Northern Provenances of Silver Fir Differ with Acclimation to Contrasting Light Regimes
Abstract
:1. Introduction
2. Materials and Methods
2.1. Materials
2.2. Site Conditions of Provenance Selection
2.3. Experimental Design
2.4. Meteorological Conditions
2.5. Measurements of Growth
2.6. Chlorophyll a Fluorescence
2.7. Light Curves of Chlorophyll a Fluorescence
2.8. Chemical Analyses of Photosynthetic Pigments
2.9. Needle Structure Measurement
2.10. Statistical Analysis
3. Results
3.1. Growth Traits
3.2. Needle Structure and Photosynthetic Pigments
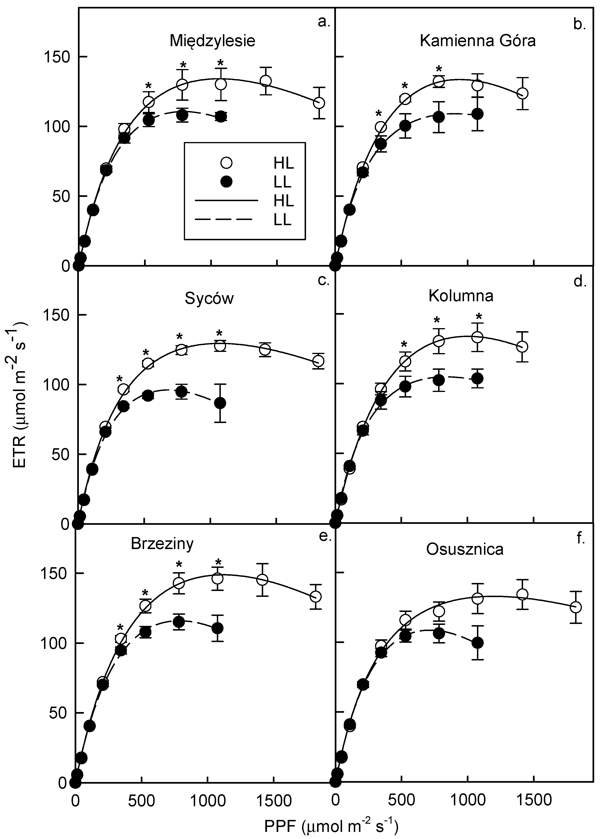
3.3. Photochemistry
3.4. Correlations with Climate of Seed Stands and Cluster Analysis
4. Discussion
4.1. Acclimation to Light
4.2. Provenance Effect
4.3. Importance of Phenotypic and Genetic Variation for Abies alba Restoration
5. Conclusions
Author Contributions
Funding
Acknowledgments
Conflicts of Interest
References
- Hoban, S.; Bruford, M.; Urban, J.D.; Lopes-Fernandes, M.; Heuertz, M.; Hohenlohe, P.A.; Paz-Vinas, I.; Sjögren-Gulve, P.; Segelbacher, G.; Vernesi, C.; et al. Genetic diversity targets and indicators in the CBD post-2020 Global Biodiversity Framework must be improved. Biol. Conserv. 2020, 248, 108654. [Google Scholar] [CrossRef]
- Tumpa, K.; Liber, Z.; Šatovi, Z.; Medak, J.; Idžojti, M.; Vidakovi, A.; Vukeli, J.; Šapi, I.; Nikl, P.; Poljak, I. High level of phenotypic differentiation of common yew (Taxus baccata L.) populations in the north-western part of the Balkan Peninsula. Forests 2022, 13, 78. [Google Scholar] [CrossRef]
- Garzón, M.B.; Alía, R.; Robson, T.M.; Zavala, M.A. Intra-specific variability and plasticity influence potential tree species distributions under climate change. Glob. Ecol. Biogeogr. 2011, 20, 766–778. [Google Scholar] [CrossRef] [Green Version]
- Kapeller, S.; Lexer, M.J.; Geburek, T.; Hiebl, J.; Schueler, S. Intraspecific variation in climate response of Norway spruce in the eastern Alpine range: Selecting appropriate provenances for future climate. For. Ecol. Manag. 2012, 271, 46–57. [Google Scholar] [CrossRef]
- Robakowski, P.; Montpied, P.; Dreyer, E. Plasticity of morphological and physiological traits in response to different levels of irradiance in seedlings of silver fir (Abies alba Mill). Trees Struct. Funct. 2003, 17, 431–441. [Google Scholar] [CrossRef]
- Robakowski, P.; Wyka, T.; Samardakiewicz, S.; Kierzkowski, D. Growth, photosynthesis, and needle structure of silver fir (Abies alba Mill.) seedlings under different canopies. For. Ecol. Manag. 2004, 201, 211–227. [Google Scholar] [CrossRef]
- Nourtier, M. La vulnérabilité du sapin pectiné (Abies alba Mill.) à la sècheresse en milieu méditerranéen selon les propriétés hydriques du sol. Sci. Agric. 2011, 244. [Google Scholar] [CrossRef]
