Abstract
The stump and coarse root biomass remaining after tree harvesting are often overlooked by researchers, which may lead to underestimation of their role in carbon cycling, so we constructed two sets of additive models for larch (Larix olgensis Henry) plantations in Northeast China. Due to the absence of tree diameter at breast height data after harvesting, only the sole predictor variable stump disc diameter could be used to predict stump and coarse root biomass, and the results showed that stump disc diameter predicted stump biomass with higher accuracy than coarse root biomass predictions. In addition, to investigate the effect of the site class of complex stands on the predictive capability of the model, the generic model in this study was employed with all site class data and a specific model was developed and employed with all the site class data. We found that the generic model had different degrees of error compared to the predicted results for each site class, overestimating the total biomass by 15% and underestimating it by 10%, especially for site class IV. In conclusion, to obtain a biomass prediction model with reliable results, the impact of more complex site class effects should be considered.
1. Introduction
The estimation of forest biomass is of great significance for improvements in the global ecological environment and mitigation of global climate change, and it can provide a reference for the study of the carbon balance, energy flow and material exchange in forest ecosystems [1,2]. Stumps are normally left to decompose in forest stands after clear-cutting and consist of a stump and coarse roots [3].
Stump and coarse root biomasses are 20%–28% of the total tree biomass in coniferous stands [4]. Larch root biomass accounts for 26.7% of the total biomass [5]. Accurate estimates of stump and coarse root biomass are necessary for evaluating the long-term carbon and nutrient pools, which are an important part of the carbon balance in forest ecosystems [6]. However, compared with the aboveground biomass of trees, it is more difficult to measure stump and coarse root biomass, as these are time-consuming processes and require a large amount of capital input. While the biomass models are useful for examining aboveground biomass, they generally ignore stump and coarse root biomass [7,8,9]. When the trees are clear cut, stumps and coarse roots are left behind and the diameter of the stump disc (D) is easy to obtain, so D was used as a variable to establish the biomass model in this study. Parresol and Tang et al. proposed the aggregated and disaggregated models of aboveground biomass, respectively [10,11,12,13,14,15]. Previous studies did not compare the prediction performance of Agg-ML and Dis-ML methods for stump and coarse root biomass and the additivity of stump and coarse root biomass models and their component models. When estimating a system of additive biomass equations, considering the inherent correlation among the biomass components results in greater statistical efficiency [16,17]. Some studies have shown that the two methods, TSEM and NSUR, have the same accuracy in predicting each component and total biomass, but the NSUR method is superior to the TSEM method in that it is easy to implement through the nlsystemit process in R version 3.5.1 [13,14,18,19]. Therefore, this study used the NSUR method to estimate the model parameters of stump and coarse root biomass and those for the biomass of each component and ensured the additivity of stump and coarse root biomass and component biomasses.
Larch (Larix spp.) is a major species used for forestation in Northeastern China [20]. Larch plantations account for approximately 65.10% (55.67 million ha) of the area and 70.13% (7766.64 million m3) of the stem volume in the total Heilongjiang Province Forest reserve; larch is the first of four main plantation types in Heilongjiang Province [21]. The plantation was first planted in the 1950s and 1960s. After nearly 30 years of harvest and regeneration, there are large numbers of stumps and coarse roots in the forest. Nevertheless, there is a lack of models for estimation of stump and coarse root biomass. Jānis Liepiņš et al. estimated belowground biomass of Norway spruce, Scots pine, birch spp. and European aspen, respectively, by using linear mixed model analysis in Latvia [22]; Aaron Smith et al. developed a generic allometric function to estimate birch underground biomass in Norway [23]; In addition, Jaakko Repola et al. established a multivariate model based on diameter at breast height and tree height to study the stump and coarse root biomass of Scots Pine, Norway spruce and birch in Finland [24,25,26]. However, a few models are available that only estimate the underground biomass as a whole [16,27]. Studies have shown that the carbon content and decomposition rate of different components in stumps and coarse roots are different, so they should be studied separately [28]. Therefore, we attempted to model these components. In addition, numerous studies have shown that site class is significantly related to forest biomass, However, the site class was not considered in the modeling of stump and coarse root biomass. Therefore, the study took site class into account, so that the stump and coarse root biomass could be more accurately estimated in different stands.
To address the limitations of the previously reported work and to improve our understanding of how stump and coarse root biomass partitioning varies across the region, our aim was to quantify stump and coarse root biomasses across different site classes using the two methodologies. Therefore, the objectives of our study were (1) to construct two additive biomass models (Agg-ML and Dig-ML) of each component based on D (stump disc diameter) with weighted NSUR; (2) to explore the degree to which site class affects larch stump and coarse root biomass.
2. Materials and Methods
2.1. Study Sites and Sampling
The experimental sites in the current study were located in Mengjiagang Forest Farm, Heilongjiang Province, China (130°32′42″–130°52′36″ E, 46°20′16″–46°30′50″ N). The forest farm is located at the western foot of Wanda Mountain and has the typical continental monsoon climate of East Asia. The annual average temperature is 2.7 °C, and the annual average precipitation is 550 mm. The soil is mainly dark brown soil; in addition, there is a small amount of albino soil, meadow soil, swamp soil and peat soil distributed in the area. Detailed information about site class, initial planting density, altitude, soil type and slope information can be found in Table 1.
