Sign in to use this feature.

Years

Between: -

Subjects

remove_circle_outline
remove_circle_outline
remove_circle_outline
remove_circle_outline
remove_circle_outline
remove_circle_outline
remove_circle_outline
remove_circle_outline
remove_circle_outline

Journals

remove_circle_outline
remove_circle_outline
remove_circle_outline
remove_circle_outline
remove_circle_outline
remove_circle_outline
remove_circle_outline
remove_circle_outline
remove_circle_outline
remove_circle_outline
remove_circle_outline
remove_circle_outline
remove_circle_outline
remove_circle_outline
remove_circle_outline
remove_circle_outline
remove_circle_outline
remove_circle_outline
remove_circle_outline

Article Types

Countries / Regions

remove_circle_outline
remove_circle_outline
remove_circle_outline
remove_circle_outline
remove_circle_outline
remove_circle_outline
remove_circle_outline
remove_circle_outline
remove_circle_outline

Search Results (5,936)

Search Parameters:
Keywords = mining area

Order results
Result details
Results per page
Select all
Export citation of selected articles as:
18 pages, 2332 KB  
Article
Parameter Optimization and Engineering Effect of Cut-and-Fill Mining Technology
by Xiaolei Lv, Zhiqiang Wang, Baowei Meng, Weiping Shi, Yaohua Yv and Changxiang Wang
Appl. Sci. 2026, 16(5), 2391; https://doi.org/10.3390/app16052391 (registering DOI) - 28 Feb 2026
Abstract
To address the limitations of existing subsidence control technologies in coal mining, this study systematically investigates the fundamental principles of cut-and-fill mining, the stability mechanism of the filling body, and the influence law of key parameters on mining engineering effects, through a comprehensive [...] Read more.
To address the limitations of existing subsidence control technologies in coal mining, this study systematically investigates the fundamental principles of cut-and-fill mining, the stability mechanism of the filling body, and the influence law of key parameters on mining engineering effects, through a comprehensive research framework integrating theoretical analysis, similar material simulation and numerical simulation. Firstly, the mechanical characteristics of horizontal and diagonal shear failure of gangue pillars are revealed via theoretical derivation. It is clarified that the diagonal stability of the gangue pillar can be guaranteed when its aspect ratio is ≤0.5, and the lateral constraint of metal mesh can effectively enhance its horizontal stability. Secondly, based on a physical model with a size similarity ratio of 1:100, the overburden failure characteristics are obtained: only local cracks appear in the immediate roof and the basic roof presents gentle subsidence after cut-and-fill mining, which directly verifies the effective control effect of this technology on mining-induced overburden movement and surface subsidence. On this basis, multiple sets of orthogonal tests are designed using FLAC3D software (5.0) to analyze the effects of roof cutting width, filling width and coal seam thickness on roof displacement and filling area stress. Combined with grey correlation analysis, it is determined that coal seam thickness is the most critical factor affecting the mining effect, with the correlation coefficients for roof displacement and filling area stress reaching 0.79 and 0.93, respectively. The research shows that the parameter combination of 10 m roof cutting width + 10 m filling width (Group 10-10-X) can achieve the optimal balance between subsidence control efficiency and filling engineering benefit; for working faces with higher requirements for surface subsidence control, the combination of 5 m roof cutting width + 10 m filling width is recommended. The research results clarify the action mechanism of cut-and-fill mining, optimize the key engineering parameters, and provide a solid theoretical basis and technical support for the engineering popularization of this technology and high-precision surface subsidence control. Full article
(This article belongs to the Special Issue Advanced Technologies in Intelligent and Sustainable Coal Mining)
22 pages, 11566 KB  
Article
Chronology and Geochemistry of the REE-Mineralized Hatu Alkaline Rock, Mid-Eastern Kunlun
by Shouzhi Zhan, Guangming Ren, Shukuan Wu, Tao Tian and Lizhi Zhao
Minerals 2026, 16(3), 263; https://doi.org/10.3390/min16030263 (registering DOI) - 28 Feb 2026
Abstract
The alkaline rocks located in the Hatu area of Dulan county in the middle section of the East Kunlun Orogenic Belt have a relatively high content of light rare earth elements (LREE). This study conducted scanning electron microscopy (SEM) petrographic methods, zircon U-Pb [...] Read more.