- Cailleret, M.; Nourtier, M.; Amm, A.; Durand-Gillmann, M.; Davi, H. Drought-induced decline and mortality of silver fir differ among three sites in Southern France. Ann. For. Sci. 2013, 71, 643–657. [Google Scholar] [CrossRef]
- Centre for Agriculture and Biosciences International. Abies Alba; Forestry Compendium, Global Edition; CAB International: Wallingford, UK, 2005. [Google Scholar]
- Gostyńska-Jakuszewska, M. Jodła Pospolita (Abies alba Mill.). In Atlas Rozmieszczenia Drzew i Krzewów w Polsce. Silver Fir (Abies alba Mill.); Browicz, K., Ed.; PWN: Warszawa, Poznan, 1972. [Google Scholar]
- Fady, B.; Aravanopoulos, F.A.; Alizoti, P.; Mátyás, C.; von Wühlisch, G.; Westergren, M.; Belletti, P.; Cvjetkovic, B.; Ducci, F.; Huber, G.; et al. Evolution-based approach needed for the conservation and silviculture of peripheral forest tree populations. For. Ecol. Manag. 2016, 375, 66–75. [Google Scholar] [CrossRef] [Green Version]
- Mejnartowicz, L. Genetic analysis of silver-fir populations in the North Carpathian and Sudeten Mountains. Acta Soc. Bot. Pol. 2004, 73, 285–292. [Google Scholar] [CrossRef] [Green Version]
- Liepelt, S.; Bialozyt, R.; Ziegenhagen, B. Wind-dispersed pollen mediates postglacial gene flow among refugia. Proc. Natl. Acad. Sci. USA 2002, 99, 14590–14594. [Google Scholar] [CrossRef] [PubMed] [Green Version]
- Dobrowolska, D.; Bončina, A.; Klumpp, R. Ecology and silviculture of silver fir (Abies alba Mill.): A review. J. For. Res. 2017, 22, 326–335. [Google Scholar] [CrossRef]
- Larsen, J.B. Waldbauliche und ertragskundliche Erfahrungen mit verschiedenen Provenienzen der Weigtanne (Abies alba Mill.) in Dainemark. Forstwiss. Cent. 1981, 100, 275–287. [Google Scholar] [CrossRef]
- Bergmann, F.; Gregorius, H.R.; Larsen, J.B. Levels of genetic variation in European silver fir (Abies alba). Genetica 1990, 82, 1–10. [Google Scholar] [CrossRef]
- Robakowski, P.; Montpied, P.; Dreyer, E. Responses to temperature and shade in Abies alba seedlings from diverse provenances. Scand. J. For. Res. 2005, 20, 459–470. [Google Scholar] [CrossRef]
- Konôpková, A.; Kurjak, D.; Kmeť, J.; Klumpp, R.; Longauer, R.; Ditmarová, Ľ.; Gömöry, D. Differences in photochemistry and response to heat stress between silver fir (Abies alba Mill.) provenances. Trees Struct. Funct. 2018, 32, 73–86. [Google Scholar] [CrossRef]
- Konôpková, A.; Krajmerová, D.; Kurjak, D.; Kmeť, J.; Pšidová, E.; Kučerová, J.; Hrivnák, M.; Longauer, R.; Ditmarová, Ľ.; Gömöry, D. Nucleotide polymorphisms associated with climate and physiological traits in silver fir (Abies alba Mill.) provenances. Flora 2019, 250, 37–43. [Google Scholar] [CrossRef]
- Elling, W.; Dittmar, C.H.; Pfaffelmoser, K.; Rötzer, T. Dendroecological assessment of the complex causes of decline and recovery of the growth of silver fir (Abies alba Mill.) in Southern Germany. For. Ecol. Manag. 2009, 257, 1175–1187. [Google Scholar] [CrossRef]
