng. Theory Pract. 2015, 35, 3155–3163. [Google Scholar]
- Organisation for Economic Co-Operation and Development (OECD). Environmental Indicators-Development, Measurement and Use; OECD: Paris, France, 2003. [Google Scholar]
- Guo, C.; Zhang, F.; Wang, X.; Lu, N. Effects of meteorology and soil on the herb species diversity in plantations in a reclamation area of coal mine after 6 years. Environ. Sci. Pollut. Res. 2020, 27, 24231–24241. [Google Scholar] [CrossRef]
- Feng, F.; Xu, L.; Gu, Q.; Liu, Y.; Yang, Y.; Liu, R. Characteristics of natural plant community and its relationship with soil physi-chemical properties in Ningdong mining area. Bullet. Soil Water Conserv. 2021, 41, 48–56. [Google Scholar]
- Wang, L.; Guo, D.; Bai, Z.; Shangguan, T. Species composition and spatial pattern of understory herbaceous plants on an ecological rehabilitation site from open coal mining. Chin. J. Appl. Environ. Biol. 2012, 18, 399–404. [Google Scholar] [CrossRef]
- Geng, B.; Wang, S.; Cao, Y.; Guo, C.; Guo, D.; Zhao, B.; Bai, Z. Comparative analysis of vegetation reconstruction characteristics of different years in the reclaimed land of the Pingshuo opencast mining area, Shanxi Province. Acta Ecol. Sin. 2022, 42, 3400–3419. [Google Scholar]
- Gou, Q.; Liu, J.; Wang, G.; Zhao, F. Changes of herbaceous plant composition and niche characteristics in differentaged artificial Caragana korshinskii forest in sandy-hilly region of northwest Shanxi Province, China. Acta Ecol. Sin. 2022, 22, 1–22. [Google Scholar]
- Hao, H.; Liu, Y.; Wang, D.; Yang, Z.; Wu, G. Influence of Restoration on Community Plant Diversity and Spatial Structure of Typical Grasslands. Acta Agrestia Sin. 2016, 24, 754–759. [Google Scholar]
- Nie, Y.; Xu, L.; Xin, X.; Chen, B.; Zhang, B. Effects of fence enclosure on the plant community composition and niche characteristics in a temperate meadow steppe. Acta Prataculturae Sin. 2020, 29, 11–22. [Google Scholar]
- Zhang, Y.; Zhou, Q.; Xu, J.; Wei, M.; Chen, J.; He, W.; Wang, P.; Yan, Z. Effects of Forest Ages on the Diversity of Understory Plants and Soil Seed Bank of Pinus massoniana Plantations. Ecol. Environ. Sci. 2021, 30, 2121–2129. [Google Scholar]
- Mao, Y.; Chen, F.; Guo, Y.; Liu, J.; Jiang, F.; Li, X. Restoration dynamics of understory species diversity in Castanopsis hystrix plantations at different ages. Chin. J. Appl. Environ. Biol. 2021, 27, 930–937. [Google Scholar]
- Wang, C.; Fu, B.; Zhang, L.; Xu, Z. Soil moisture–plant interactions: An ecohydrological review. J. Soils Sediments 2019, 19, 1–9. [Google Scholar] [CrossRef]
- Gao, R.; Ai, N.; Liu, G.; Liu, C.; Zhang, Z. Soil C:N:P Stoichiometric Characteristics and Soil Quality Evaluation under Different Restoration Modes in the Loess Region of Northern Shaanxi Province. Forests 2022, 13, 913. [Google Scholar] [CrossRef]