Table 1.
Characteristics of sampled Larix olgensis stands.
Sampling from mature stands took place from 24 May to 6 June 2018. In total, 94 stumps and coarse roots were sampled from larch plantations in three stands with three site classes. Approximately 30 trees were grade equal ratio method selected from each stand (Table 2). The stumps and coarse roots were manually excavated with shovels (Figure 1a) and uprooting procedure was repeated until the complete stump and coarse root had been removed (Figure 1b). Stumps and roots were cut and weighed by component (Figure 1c) and sorted into stump disc (SD), stump knot (SK), coarse roots (>10 cm in diameter) (CR1), medium coarse roots (5–10 cm) (CR2) and fine coarse roots (2–5 cm) (CR3) (Figure 1d). Subsamples were collected from stump and coarse root portions for biomass determination, as described below.
Table 2.
Sampled information of Larix olgensis.
Figure 1.
Stump and coarse root harvest operations (a–c) and belowground biomass compartments (d) in Larix olgensis.
2.2. Biomass Measurements
For each sampled stump disc (including wood and bark), the diameter (10 cm above the root collar) [29] and fresh weight were recorded. A 5 cm disc subsample was cut from the middle of each stump disc and fresh weights were recorded. Similarly, the fresh weights of the stump knot and a 5 cm disc subsample of each stump knot were recorded.
Subsamples of approximately 100 g of coarse roots were randomly sampled to determine the exact fresh weights. All the subsamples were oven dried at 85 °C until constant weight and then the ratio of dry to fresh weight was calculated. The dry biomass of each stump and coarse root portion was calculated by multiplying its fresh weight by the respective dry/fresh weight ratio [16].
2.3. Model Specifications
In this study, D was the only variable in the underground biomass model because it can be obtained directly after clear cutting. According to the data obtained by the visual inspection of SD, SK, CR1, CR2 and CR3, biomass data can be modelled by a power function with D.
Thus, a base model was used to establish an independent component biomass model. These models are given by:
where represents the SD, SK, CR1, CR2 and CR3 biomass in kilograms (k = s, q, m, n, and r, for SD, SK, CR1, CR2 and CR3, respectively); D represents the stump disc diameter; a and b represent the model parameters; and is the model error term.
2.3.1. Aggregated Model Systems
Aggregated model systems fit the component biomass data simultaneously, which explicates the instinctive correlations among the component biomasses of the same sample tree. Following the model structure specified in Parresol [12,30], Agg-ML ensures additivity between the stump and coarse root biomasses and component biomasses with one constraint: stump and coarse root biomasses are equal to the sum of the tree component biomasses. The expressions of Agg-ML with D are given as:
where t, s, q, m, n and r denote SD, SK, CR1, CR2 and CR3, respectively. The parameters fitted by the total biomass of stumps and coarse roots and the data of each component are shown in Table 3.
Table 3.
Parameter estimates and their asymptotic standard error and p values for the Agg-ML biomass equation system.
2.3.2. Disaggregated Model Systems
For Dig-ML, Tang et al. [13,15,31] noted that it is possible to specify an equation for total biomass and then disaggregate this equation using multiplicative component discrimination functions. The stump and coarse roots biomass model and component biomass models were fitted simultaneously. The expressions of Dig-ML with D were as follows. First, an estimation model was established for the total biomass of stumps and coarse roots:
Then, we considered SK, CR1, CR2 and CR3 as a whole and the function was the score used to distinguish between SD and F.
Decomposing whole F by multiplicative component discrimination functions, component biomass expectations become complex nonlinear functions of the available predictors, whereas totals are simplified. With additivity in mind, a valid Gaussian biomass model based on this system of disaggregated equations can be written in the additive-error form:
In the formula, , and is a fractional function similar to , is the n × 1 residual vector of the i equation (i = 1, 2…6), and n is the number of observations (stumps and coarse roots).
To show all the forms of the disaggregated model, a disaggregated model was specified using Equation (5). This model (6) was based on an equation for expected total biomass, a function to discriminate between SD and SK, CR1, CR2, CR3 mass, a function to discriminate between SK and CR1, CR2, CR3 mass, a function to discriminate between CR1 and CR2, CR3 mass and a function to discriminate between CR2 and CR3 mass. The forms adopted for these equations were as follows:
When the above equation is brought into Equation (5), a complete expression of the total biomass of stumps and coarse roots is formed. The parameters fitted by the total biomass of stumps and coarse roots and the data of each component are shown in Table 4.
Table 4.
Parameter estimates and their asymptotic standard error and p values for the Dis-ML biomass equation system.
2.3.3. Parameter Estimation Methods
For Agg-ML and Dis-ML, the model parameters were estimated using nonlinear seemingly unrelated regression (NSUR). Parameter estimates and their asymptotic standard error refer to the method of Affleck, D. and Pan, L. et al. [32,33]. More detailed information on the theory and algorithm of these methods can be found in the literature [14]. Agg-ML and Dis-ML models were fitted using different procedures (R version 4.1.1.2021).