- Boudot, J.P.; Becquer, T.; Merlet, D.; Rouiller, J. Aluminium toxicity in declining forests: A general overview with a seasonal assessment in a silver fir forest in the Vosges mountains (France). Ann. Sci. For. 1994, 51, 27–51. [Google Scholar] [CrossRef] [Green Version]
- Vitasse, Y.; Bottero, A.; Rebetez, M.; Conedera, M.; Augustin, S.; Brang, P.; Tinner, W. What is the potential of silver fir to thrive under warmer and drier climate? Eur. J. For. Res. 2019, 138, 547–560. [Google Scholar] [CrossRef]
- Vrška, T.; Adam, D.; Hort, L.; Kolář, T.; Janík, D. European beech (Fagus sylvatica L.) and silver fir (Abies alba Mill.) rotation in the Carpathians—A developmental cycle or a linear trend induced by man? For. Ecol. Manag. 2009, 258, 347–356. [Google Scholar] [CrossRef]
- Volařík, D.; Hédl, R. Expansion to abandoned agricultural land forms an integral part of silver fir dynamics. For. Ecol. Manag. 2013, 292, 39–48. [Google Scholar] [CrossRef]
- Dyderski, M.K.; Paź, S.; Frelich, L.E.; Jagodziński, A.M. How much does climate change threaten European forest tree species distributions? Glob. Chang. Biol. 2018, 24, 1150–1163. [Google Scholar] [CrossRef] [PubMed]
- Barzdajn, W. Strategia restytucji jodły pospolitej (Abies alba Mill.) w Sudetach [A strategy for restitution of silver fir (Abies alba Mill.) in the Sudety Mountains. Sylwan 2000, 144, 63–77. [Google Scholar]
- Linhart, Y.B.; Grant, M.C. Evolutionary significance of local genetic differentiation in plants. Annu. Rev. Ecol. Syst. 1996, 27, 237–277. [Google Scholar] [CrossRef]
- Oleksyn, J.; Modrzynski, J.; Tjoelker, M.G.; Żytkowiak, R.; Reich, P.B.; Karolewski, P. Growth and physiology of Picea abies populations from elevational transects: Common garden evidence for altitudinal ecotypes and cold adaptation. Funct. Ecol. 1998, 12, 573–590. [Google Scholar] [CrossRef]
- Marchi, M.; Castellanos-Acuña, D.; Hamann, A.; Wang, T.; Ray, D.; Menzel, A. ClimateEU, scale-free climate normals, historical time series, and future projections for Europe. Sci. Data 2020, 7, 428. [Google Scholar] [CrossRef]
- Dzialuk, A.; Czarnecki, J.; Gout, R.; Filipiak, M. Pochodzenie jodły pospolitej (Abies alba Mill.) z Nadleśnictwa Osusznica (RDLP Szczecinek) w świetle badań cytoplazmatycznego DNA: Ostoja jodły sudeckiej na Pomorzu? Sylwan 2013, 157, 139–148. [Google Scholar]
- Robakowski, P.; Pers-Kamczyc, E.; Ratajczak, E.; Thomas, P.A.; Ye, Z.-P.; Rabska, M.; Iszkuło, G. Photochemistry and antioxidative capacity of female and male Taxus baccata L. acclimated to different nutritional environments. Front. Plant Sci. 2018, 9, 742. [Google Scholar] [CrossRef]