- Wang, Q.; Quan, Z.; Han, Y.; Fu, M.; Ye, Y. Variation of Vegetation Diversity and Its Soil Relationship with Soil Physical and Chemical Property in Lands of Different Geomorphic Types in Coal Mining Subsidence Area. Acta Bot. Boreal. Occid. Sin. 2014, 34, 1642–1651. [Google Scholar]
- Cui, N.; Zhang, D.; Liu, Y.; Zhang, J.; Ou, J.; Zhang, J.; Chao, D.; Tuowei, J. Plant diversity and soil physicochemical properties under different aged Pinus massoniana plantations. Chin. J. Ecol. 2014, 33, 2610–2617. [Google Scholar]
- Jiao, J.; Zhang, Z.; Bai, W.; Jia, Y.; Wang, N. Assessing the ecological success of restoration by afforestation on the Chinese Loess Plateau. Restor. Ecol. 2012, 20, 240–249. [Google Scholar] [CrossRef]
- Souza, A.F.; Ramos, N.P.; Pizo, M.A.; Hübel, I.; Crossetti, L.O. Afforestation effects on vegetation structure and diversity of grasslands in southern Brazil: The first years. J. Nat. Conserv. 2013, 21, 56–62. [Google Scholar] [CrossRef]
- Wang, H.; Zhang, M.; Nan, H. Abiotic and biotic drivers of species diversity in understory layers of cold temperate coniferous forests in North China. J. For. Res. 2019, 30, 2213–2225. [Google Scholar] [CrossRef]
- Huang, Z. Soil Water Balanc of Typical Artificial and Natural Grasslands in the Semi-Arid Loess Plateau. Master’s Thesis, Northwest A&F University, Xianyang, China, 2017. [Google Scholar]
- Wang, L. Comprehensive Evaluation of Vegetation Disturbance-Damage-Restoration and Restoration Scheme in Mining Area from the Perspective of Resilience. Ph.D. Thesis, China University of Mining and Technology, Xuzhou, China, 2021. [Google Scholar]
- Bobbink, R.; Hicks, K.; Galloway, J.; Spranger, T.; Alkemade, R.; Ashmore, M.; Bustamante, M.; Cinderby, S.; Davidson, E.; Dentener, F. Global assessment of nitrogen deposition effects on terrestrial plant diversity: A synthesis. Ecol. Appl. 2010, 20, 30–59. [Google Scholar] [CrossRef] [PubMed]
- Walter, C.A.; Raiff, D.T.; Burnham, M.B.; Gilliam, F.S.; Adams, M.B.; Peterjohn, W.T. Nitrogen fertilization interacts with light to increase Rubus spp. cover in a temperate forest. Plant Ecol. 2016, 217, 421–430. [Google Scholar] [CrossRef]
- Wu, J.; Liu, W.; Fan, H.; Huang, G.; Wan, S.; Yuan, Y.; Ji, C. Asynchronous responses of soil microbial community and understory plant community to simulated nitrogen deposition in a subtropical forest. Ecol. Evol. 2013, 3, 3895–3905. [Google Scholar] [CrossRef] [PubMed]
- Xu, L.; Feng, F.; Liu, Y.; Yang, Y.; Zheng, W. Relationship between plant species diversity and soil chemical properties in coal gangue dump:early stage of ecological restoration in Lingwu Mining Area. Coal Sci. Technol. 2020, 48, 97–104. [Google Scholar]