2.4. Model Assessment and Evaluation
In this study, the biomass equation system was fitted to the entire data set (N = 94 trees). Model validation was accomplished by the 10-fold cross-validation technique [34]. Four fit statistics were obtained for each equation and used to evaluate the goodness of fit for the biomass prediction system: the mean residual (E), root mean square error (RMSE), coefficient of determination (R2) and mean prediction error (MPE). Mathematical expressions of these criteria are as follows:
2.5. Effect of Site Class on Biomass Models
To explore the effect of site class on stump and coarse root biomass, we constructed additive and disaggregated models for each site class and for the overall biomass of the three site classes, respectively, using the methods described above. Then, fitted curves were plotted using the predicted results of the generic models and specific models for each site class to compare the differences [29]. We showed the difference between the predicted results of the specific and generic models more visually by calculating Diff with the following equation:
where is the predicted biomass using the generic models and is the predicted biomass using specific models. In addition, we used the modelling method of Affleck et al. [33] to simplify variance functions, so the raw residuals were not suitable as the result of residual diagnosis and it was necessary to use the normalized residual as a reference:
where = (, ..., )T is the raw residuals for the nth tree, is the related estimated variance–covariance matrix and is a Choleski factorization of that matrix.
3. Results
3.1. Biomass Equations Based on the Stump Disc Diameter
The estimated total belowground biomass of individual trees was highly variable, ranging from 3.47 to 399.07 kg (Table 5). The mean CR1 biomass was 42.53 kg, comprising 26%–53% of the stump and coarse root biomasses. SK had an average biomass of 24.36 kg, accounting for 23%–30% of the total biomass. Among all the components, SD accounted for the smallest biomass, with an average of 4.47 kg, accounting for 4%–10% of the total biomass.
Table 5.
Stump and coarse root biomass components (kg).
Significant correlations (0.68< r < 0.97) were observed between the stump and coarse root biomass components (Table 6). The root biomass components had a stronger correlation with D, as the mean r ranged from 0.75 to 0.92, which shows that the biomass of each component of stumps and coarse roots increased with an increase in D. Stumps and coarse roots were highly correlated with CR1 and SK, with r values of 0.97 and 0.90, respectively.
Table 6.
Pairwise Pearson’s correlation coefficients (above diagonal) and their significance among variables of stumps and coarse root components.
3.2. Biomass Model Validation
Table 3 and Table 4 indicate the parameters of the additive and phase-soluble models. The R2, RMSE, MPE and MAE values obtained after 10-fold cross-validation indicated that both sets of models were able to predict larch stump and coarse biomass relatively accurately. Although the R2 for the coarse root fraction was lower and the RMSE was higher than that of the stumps, both sets of models achieved better predictions of total biomass.
3.3. Effect of Site Class on Biomass Models
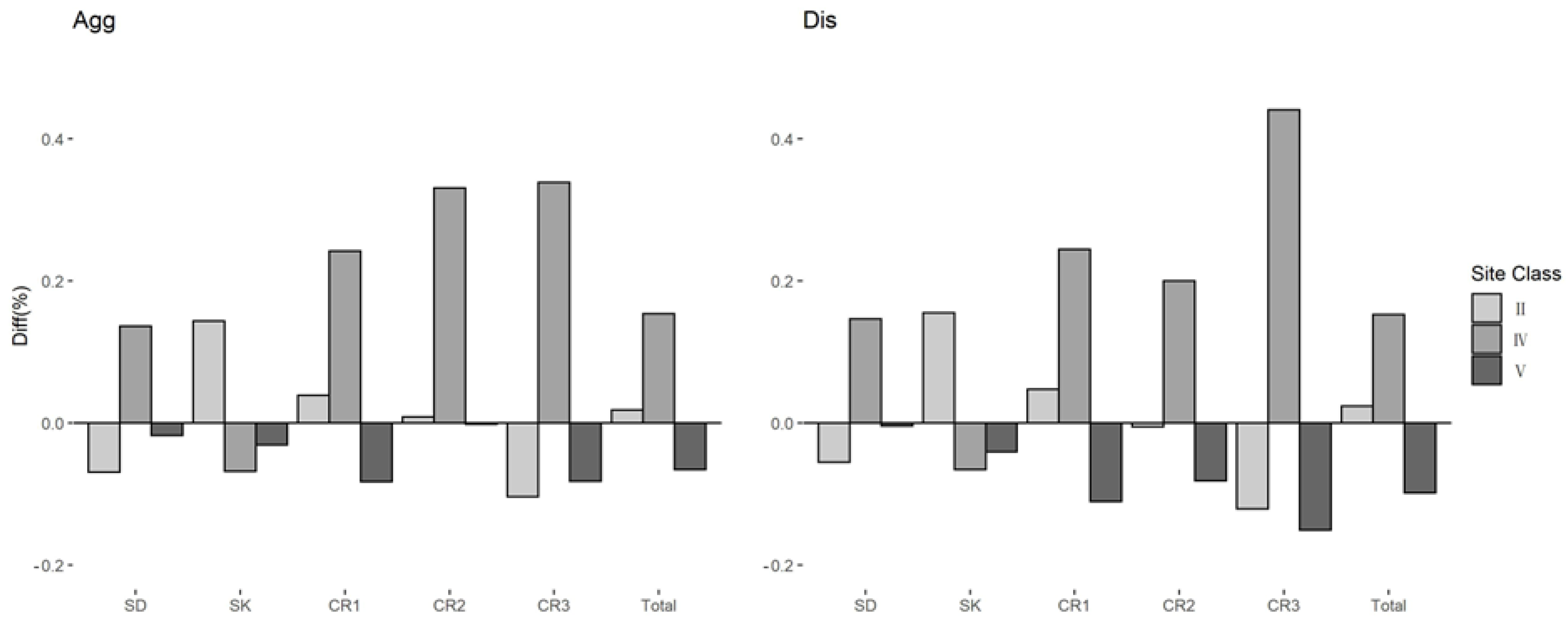
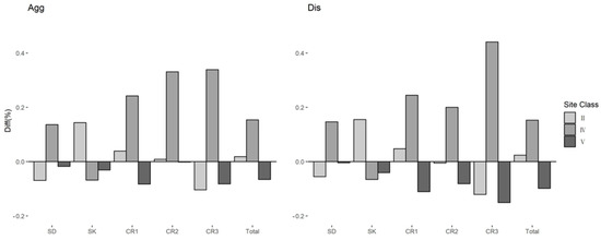
The effect of site class on the predicted results of total and component biomass varied, but the differences were similar in the two sets of models (Figure 2). The two sets of generic models overestimated the biomass of Ⅳ to a greater extent and the coarse root fraction of Ⅳ was overestimated by 20%–44% at the individual tree level. In contrast, Ⅱ and Ⅴ were estimated with smaller errors, in a range of −15%–15%. The generic model overestimated the stump and total coarse root biomass by up to 15% and underestimated it by up to 10% (Figure 3).