The alkaline rocks located in the Hatu area of Dulan county in the middle section of the East Kunlun Orogenic Belt have a relatively high content of light rare earth elements (LREE). This study conducted scanning electron microscopy (SEM) petrographic methods, zircon U-Pb dating, and geochemical work on two REE-mineralized alkaline rock outcrops, providing support for further work and study in the mining area. The REE-mineralized alkaline rocks are composed of alkali feldspar syenite, hornblende alkali feldspar syenite, and quartz alkali feldspar syenite. SEM analysis indicates that the REE are mainly hosted in REE-bearing minerals such as chevkinite, parisite, allanite, and monazite. The alkali feldspar syenite and hornblende alkali feldspar are enriched in REE, with a content of 994 × 10−6~5054 × 10−6. The zircon U-Pb dating results show that the ages of the two REE-mineralized alkaline rock are 423.6 ± 2.7 Ma and 431.2 ± 5.3 Ma, respectively. Geochemical analysis indicates that the Hatu alkaline rocks can be classify as A-type granite, and are characterized by evidence of a mixture of materials from the crust and mantle. Considering the regional tectonic history, it is primarily inferred that the Hatu REE-mineralization alkaline rocks were formed after the closure of the Proto-Tethys Ocean Basin and the Eastern Kunlun region experienced extensional tectonic stage, resulting in the upwelling of asthenospheric material and heating of crustal material. This study provides theoretical support for regional geochemical research and further exploration efforts in the Hatu area. Full article
31 pages, 22891 KB  
Article
Geochemical Indicators of the Peraluminous W-Cu-Mo-(±Sn-Li-Ta-Nb) Granites in Dahutang Orefield in Northern Jiangxi and Their Significance for Exploration
by Haimin Ye, Mangting Shen, Minggang Yu, Cunzhi Wang and Feipeng Fan
Minerals 2026, 16(3), 262; https://doi.org/10.3390/min16030262 (registering DOI) - 28 Feb 2026
Abstract
The origin of Mesozoic granites associated with the Dahutang W-Cu-Mo orefield in northern Jiangxi, which hosts the world’s second-largest tungsten deposit, remains a compelling subject despite extensive geochemical and geochronological studies. In this contribution, we present wolframite mineral and whole-rock geochemistry, as well [...] Read more.
The origin of Mesozoic granites associated with the Dahutang W-Cu-Mo orefield in northern Jiangxi, which hosts the world’s second-largest tungsten deposit, remains a compelling subject despite extensive geochemical and geochronological studies. In this contribution, we present wolframite mineral and whole-rock geochemistry, as well as monazite and zircon U-Pb ages, for the Mesozoic granites to constrain our understanding of the petrogenesis of these granites and their coupling relationship with the mineralization. The following two magmatic phases and four types of rocks in the study area are identified: the early stage (152–147 Ma) biotite (G1) granites and the late stage (144–130 Ma) two-mica (G2),muscovite (G3), and albite (G4) granite series. These two magmatic phases are temporally coincident with two mineralization stages (~150 Ma and 144–139 Ma). All the Mesozoic granites share the characteristics of high silica content, peraluminosity (A/CNK > 1.1), and low Zr + Nb + Ce + Y values (<200 ppm); they are derived from the partial melting of a Proterozoic crustal source and classified as S-type granites. Specifically, the G1 granites are characterized by relatively high MgO (~0.5%), CaO (~1%), and low P2O5 (0.13%–0.20%). They formed through a relatively high degree of partial melting at approximately 766 °C (zircon saturation temperatures), a process influenced by biotite dehydration reactions, with minor contributions from mantle-derived materials. In contrast, the G2–G4 granite series exhibits more typical peraluminous S-type granite features, such as high Al2O3, Na2O, and P2O5 (mostly > 0.2%) contents, and low Sr and Ba contents. They are products of low-degree partial melting that occurred under conditions close to muscovite breakdown at ~726 °C. Additionally, fluid–melt interaction is recorded in both granites by distinctive geochemical signatures, including enrichment in Sn (>30 ppm), Cs (>35 ppm), Li (>250 ppm), F (>0.4%), and W (10–1000 ppm), coupled with low K/Rb (<150) and Nb/Ta (<5) ratios. The near-chondritic Zr/Hf (22.6–34.1) and Y/Ho (24.5–31.5) ratios of the G1 granites imply a relatively limited role of magmatic fluid–melt interaction during its evolution. For the G2–G4 granites, however, intense crystal fractionation and late-stage fluid–melt interaction are well-documented by their highly variable and low ratios of Y/Ho (14.8–41.4), Nb/Ta (0.89–5.57), Zr/Hf (8.84–41.67), and K/Rb (13.96–128.29). In the long-lived, reduced, and volatile-rich aqueous environment of the G2–G4 magmas, fractional crystallization and albitization collectively enhanced the solubility and hydrothermal transport capacity of W, Sn, Li, Nb, and Ta by multiple orders of magnitude. In contrast, in the earlier, more oxidized G1 magmas (which incorporated mantle materials), the exsolution and hydrothermal transport of Cu and Mo were associated with localized greisenization, but their capacity diminished with fractional crystallization. Historically, mineral exploration in the Dahutang mining area has focused primarily on W, Cu, and Mo. Based on this research, we conclude that there is significant mineral potential for rare metals (particularly Sn, Li, and Ta), and future exploration should prioritize areas adjacent to the evolved G2–G4 peraluminous leucogranites to search for new concealed mineral occurrences. Full article
(This article belongs to the Section Mineral Exploration Methods and Applications)
Show Figures

