Next Article in Journal
CSR Ecological Strategies and Functional Traits of the Co-Existing Species along the Succession in the Tropical Lowland Rain Forest
Previous Article in Journal
Ecological Safety and Spatial Distribution of Mercury and Arsenic in Qinghai Spruce Ecosystems in Remote Plateau Mountains, Northwest China
 
 
Font Type:
Arial Georgia Verdana
Font Size:
Aa Aa Aa
Line Spacing:
Column Width:
Background:
Article

Bond Quality and Durability of Cross-Laminated Flattened Bamboo and Timber (CLBT)

1
Research Institute of Wood Industry, Chinese Academy of Forestry, Xiang Shan Road, Haidian District, Beijing 100091, China
2
SFA and Beijing Co-Built Key Laboratory of Bamboo and Rattan Science and Technology, State Forestry Administration, Department of Biomaterials, International Centre for Bamboo and Rattan, 8 Futong Eastern Street, Chaoyang District, Beijing 100102, China
*
Authors to whom correspondence should be addressed.
Forests 2022, 13(8), 1271; https://doi.org/10.3390/f13081271
Submission received: 17 July 2022 / Revised: 4 August 2022 / Accepted: 9 August 2022 / Published: 11 August 2022
(This article belongs to the Section Wood Science and Forest Products)

Abstract

:
To achieve value-added utilization of domestic bamboo and plantation wood resources, this study investigated the feasibility of using flattened bamboo and Chinese fir for manufacturing cross-laminated bamboo and timber (CLBT). Two types of adhesives, one-component polyurethane (PUR), and phenol resorcinol formaldehyde (PRF), and three applied pressure parameters (0.6, 0.8, and 1.0 MPa) were used to fabricate small CLBT panels (375 mm × 500 mm). In this study, block shear and delamination tests were conducted to examine the bond quality and durability of CLBT panels. The results showed that a significant difference in the bonding shear strength (BSS) in both directions. The bonding shear strength in the minor strength direction (BSSminor) was 1.81–3.45 times higher than the bonding shear strength in the major strength direction (BSSmajor). The adhesive type was the major factor affecting the bond quality and delamination, while the bonding pressure had no significant effect on the bond quality and delamination. Compared with PRF adhesives, CLBT specimens prepared from PUR had higher bonding shear strength (BSS) and wood failure percentage (WFP). However, the durability of delamination specimens prepared by PUR was not as good as layered specimens prepared by PRF.

1. Introduction

Many scholars have performed extensive research to improve the local production of cross-laminated timber [1,2,3,4]. Cross-laminated bamboo and timber (CLBT) is a new composite laminated panel formed by replacing conventional CLT panels’ parallel or transverse laminate with engineered bamboo [5,6,7]. Bamboo and fast-growing forest wood are green and environmentally friendly materials with rich resources and low costs. In particular, bamboo is considered to be a potential biomass structural material of the future due to its short maturity [8], good material properties [9,10], and high carbon sequestration capacity [11]. Chinese fir is an important fast-growing timber species in southern China. In 2021, the largest artificial forest area and harvest of all timber species in China, was for Chinese fir [12]. To date, Chinese fir has only been widely used in furniture and decoration due to its general strength and small diameter [13]. There is, however, growing interest in the possibility of manufacturing CLT using engineered bamboo [14]. Bamboo flattening technology is the latest industrialization achievement of the bamboo processing industry in China. It can greatly increase bamboo utilization, reduce adhesive use, retain the natural texture of bamboo, and offer opportunities to convert bamboo to higher-value building products [15,16]. Recently, a series of engineered bamboo products have been reported for CLBT or CLB preparation, e.g., bamboo strip [17,18], bamboo parallel strand lumber [19], bamboo scrimber [20], bamboo curtain [6,21], glued laminated bamboo [22], and flattened bamboo [22,23,24]. However, the current research on CLBT focuses mainly on its mechanical properties, and to date, bond performance has scarcely been reported.
The mechanical properties of CLBT are significantly affected by the bond quality of the bamboo–wood composite interface [19]. The CLBT panel comprised of engineered bamboo and low-grade plantation timber needs a reliable structure and bonding process parameters design to achieve the same performance as commercial CLT. Scholars’ previous studies on the bonding properties of CLT have important reference significance. Bonding quality inspection is an indispensable part of the CLT engineering application [25]. The test of bonding quality is usually based on the standard procedure of plywood, and includes tests for shear strength and durability [26]. Some scholars have also evaluated the bond quality of CLT by dimensional stability [27,28], acoustic properties [29], and bending and shear properties [27,30,31]. The bond quality of CLT is commonly dependent on the process parameters, such as adhesive type, bonding pressure, and resin content [26,32,33].
According to most studies [1,26,30,32,33], PUR and PRF are the commonly used adhesives for CLT gluing. Different tree species have different optimal manufacturing process parameters [30,33]. For example, PRF is more suitable for gluing Acacia mangium CLT than PUR, because PRF has better permeability to Acacia mangium wood [32]. Moreover, the physical and chemical properties of bamboo and its microstructure are significantly different from those of wood, and this difference poses a unique challenge for adhesives that are designed and manufactured for wood, to bond bamboo [34]. Several studies [35,36] have emphasized the importance of adhesive penetration in bamboo gluing properties, especially for adhesives such as PUR that rely on pore filling and mechanical interlocking.
Wang et al. [26] found that adhesive type and pressure significantly affected the wood failure percentage and delamination of CLT prepared with western Canadian hemlock. CLT specimens with PUR produced at high bonding pressure showed the best bonding performance. Knorz et al. [37] revealed that the sample shape and layer number significantly affected the delamination of CLT made with spruce. The layer thickness and bonding pressure did not affect the stratification. The delamination of square specimens and specimens with a high number of layers was significantly higher than that of round specimens and specimens with a low number of layers. Yusoh et al. [33] reported that the clamping pressure had no significant effect on the bond properties, the glue spread significantly affected both the shear bond strength and wood failure percentage, and the delamination was only related to the wood species.
As a green engineering material, CLBT has excellent prospects for application in building structure, housing decoration, packaging engineering, and transportation industries. In summary, a great deal of fundamental work should be applied to the investigation of the bond properties of CLBT to push this product toward real engineering applications. This study used two structural adhesives, PUR and PRF, to prepare three-layer structural CLBT panels. The effects of adhesive type and bonding pressure on bond quality and durability of CLBT were investigated. The present study investigated the feasibility of using new domestically engineered bamboo and fast-growing timber for manufacturing CLBT, and provided preliminary data for the production and manufacture of CLBT.

