Species- and Age-Specific Growth Reactions to Extreme Droughts of the Keystone Tree Species across Forest-Steppe and Sub-Taiga Habitats of South Siberia
Abstract
1. Introduction
2. Materials and Methods
3. Results
3.1. Tree-Ring Width Chronologies and Their Characteristics
3.2. Climatic Response and Pointer Years
3.3. Age Dependencies of Tree Growth Response to Droughts
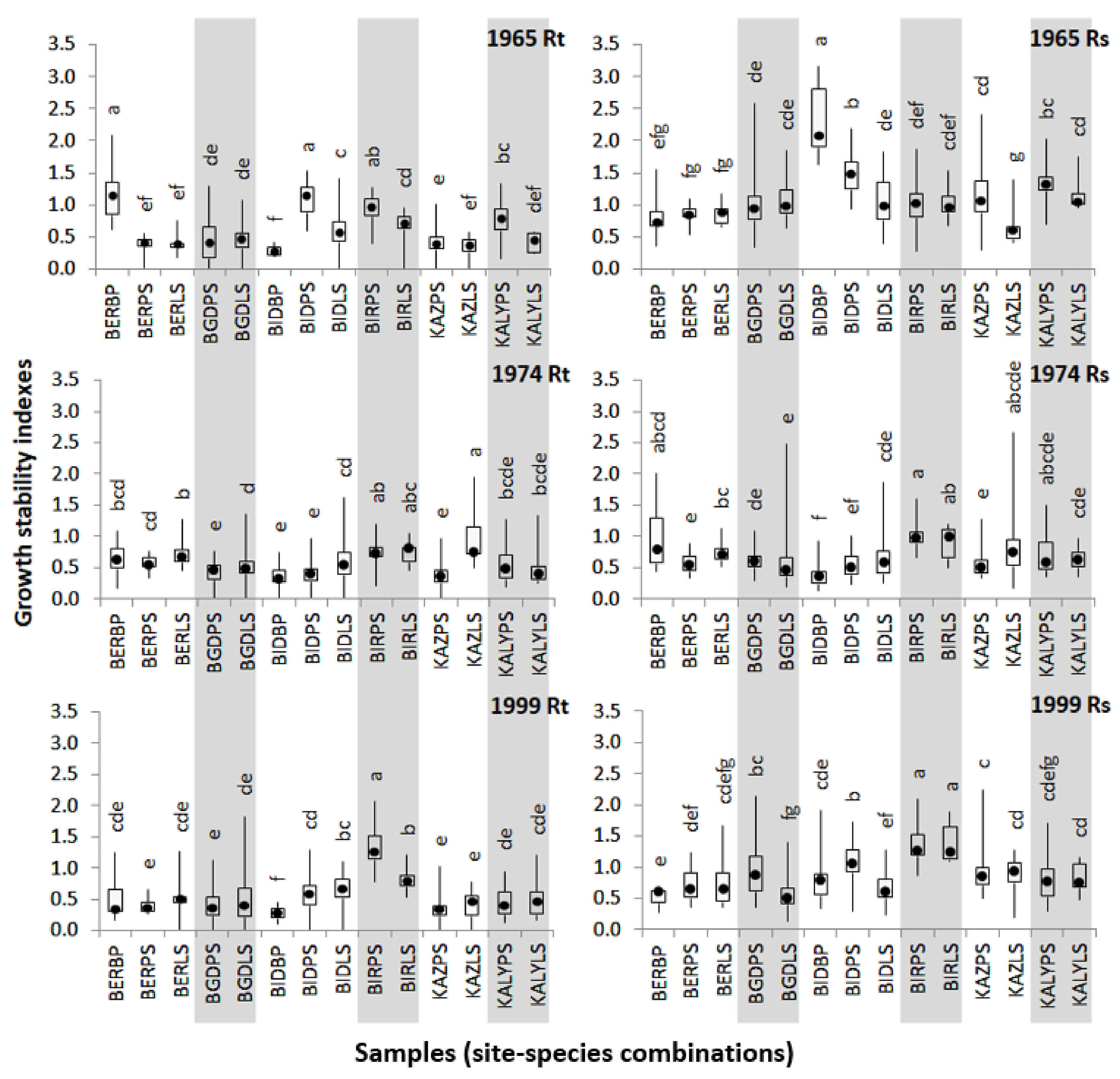
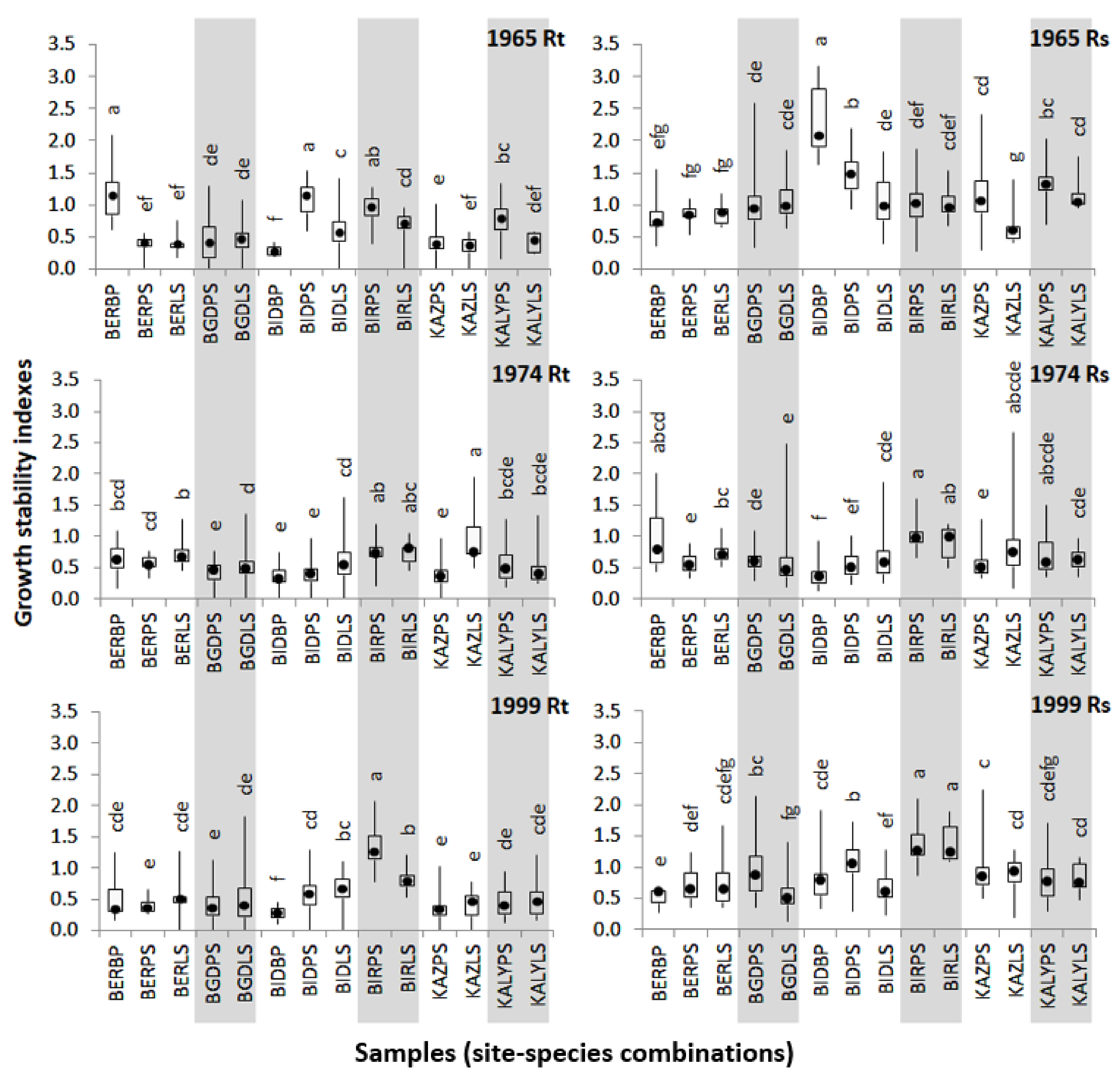
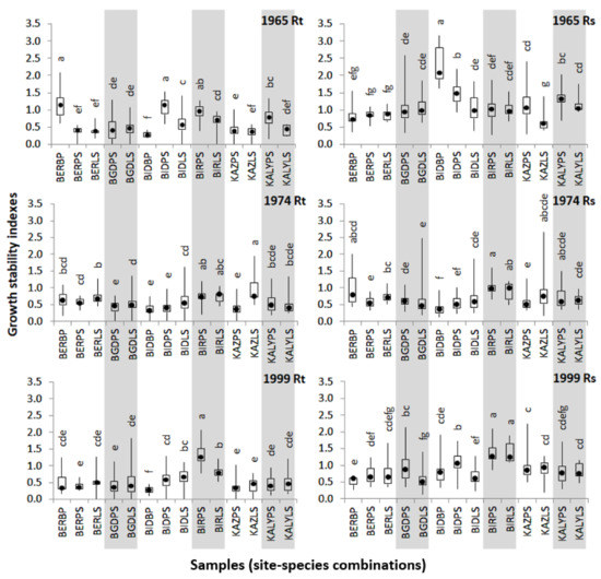
3.4. Inter-Species and Local Differences in Growth Stability
4. Discussion
4.1. Growth–Climate Relationships
4.2. Species-Specific Strategies of Adaptation to Droughts
4.3. Tree Growth Stability Indexes under Drought
5. Conclusions
Supplementary Materials
Author Contributions
Funding
Data Availability Statement
Conflicts of Interest
References
- Intergovernmental Panel on Climate Change. Europe. In Climate Change 2014—Impacts, Adaptation and Vulnerability: Part B: Regional Aspects: Working Group II Contribution to the IPCC Fifth Assessment Report; Cambridge University Press: Cambridge, UK, 2014; pp. 1267–1326. [Google Scholar] [CrossRef]
- Huang, W.; Fonti, P.; Larsen, J.B.; Ræbild, A.; Callesen, I.; Pedersen, N.B.; Hansen, J.K. Projecting tree-growth responses into future climate: A study case from a Danish-wide common garden. Agric. For. Meteorol. 2017, 247, 240–251. [Google Scholar] [CrossRef]
- McDowell, N.G.; Allen, C.D.; Anderson-Teixeira, K.; Aukema, B.H.; Bond-Lamberty, B.; Chini, L.; Clark, J.S.; Dietze, M.; Grossiord, C.; Hanbury-Brown, A.; et al. Pervasive shifts in forest dynamics in a changing world. Science 2020, 368, eaaz9463:1–eaaz9463:10. [Google Scholar] [CrossRef] [PubMed]