Figure 1

39 pages, 21799 KB  
Article
Beyond Barren Land: Establishing Gypsum Botanical Gardens as a Successful Tool for Conservation and Ecosystem Restoration
by Juan Francisco Mota, Francisco López-de-Haro, Fabián Martínez-Hernández, Esteban Salmerón-Sánchez, Antonio Jesús Mendoza-Fernández, Francisco Javier Pérez-García, Federico Carlos Escudero-Clares, Paula Mota-Merlo, María Jesús Fernández-Cobo, Lucía Miranda-Hernández, María del Mar González-Beltrán, Kevin Hernández-Martínez and Encarna Merlo
J. Zool. Bot. Gard. 2026, 7(1), 14; https://doi.org/10.3390/jzbg7010014 (registering DOI) - 28 Feb 2026
Abstract
Modern botanical gardens are essential for conservation, research, education, and recreation. However, recreating habitats with extreme edaphic conditions, such as the Iberian gypsum steppes (priority habitat 1520), poses a significant challenge due to the severe physicochemical constraints of gypsisols. This work aimed to [...] Read more.
Modern botanical gardens are essential for conservation, research, education, and recreation. However, recreating habitats with extreme edaphic conditions, such as the Iberian gypsum steppes (priority habitat 1520), poses a significant challenge due to the severe physicochemical constraints of gypsisols. This work aimed to present and evaluate a biomimetic protocol for establishing two gypsum botanical gardens in the southeast Iberian Peninsula, one on a university campus and one at a mining concession, to fulfil all four prototypical functions. The design was biomimetic, replicating the floristic (Gypsophiletalia scrublands) and edaphic characteristics of natural gypsum areas. Crucially, gypsum-milling waste (fines) from the mining operation was repurposed as the main substrate to create the artificial gypsisols. Physicochemical analyses confirmed this strategy effectively replicated the key chemical properties of natural gypsisols, including high CaSO4 concentration, pH, and electrical conductivity, although the artificial soils displayed the low carbon and nitrogen content typical of disturbed gypsum soils. The gardens successfully fulfilled their conservation role by maintaining populations of endemic and threatened gypsophilous species, which flowered and set fruit. The industrial garden validated a research function by serving as a platform for the successful translocation of threatened Narcissus tortifolius bulbs. This project validates a replicable, biomimetic technical protocol that transforms a mining residue into a functional substrate for conservation. The dual model (academic/industrial) maximizes the botanical garden’s functions, offering an effective and highly visible strategy for conserving gypsum biodiversity and countering the social undervaluation of these extreme ecosystems. Full article
Show Figures

Figure 1

19 pages, 759 KB  
Article
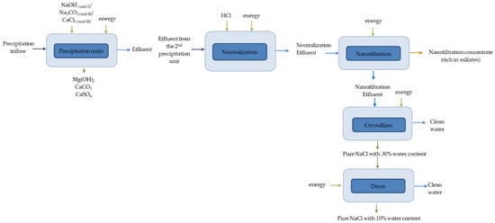
Evaluating the Environmental Footprint: An LCA Study of a Pilot System Treating Potassium Mining Wastewater
by Stavroula Klempetsani, Maria Kyriazi, Maria Avramidi, Krzysztof Mitko, Dionysia Diamantidou, Grzegorz Gzyl, Anna Skalny, Christina Xenogianni, Kallirroi Panteleaki, Dmitry Ponomarenko and Dimitris Malamis
Water 2026, 18(5), 584; https://doi.org/10.3390/w18050584 (registering DOI) - 28 Feb 2026
Abstract
Potassium mining activities result in the discharge of highly saline wastewaters, creating severe environmental impacts in water and soil. This study evaluates the environmental performance of a novel pilot system developed in the framework of the LIFE Brine-Mining project. The system comprises membrane, [...] Read more.
Potassium mining activities result in the discharge of highly saline wastewaters, creating severe environmental impacts in water and soil. This study evaluates the environmental performance of a novel pilot system developed in the framework of the LIFE Brine-Mining project. The system comprises membrane, precipitation and thermal technologies, recovering high-purity water and five valuable resources from it: magnesium hydroxide, calcium carbonate, calcium sulfate, sodium chloride, and potassium chloride. A cradle-to-grave Life Cycle Assessment (LCA) was performed following the standards ISO14040 and EN15804 and using 1 m3 of potassium wastewater as functional unit. The LCA results indicated that the novel system environmental impact is mainly affected by the use of chemicals (20.63 × 100 kg/FU) during its operation and energy consumption (1.39 × 101 kWh/FU). The chemical use dominates areas like the Abiotic Depletion, and the Eutrophication Potential, and the Water Depletion Potential. The novel pilot system was compared with another novel configuration that treated a brine from coal mining activities and with a conventional method of potassium brine management, which is the disposal in underground old mines. The potassium brine treatment system exhibited lower environmental impact than the coal mine brine system, and outperformed compared to the conventional disposal method. Full article
(This article belongs to the Section Wastewater Treatment and Reuse)
Show Figures