2. Materials and Methods

2.1. Raw Materials

Flattened bamboo (Phyllostachys edulis (Carriere) J. Houzeau) boards were provided by a bamboo products processing factory in Hunan, China. Chinese fir (Cunninghamia lanceolata) lumber was purchased from a wood processing company in Anhui, China. The dimensions and physical properties of the flattened bamboo boards and Chinese fir lumber were tested under laboratory conditions. Table 1 shows the properties of two kinds of laminates for CLBT panels. The moisture content of flattened bamboo and Chinese fir lumber met the requirements of ANSI/APA PRG 320 [38]. In ANSI/APA PRG 320, the moisture content of laminations is required to be at 12% ± 3%. The wood and bamboo shear tests were conducted according to the GB/T 15780-1995 [39] and ASTM D143 (2014) [40], respectively. Before further manufacturing, flattened bamboo boards and Chinese fir lumber with fewer surface defects were selected and controlled for size. Flattened bamboo boards were cut to 500 mm in length, and their thickness was sanded to 6.5 mm. Chinese fir lumber was shaved to a thickness of 18 mm and cut to 375 mm in length.
This study used two commercial structural adhesives, one-component polyurethane (PUR), and phenol resorcinol formaldehyde (PRF), to bond CLBT panels. Shanghai Donghe Adhesives Co., Ltd. provided the PUR adhesive with a viscosity of 14,000 ± 6000 mPa·s at 25 °C and a solids content of 100%. PRF adhesive was purchased from AICA Resin Trading Co (Shanghai). The PRF adhesive was a mixture of phenol-resorcinol emulsion (PR-1HSE) and hardener powder (PRH-10A). PRF’s principal and curing agents were mixed with a mass ratio of 100:25. The viscosity was 15,000 mPa·s. at 23 °C. Typical properties of the two adhesives are shown in Table 2, including recommended glue spread rates, assembly time, and press time, according to the manufacturer’s guidelines.

2.2. Fabrication of CLBT

To assess the physical properties and bond properties of CLBT products, small CLBT panels with a width of 500 mm × 375 mm were manufactured in the laboratory. A schematic of the CLBT panel structure is presented in Figure 1. The parallel layer of the CLBT was comprised of three layers of flattened bamboo boards, and the thickness of the parallel layer was close to that of the horizontal layer of the Chinese fir lumber. CLBT panels were made using two adhesive types (PUR and PRF) and three bonding pressures (0.6, 0.8, and 1.0 MPa) for a total of 6 preparations. Each CLBT panel was produced for one combination of adhesive and pressure. According to the adhesive manufacturer’s recommendations, the glue spread rate for PUR and PRF was 200 g/m2 and 300 g/m2, respectively.
The bottom three layers of flattened bamboo were laid and glued first, then the middle layer of Chinese fir lumber was laid and glued, continuing until the top three layers of flattened bamboo were completed. The gluing of bamboo layers and the gluing between bamboo and wood were performed with the same parameters (adhesive type, glue spread rate, and pressure). The average assembly time for each CLBT panel was approximately 30 min. The pressing time of CLBT panels was 120 min for PUR adhesives and 240 min for PRF adhesives.

2.3. Evaluation of Bonding Properties

2.3.1. Bonding Shear Test

The standard testing method ASTM D905 (2008) [41] was used to determine the bond shear strength (BSS) and wood failure percentage (WFP) between bonded wood and bamboo blocks. A total of 12 shear blocks were cut from each CLBT panel, and a total of 72 shear specimens were obtained (as shown in Figure 2a). Two types of specimens (Figure 2b), were prepared for the block shear test in the major and the minor strength directions. The number of block shear specimens in both directions for each group was 12. The bond strength in the major strength direction and the minor strength direction were denoted as BSSmajor and BSSminor, respectively. The WFP of the shear specimens for the two loading directions were WFPmajor and WFPminor, respectively. The block samples were conditioned at a temperature of 20 °C and relative humidity of 65% ± 3% for a week before the testing was conducted. The tests were completed using the Instron 5582 universal mechanical testing machine at room temperature, with a loading speed of 5.0 mm/min, and maximum loads were recorded. The laboratory was maintained at 25 ± 2 °C and 60%–65% relative humidity. The test schematic is shown in Figure 2d. The damaged area on the sheared area was measured by Fiji ImageJ software.
The BSS ( f v ) and WFP ( P v ) of each shear specimen were equal to:
f v = F m a x A
P v = A p A
where F m a x = the maximum load applied to the specimen, in N; A = the sheared area, in mm2; A p = the wood failure area, in mm2.