- Maxwell, K.; Johnson, G.N. Chlorophyll fluorescence—A practical guide. J. Exp. Bot. 2000, 51, 659–668. [Google Scholar] [CrossRef]
- Evans, R.J. Photosynthetic acclimation and nitrogen partitioning within a lucerne 576 canopy. II. Stability through time and comparison with a theoretical optimum. Aust. J. Plant Physiol. 1993, 20, 69–82. [Google Scholar] [CrossRef]
- Ye, Z.-P.; Robakowski, P.; Suggett, D.J. A mechanistic model for the light response of photosynthetic electron transport rate based on light harvesting properties of photosynthetic pigment molecules. Planta 2013, 237, 837–847. [Google Scholar] [CrossRef] [PubMed]
- Barnes, J.D.; Balaguer, L.; Manrique, E.; Elvira, S.; Davison, A.W. A reappraisal of the use of DMSO for the extraction and determination of chlorophylls a and b in lichens and higher plants. Environ. Exp. Bot. 1992, 32, 85–100. [Google Scholar] [CrossRef]
- Gomez, K.A.; Gomez, A. Statistical Procedures for Agricultural Research; John Wiley & Sons, Ltd.: Hoboken, NJ, USA, 1983; ISBN 0-471-87092-7. [Google Scholar]
- Sehgal, D.K. Split Plot and Strip Plot Designs; IASRI, Library Avenue: New Delhi, India, 2012. [Google Scholar]
- R Development Core Team R: A Language and Environment for Statistical Computing; R Foundation for Statistical Computing: Vienna, Austria, 2016.
- Vencurik, J.; Kucbel, S.; Saniga, M.; Jaloviar, P.; Sedmáková, D.; Pittner, J.; Parobeková, Z.; Bosela, M. Growth dynamics of the Norway spruce and silver fir understory in continuous cover forestry. IForest 2020, 13, 56–64. [Google Scholar] [CrossRef]
- Kupferschmid, A.D.; Zimmermann, S.; Bugmann, H. Browsing regime and growth response of naturally regenerated Abies alba saplings along light gradients. For. Ecol. Manag. 2013, 310, 393–404. [Google Scholar] [CrossRef]
- Witkowski, E.T.F.; Lamont, B.B. Leaf specific mass confounds leaf density and thickness. Oecologia 1991, 88, 486–493. [Google Scholar] [CrossRef]
- Peguero-Pina, J.J.; Sancho-Knapik, D.; Flexas, J.; Galmés, J.; Niinemets, Ü.; Gil-Pelegrín, E. Light acclimation of photosynthesis in two closely related firs (Abies pinsapo Boiss. and Abies alba Mill): The role of leaf anatomy and mesophyll conductance to CO2. Tree Physiol. 2015, 36, 300–310. [Google Scholar] [CrossRef] [Green Version]
- Hampe, A.; Petit, R.J. Conserving biodiversity under climate change: The rear edge matters. Ecol. Lett. 2005, 8, 461–467. [Google Scholar] [CrossRef] [Green Version]
- Ruban, A.V.; Berera, R.; Ilioaia, C.; Van Stokkum, I.H.M.; Kennis, J.T.M.; Pascal, A.A.; Van Amerongen, H.; Robert, B.; Horton, P.; Van Grondelle, R. Identification of a mechanism of photoprotective energy dissipation in higher plants. Nature 2007, 450, 575–578. [Google Scholar] [CrossRef]
- Adams, W.W., III; Zarter, C.R.; Ebbert, V.; Demmig-Adams, B. Photoprotective strategies of overwintering evergreens. Bioscience 2004, 54, 41–49. [Google Scholar] [CrossRef]