Figure 1

17 pages, 9291 KB  
Article
Identification of Priority Conservation Areas in Ecological Networks of Coal Mining Subsidence Areas with High Groundwater Levels Using Cascading Failure Models
by Pingjia Luo, Zishuo Zhang, Shiyuan Zhou and Qinghe Hou
Land 2026, 15(3), 391; https://doi.org/10.3390/land15030391 (registering DOI) - 28 Feb 2026
Abstract
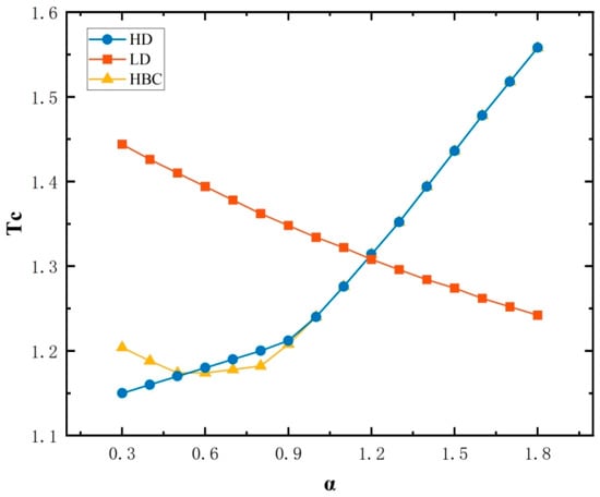
Mineral resource extraction and urban expansion in resource-based cities have progressively degraded regional ecosystems, leading to increasingly fragmented ecological patterns. Ecological network resilience plays a critical role in maintaining regional ecological stability. In this study, we integrated landscape ecology and systems science to [...] Read more.
Mineral resource extraction and urban expansion in resource-based cities have progressively degraded regional ecosystems, leading to increasingly fragmented ecological patterns. Ecological network resilience plays a critical role in maintaining regional ecological stability. In this study, we integrated landscape ecology and systems science to develop a network model and assess the resilience of ecological networks in the coal mining subsidence area with high groundwater levels. This study employed morphological spatial pattern analysis (MSPA) and circuit theory to construct the ecological network. A cascading failure model was further applied to simulate network dynamics under three attack strategies. Based on a comparative analysis of these strategies, we introduce the concept of “dangerous nodes” to identify priority conservation areas. The research results show that 101 ecological source areas and 255 ecological corridors were identified in the study area. Topologically, its ecological network is characterized by a small number of core nodes and a large number of secondary nodes. When the adjustable parameter is α<1.2, targeting low-degree nodes may inflict more severe damage on the network. When α>1.2, attacks against nodes with a high-degree or high betweenness centrality may have significant cascading failure implications. Our results show that the network’s critical threshold Tc depends on the number of dangerous nodes in the attack set. The distribution of these nodes differs substantially between low-degree attacks and those targeting high-degree or high betweenness centrality nodes. These findings advance ecological network optimization and provide practical guidance for ecosystem conservation and restoration in resource-based cities. Full article
Show Figures