- Allen, C.D.; Macalady, A.K.; Chenchouni, H.; Bachelet, D.; McDowell, N.; Vennetier, M.; Kitzberger, T.; Rigling, A.; Breshears, D.D.; Hogg, E.H.; et al. A global overview of drought and heat-induced tree mortality reveals emerging climate change risks for forests. For. Ecol. Manag. 2010, 259, 660–684. [Google Scholar] [CrossRef]
- Anderegg, W.R.; Berry, J.A.; Field, C.B. Linking definitions, mechanisms, and modeling of drought-induced tree death. Trends Plant Sci. 2012, 17, 693–700. [Google Scholar] [CrossRef]
- DeSoto, L.; Cailleret, M.; Sterck, F.; Jansen, S.; Kramer, K.; Robert, E.M.; Aakala, T.; Amoroso, M.M.; Bigler, C.; Camarero, J.J.; et al. Low growth resilience to drought is related to future mortality risk in trees. Nat. Commun. 2020, 11, 1–9. [Google Scholar] [CrossRef]
- Fajardo, A.; Piper, F.I. How to cope with drought and not die trying: Drought acclimation across tree species with contrasting niche breadth. Funct. Ecol. 2021, 35, 1903–1913. [Google Scholar] [CrossRef]
- McDowell, N.; Pockman, W.T.; Allen, C.D.; Breshears, D.D.; Cobb, N.; Kolb, T.; Sperry, J.; West, A.; Williams, D.; Yepez, E.A. Mechanisms of plant survival and mortality during drought: Why do some plants survive while others succumb to drought? N. Phytol. 2008, 178, 719–739. [Google Scholar] [CrossRef]
- Heres, A.M.; Martínez-Vilalta, J.; López, B.C. Growth patterns in relation to drought-induced mortality at two Scots pine (Pinus sylvestris L.) sites in NE Iberian Peninsula. Trees 2012, 26, 621–630. [Google Scholar] [CrossRef]
- Pretzsch, H.; Schütze, G.; Uhl, E. Resistance of European tree species to drought stress in mixed versus pure forests: Evidence of stress release by inter-specific facilitation. Plant Biol. 2013, 15, 483–495. [Google Scholar] [CrossRef]
- Camarero, J.J.; Gazol, A.; Sangüesa-Barreda, G.; Oliva, J.; Vicente-Serrano, S.M. To die or not to die: Early-warning signals of dieback in response to a severe drought. J. Ecol. 2015, 103, 44–57. [Google Scholar] [CrossRef]