- Niinemets, Ü.; Kull, O.; Tenhunen, J.D. An analysis of light effects on foliar morphology, physiology, and light interception in temperate deciduous woody species of contrasting shade tolerance. Tree Physiol. 1998, 18, 681–696. [Google Scholar] [CrossRef] [PubMed] [Green Version]
- Robakowski, P. Susceptibility to low-temperature photoinhibition in three conifers differing in successional status. Tree Physiol. 2005, 25, 1151–1160. [Google Scholar] [CrossRef] [Green Version]
- Zarter, C.R.; Demmig-Adams, B.; Ebbert, V.; Adamska, I.; Adams, W.W., III. Photosynthetic capacity and light harvesting efficiency during the winter-to-spring transition in subalpine conifers. New Phytol. 2005, 172, 283–292. [Google Scholar] [CrossRef]
- Ruban, A.V. Evolution under the sun: Optimizing light harvesting in photosynthesis. J. Exp. Bot. 2015, 66, 7–23. [Google Scholar] [CrossRef] [Green Version]
- Ebbert, V.; Adams, W.W., III; Mattoo, A.K.; Sokolenko, A.; Demmig-Adams, B. Up-regulation of a photosystem II core protein phosphatase inhibitor and sustained D1 phosphorylation in zeaxanthin- retaining, photoinhibited needles of overwintering Douglas fir. Plant Cell Environ. 2005, 28, 232–240. [Google Scholar] [CrossRef]
- Konôpková, A.; Pšidová, E.; Kurjak, D.; Stojnić, S.; Petrík, P.; Fleischer, P.; Kučerová, J.; Ježík, M.; Petek, A.; Gömöry, D.; et al. Photosynthetic performance of silver fir (Abies alba) of different origins under suboptimal growing conditions. Funct. Plant Biol. 2020, 47, 1007–1018. [Google Scholar] [CrossRef] [PubMed]
- Thomas, E.; Jalonen, R.; Loo, J.; Boshier, D.; Gallo, L.; Cavers, S.; Bordács, S.; Smith, P.; Bozzano, M. Genetic considerations in ecosystem restoration using native tree species. For. Ecol. Manag. 2014, 333, 66–75. [Google Scholar] [CrossRef] [Green Version]








| Provenance | Latitude, Longitude | Altitude a.s.l. (m) | Tmean (°C) | Tmmax (°C) | Tmmin (°C) | Ps (mm) | P (mm) | AHM | SH |
|---|---|---|---|---|---|---|---|---|---|
| Międzylesie | 50°17′34.3″ N 16°43′37.1″ E | 450 | 7.8 | 17.1 | −2.2 | 397 | 636 | 28.0 | 37.1 |
| Kamienna Góra | 50°36′51.5″ N 15°59′22.3″ E | 640 | 6.5 | 16.1 | −4.4 | 417 | 707 | 23.3 | 55.2 |
| Syców | 51°21′31.3″ N 17°36′32.9″ E | 201 | 8.9 | 18.7 | −1.6 | 321 | 551 | 34.3 | 65.1 |
| Kolumna | 51°34′14.8″ N 19°20′49.6″ E | 220 | 8.9 | 19.9 | −3.3 | 320 | 554 | 34.1 | 63.8 |
| Brzeziny | 51°40′57.0″ N 19°44′53.0″ E | 217 | 8.6 | 19.7 | −3.8 | 319 | 552 | 33.7 | 63.9 |
| Osusznica | 54°6′27.24″ N 17°23′25.8″ E | 221 | 7.7 | 18.4 | −3.9 | 364 | 708 | 25.0 | 51.9 |
| Provenance | Forest Site Type | Soil Type | Soil Valuation Iem |
|---|---|---|---|
| Międzylesie | Fresh mixed mountain forest | Acid brown soil | Loamy silt |