Figure 1

16 pages, 1620 KB  
Article
Impact of Distinct Management Regimes on Wintering Waterbird Communities in China’s Coal Mining Subsidence Wetlands
by Sen Yang, Kai Cao, Yuanyuan Wang, Wenning Shen, Tong Lin, Ningning Liu, Jing Li, Lingbo Ji, Huiping Chen, Yanying Xu, Bo Tang and Ying Li
Diversity 2026, 18(3), 146; https://doi.org/10.3390/d18030146 (registering DOI) - 28 Feb 2026
Abstract
Natural wetland loss constitutes a primary threat to waterbirds worldwide, increasingly forcing them to rely on expanding artificial wetlands. Extensive underground coal mining across the North China Plain has created numerous subsidence wetlands, which could serve as important alternative habitats for migratory and [...] Read more.
Natural wetland loss constitutes a primary threat to waterbirds worldwide, increasingly forcing them to rely on expanding artificial wetlands. Extensive underground coal mining across the North China Plain has created numerous subsidence wetlands, which could serve as important alternative habitats for migratory and wintering waterbirds. However, the effects of different management regimes on waterbirds in these novel artificial wetlands remain poorly understood, hindering effective strategies for reconciling human development with waterbird conservation. Here, we conducted a long-term field survey (2017–2025) of wintering waterbirds across 15 subsidence wetlands under four distinct human management regimes in the Huaibei coal mining area. We recorded 22,712 waterbirds of 45 species. We found that high-intensity aquaculture and floating photovoltaic systems were associated with reduced waterbird diversity, increased community dissimilarity, altered species composition, and the loss of multiple threatened species from survey records. We also found that ecological aquaculture and unutilized wetlands may serve as favorable habitats as alternatives to natural wetlands. Our findings demonstrate that subsidence wetlands can provide vital wintering habitats when managed sustainably, but intensive development severely compromises their conservation value. Future research should integrate habitat variables and year-round surveys to optimize management strategies for these expanding artificial ecosystems. Full article
(This article belongs to the Special Issue Wetland Biodiversity and Ecosystem Conservation)
Show Figures

Figure 1

18 pages, 2283 KB  
Article
Mechanisms of Liquid Imbibition in Coal Controlled by Physical Structural Characteristics: A Theoretical and Experimental Study
by Zhen Liu, Kapenda Saviour, Muyao Zhu, He Yang, Zhixiang Wang and Yaqi Xu
Processes 2026, 14(5), 792; https://doi.org/10.3390/pr14050792 (registering DOI) - 28 Feb 2026
Abstract
Coal seam water injection is a widely used technique for dust suppression in coal mining. However, its effectiveness is often limited in low-permeability coal seams with poor wettability, primarily due to an unclear understanding of the wetting mechanism. To address this issue, a [...] Read more.
Coal seam water injection is a widely used technique for dust suppression in coal mining. However, its effectiveness is often limited in low-permeability coal seams with poor wettability, primarily due to an unclear understanding of the wetting mechanism. To address this issue, a spontaneous imbibition model of a curved capillary bundle incorporating surface roughness elements was established based on the Hagen–Poiseuille equation. The accuracy of the proposed model was validated through experimental measurements, and the effects of different structural parameters on liquid imbibition behavior were systematically investigated. The results indicate that an increase in pore area fractal dimension significantly enhances the spontaneous imbibition capacity of water within coal pores. Moreover, the relative roughness inside pores increases with the minimum pore diameter, leading to a higher imbibition height. This suggests that increased relative roughness strengthens capillary attraction and promotes water migration in the pore structure. The proposed model provides a theoretical description applicable to the wetting stage of coal seam water injection and offers valuable insights for improving dust suppression efficiency in low-permeability coal seams. Full article
(This article belongs to the Section Energy Systems)
Show Figures