Figure 2.
Fitted curves of two prediction models for the biomasses of each component and total biomass at different site classes.
Figure 3.
Comparison of values obtained for total biomass and component biomass using a generic and a specific model (Diff).
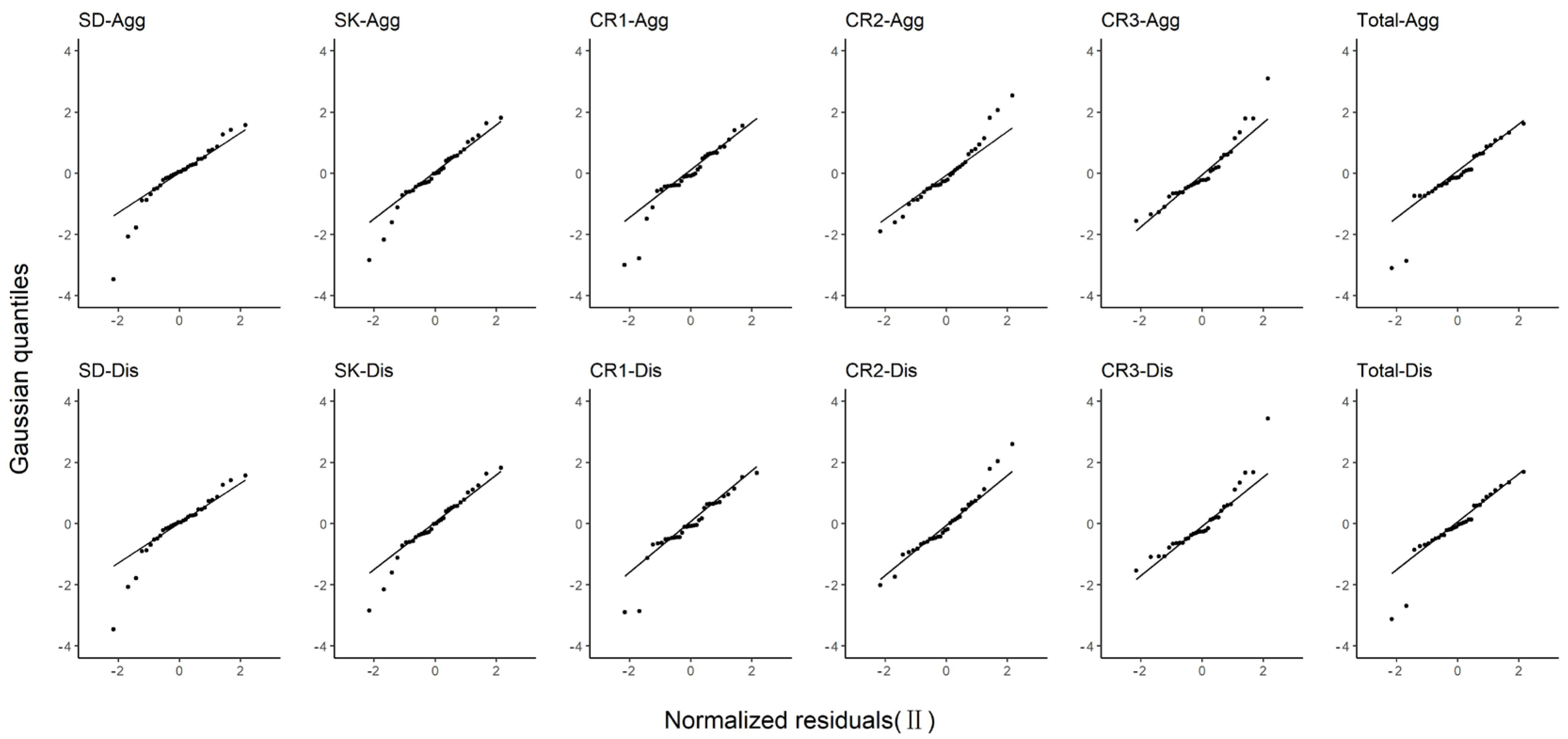
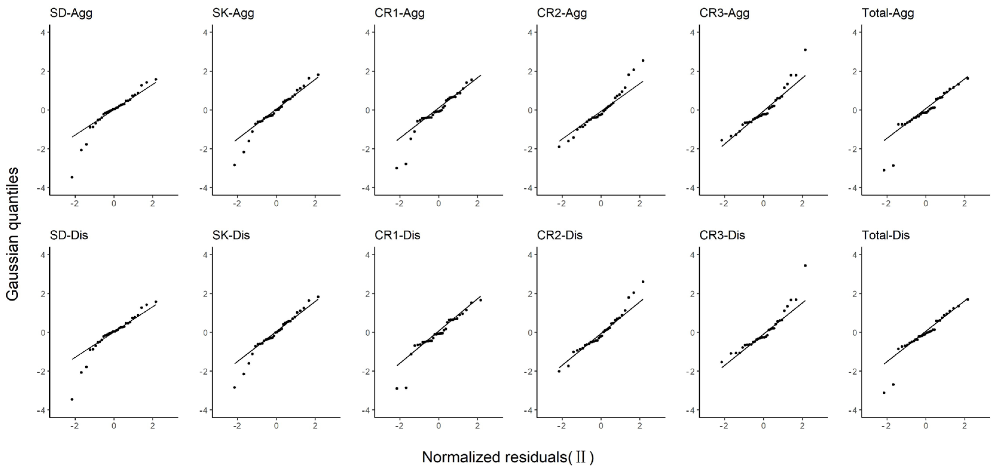
Figure 4 shows that the predictions of the specific model were closer to the true values than those of the generic model and the Gaussian probability plots of the normalized residuals of the additive and disaggregated models for the three site classes, as well as the overall stand, further confirmed this result. We found that the normalized residuals for each component in the overall stand, as well as the total biomass, had more serious deviation trends and outliers, while the normalized residuals were significantly improved after dividing the overall stand into three categories by site class (Figure 5, Figure 6, Figure 7 and Figure 8).
Figure 4.
Comparison of each component and total biomass for the additive model and the disaggregated model at different site classes.
Figure 5.
Gaussian probability plots of normalized residuals from the additive model and the disaggregated model for site class II.
Figure 6.
Gaussian probability plots of normalized residuals from the additive model and the disaggregated model for site class IV.
Figure 7.
Gaussian probability plots of normalized residuals from the additive model and the disaggregated model for site class V.
Figure 8.
Gaussian probability plots of normalized residuals from the additive model and the disaggregated model for all site classes.
4. Discussion
This study was concerned with stump and coarse root biomass, which are often neglected after harvesting, so we developed additive and disaggregated models based on the Affleck et al. [31,33] modelling approach. Models for the prediction of tree biomass usually use diameter at breast height as a predictor variable [35]. However, only stumps and coarse roots remain in harvested stands and we are unable to obtain data on the tree diameter at breast height. We, thus, decided to use stump disc diameter as the only variable for predicting stump and coarse root biomass. In the complex sampling conditions, the larch in our sample site included three site classes. To investigate the effect of each site class environment on the predictive ability of the model, we constructed a specific model using each site class and a generic model using the total sample and quantified the difference by calculating Diff.