2.3.2. Delamination Test

The ANSI/APA PRG 320 [38] standard was used to determine the delamination behavior of CLBT specimens. The number of delamination specimens in each group was 6 (see Figure 2c). The weight and dimensions of each delamination specimen were measured before the test. The delamination test order was as follows: the test specimens were placed in a vacuum-pressure impregnation tank and covered in water at a temperature of (20 ± 1) °C; the impregnation tank was vacuumed at 70 kPa and the vacuum was lifted after 30 min; then a pressure of 510 ± 30 kPa was applied for 2 h. The specimens were removed from the impregnation tank and placed in a drying oven at (71 ± 2) °C, and delamination specimens of CLBT were measured when the specimen was dried to 110%–115% of the initial mass. The delamination was defined as the ratio of the sum of delaminations of all glue lines to the total glue line length of one specimen. Three attributes were determined, including D t o t a l , D b w , and D b b . Total delamination of all glue lines was D t o t a l . Delamination of bamboo–wood composite glue lines was D b w . Delamination of glue lines between bamboo boards was D b b .
Delamination of each test specimen was calculated using Formulas (3)–(5):
D t o t a l = l t o t a l ,   d e l a m a t i o n l t o t a l ,   g l u e l i n e × 100 %
D b w = l b w ,   d e l a m a t i o n l b w ,   g l u e l i n e × 100 %
D b b = l b b ,   d e l a m a t i o n l b b ,   g l u e l i n e × 100 %
where l t o t a l ,   d e l a m a t i o n is the total delamination length, in mm; l t o t a l ,   g l u e l i n e is the sum of the perimeters of all glue lines in a delamination specimen, in mm; l b w ,   d e l a m a t i o n is the delamination length of bamboo–wood composite glue lines, in mm; l b w ,   g l u e l i n e is the sum of the perimeters of bamboo–wood composite glue lines, in mm; l b b ,   d e l a m a t i o n is the delamination length of glue lines between bamboo boards, in mm; l b b ,   g l u e l i n e is the sum of the perimeters of glue lines between bamboo boards, in mm.

2.4. Statistical Analysis

The mean values and standard deviation of BSS, WFP, and D were calculated based on the bonding shear and delamination test results. ANOVA was performed on the test results using univariate in the general linear model. The data were tested for assumptions of normal distribution and the homogeneity of variance before further analysis. ANOVA investigated the effect of different adhesives and bonding pressures on the bonding performance. The effect proved to be significant at p = 0.05. Note that the above statistics used a limited number of data points from measurements. The assumption of normal distribution needs to be verified by appropriate statistical tests. Data expressed as percentages need to be converted prior to parametric tests, such as WFP and D. This conversion may not affect the final result but can be seen as the right approach.

3. Results and Discussion

3.1. Bonding Shear Properties of CLBT

Table 3 shows the average adhesive shear properties of CLBT panels in both major strength and minor strength directions. The standard deviation is shown in parentheses in Table 3. The average BSS of the control configurations of CLBT ranged from 1.31 to 5.29 MPa, and WFP from 33.0% to 93.4%. The block shear test was performed according to ASTM D905, which is a standard procedure only used for testing. The requirement for BSS in ANSI/APA PRG320 is based on parallel to grain shear strength of wood materials, and the BSS should not be less than 90% parallel to grain shear strength. As shown in Table 1, the parallel to grain shear strength of flattened bamboo and Chinese fir were 14.7 and 5.8 MPa, respectively. The BSS of CLBT was significantly lower than the shear strength of flattened bamboo, and the BSSminor of CLBT was closer to the shear strength of Chinese fir. This indicated that the location of block shear failure for CLBT only occurred in the glue line and wood, and not in the flattened bamboo. As specified in ANSI/APA PRG320, the minimum average WFP is 80%. WFP is mainly determined by the adhesive type, as discussed in a later section.
The CLT block shear test’s governing failure mode was perpendicular to grain or rolling shear failure. Thus, the BSS of CLT was smaller than that of glued laminated timber prepared from the same wood material. Wang et al. [26] and Wei et al. [17] believed that the BSS only provided reference and should not be regarded as a critical indicator. However, perpendicular to grain shear and rolling shear failure was not a failure mode for CLBT shear specimens in the minor strength direction. We believe that BSSminor may be an index to evaluate the bond quality of CLBT.

3.1.1. Bonding Shear Performance with Different Loading Directions

Sikora et al. [42] found that the BSSmajor of the CLT panel was close to the BSSminor because their failure modes are consistent. However, there was a significant difference between the BSSmajor and BSSminor of CLBT. The mean values of BSSmajor and BSSminor were about 1.85 MPa and 4.46 MPa, respectively. The BSSminor, in all test groups, was about 2–3 times that of the BSSmajor (Figure 3a). The BSSminor of the PUR specimen prepared under the cold pressure of 0.8 MPa reached 3.45 times that of the BSSmajor.
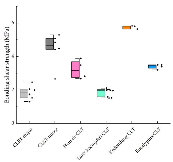
Different forms of wood failure were the main cause of the significant differences between the BSSmajor and BSSminor of CLBT. As shown in Figure 4, CLBT shear specimens had the same failure mode in the major strength direction as CLT, which was shear failure perpendicular to grain. This was similar to the finding of Wei et al. [17]. However, the BSSmajor in this study was less than that of CLBT prepared from bamboo PSL and hem–fir lumber, which is related to the shear resistance perpendicular to the grain of the intermediate layer lumber. Additionally, Wei et al. [17] did not study the bond shear performance of CLBT in the minor strength direction. The failure mode of CLBT in the minor strength direction was close to that of glued laminated timber, i.e., shear failure parallel to grain. As shown in Figure 5, the block shear results of some scholars for softwood [26,30] and hardwood CLT [33,43] are demonstrated. The BSSminor of CLBT was even comparable to the BSS of hardwood CLT.
The high bonding shear strength in the minor strength direction was an obvious advantage of the CLBT panel prepared in this study, regarding structural utilization. Therefore, it is reasonable to infer that the BSSmajor of CLBT can be significantly enhanced when the flattened bamboo board is used as a transverse laminate. Dong et al. [20] and Wei et al. [44] have tried using bamboo as the transverse layer of CLBT panels to improve bearing capacity in the major strength direction.
WFPmajor of CLBT was also generally lower than WFPminor (Figure 3b). The effect of loading direction on WFP was closely related to adhesive type. The WFPmajor and WFPminor of shear specimens prepared by PUR were not significantly different. In comparison, the WFPminor of shear specimens prepared by PRF was significantly higher than that of WFPmajor.