- Chen, X.; Li, Y.; Zuo, Y.; Lin, S.; Chu, D.; He, K. Effects of Stand Characteristics and Soil Nutrient Characteristics on Herbaceous Diversity. Acta Bot. Boreal. Occid. Sin. 2022, 42, 1396–1407. [Google Scholar]
- Hu, Y.; Feng, Q.; Yin, X.; Tang, G.; Xu, L.; Li, F.; Peng, H.; Zhang, J. Effects of planting grasses under forests on physical and chemical properties of forest soils in Northern Guangdong. Chin. J. Grassl. 2021, 43, 58–65. [Google Scholar]
- Strengbom, J.; Walheim, M.; Näsholm, T.; Ericson, L. Regional differences in the occurrence of understorey species reflect nitrogen deposition in Swedish forests. Ambio 2003, 32, 91–97. [Google Scholar] [CrossRef]
- Odum, E.P. Productivity and biodiversity: A two-way relationship. Bull. Ecol. Soc. Am. 1998, 79, 125. [Google Scholar]
- Yuan, X.; Gao, Z.; Zhang, X.; Du, J.; Bai, H.; Xu, B. Improved effects of different legume plants on the abandoned soil field in the Loess Plateau. Sci. Soil Water Conserv. 2016, 14, 121–127. [Google Scholar]
- Li, X.; Zhang, M.; Guo, Y.; Li, D.; Deng, Y.; Lu, Z. Relationship Between Understory Plant Diversity and Soil Factors in Coal Mining Subsidence Area. J. Soil Water Conserv. 2022, 36, 268–276. [Google Scholar]
- Bao, Y.; Wang, J.; Sun, D.; Liu, Y. Study on Technology of Stumping and Rejuvenating of Hipplphae Rhamnoides Linn. Prot. For. Sci. Technol. 2004, 3, 14–20. [Google Scholar]
- Li, T.; Li, Y.; Tian, T.; He, B.; Xu, D.; Gao, J.; Li, G. Density dynamics with model adjustments for stump sprouts of Hippophae rhamnoides subsp. sinensis. J. Zhejiang A F Univ. 2011, 28, 713–719. [Google Scholar]
- Zhao, X.; Xie, Y.; Ma, X.; Wang, S. Vegetation structure and its relationship with soil physicochemical properties in restoring sandy grassland in Horqin Sandy Land. J. Desert Res. 2022, 42, 134–141. [Google Scholar]



| Sample Code | Plot Type | Restore Year | Altitude (m) | Plant Spacing × Row Spacing (m) | Base Diamete (cm) | Height (cm) |
|---|---|---|---|---|---|---|
| R7 | Macro-fruit seabuckthorn | 7 | 1350 | 2 m × 3 m | 4.2 ± 0.15 | 168 ± 3.84 |
| R6 | Macro-fruit seabuckthorn | 6 | 1320 | 2 m × 3 m | 5.2 ± 0.19 | 190 ± 3.55 |
| R5 | Macro-fruit seabuckthorn | 5 | 1370 | 2 m × 3 m | 3.8 ± 0.29 | 167 ± 2.92 |
| R4 | Macro-fruit seabuckthorn | 4 | 1390 | 2 m × 3 m | 4.1 ± 0.13 | 163 ± 2.18 |
| R3 | Macro-fruit seabuckthorn | 3 | 1390 | 2 m × 3 m | 3.0 ± 0.11 | 126 ± 2.3 |
| NG | Natural restoration grassland | 7 | 1390 | / | / | / |
| AG | Artificial grassland | 7 | 1390 | / | / | / |
| Coupling Degree (C) | 0 ≤ C < 0.4 | 0.4 ≤ C < 0.5 | 0.5 ≤ C < 0.6 | 0.6 ≤ C < 0.7 | 0.7 ≤ C < 0.8 | 0.8 ≤ C < 0.9 | 0.9 ≤ C < 1 |
|---|---|---|---|---|---|---|---|
| Type of coordination | Serious incoordination | Medium incoordination | Light incoordination | Light coordination | Medium coordination | Favorable coordination | Superior coordination |
| R7 | R6 | R5 | R4 | R3 | NG | AG | |