| Kamienna Góra | Fresh mixed mountain forest | Brown podzolic soil | Loamy gravelly sand |
| Syców | Upland fresh forest | Acid brown soil | Clay loam |
| Kolumna | Fresh forest | Pseudogley soil lessive | Loamy sand, sandy loam |
| Brzeziny | Fresh forest | Soil lessive | Boulder clay, post-glacial sand |
| Osusznica | Fresh forest | Brown soil | Sand and boulder clay |
| Trait | Effect | Df | MS | F | p |
|---|---|---|---|---|---|
| dA | Block | 9 | 0.856 | 0.59 | 0.780 |
| Light | 1 | 0.118 | 0.08 | 0.783 | |
| Ea | 9 | 1.459 | 0.75 | 0.861 | |
| Prov | 5 | 8.027 | 24.53 | <0.001 | |
| Light × Prov | 5 | 1.242 | 3.80 | 0.004 | |
| Eb | 90 | 0.327 | 0.75 | 0.861 | |
| dJ | Block | 9 | 1.280 | 0.53 | 0.823 |
| Light | 1 | 85.419 | 35.18 | <0.001 | |
| Ea | 9 | 2.428 | 0.73 | 0.883 | |
| Prov | 5 | 5.450 | 8.34 | <0.001 | |
| Light × Prov | 5 | 0.255 | 0.39 | 0.854 | |
| Eb | 90 | 0.653 | 0.73 | 0.884 | |
| hA | Block | 9 | 380.8 | 0.19 | 0.990 |
| Light | 1 | 2287.8 | 1.13 | 0.317 | |
| Ea | 9 | 2033.7 | 0.42 | 0.999 | |
| Prov | 5 | 14,679.8 | 27.30 | <0.001 | |
| Light × Prov | 5 | 4291.1 | 7.98 | <0.001 | |
| Eb | 90 | 537.7 | 0.42 | 0.999 | |
| loghJ | Block | 9 | 0.002 | 0.17 | 0.993 |
| Light | 1 | 0.0003 | 0.03 | 0.879 | |
| Ea | 9 | 0.013 | 0.57 | 0.098 | |
| Prov | 5 | 0.068 | 17.82 | <0.001 | |
| Light × Prov | 5 | 0.015 | 3.88 | 0.003 | |
| Eb | 90 | 0.004 | 0.57 | 0.982 | |
| RGRd | Block | 9 | 0.0001 | 0.47 | 0.861 |
| Light | 1 | 0.037 | 37.16 | <0.001 | |
| Ea | 9 | 0.001 | 0.75 | 0.866 | |
| Prov | 5 | 0.001 | 5.04 | <0.001 | |
| Light × Prov | 5 | 0.0002 | 0.84 | 0.523 | |
| Eb | 90 | 0.0003 | 0.75 | 0.866 | |
| logRGRh | Block | 9 | 0.002 | 0.11 | 0.998 |
| Light | 1 | 0.018 | 1.08 | 0.326 | |
| Ea | 9 | 0.016 | 1.09 | 0.354 | |
| Prov | 5 | 0.025 | 3.97 | 0.003 | |
| Light × Prov | 5 | 0.015 | 2.41 | 0.043 | |
| Eb | 90 | 0.006 | 1.09 | 0.354 |
| Trait | Effect | Df | MS | F | p |
|---|---|---|---|---|---|
| LMA (g m−2) | Block | 4 | 292.9 | 0.672 | 0.645 |
| Year | 1 | 9322.8 | 21.37 | 0.009 | |
| Ea | 4 | 436.2 | |||
| Light | 1 | 12,853.2 | 15.73 | 0.004 | |
| Year × Light | 1 | 1202.4 | 1.471 | 0.260 | |
| Eb | 8 | 817 | |||
| Prov | 5 | 858.5 | 3.00 | 0.016 | |
| Prov × Year | 5 | 167.5 | 0.586 | 0.711 | |
| Prov × Light | 5 | 242.5 | 0.849 | 0.520 | |
| Prov × Y × L | 5 | 156.3 | 0.546 | 0.740 | |
| Ec | 80 | 285.8 | |||
| Chltot (mg g−1) | Block | 4 | 0.97 | 0.414 | 0.793 |
| Year | 1 | 343.9 | 802.2 | <0.001 | |
| Ea | 4 | 2.3 | |||
| Light | 1 | 322.8 | 165.6 | <0.001 | |
| Year × Light | 1 | 0.07 | 0.034 | ||
| Eb | 8 | 1.95 | |||
| Prov | 5 | 9.71 | 3.22 | 0.011 | |
| Prov × Year | 5 | 4.30 | 1.43 | 0.224 | |
| Prov × Light | 5 | 2.99 | 0.99 | 0.428 | |
| Prov × Y × L | 5 | 2.77 | 0.92 | 0.472 | |
| Ec | 80 | 3.01 | |||