3.1.2. Effect of Adhesive and Pressure on Bonding Shear Performance

The factorial analysis for the effects of adhesive type and bonding pressure on the BSS and WFP are tabulated in Table 4. The results indicated that the BSSmajor was not significantly affected by adhesive type and pressure, which was similar to the findings of Wang et al. [26] and Yusof et al. [32]. They found that the BSS of CLT was relatively independent of the bonding conditions. The shear resistance perpendicular to grain of sawn timber mainly depends on the wood species and sawing pattern. Except for BSSmajor, the adhesive was the main factor affecting the bonding shear performance of CLBT, while the bonding pressure had no significant effect on the bonding shear performance. The results also revealed that BSSminor was influenced by a combination of adhesive type and bonding pressure.
The bonding shear test results differed significantly between PUR and PRF specimens. As shown in Figure 3, almost all PUR-glued specimens had higher BSS and WFP than samples with the same configuration using PRF adhesives. Only the BSSminor of PUR specimens prepared at 1.0 MPa was slightly lower than that of PRF specimens. The average value of BSSminor of PUR specimens was 24.48% higher than that of PUR specimens. Previous reports [1,30] by some scholars on plantation wood CLT have also found that PUR samples have higher bonding shear properties than PRF samples. With external pressure, PUR adhesive cures and infiltrates wood assemblies to form a rigid bond in close contact [45]. The average WFP of all test groups prepared by PUR was above 75%, while the highest WFP of all test groups prepared by PRF was only 52.57%. The study [46] revealed that the bonding performance of laminated timber was greatly affected by the penetration of wood adhesive. Bonding quality is frequently proportional to the magnitude of WFP. Therefore, the penetration of PUR adhesives in Chinese fir should be better than PRF adhesives in this study.
Although bonding pressure did not significantly affect the BSS and WFP of CLBT, higher bonding pressure may positively affect the BSSmajor of CLBT. Li et al. [30] and Yusof et al. [32] found higher shear strength of CLT fabricated at higher pressure. The rolling shear failure mode of CLBT in the major strength direction was consistent with the bond shear failure mode of ordinary CLT. The high bonding pressure also caused considerable compressive strain or damage to the wood tissue, which may have reduced the shear strength parallel to the grain because plantation Chinese fir is a low-density wood. PUR and PRF specimens reached the maximum value of BSSminor at 0.8 MPa and 1.0 MPa, respectively. The BSSminor of CLBT panels prepared by PUR at 0.8 MPa exceeded 90% of parallel to grain shear strength (5.22 MPa) of Chinese fir, and the WFP exceeded 80%, meeting the standard requirements of CLT.

3.2. Effects of Adhesive and Pressure on the Delamination

In a delamination test, internal stresses caused by differences in dimensional changes between laminations can lead to failure of the connection between the wood fibers, the glue layer, or the adhesive and the wood fibers [47]. The separation of interfacial layers due to adhesive failure was considered delamination [33].
Table 5 presents the average delamination results for six groups of CLBT panels, with standard deviations in parentheses. The total delamination of CLBT specimens ranged from 0% to 30.48%, depending on the adhesive type and bonding pressure. The failure mode of delamination specimens is shown in Figure 6. The delamination failure of the PUR specimens occurred mainly at the glue line between the two adjacent flattened bamboo boards. Two types of slight delamination damage were observed on PRF specimens, namely, the glue line between the flattened bamboo board and the Chinese fir, and the glue line between adjacent flattened bamboo boards. The ANOVA in Table 6 shows the effect of adhesive type and bonding pressure on the delamination of CLBT. There were significant differences in the delamination of CLBT specimens prepared with different adhesives. At the same time, the pressure did not affect the delamination of CLBT specimens. As shown in Figure 7a, the average total delamination of all groups of CLBT specimens prepared by PRF was less than 10%, which met the standard requirements by CSA O122-06. In comparison, none of the specimens of CLBT prepared by PUR met the standard requirements. According to the total delamination results, PRF seemed to provide better adhesive layer durability for CLBT panels than PUR. It was reported by Yusof et al. [32] and Castro et al. [48] that CLT and GLT bonded with PRF had lower delamination during testing, when compared with PUR. As a flexible adhesive, the PRF bond line facilitates counteracting stresses associated with expansion or contraction, thereby improving bond durability [32].
The delamination results in Table 5 confirmed that the D b w values of PUR specimens were lower than those of PRF specimens, and the D b b values of PUR specimens were greater than those of PRF specimens. It is worth noting that the D t o t a l and D b b of CLBT specimens with the same adhesive type showed a similar trend with pressure (Figure 7b) because the length of the glue line between the bamboo boards accounted for two thirds of all the glue lines of the CLBT specimen. The D b b determined the value of D t o t a l . The poor durability of PUR at the glue line between flattened bamboo boards resulted in a higher total delamination of PUR specimens than PRF specimens. However, the durability of PUR at the glue line between flattened bamboo boards and Chinese fir was no worse than that of PRF. Based on the durability of CLBT, PUR may not be suitable for gluing between flattened bamboo boards.