- Gazol, A.; Camarero, J.J.; Vicente-Serrano, S.M.; Sánchez-Salguero, R.; Gutiérrez, E.; De Luis, M.; Sangüesa-Barreda, G.; Novak, K.; Rozas, V.; Tíscar, P.A.; et al. Forest resilience to drought varies across biomes. Glob. Chang. Biol. 2018, 24, 2143–2158. [Google Scholar] [CrossRef] [PubMed]
- Lévesque, M.; Rigling, A.; Bugmann, H.; Weber, P.; Brang, P. Growth response of five co-occurring conifers to drought across a wide climatic gradient in Central Europe. Agric. For. Meteorol. 2014, 197, 1–12. [Google Scholar] [CrossRef]
- Camarero, J.J.; Gazol, A.; Sangüesa-Barreda, G.; Cantero, A.; Sánchez-Salguero, R.; Sánchez-Miranda, A.; Granda, E.; Serra-Maluquer, X.; Ibáñez, R. Forest growth responses to drought at short- and long-term scales in Spain: Squeezing the stress memory from tree rings. Front. Ecol. Evol. 2018, 6, 9:1–9:11. [Google Scholar] [CrossRef]
- Cook, E.R. A Time Series Analysis Approach to Tree Ring Standardization. Ph.D. Thesis, University of Arizona, Tucson, AZ, USA, 1985. [Google Scholar]
- Osborn, T.J.; Briffa, K.R.; Jones, P.D. Adjusting variance for sample size in tree-ring chronologies and other regional mean time series. Dendrochronologia 1997, 15, 89–99. [Google Scholar]
- Vaganov, E.A.; Hughes, M.K.; Shashkin, A.V. Growth Dynamics of Conifer Tree Rings: Images of Past and Future Environments; Springer: Berlin/Heidelberg, Germany, 2006. [Google Scholar]
- Martín-Benito, D.; Cherubini, P.; Del Río, M.; Cañellas, I. Growth response to climate and drought in Pinus nigra Arn. trees of different crown classes. Trees 2008, 22, 363–373. [Google Scholar] [CrossRef]
- Linares, J.C.; Camarero, J.J.; Carreira, J.A. Competition modulates the adaptation capacity of forests to climatic stress: Insights from recent growth decline and death in relict stands of the Mediterranean fir Abies pinsapo. J. Ecol. 2010, 98, 592–603. [Google Scholar] [CrossRef]