Figure 1

23 pages, 7177 KB  
Article
Automated Object Detection and Change Quantification in Underground Mines Using LiDAR Point Clouds and 360° Image Processing
by Ana Fabiola Patricia Tejada Peralta, Roya Bakzadeh, Sina Siahidouzazar and Pedram Roghanchi
Appl. Sci. 2026, 16(5), 2337; https://doi.org/10.3390/app16052337 - 27 Feb 2026
Abstract
Underground mining environments pose significant challenges for automated hazard detection due to low illumination, restricted visibility, and the absence of Global Navigation Satellite System (GNSS) coverage. These factors limit situational awareness and delay inspection efforts, particularly after disruptive events when rapid assessment is [...] Read more.
Underground mining environments pose significant challenges for automated hazard detection due to low illumination, restricted visibility, and the absence of Global Navigation Satellite System (GNSS) coverage. These factors limit situational awareness and delay inspection efforts, particularly after disruptive events when rapid assessment is essential for safety. This study addresses this problem by developing a dual-pipeline framework for 2D–3D detection that uses 360° imaging and LiDAR-based machine learning to identify people, vehicles, and positional changes in underground settings without requiring personnel to re-enter hazardous areas. The objective was to create a system capable of recognizing objects and monitoring spatial changes under real underground mine conditions. The 2D component used a Ricoh Theta Z1 camera to collect panoramic images, and a YOLO (You Only Look Once) v8n model was fine-tuned using datasets representing low light, shadowed underground scenes. The 3D component employed an Ouster OS1-070-64 LiDAR sensor, and point clouds were processed through denoising, ICP alignment, surface reconstruction, manual annotation, and 2D projection. A YOLO-based model was then trained to detect objects and measure displacement between LiDAR scans. Results demonstrated strong performance for both components. The fine-tuned YOLOv8n model reliably detected personnel and vehicles despite challenging lighting and visual clutter, while the 3D pipeline localized objects in the registered LiDAR frame and quantified vehicle displacement between consecutive scans by comparing 3D bounding-box centroids after ICP alignment (displacement vector and magnitude). These findings indicate that the combined 2D–3D system can effectively support automated hazard recognition and environmental monitoring in GNSS-denied underground spaces. Full article
(This article belongs to the Special Issue The Application of Deep Learning in Image Processing)
32 pages, 1152 KB  
Review
Clean Energy Transition: Review of Technologies, Material Scarcity, and Operational Challenges in Solar Photovoltaics and Wind Power
by Jun Lyu, Yu Shu and Zhen Han
Energies 2026, 19(5), 1205; https://doi.org/10.3390/en19051205 - 27 Feb 2026
Abstract
The global clean energy transition is essential for limiting the global temperature rise to 1.5 °C and achieving net-zero greenhouse gas (GHG) emissions by 2050. This review synthesizes evidence from peer-reviewed studies, policy reports and industry benchmarks, addressing the three interrelated pillars of [...] Read more.
The global clean energy transition is essential for limiting the global temperature rise to 1.5 °C and achieving net-zero greenhouse gas (GHG) emissions by 2050. This review synthesizes evidence from peer-reviewed studies, policy reports and industry benchmarks, addressing the three interrelated pillars of the clean energy transition: clean energy technologies, critical material scarcity, and operational challenges. This study highlights that although clean energy technologies, particularly solar photovoltaics and wind power, have achieved cost parity with fossil fuels, their widespread deployment is still hindered by technical, material, and system-level challenges. The demand for critical minerals, essential for renewable energy technologies, is growing faster than mining supply chains can respond, exacerbated by high geographical concentration, price volatility, and low recycling rates. Furthermore, lifecycle and operational challenges, including premature asset retirement and grid integration issues, continue to hinder progress. To address these challenges, this review identifies four priority research areas: reducing material intensity through low-scarcity technologies, improving recycling and reuse systems for critical materials, optimizing smart grid frameworks, and promoting coordinated policy frameworks for fair cost allocation and mineral supply chain governance. This review offers a unified analytical framework to inform technology selection, infrastructure investment, and policy design, contributing to a resource-secure, sustainable clean energy transition. Full article
29 pages, 8330 KB  
Article
Study on Residual Subsidence Prediction of Goaf in Steeply Inclined Multi-Seam Based on Simulation Analysis
by Jilin Wang, Wan Cao, Zhuo Chen and Shenglin Wu
Appl. Sci. 2026, 16(5), 2328; https://doi.org/10.3390/app16052328 - 27 Feb 2026
Abstract
Particle Flow Code (PFC) numerical simulations were adopted to simulate the mining process and the process of goaf collapse and to predict the residual subsidence of abandoned goafs in steeply inclined multi-seam coal mines, taking the No. 101 Coal Mine in the Xishan [...] Read more.