4. Conclusions

Based on bond quality and durability tests, this study confirmed the feasibility of preparing CLBT using fast-growing domestic materials, namely, flattened bamboo boards, and Chinese fir lumber.
The main conclusions of the present analysis are as follows:
  • The average value of BSSmajor was only one third and half of BSSminor due to the influence of shear resistance perpendicular to grain of Chinese fir lumber. BSSmajor was not affected by adhesive type and bonding pressure. It is worth considering using BSSminor to check the bond quality of CLBT;
  • For CLBT manufacturing, the adhesive type significantly affected the wood failure percentage (WFP) and delamination, as well as the BSSminor. Bonding pressure did not significantly affect the bond quality and durability performance;
  • The CLBT specimens prepared with PUR had higher bonding shear properties than the PRF adhesives. However, the durability of CLBT prepared with PUR was not as good as that of CLBT prepared with PRF, and based on the durability results, PUR seems to be unsuitable for gluing between flattened bamboo boards.
From the findings of this study, the following aspects can be considered for further research:
  • The subsequent preparation of flattened bamboo boards into laminated bamboo by hot-pressing process can be considered, and then, further manufacturing of CLBT panels;
  • Further quasi-static mechanical property tests should be conducted to obtain the structural performance of CLBT and to identify the effect of lamination grades and lay-ups on CLBT engineering properties.

Author Contributions

Conceptualization, X.Z., X.W., B.F. and S.Y.; methodology, X.Z. and X.W.; software, S.Y. and H.L.; validation, X.Z. and X.W.; formal analysis, X.Z. and X.W.; investigation, X.Z.; resources, X.Z.; data curation, S.Y. and X.Z.; writing—original draft preparation, S.Y. and H.L.; writing—review and editing, X.Z., X.W., B.F. and S.Y.; supervision, X.Z. and X.W.; funding acquisition, X.Z. All authors have read and agreed to the published version of the manuscript.

Funding

This research was funded by the Fundamental Research Funds for the International Center for Bamboo and Rattan (1632020014).

Data Availability Statement

The data used to support the findings of this study are available from the authors upon request.

Acknowledgments

The authors thank the Research Institute of Wood Industry, Chinese Academy of Forestry for equipment support.

Conflicts of Interest

The authors declare no conflict of interest.