- Pasho, E.; Camarero, J.J.; De Luis, M.; Vicente-Serrano, S.M. Factors driving growth responses to drought in Mediterranean forests. Eur. J. For. Res. 2012, 131, 1797–1807. [Google Scholar] [CrossRef]
- Weber, P.; Bugmann, H.; Pluess, A.R.; Walthert, L.; Rigling, A. Drought response and changing mean sensitivity of European beech close to the dry distribution limit. Trees 2013, 27, 171–181. [Google Scholar] [CrossRef]
- Galván, J.D.; Camarero, J.J.; Gutiérrez, E. Seeing the trees for the forest: Drivers of individual growth responses to climate in Pinus uncinata mountain forests. J. Ecol. 2014, 102, 1244–1257. [Google Scholar] [CrossRef]
- West, A.G.; Hultine, K.R.; Sperry, J.S.; Bush, S.E.; Ehleringer, J.R. Transpiration and hydraulic strategies in a pinon–juniper woodland. Ecol. Appl. 2008, 18, 911–927. [Google Scholar] [CrossRef]
- Mitchell, P.J.; O’Grady, A.P.; Tissue, D.T.; Worledge, D.; Pinkard, E.A. Co-ordination of growth, gas exchange and hydraulics define the carbon safety margin in tree species with contrasting drought strategies. Tree Physiol. 2014, 34, 443–458. [Google Scholar] [CrossRef]
- Greenwood, S.; Ruiz-Benito, P.; Martínez-Vilalta, J.; Lloret, F.; Kitzberger, T.; Allen, C.D.; Fensham, R.; Laughlin, D.C.; Kattge, J.; Bönisch, G.; et al. Tree mortality across biomes is promoted by drought intensity, lower wood density and higher specific leaf area. Ecol. Lett. 2017, 20, 539–553. [Google Scholar] [CrossRef] [PubMed]
- Zhang, Q.; Shao, M.; Jia, X.; Wei, X. Relationship of climatic and forest factors to drought- and heat-induced tree mortality. PLoS ONE 2017, 12, e0169770:1–e0169770:17. [Google Scholar] [CrossRef] [PubMed]
- Carrer, M.; Urbinati, C. Age-dependent tree ring growth responses to climate of Larix decidua and Pinus cembra in the Italian Alps. Ecology 2004, 85, 730–740. [Google Scholar] [CrossRef]