In general, the results of direct tests on models do not represent the prediction and generalization abilities of the models and cross-validation is one of the most commonly used methods to validate models [36]. In our study, we used 10-fold cross-validation of the models and we can see from the results that the MPE, MAE, RMSE and R2 of the two models for the prediction of the total biomass in stumps and coarse roots were relatively close, which means that the prediction ability of the two models was comparable and the test results of the disaggregated model were slightly better than those of the additive model. In addition, we found that both sets of models predicted root stump biomass better than coarse root biomass and the R2 of the coarse root fraction of both models was lower than that of the stump. This may have been due to the imprecise determination of root biomass by the assay we used, but destructive sampling is labor intensive and complex root systems in mature forests would make this task extremely difficult [37,38], so accurate determination of stand root biomass remains a challenging task for researchers.
The site class refers to the stand productivity level based on the relationship between the average tree height in a stand and the average stand age and is usually used to measure stand quality [39,40]. In this study, the fitted results of modelling different site classes and overall stands separately revealed that the fitted curves of the three site classes and overall models were inconsistent and showed certain patterns. The plot of the predicted and true values showed that the use of the subsite classes improved the accuracy of the model predictions compared to that of the overall model. The results of Gaussian probability plots showed that the residuals of the three specific models were significantly improved compared to the generic model, which further supported our conclusion. Furthermore, based on the Diff results, we found that the generic model substantially overestimated the coarse root biomass of site class Ⅳ, which was caused by the fact that the stump disc diameter and the biomass of stumps and coarse roots in site class Ⅳ were smaller than those of site classes Ⅱ and Ⅴ (Figure 3). This also indicates that the stand conditions of site class Ⅳ are unfavorable for larch growth.