References

  1. Liao, Y.C.; Tu, D.Y.; Zhou, J.H.; Zhou, H.B.; Yun, H.; Gu, J.; Hu, C.S. Feasibility of manufacturing cross-laminated timber using fast-grown small diameter eucalyptus lumbers. Constr. Build. Mater. 2017, 132, 508–515. [Google Scholar] [CrossRef]
  2. Aicher, S.; Hirsch, M.; Christian, Z. Hybrid cross-laminated timber plates with beech wood cross-layers. Constr. Build. Mater. 2016, 124, 1007–1018. [Google Scholar] [CrossRef]
  3. Kramer, A.; Barbosa, A.R.; Sinha, A. Viability of hybrid poplar in ANSI approved cross-laminated timber applications. J. Mater. Civil. Eng. 2014, 26, 06014009. [Google Scholar] [CrossRef]
  4. Hematabadi, H.; Madhoushi, M.; Khazaeian, A.; Ebrahimi, G. Structural performance of hybrid poplar-beech Cross-Laminated-Timber (CLT). J. Build. Eng. 2021, 44, 102959. [Google Scholar] [CrossRef]
  5. Xiao, Y.; Cai, H.; Dong, S.Y. A pilot study on cross-laminated bamboo and timber beams. J. Struct. Eng. 2021, 147, 06021002. [Google Scholar] [CrossRef]
  6. Li, H.; Wang, L.B.; Wei, Y.; Wang, B.J. Off-axis compressive behavior of cross-laminated bamboo and timber wall elements. Structures 2022, 35, 452–468. [Google Scholar] [CrossRef]
  7. Wang, R.; Shi, J.J.; Xia, M.K.; Li, Z. Rolling shear performance of cross-laminated bamboo-balsa timber panels. Constr. Build. Mater. 2021, 299, 123973. [Google Scholar] [CrossRef]
  8. Xiao, Y.; Yang, R.Z.; Shan, B. Production, environmental impact and mechanical properties of glubam. Constr. Build. Mater. 2013, 44, 765–773. [Google Scholar] [CrossRef]
  9. Janssen, J.J.A. Designing and Building with Bamboo; INBAR: Beijing, China, 2000. [Google Scholar]
  10. Zhao, R.J.; Jiang, Z.H.; Hse, C.Y.; Shupe, T.F. Effects of steam treatment on bending properties and chemical composition of Moso bamboo (Phyllostachys pubescens). J. Trop. For. Sci. 2010, 22, 197–201. [Google Scholar]
  11. Xu, L.; Shi, Y.J.; Zhou, G.M.; Xu, X.J.; Liu, E.B.; Zhou, Y.F.; Li, C.; Fang, H.Y.; Deng, X. Temporal change in aboveground culms carbon stocks in the Moso bamboo forests and its driving factors in Zhejiang Province, China. Forests 2017, 8, 371. [Google Scholar] [CrossRef]
  12. Cao, S.; Duan, H.; Sun, Y.; Hu, R.; Wu, B.; Lin, J.; Deng, W.; Li, Y.; Zheng, H. Genome-wide association study with growth-related traits and secondary metabolite contents in red- and white-heart Chinese fir. Front. Plant Sci. 2022, 13, 922007. [Google Scholar] [CrossRef] [PubMed]
  13. Wang, H.F.; Zhao, Y.K. Studies on pre-treatment by compression for wood impregnation III: Effects of the solid content of low-molecular-weight phenol formaldehyde resin on the impregnation. J. Wood Sci. 2022, 68, 28. [Google Scholar] [CrossRef]
  14. Lv, Q.F.; Wang, W.Y.; Liu, Y. Study on thermal insulation performance of cross-laminated bamboo wall. J. Renew. Mater. 2019, 7, 1231–1250. [Google Scholar] [CrossRef]
  15. Fang, C.-H.; Jiang, Z.-H.; Sun, Z.-J.; Liu, H.-R.; Zhang, X.-B.; Zhang, R.; Fei, B.-H. An overview on bamboo culm flattening. Constr. Build. Mater. 2018, 171, 65–74. [Google Scholar] [CrossRef]
  16. Lou, Z.C.; Wang, Q.Y.; Sun, W.; Zhao, Y.H.; Wang, X.Z.; Liu, X.R.; Li, Y.J. Bamboo flattening technique: A literature and patent review. Eur. J. Wood Wood Prod. 2021, 79, 1035–1048. [Google Scholar] [CrossRef]
  17. Munis, R.A.; Camargo, D.A.; de Almeida, A.C.; de Araujo, V.A.; de Lima, M.P.; Morales, E.A.M.; Simoes, D.; Biazzon, J.C.; de Matos, C.A.O.; Cortez-Barbosa, J. Parallel compression to grain and stiffness of cross laminated timber panels with bamboo reinforcement. Bioresources 2018, 13, 3809–3816. [Google Scholar] [CrossRef]
  18. Barreto, M.I.M.; De Araujo, V.; Cortez-Barbosa, J.; Christoforo, A.L.; Moura, J.D.M. Structural performance analysis of Cross-Laminated Timber-Bamboo (CLTB). Bioresources 2019, 14, 5045–5058. [Google Scholar] [CrossRef]
  19. Wei, P.; Wang, B.J.; Wang, L.; Wang, Y.; Yang, G.; Liu, J. An exploratory study of Composite Cross-Laminated Timber (CCLT) made from bamboo and hemlock-fir mix. Bioresources 2019, 14, 2160–2170. [Google Scholar] [CrossRef]
  20. Dong, W.Q.; Wang, Z.Q.; Zhou, J.H.; Gong, M. Experimental study on bending properties of cross-laminated timber-bamboo composites. Constr. Build. Mater. 2021, 300, 124313. [Google Scholar] [CrossRef]
  21. Li, H.; Wang, B.J.; Wang, L.B.; Wei, P.X.; Wei, Y.; Wang, P.Z. Characterizing engineering performance of bamboo-wood composite cross-laminated timber made from bamboo mat-curtain panel and hem-fir lumber. Compos. Struct. 2021, 266, 113785. [Google Scholar] [CrossRef]
  22. Xu, B.H.; Zhang, S.D.; Zhao, Y.H.; Bouchair, A. Rolling shear properties of hybrid cross-laminated timber. J. Mater. Civ. Eng. 2021, 33, 04021159. [Google Scholar] [CrossRef]
  23. Li, C.; Wang, X.L.; Zhang, Y.Z. Structural design and mechanical properties analysis of bamboo-wood cross-laminated timber. Bioresources 2020, 15, 5417–5432. [Google Scholar] [CrossRef]
  24. Li, C.; Zhang, L.X.; Ma, X.Y.; Wang, X.L. Cross-laminated timber design by flattened bamboo based on near-infrared spectroscopy and finite element analysis. Bioresources 2021, 16, 3437–3453. [Google Scholar] [CrossRef]
  25. Gong, Y.C.; Wu, G.F.; Ren, H.Q. Block shear strength and delamination of cross-laminated timber fabricated with Japanese larch. Bioresources 2016, 11, 10240–10250. [Google Scholar] [CrossRef]
  26. Wang, J.B.; Wei, P.; Gao, Z.; Dai, C. The evaluation of panel bond quality and durability of hem-fir Cross-Laminated Timber (CLT). Eur. J. Wood Wood Prod. 2018, 76, 833–841. [Google Scholar] [CrossRef]
  27. Srivaro, S.; Leelatanon, S.; Setkit, M.; Matan, N.; Khongtong, S.; Jantawee, S.; Tomad, J. Effects of manufacturing parameters on properties of rubberwood-cross laminated timber manufactured via hot pressing. J. Build. Eng. 2021, 44, 102703. [Google Scholar] [CrossRef]
  28. Srivaro, S.; Matan, N.; Lam, F. Performance of cross laminated timber made of oil palm trunk waste for building construction: A pilot study. Eur. J. Wood Wood Prod. 2019, 77, 353–365. [Google Scholar] [CrossRef]
  29. Moya, R.; Tenorio, C.; Munoz, F. Ultrasound velocity mapping to evaluate gluing quality in CLT panels from plantation wood species. Wood Sci. Technol. 2021, 55, 681–696. [Google Scholar] [CrossRef]
  30. Li, M.Y.; Zhang, S.B.; Gong, Y.C.; Tian, Z.P.; Ren, H.Q. Gluing techniques on bond performance and mechanical properties of Cross-Laminated Timber (CLT) made from larix kaempferi. Polymers 2021, 13, 733. [Google Scholar] [CrossRef]
  31. Sharifnia, H.; Hindman, D.P. Effect of manufacturing parameters on mechanical properties of southern yellow pine cross laminated timbers. Constr. Build. Mater. 2017, 156, 314–320. [Google Scholar] [CrossRef]
  32. Yusof, N.M.; Tahir, P.M.; Lee, S.H.; Khan, M.A.; James, R.M.S. Mechanical and physical properties of Cross-Laminated Timber made from Acacia mangium wood as function of adhesive types. J. Wood Sci. 2019, 65, 20. [Google Scholar] [CrossRef]
  33. Yusoh, A.S.; Md Tahir, P.; Anwar Uyup, M.K.; Lee, S.H.; Husain, H.; Khaidzir, M.O. Effect of wood species, clamping pressure and glue spread rate on the bonding properties of Cross-Laminated Timber (CLT) manufactured from tropical hardwoods. Constr. Build. Mater. 2021, 273, 121721. [Google Scholar] [CrossRef]
  34. Nkeuwa, W.N.; Zhang, J.; Semple, K.E.; Chen, M.; Xia, Y.; Dai, C. Bamboo-based composites: A review on fundamentals and processes of bamboo bonding. Compos. Part B Eng. 2022, 235, 109776. [Google Scholar] [CrossRef]
  35. Uyup, M.K.A.; Paridah, M.; Husain, H.; Ashaari, Z.; Alamjuri, R.; Nordahlia, A. Adhesion and bonding properties of low molecularar weight phenol formaldehyde-treated plylybamboo. J. Trop. For. Sci. 2012, 24, 379–386. [Google Scholar]