Particle Flow Code (PFC) numerical simulations were adopted to simulate the mining process and the process of goaf collapse and to predict the residual subsidence of abandoned goafs in steeply inclined multi-seam coal mines, taking the No. 101 Coal Mine in the Xishan Mining Area of Urumqi, China, as an example. Scaled physical simulations were also employed to simulate the evolution of voids in the coal–rock mixture in the goaf. The results show that after mining, the roof of shallow coal seams becomes unstable and collapses in the anti-dip direction, causing the materials within the unconsolidated layer to fall and backfill the goaf, which further leads to ground subsidence. The mining of deep coal seams is also accompanied by the overall movement of overlying strata along the dip direction of the coal seams and surface subsidence. The content of voids within the broken coal–rock mass in the goaf tends to decrease with increasing pressure, showing a negative exponential correlation. Based on the observed relationship between displacement and void content obtained from the simulation experiments, it is inferred that the residual displacement under the current conditions of the study area accounts for approximately 10.5% of the total displacement. Combining the results of the PFC simulation and the evolution law of void content, the residual subsidence of the goaf in the study area since mine closure is predicted to range from 0 to 1 m, with a high-value zone distributed in the northeastern part of the study area. Deep goafs within the B7–B11–12 and B14–B18 coal seam groups mainly contribute to the residual subsidence. The distribution of goaf collapse pits, as revealed by field investigation, also verifies the reliability of the prediction results. Full article
(This article belongs to the Section Earth Sciences)
23 pages, 2487 KB  
Article
Monitoring and Analysis of Surface Deformation in Mining Area Based on LuTan-1 and Sentinel-1A Data
by Zisu Cheng, Meinan Zheng, Qingbiao Guo, Yingchun Wang, Jinchao Li and Xiang Zhang
Remote Sens. 2026, 18(5), 713; https://doi.org/10.3390/rs18050713 - 27 Feb 2026
Abstract
High-intensity mining activities in coal mining areas have produced large-gradient surface deformation, posing severe challenges to deformation monitoring using Interferometric Synthetic Aperture Radar (InSAR) techniques based on C-band Synthetic Aperture Radar (SAR) data. This study systematically evaluated the applicability of L-band LuTan-1 SAR [...] Read more.
High-intensity mining activities in coal mining areas have produced large-gradient surface deformation, posing severe challenges to deformation monitoring using Interferometric Synthetic Aperture Radar (InSAR) techniques based on C-band Synthetic Aperture Radar (SAR) data. This study systematically evaluated the applicability of L-band LuTan-1 SAR (L-SAR) data versus C-band Sentinel-1A data for monitoring mining-induced surface deformation, using the Guqiao Coal Mine in Huainan as the study area. Based on 10 ascending-track and 13 descending-track L-SAR images and 42 Sentinel-1A images, deformation retrievals were performed using Differential InSAR (DInSAR) and the Small Baseline Subset (SBAS) InSAR approach, respectively, and the results were validated against independent levelling measurements. Results indicate that the mean coherence of descending- and ascending-track L-SAR interferometric pairs are 0.42 and 0.45, respectively, substantially higher than Sentinel-1A’s 0.25. In the DInSAR analysis along profile A–A′, the maximum line-of-sight (LOS) displacement obtained from descending- and ascending-track L-SAR are −0.40 m and −0.43 m, respectively, compared with −0.25 m from Sentinel-1A. In the SBAS-InSAR time-series analysis, descending- and ascending-track L-SAR yield 209,418 and 228,388 coherent points, respectively, clearly revealing the temporal evolution of surface deformation; their maximum LOS deformation rates are approximately −1.54 m·yr−1 and −2.0 m·yr−1, respectively. By contrast, Sentinel-1A selects only 81,669 coherent points, with severe loss of coherence in the subsidence center and a maximum LOS deformation rate of about −0.48 m·yr−1. Accuracy validation shows that the Root Mean Square Error (RMSE) of vertical displacements obtained from DInSAR monitoring results based on descending and ascending L-SAR data is 16.1 mm, satisfying the requirement of centimeter-level accuracy for mining area surface subsidence monitoring. The study demonstrates the pronounced advantages of L-SAR for monitoring large-gradient, nonlinear deformation in mining environments. L-band data outperform C-band Sentinel-1A across coherence preservation, deformation sensitivity, and monitoring accuracy, providing a scientific basis for the broader application of domestic L-band SAR satellites in disaster risk assessment and long-term time-series monitoring of mining-induced subsidence. Full article
(This article belongs to the Special Issue Advances in Surface Deformation Monitoring Using SAR Interferometry)
18 pages, 1629 KB  
Article
MPIF in E-Commerce Recommendation: Application of Multi-Pairwise Ranking with Heterogeneous Implicit Feedback
by Cui Chen, Hongjuan Wang, Long Liu, Peijun Qin, Siyuan Ma and Mingzhi Cheng
Electronics 2026, 15(5), 985; https://doi.org/10.3390/electronics15050985 (registering DOI) - 27 Feb 2026
Abstract
To address the one-class collaborative filtering (OCCF) issue in e-commerce recommendation with only positive implicit feedback, mainstream methods adopt pairwise preference learning represented by Bayesian Personalized Ranking (BPR). However, BPR relies on an invalid assumption and suffers from severe data sparsity. This paper [...] Read more.
To address the one-class collaborative filtering (OCCF) issue in e-commerce recommendation with only positive implicit feedback, mainstream methods adopt pairwise preference learning represented by Bayesian Personalized Ranking (BPR). However, BPR relies on an invalid assumption and suffers from severe data sparsity. This paper proposes Multi-pairwise Ranking with Heterogeneous Implicit Feedback (MPIF), which exploits heterogeneous implicit and auxiliary information to mine deep user preferences, constructs six pairwise preferences for classified items, and optimizes the model via stochastic gradient descent (SGD). Experiments on three real-world datasets verify that MPIF+ outperforms all state-of-the-art baselines on Normalized Discounted Cumulative Gain at rank 5 (NDCG@5), Precision at rank 5 (Pre@5), Recall at rank 5 (Rec@5), and Area Under Curve (AUC). It yields maximum improvements of 34.2%, 5.5%, and 32.9% on NDCG@5 for the Sobazaar, Retailrocket, and REES46 datasets, respectively, achieving significant and stable recommendation gains. Full article
(This article belongs to the Section Artificial Intelligence)
Show Figures