In forestry management, the fact that the large number of stumps and coarse roots remaining after harvest occupy an important position in the terrestrial carbon cycle is often ignored [6]. The model we constructed was effective in predicting the biomass of residual stumps and coarse roots of larch and revealed the role of site class in biomass prediction. Using the generic model without site classes may misestimate the biomass of trees at different site classes. However, there were a few limitations in our study. Although the stump disc diameter was the only predictor variable that could be used to predict stump biomass better, the prediction accuracy of coarse root biomass was obviously inferior to that of stumps. The poor prediction accuracy of coarse roots was partly due to the limitations of the method for determining root biomass; on the other hand, it might have also been limited by the unique predictor variable, stump disc diameter. Previous studies indicated that the use of diameter at breast height results in favorable predictions of root biomass [26,41]. Therefore, obtaining data on diameter at breast height may improve the predictive ability in the model when predicting root stump and coarse root biomass. In addition, site class is often used to determine the stand conditions and is based on the average stand height, and the accuracy of the model would be enhanced if tree height and some environmental factors could be considered. In conclusion, a reliable model for predicting biomass requires us to consider not only the characteristics of the trees themselves but also the differences among stands and the environmental conditions.
The stump and coarse root system consist of various components, which are difficult to directly estimate [42,43]; the research method of stump and coarse root is relatively simple but takes a long time [44,45]. Therefore, when monitoring and estimating forest energy on a large scale, the application of the model saves the consumption of manpower and material resources. In addition, the increasing international efforts aimed at mitigating climate change have raised interest in forest biomass for bioenergy production and carbon cycling [46,47,48]; however, the estimation of underground C value still has great variability and uncertainty [49,50]. This study is beneficial to large-scale forest biomass management and estimation of underground carbon and has reference value for the study of nutrient cycling and utilization in forest ecosystems.
5. Conclusions
In this study, additive and disaggregated models were constructed for root stump and coarse root biomass remaining after harvesting in larch plantations in Northeastern China. Compared with the previous models, the model established in this study can accurately estimate the biomass in each component in the stump and coarse root, and the prediction accuracy of the disaggregated model was slightly better than that of the additive model. This leads to a reduction in uncertainty in the estimation of carbon budget of belowground biomass. The developed models also appear to be useful tools for the estimation of belowground biomass supply in Larix olgensis stands in relation to the potential for bioenergy production. In addition, the results of high specificity at the site class indicated that further studies cannot ignore site class effects if reliable biomass modelling is to be achieved.
Author Contributions
Conceptualization, X.M., X.C. and X.W.; Investigation, X.M., Y.Y., Z.S. and S.H.; Methodology, X.M., Y.Y. and X.C.; Data curation and Formal analysis, X.M., L.P. and X.W.; Software and Visualization, X.M. and L.P.; Writing—original draft X.M., L.P. and X.W.; Writing—review and editing, X.C. and X.W.; Funding acquisition, X.C. All authors have read and agreed to the published version of the manuscript.
Funding
This work was supported by the National Natural Science Foundation of China (NSFC, grant number 31870612).
Data Availability Statement
The data are available on reasonable request.
Acknowledgments
This research was supported by the National Natural Science Foundation of China (NSFC, No.: 31870612). We gratefully acknowledge the assistance of staffs from Meng Jia Gang Forest farm with the field investigation and sample processing.
Conflicts of Interest
The authors declare no conflict of interest.
References
- Zeng, W.S.; Duo, H.R.; Lei, X.D.; Chen, X.Y.; Zou, W.T. Individual tree biomass equations and growth models sensitive to climate variables for larix spp. in China. Eur. J. For. Res. 2017, 136, 233–249. [Google Scholar] [CrossRef]
- Bond-Lamberty, B.; Wang, C.; Gower, S.T. Aboveground and belowground biomass and sapwood area allometric equations for six boreal tree species of northern manitoba. Can. J. For. Res. 2002, 44, 389. [Google Scholar] [CrossRef]
- Sofie, H.; Heljä-Sisko, H.; Ylva, M.; Jens Peter, S.; Seija, K.; Mikko, K.; Anna, S.; Hans, P.; Cecilia, A. Nutrient concentrations in stumps and coarse roots of Norway spruce, Scots pine and silver birch in Sweden, Finland and Denmark. For. Ecol. Manag. 2013, 290, 40–48. [Google Scholar] [CrossRef]
- Kimmins, P. Above- and below-ground biomass and production of lodgepole pine on sites with differing soil moisture regimes. Can. J. For. Res. 1989, 19, 447–454. [Google Scholar] [CrossRef]