  36. Huang, Y.; Lin, Q.; Yang, C.; Bian, G.; Zhang, Y.; Yu, W.J. Multi-scale characterization of bamboo bonding interfaces with phenol-formaldehyde resin of different molecular weight to study the bonding mechanism. J. R. Soc. Interface 2020, 17, 20190755. [Google Scholar] [CrossRef] [PubMed]
  37. Knorz, M.; Torno, S.; van de Kuilen, J.W. Bonding quality of industrially produced Cross-Laminated Timber (CLT) as deter-mined in delamination tests. Constr. Build. Mater. 2017, 133, 219–225. [Google Scholar] [CrossRef]
  38. ANSI/APA PRG 320; Standard for Performance-Rated Cross Laminated Timber. APA—The Engineered Wood Association: Tacoma, WA, USA, 2019.
  39. CNS GB/T 15780-1995; Testing Methods for Physical and Mechanical Properties of Bamboos. China Architecture & Building Press: Beijing, China, 1996.
  40. ASTM D143-14; Standard Test Methods of Static Tests of Lumber in Structural Sizes. ASTM International: West Conshohocken, PA, USA, 2014.
  41. ASTM D905-08; Standard Test Method for Strength Properties of Adhesive Bonds in Shear by Compression Loading. ASTM International: West Conshohocken, PA, USA, 2013.
  42. Sikora, K.S.; McPolin, D.O.; Harte, A.M. Shear strength and durability testing of adhesive bonds in cross-laminated timber. J. Adhes. 2016, 92, 758–777. [Google Scholar] [CrossRef]
  43. Lu, Z.; Zhou, H.; Liao, Y.; Hu, C. Effects of surface treatment and adhesives on bond performance and mechanical properties of Cross-Laminated Timber (CLT) made from small diameter Eucalyptus timber. Constr. Build. Mater. 2018, 161, 9–15. [Google Scholar] [CrossRef]
  44. Wei, P.X.; Wang, B.J.; Li, H.; Wang, L.B.; Gong, Y.C.; Huang, S.Y. Performance evaluation of a novel cross-laminated timber made from flattened bamboo and wood lumber. Bioresources 2021, 16, 5187–5202. [Google Scholar] [CrossRef]
  45. Frihart, C.R. Adhesive groups and how they relate to the durability of bonded wood. J. Adhes. Sci. Technol. 2009, 23, 601–617. [Google Scholar] [CrossRef]
  46. Yörür, H. Investigation of factors influencing on wood adhesion capability. Kast. Univ. J. For. Fac. 2018, 18, 99–107. [Google Scholar] [CrossRef]
  47. Lim, H.; Tripathi, S.; Tang, J.D. Bonding performance of adhesive systems for cross-laminated timber treated with micronized copper azole type C (MCA-C). Constr. Build. Mater. 2020, 232, 117208. [Google Scholar] [CrossRef]
  48. Castro, G.; Paganini, F. Mixed glued laminated timber of poplar and Eucalyptus grandis clones. Holz als Roh- und Werkstoff 2003, 61, 291–298. [Google Scholar] [CrossRef]
Figure 1. Schematic illustration of CLBT panel configuration.
Figure 1. Schematic illustration of CLBT panel configuration.
Forests 13 01271 g001
Figure 2. Sampling and testing diagram of CLBT: (a) sampling locations of CLBT panel, (b) block shear specimens, (c) delamination specimens, (d) testing diagram for block shear specimen.
Figure 2. Sampling and testing diagram of CLBT: (a) sampling locations of CLBT panel, (b) block shear specimens, (c) delamination specimens, (d) testing diagram for block shear specimen.
Forests 13 01271 g002
Figure 3. Bond shear properties of CLBT loaded in different directions: (a) bonding shear strength, (b) wood failure percentage.
Figure 3. Bond shear properties of CLBT loaded in different directions: (a) bonding shear strength, (b) wood failure percentage.
Forests 13 01271 g003
Figure 4. The failure mode of CLBT block shear test: (a) PUR specimen loaded in major strength direction; (b) PRF specimen loaded in major strength direction; (c) PUR specimen loaded in minor strength direction; (d) PRF specimen loaded in minor strength direction.
Figure 4. The failure mode of CLBT block shear test: (a) PUR specimen loaded in major strength direction; (b) PRF specimen loaded in major strength direction; (c) PUR specimen loaded in minor strength direction; (d) PRF specimen loaded in minor strength direction.
Forests 13 01271 g004
Figure 5. Comparison of bonding shear strength of CLBT and CLT; Hem-fir CLT [26], Larix kaempferi CLT [30], Kedondong CLT [33], Eucalyptus CLT [43].
Figure 5. Comparison of bonding shear strength of CLBT and CLT; Hem-fir CLT [26], Larix kaempferi CLT [30], Kedondong CLT [33], Eucalyptus CLT [43].
Forests 13 01271 g005
Figure 6. End and side views of specimens after delamination.
Figure 6. End and side views of specimens after delamination.
Forests 13 01271 g006
Figure 7. Delamination results for different configurations of CLBT: (a) delamination of CLBT specimens, (b) the trend of delamination of CLBT specimens.
Figure 7. Delamination results for different configurations of CLBT: (a) delamination of CLBT specimens, (b) the trend of delamination of CLBT specimens.
Forests 13 01271 g007
Table 1. Physical and mechanical properties of flattened bamboo boards and Chinese fir lumber.
Table 1. Physical and mechanical properties of flattened bamboo boards and Chinese fir lumber.
PropertiesMaterials
Flattened BambooChinese Fir
Density (kg/m3)780360
Moisture content (%)913
Dimension (mm)1030(l) × 75(w) × 7(t)3000(l) × 100(w) × 19(w)
Shear strength parallel to grain (MPa)14.75.8
Note: l = length; w = width; t = thickness.
Table 2. Typical properties of two commercial structural adhesives.
Table 2. Typical properties of two commercial structural adhesives.
PropertiesAdhesive
PURPRF
Glue spread rate (g/m2)180–200300–350
Assembly time (min)3040
Pressing time (min)120240
Table 3. The mean values of bonding shear strength and wood failure percentage of CLBT.
Table 3. The mean values of bonding shear strength and wood failure percentage of CLBT.
CLBT Panel No.Pressure (MPa)Adhesive TypeBSS/MPaWFP/%
MajorMinorMajorMinor
10.6PUR2.05 (0.85)5.08 (1.12)88.80 (9.10)90.10 (9.00)
20.6PRF1.74 (0.45)4.42 (1.37)46.40 (19.20)64.85 (12.30)
30.8PUR1.53 (0.38)5.29 (0.66)92.40 (5.00)91.98 (8.20)
40.8PRF1.31 (0.67)2.66 (0.48)33.00 (20.20)46.80 (23.40)
51.0PUR2.47 (1.15)4.48 (1.28)89.20 (9.10)91.15 (5.40)
61.0PRF2.00 (1.41)4.85 (0.96)52.57 (18.80)69.40 (7.40)
Note: Major = major strength direction; Minor = minor strength direction.
Table 4. Analysis of variance (ANOVA) for bonding shear characteristics of CLBT.
Table 4. Analysis of variance (ANOVA) for bonding shear characteristics of CLBT.
Test CriterionSource of VariationdfMean SquareSignificance Level
BSSmajor (MPa)Pressure (p)21.9970.063 ns
Adhesive type (A)10.9990.227 ns
p*A20.0500.926 ns
WFPmajor (%)Pressure (p)2204.3410.470 ns
Adhesive type (A)119,139.7631.666 × 10−9 ***
p*A2420.1560.220 ns
BSSminor (MPa)Pressure (p)22.1870.198 ns
Adhesive type (A)18.4980.015 **
p*A26.9900.009 ***
WFPminor (%)Pressure (p)2383.8220.291 ns
Adhesive type (A)110,614.5301.535 × 10−6 ***
p*A2416.6290.263 ns
Note: ns = not significant; ** = significant at p ≤ 0.05; *** = significant at p ≤ 0.01.
Table 5. Delamination test results of CLBT.
Table 5. Delamination test results of CLBT.
CLBT Panel No.Pressure (MPa)Adhesive TypeDelamination (%)
D t o t a l D b w D b b
10.6PUR20.50 (2.61)0.89 (1.26)30.30 (3.80)
20.6PRF3.86 (1.00)4.67 (5.08)3.45 (2.78)
30.8PUR13.49 (8.17)2.23 (2.58)19.12 (11.95)
40.8PRF7.77 (3.47)8.49 (12.10)7.42 (4.07)
51.0PUR15.34 (6.63)2.85 (4.43)21.59 (10.65)
61.0PRF7.64 (4.42)10.54 (9.43)6.19 (3.14)
Table 6. ANOVA of the delamination characteristics of CLBT under different bonding pressures.
Table 6. ANOVA of the delamination characteristics of CLBT under different bonding pressures.
Test CriterionSource of VariationdfMean SquareSignificance Level
D t o t a l Pressure (p)27.1830.789 ns
(%)Adhesive type (A)1903.1035.947 × 10−6 ***
p*A2101.5440.047 **
D b b Pressure (p)244.6300.489 ns
(%)Adhesive type (A)12909.7031.137 × 10−7 ***
p*A2187.1080.061 ns
D b w Pressure (p)247.5480.449 ns
(%)Adhesive type (A)1314.5300.027 **
p*A211.7310.817 ns
Note: ns = not significant; ** = significant at p ≤ 0.05; *** = significant at p ≤ 0.01.
Publisher’s Note: MDPI stays neutral with regard to jurisdictional claims in published maps and institutional affiliations.