Figure 1

14 pages, 5540 KB  
Article
Development Characteristics of a Water-Conducting Fracture Zone in Overlying Strata with Primary Fissures Induced by Coal Mining
by Jinkui Zhang, Wei Qiao, Weichi Chen, Chengsen Lin, Xianggang Cheng and Cong Liu
Water 2026, 18(5), 564; https://doi.org/10.3390/w18050564 - 27 Feb 2026
Abstract
Interconnected fractures induced by coal mining, known as water-conducting fracture zones (WCFZs), form a fractured zone where water from overlying aquifers flows into the goaf. Substantial findings have been established on the development height of WCFZs; however, these analyses have been based on [...] Read more.
Interconnected fractures induced by coal mining, known as water-conducting fracture zones (WCFZs), form a fractured zone where water from overlying aquifers flows into the goaf. Substantial findings have been established on the development height of WCFZs; however, these analyses have been based on intact structures or rock masses. Research on how primary fissures or other water-conducting structures influence the development of WCFZs remains limited. The mining seam of the Gaojiapu Coal Mine in the Ordos Basin, China, is overlaid by a gigantic and highly confined Cretaceous aquifer. Additionally, the primary fissures of the overlying strata are highly developed. Geophysical inversion of the primary fissures and vertical and horizontal drilling were undertaken in order to systematically investigate the characteristics of WCFZ development in the overlying strata. The results show that a dense network of primary fissures is connected with the middle and lower Cretaceous aquifer developed in Mining Zone 1. These fissures are prone to connecting with mining-induced fractures to form the highly developed WCFZs observed and verified in this study. A grouting engineering approach was adopted at the Gaojiapu Coal Mine to block the primary fissures in advance, as this can effectively control the abnormal development of the WCFZs and decrease the discharge of mine water, ultimately protecting the water resources of the Cretaceous aquifer. Our research clarifies the significant role of primary fissures in the development of water-conducting fracture zones, and provides important theoretical guidance for the accurate prediction and prevention of mine roof water hazards in areas with similar mining conditions. Full article
Show Figures

Figure 1

22 pages, 2693 KB  
Article
Evaluation of Pressure Retarded Osmosis for Energy Generation from Mine Water
by Giti Nouri, Catherine N. Mulligan, Fuzhan Nasiri, Carmen M. Neculita and Thomas Genty
Water 2026, 18(5), 558; https://doi.org/10.3390/w18050558 - 27 Feb 2026
Abstract
This study examines the application of mining effluents as feed solutions in a bench scale pressure retarded osmosis (PRO) system for energy generation and the prospect of water recycling or safe discharge to the environment. Effluents were characterized and pretreated by ultrafiltration (UF) [...] Read more.
This study examines the application of mining effluents as feed solutions in a bench scale pressure retarded osmosis (PRO) system for energy generation and the prospect of water recycling or safe discharge to the environment. Effluents were characterized and pretreated by ultrafiltration (UF) and nanofiltration (NF) prior to PRO. The PRO process was then conducted over 6 h in a cross flow flat plate cell with an effective membrane area of 34 cm2, a hydraulic pressure of 12.4 bar and a 3M ammonium carbonate (NH4)2CO3 as draw solution. Effluent 1 contained ions such as Cl (539 mg/L), NO3 (585 mg/L), SO42− (3000 mg/L), Na+ (560 mg/L), and Mg2+ (656 mg/L), with a total dissolved solids (TDS) concentration of 5400 mg/L, chemical oxygen demand (COD) of 136 mg/L, total organic carbon (TOC) concentration of 3.5 mg/L, and acidic pH of 3.8, while effluent 2 was highly dominated by Cl (32,100 mg/L), NO3 (9720 mg/L), SO42− (6512 mg/L), Na+ (14,306 mg/L), and Mg2+ (5336 mg/L), had a TDS concentration of 73,315 mg/L, COD of 8100 mg/L, TOC concentration of 10.2 mg/L, and pH of 7.4. These physiochemical properties indicated a significant potential of fouling and scaling which necessitated the appropriate pretreatments. It was shown that integrating UF and NF pretreatments was highly effective in refining the quality of effluents with a significant removal efficiency of above 90% for ions and heavy metals by NF, led to fouling mitigation, higher and more stable power density as well as potential water reuse or safe environmental discharge. The achieved water fluxes and power densities were 54 L/m2h and 18.6 W/m2, for effluent 1, and 38 L/m2h and 13 W/m2, for effluent 2, respectively. The outcome of this study is applicable for the mining sector especially in remote areas with the potential for water and energy recoveries to contribute to more sustainable mining operations. Full article
(This article belongs to the Section Wastewater Treatment and Reuse)
Show Figures

Figure 1

Back to TopTop