| Car (mg g−1) | Block | 4 | 0.052 | 0.704 | 0.628 |
| Year | 1 | 13.96 | 188.83 | <0.001 | |
| Ea | 4 | 0.074 | |||
| Light | 1 | 2.065 | 15.15 | 0.005 | |
| Year × Light | 1 | 0.525 | 3.85 | 0.085 | |
| Eb | 8 | 0.136 | |||
| Prov | 5 | 0.114 | 1.66 | 0.153 | |
| Prov × Year | 5 | 0.069 | 1.01 | 0.420 | |
| Prov × Light | 5 | 0.169 | 2.47 | 0.039 | |
| Prov × Y × L | 5 | 0.213 | 3.10 | 0.013 | |
| Ec | 80 | 0.069 |
| Trait | Effect | Df | MS | F | p |
|---|---|---|---|---|---|
| ΦPPFsat | Block | 4 | 0.001 | 0.856 | 0.558 |
| Light | 1 | 0.010 | 6.363 | 0.065 | |
| Ea | 4 | 0.002 | - | - | |
| Prov | 5 | 0.001 | 0.364 | 0.870 | |
| Light × Prov | 5 | 0.005 | 1.678 | 0.162 | |
| Eb | 40 | 0.003 | - | - | |
| ETRmax | Block | 4 | 618.6 | 1.339 | 0.392 |
| Light | 1 | 12,604.7 | 27.28 | 0.006 | |
| Ea | 4 | 462.1 | - | - | |
| Prov | 5 | 505.0 | 2.703 | 0.034 | |
| Light × Prov | 5 | 57.30 | 0.307 | 0.906 | |
| Eb | 40 | 186.8 | - | - | |
| NPQ345 | Block | 4 | 0.510 | 1.844 | 0.284 |
| Light | 1 | 7.504 | 27.12 | 0.006 | |
| Ea | 4 | 0.277 | - | - | |
| Prov | 5 | 0.081 | 1.220 | 0.318 | |
| Light × Prov | 5 | 0.179 | 2.708 | 0.034 | |
| Eb | 40 | 0.066 |
| Climate Parameter | RGRd | NPQ345 | Chltot (mg g−1) | Chltot (g m−2) | a/b |
|---|---|---|---|---|---|
| Tmmax | - | - | 0.889 * | - | 0.834 * |
| Tmmin | - | 0.874 * | - | - | - |
| TD | - | - | 0.903 * | - | - |
| P | −0.895 * | - | - | −0.878 * | - |
| AHM | 0.840 * | - | - | 0.853 * | - |
| SH | - | - | 0.848 * | - | - |
Publisher’s Note: MDPI stays neutral with regard to jurisdictional claims in published maps and institutional affiliations. |
© 2022 by the authors. Licensee MDPI, Basel, Switzerland. This article is an open access article distributed under the terms and conditions of the Creative Commons Attribution (CC BY) license (https://creativecommons.org/licenses/by/4.0/).
Share and Cite
Robakowski, P.; Łukowski, A.; Ye, Z.-P.; Kryszewski, A.; Kowalkowski, W. Northern Provenances of Silver Fir Differ with Acclimation to Contrasting Light Regimes. Forests 2022, 13, 1164. https://doi.org/10.3390/f13081164
Robakowski P, Łukowski A, Ye Z-P, Kryszewski A, Kowalkowski W. Northern Provenances of Silver Fir Differ with Acclimation to Contrasting Light Regimes. Forests. 2022; 13(8):1164. https://doi.org/10.3390/f13081164
Chicago/Turabian StyleRobakowski, Piotr, Adrian Łukowski, Zi-Piao Ye, Adam Kryszewski, and Wojciech Kowalkowski. 2022. "Northern Provenances of Silver Fir Differ with Acclimation to Contrasting Light Regimes" Forests 13, no. 8: 1164. https://doi.org/10.3390/f13081164
APA StyleRobakowski, P., Łukowski, A., Ye, Z.-P., Kryszewski, A., & Kowalkowski, W. (2022). Northern Provenances of Silver Fir Differ with Acclimation to Contrasting Light Regimes. Forests, 13(8), 1164. https://doi.org/10.3390/f13081164