Share and Cite

MDPI and ACS Style

Yang, S.; Li, H.; Fei, B.; Zhang, X.; Wang, X. Bond Quality and Durability of Cross-Laminated Flattened Bamboo and Timber (CLBT). Forests 2022, 13, 1271. https://doi.org/10.3390/f13081271

AMA Style

Yang S, Li H, Fei B, Zhang X, Wang X. Bond Quality and Durability of Cross-Laminated Flattened Bamboo and Timber (CLBT). Forests. 2022; 13(8):1271. https://doi.org/10.3390/f13081271

Chicago/Turabian Style

Yang, Shiyu, Hongping Li, Benhua Fei, Xiubiao Zhang, and Xiaohuan Wang. 2022. "Bond Quality and Durability of Cross-Laminated Flattened Bamboo and Timber (CLBT)" Forests 13, no. 8: 1271. https://doi.org/10.3390/f13081271

APA Style

Yang, S., Li, H., Fei, B., Zhang, X., & Wang, X. (2022). Bond Quality and Durability of Cross-Laminated Flattened Bamboo and Timber (CLBT). Forests, 13(8), 1271. https://doi.org/10.3390/f13081271

Note that from the first issue of 2016, this journal uses article numbers instead of page numbers. See further details here.

Article Metrics

Back to TopTop