|---|---|---|---|---|---|---|---|
| BD (g/cm3) | 1.21 ± 0.03 bc | 1.14 ± 0.06 c | 1.25 ± 0.02 ab | 1.31 ± 0.02 a | 1.15 ± 0.03 c | 1.19 ± 0.02 bc | 1.28 ± 0.02 a |
| TCP (%) | 40.87 ± 2.8 c | 48.24 ± 0.64 a | 43.48 ± 0.62 bc | 45.04 ± 2.24 ab | 43.12 ± 0.84 bc | 44.5 ± 1.45 bc | 43.19 ± 1.31 bc |
| SWC (%) | 7.19 ± 0.24 cd | 9.52 ± 0.37 b | 6.34 ± 0.41 d | 8.16 ± 0.37 bc | 12.53 ± 1.42 a | 11.05 ± 0.79 a | 4.43 ± 0.53 e |
| SMC (%) | 34.47 ± 2.05 d | 42.59 ± 1.47 a | 35.01 ± 0.18 bcd | 34.92 ± 1.92 bcd | 37.81 ± 0.66 b | 37.53 ± 0.58 bc | 34.75 ± 0.89 cd |
| CWHC (%) | 24.63 ± 0.68 c | 34.62 ± 1.34 a | 24.09 ± 0.72 c | 24.65 ± 1.08 c | 30.52 ± 0.09 b | 30.57 ± 0.56 b | 25.21 ± 0.92 c |
| Clay (%) | 4.25± 0.32 a | 3.07 ± 0.48 c | 2.31 ± 0.16 d | 2.28 ± 0.14 d | 3.25 ± 0.36 bc | 3.70 ± 0.16 ab | 2.94 ± 0.11 c |
| Silt (%) | 68.77± 3.07 a | 59.41 ± 2.81 bc | 52.55 ± 5.89 cd | 48.22 ± 3.64 d | 62.33 ± 2.76 ab | 68.45 ± 0.91 a | 48.02 ± 0.56 d |
| Sand (%) | 26.98 ± 3.39 c | 37.51 ± 3.01 b | 45.14 ± 6.05 a | 49.50 ± 3.78 a | 34.41 ± 3.03 bc | 27.85 ± 0.75 c | 48.63 ± 0.7 a |
| pH | 7.89 ± 0.03 b | 7.62 ± 0.1 cd | 7.62 ± 0.1 cd | 7.75 ± 0.02 bcd | 8.4 ± 0.05 a | 7.82 ± 0.03 bc | 7.56 ± 0.18 d |
| EC (μS/cm) | 142.38 ± 9.66 a | 98.39 ± 4.62 bc | 76.34 ± 9.05 d | 85.41 ± 5.73 cd | 139.34 ± 11.92 a | 143.01 ± 15.9 a | 111.67 ± 1.16 b |
| SOC (g/kg) | 7.56 ± 0.59 a | 2.83 ± 0.89 b | 6.98 ± 0.38 a | 6.54 ± 1.2 a | 3.39 ± 0.71 b | 7.17 ± 0.8 a | 6.56 ± 0.09 a |
| AN (mg/kg) | 8.33 ± 0.07 b | 9.83 ± 1.08 a | 8.47 ± 0.24 ab | 9.1 ± 1.17 ab | 7.91 ± 0.33 b | 3.08 ± 0.08 c | 3.58 ± 0.27 c |
| AK (mg/kg) | 85.13 ± 8.88 ab | 56.47 ± 23.24 bcd | 72.73 ± 21.42 abc | 40.83 ± 8.06 cd | 98.07 ± 14.59 a | 39.6 ± 1.19 d | 42.27 ± 1.39 cd |
| AP (mg/kg) | 53.35 ± 5.99 a | 19.98 ± 12.99 bc | 9.62 ± 1.49 d | 6.63 ± 0.64 d | 17.39 ± 4.54 bc | 24.46 ± 0.82 b | 10.99 ± 0.38 d |
| TP (g/kg) | 0.34 ± 0.01 de | 0.66 ± 0.03 a | 0.54 ± 0.02 b | 0.44 ± 0.02 cd | 0.31 ± 0.07 e | 0.4 ± 0.02 cd | 0.48 ± 0.05 bc |
| Restore Year | Species Number | Top Five Importance Values | ||||
|---|---|---|---|---|---|---|
| 7 | 9 | Leymus chinensis (Trin.) Tzvel. | Achnatherum splendens (Trin.) Nevski | Calamagrostis epigeios (L.) Roth | Cirsium arvense var. integrifolium | Phragmites australis (Cav.) Trin. ex Steud. |
| 0.2109 | 0.1606 | 0.1522 | 0.1253 | 0.1164 | ||
| 6 | 12 | Echinochloa crusgalli (L.) Beauv. | Calamagrostis epigeios (L.) Roth | Artemisia annua Linn. | Dracocephalum moldavica L. | Artemisia ordosica Krasch. |
| 0.2452 | 0.1750 | 0.1574 | 0.1048 | 0.0625 | ||
| 5 | 8 | Leymus chinensis (Trin.) Tzvel. | Achnatherum splendens (Trin.) Nevski | Calamagrostis epigeios (L.) Roth | Artemisia annua Linn. | Artemisia ordosica Krasch. |
| 0.2762 | 0.2421 | 0.2048 | 0.1328 | 0.0736 | ||