- Dong, L.; Zhang, L.; Li, F. Developing additive systems of biomass equationsfor nine hardwood species in northeast China. Trees 2015, 29, 1149–1163. [Google Scholar] [CrossRef]
- Harmon, M.E.; Sexton, J. Guidelines for Measurements of Woody Detritus in Forest Ecosystems; Us Lter Network Office University of Washington: Seattle, WA, USA, 1996. [Google Scholar]
- Cairns, M.; Brown, S.; Helmer, E.; Baumgardner, G. Root biomass allocation in the world’s upland forests. Oecologia 1997, 111, 1–11. [Google Scholar] [CrossRef]
- Wang, C.K. Biomass allometric equations for 10 co-occurring tree species in chinese temperate forests. For. Ecol. Manag. 2006, 222, 9–16. [Google Scholar] [CrossRef]
- Robinson, D. Implications of a large global root biomass for carbon sink estimates and for soil carbon dynamics. Proc. R. Soc. B Biol. Sci. 2007, 274, 2753–2759. [Google Scholar] [CrossRef]
- Kozak, A. Methods of ensuring additivity of biomass components by regression analysis. For. Chron. 1970, 46, 402–404. [Google Scholar] [CrossRef]
- Dong, L.; Zhang, Y.; Zhang, Z.; Xie, L.; Li, F. Comparison of tree biomass modeling approaches for larch (Larix olgensis henry) trees in northeast china. Forests 2020, 11, 202. [Google Scholar] [CrossRef]
- Parresol, B.R. Additivity of nonlinear biomass equations. Can. J. For. Res. 2001, 31, 865–878. [Google Scholar] [CrossRef]
- Fu, L.; Lei, Y.; Wang, G.; Bi, H.; Tang, S.; Song, X. Comparison of seemingly unrelated regressions with error-in-variable models for developing a system of nonlinear additive biomass equations. Trees 2016, 30, 839–857. [Google Scholar] [CrossRef]
- Lei, Y.; Fu, L.; Affleck, D.; Nelson, A.S.; Shen, C.; Wang, M.; Zheng, J.; Ye, Q.; Yang, G. Additivity of nonlinear tree crown width models: Aggregated and disaggregated model structures using nonlinear simultaneous equations. For. Ecol. Manag. 2018, 427, 372–382. [Google Scholar] [CrossRef]
- Tang, S.; Zhang, H.; Hui, X. Study on establish and estimate method of compatible biomass model. Sci. Silvae Sin. 2000, 36, 19–27. (In Chinese) [Google Scholar]
- Wang, X.; Zhao, D.; Liu, G.; Yang, C.; Teskey, R. Additive tree biomass equations for Betula platyphylla Suk. plantations in northeast china. Ann. For. Sci. 2018, 75, 60. [Google Scholar] [CrossRef]
- Kenzo, T.; Himmapan, W.; Yoneda, R.; Tedsorn, N.; Vacharangkura, T.; Hitsuma, G.; Noda, I. General estimation models for above- and below-ground biomass of teak (Tectona grandis) plantations in Thailand. For. Ecol. Manag. 2020, 457, 117–701. [Google Scholar] [CrossRef]
- Dong, L.; Zhang, L.; Li, F. A three-step proportional weighting system of nonlinear biomass equations. For. Sci. 2015, 61, 35–45. [Google Scholar] [CrossRef]
- R Core Team. R: A Language and Environment for Statistical Computing; R Foundation for Statistical Computing: Vienna, Austria, 2019. [Google Scholar]
- Jia, B.; Sun, H.; Shugart, H.H.; Xu, Z.; Zhou, G. Growth variations of dahurian larch plantations across northeast china: Understanding the effects of temperature and precipitation. J. Environ. Manag. 2021, 292, 112739. [Google Scholar] [CrossRef]
- National Forestry and Grassland Administration. Report on Forest Resources Inventory for Key State-Owned Forest in Inner Mongolia & Northeast China; China Forestry Publishing House: Beijing, China, 2020; ISBN 978-7-5219-0679-0. (In Chinese) [Google Scholar]
- Addo-Danso, S.D.; Prescott, C.E.; Smith, A.R. Methods for estimating root biomass and production in forest and woodland ecosystem carbon studies: A review. For. Ecol. Manag. 2016, 359, 332–351. [Google Scholar] [CrossRef]
- Jānis, L.; Andis, L.; Kaspars, L. Equations for estimating above- and belowground biomass of Norway spruce, Scots pine, birch spp. and European aspen in Latvia. Scand. J. For. Res. 2018, 33, 58–70. [Google Scholar] [CrossRef]
- Aaron, S.; Aksel, G.; Rasmus, A. Functions for estimating belowground and whole tree biomass of birch in Norway. Scand. J. For. Res. 2016, 31, 568–582. [Google Scholar] [CrossRef]
- Repola, J.; Ojansuu, R.; Kukkola, M. Biomass Functions for Scots Pine, Norway Spruce and Birch in Finland; Working Papers of the Finnish Forest Research Institute; Finnish Forest Research Institute: Joensuu, Finland, 2007; Volume 53, p. 28. ISBN 978-951-40-2046-9. [Google Scholar]
- Repola, J. Biomass equations for birch in finland. Silva Fenn. 2008, 42, 605–624. [Google Scholar] [CrossRef]
- Repola, J. Biomass Equations for Scots Pine and Norway Spruce in Finland. Silva Fenn. 2009, 43, 625–647. [Google Scholar] [CrossRef]
- Dong, L.; Li, F.; Jia, W. Compatible Tree Biomass Models for Natural White Birch (Betula platyphylla) in Northeast China Forest Area. Sci. Silvae Sin. 2013, 49, 75–85. (In Chinese) [Google Scholar] [CrossRef]
- Dutc, I.; Mather, R.; Blujdea, V.; Iora, F.; Olari, M.; Abrudan, I.V. Site-effects on biomass allometric models for early growth plantations of norway spruce (Picea abies (L.) karst.). Biomass Bioenergy 2018, 116, 8–17. [Google Scholar] [CrossRef]
- The State Forestry Administration of the People’s Republic of China. LY/T 2101-2013; Technical Regulations on Quality Inspection of Cutting Area Operations Key State-Owned Forests of Inner Mongolia and Northeast China. Standards Press of China: Beijing, China, 2013.