| 4 | 9 | Lepidium apetalum Willd. | Melilotus officinalis (L.) Pall. | Echinochloa crusgalli (L.) Beauv. | Incarvillea sinensis Lam. | Sonchus oleraceus L. |
| 0.2979 | 0.1459 | 0.1371 | 0.1156 | 0.0805 | ||
| 3 | 7 | Lepidium apetalum Willd. | Melilotus officinalis (L.) Pall. | Salsola collina Pall. | Oxytropis neimonggolica C. W. Chang et Y. Z. Zhao | Setaria viridis (L.) Beauv. |
| 0.3493 | 0.2441 | 0.1970 | 0.0718 | 0.0552 | ||
| Natural restoration grassland | 28 | Artemisia sieversiana Ehrhart ex Willd. | Achnatherum splendens (Trin.) Nevski | Artemisia gmelinii | Cynanchum chinense R. Br. | Artemisia capillaris Thunb. |
| 0.1035 | 0.0816 | 0.0787 | 0.0787 | 0.0612 | ||
| Artificial grassland | 32 | Achnatherum splendens (Trin.) Nevski | Cynanchum chinense R. Br. | Phragmites australis (Cav.) Trin. ex Steud. | Artemisia sieversiana Ehrhart ex Willd. | Miscanthus sinensis cv. |
| 0.1107 | 0.0794 | 0.0768 | 0.0729 | 0.0677 | ||
| Restore Year | Coupling | Coordination Type |
|---|---|---|
| 7 | 0.67 | Light coordination |
| 6 | 0.70 | Medium coordination |
| 5 | 0.73 | Medium coordination |
| 4 | 0.69 | Light coordination |
| 3 | 0.65 | Light coordination |
| Natural restoration grassland | 0.65 | Light coordination |
| Artificial grassland | 0.51 | Light incoordination |
Publisher’s Note: MDPI stays neutral with regard to jurisdictional claims in published maps and institutional affiliations. |
© 2022 by the authors. Licensee MDPI, Basel, Switzerland. This article is an open access article distributed under the terms and conditions of the Creative Commons Attribution (CC BY) license (https://creativecommons.org/licenses/by/4.0/).
Share and Cite
Gao, R.; Ai, N.; Liu, G.; Liu, C.; Qiang, F.; Zhang, Z.; Xiang, T.; Zang, K. The Coupling Relationship between Herb Communities and Soil in a Coal Mine Reclamation Area after Different Years of Restoration. Forests 2022, 13, 1481. https://doi.org/10.3390/f13091481
Gao R, Ai N, Liu G, Liu C, Qiang F, Zhang Z, Xiang T, Zang K. The Coupling Relationship between Herb Communities and Soil in a Coal Mine Reclamation Area after Different Years of Restoration. Forests. 2022; 13(9):1481. https://doi.org/10.3390/f13091481
Chicago/Turabian StyleGao, Rui, Ning Ai, Guangquan Liu, Changhai Liu, Fangfang Qiang, Zhiyong Zhang, Ting Xiang, and Kaixuan Zang. 2022. "The Coupling Relationship between Herb Communities and Soil in a Coal Mine Reclamation Area after Different Years of Restoration" Forests 13, no. 9: 1481. https://doi.org/10.3390/f13091481
APA StyleGao, R., Ai, N., Liu, G., Liu, C., Qiang, F., Zhang, Z., Xiang, T., & Zang, K. (2022). The Coupling Relationship between Herb Communities and Soil in a Coal Mine Reclamation Area after Different Years of Restoration. Forests, 13(9), 1481. https://doi.org/10.3390/f13091481