- Zhao, D.; Westfall, J.; Coulston, J.W.; Lynch, T.B.; Bullock, B.P.; Montes, C.R. Additive biomass equations for slash pine trees: Comparing three modeling approaches. Can. J. For. Res. 2019, 49, 27–40. [Google Scholar] [CrossRef]
- Fu, L.; Lei, Y.; Sun, W.; Tang, S.; Zeng, W. Development of compatible biomass models for trees from different stand origin. Acta Ecol. Sin. 2014, 34, 1461–1470. [Google Scholar]
- Affleck, D.; Diéguez-Aranda, U. Additive Nonlinear Biomass Equations: A Likelihood-Based Approach. For. Sci. 2016, 62, 129–140. [Google Scholar] [CrossRef]
- Pan, L.; Wang, X.W. Additive Root Biomass Equations for Betula platyphylla Suk. Plant. Northeast. China 2022, 13, 661. [Google Scholar] [CrossRef]
- Bengio, Y.; Grandvalet, Y. No Unbiased Estimator of the Variance of K-Fold Cross-Validation. J. Mach. Learn. Res. 2004, 5, 1089–1105. [Google Scholar]
- Xu, Z.; Du, W.; Zhou, G.; Qin, L.; Meng, S.; Yu, J.; Sun, Z.; Si-Qing, B.; Liu, Q. Aboveground biomass allocation and additive allometric models of fifteen tree species in northeast China based on improved investigation methods. For. Ecol. Manag. 2022, 505, 119918. [Google Scholar] [CrossRef]
- Krstajic, D.; Buturovic, L.J.; Leahy, D.E.; Thomas, S. Cross-validation pitfalls when selecting and assessing regression and classification models. J. Cheminform. 2014, 6, 1–15. [Google Scholar] [CrossRef] [PubMed]
- Nicoll, B.C.; Ray, D. Adaptive growth of tree root systems in response to wind action and site conditions. Tree Physiol. 1996, 16, 891. [Google Scholar] [CrossRef] [PubMed]
- Zianis, D.; Mencuccini, M. Aboveground biomass relationships for beech (Fagus moesiaca cz.) trees in vermio mountain, northern greece, and generalised equations for Fagus sp. Ann. For. Sci. 2003, 60, 5. [Google Scholar] [CrossRef]
- Nicholas, N.S.; Zedaker, S.M. Expected stand behavior: Site quality estimation for southern appalachian red spruce. For. Ecol. Manag. 1992, 47, 39–50. [Google Scholar] [CrossRef]
- Louw, J.H.; Scholes, M. Forest site classification and evaluation: A south african perspective. For. Ecol. Manag. 2002, 171, 153–168. [Google Scholar] [CrossRef]
- Schumacher, M.V.; Witschoreck, R.; Calil, F.N.; Lopes, V.G. Biomass management and nutritional sustainability of Eucalyptus spp. stands in small farms. Cienc. Florest. 2019, 29, 144–156. [Google Scholar] [CrossRef]
- Makkonen, K.; Helmisaari, H.S. Seasonal and yearly variations of fine-root biomass and necromass in a Scots pine (Pinus sylvestris L.) stand. For. Ecol. Manag. 1998, 102, 283–290. [Google Scholar] [CrossRef]
- Ohashi, M.; Kilpeläinen, J.; Finér, L.; Risch, A.C.; Domisch, T.; Neuvonen, S.; Niemelä, P. The effect of red wood ant (Formica rufa group) mounds on root biomass, density, and nutrient concentrations in boreal managed forests. J. For. Res. 2007, 12, 113–119. [Google Scholar] [CrossRef]
- Eufrade, H.D.; Leonello, E.C.; Spadim, E.R.; Rodrigues, S.A.; de Azevedo, G.B.; Guerra, S.P.S. Stump and coarse root biomass from eucalypt forest plantations in a commercial-scale operation for bioenergy. Biomass Bioenergy 2020, 142, 105784. [Google Scholar] [CrossRef]
- Pegoraro, R.F.; Silva, I.R.; Souza, I.F.; Novais, R.F.; Barros, N.F.; Sebastio, F. Carbon accumulation and partitioning above and belowground under coppiced and replanted eucalypt plantations. For. Sci. 2021, 68, 2. [Google Scholar] [CrossRef]
- Sochacki, S.J.; Ritson, P.; Brand, B.; Harper, R.J.; Dell, B. Accuracy of tree biomass sampling methodologies for carbon mitigation projects. Ecol. Eng. 2017, 98, 264–274. [Google Scholar] [CrossRef]
- Brunner, I.; Godbold, D.L. Tree roots in a changing world. J. For. Res. 2007, 12, 78–82. [Google Scholar] [CrossRef]
- Thomas, S.C.; Martin, A.R. Carbon content of tree tissues: A synthesis. Forests 2012, 3, 332–352. [Google Scholar] [CrossRef]
- Finér, L.; Ohashi, M.; Niguchi, K.; Hirano, Y. Factors causing variation in fine root biomass in forest ecosystems. For. Ecol. Manag. 2011, 261, 265–277. [Google Scholar] [CrossRef]
Publisher’s Note: MDPI stays neutral with regard to jurisdictional claims in published maps and institutional affiliations. |
© 2022 by the authors. Licensee MDPI, Basel, Switzerland. This article is an open access article distributed under the terms and conditions of the Creative Commons Attribution (CC BY) license (https://creativecommons.org/licenses/by/4.0/).