- Vieira, J.; Campelo, F.; Nabais, C. Age-dependent responses of tree-ring growth and intra-annual density fluctuations of Pinus pinaster to Mediterranean climate. Trees 2009, 23, 257–265. [Google Scholar] [CrossRef]
- Schuster, R.; Oberhuber, W. Age-dependent climate–growth relationships and regeneration of Picea abies in a drought-prone mixed-coniferous forest in the Alps. Can. J. For. Res. 2013, 43, 609–618. [Google Scholar] [CrossRef]
- Navarro-Cerrillo, R.M.; Sánchez-Salguero, R.; Manzanedo, R.D.; Camarero, J.J.; Fernández-Cancio, Á. Site and age condition the growth responses to climate and drought of relict Pinus nigra subsp. salzmannii populations in Southern Spain. Tree-Ring Res. 2014, 70, 145–155. [Google Scholar] [CrossRef][Green Version]
- Jiao, L.; Jiang, Y.; Wang, M.; Zhang, W.; Zhang, Y. Age-effect radial growth responses of Picea schrenkiana to climate change in the eastern Tianshan Mountains, Northwest China. Forests 2017, 8, 294. [Google Scholar] [CrossRef]
- Voelker, S.L. Age-dependent changes in environmental influences on tree growth and their implications for forest responses to climate change. In Size- and Age-Related Changes in Tree Structure and Function; Meinzer, F.C., Lachenbruch, B., Dawson, T.E., Eds.; Springer: Dordrecht, Germany, 2011; pp. 455–479. [Google Scholar]
- Linares, J.C.; Taïqui, L.; Sangüesa-Barreda, G.; Seco, J.I.; Camarero, J.J. Age-related drought sensitivity of Atlas cedar (Cedrus atlantica) in the Moroccan Middle Atlas forests. Dendrochronologia 2013, 31, 88–96. [Google Scholar] [CrossRef]
- Domec, J.C.; Gartner, B.L. Age- and position-related changes in hydraulic versus mechanical dysfunction of xylem: Inferring the design criteria for Douglas-fir wood structure. Tree Physiol. 2002, 22, 91–104. [Google Scholar] [CrossRef]
- Linderholm, H.W.; Linderholm, K. Age-dependent climate sensitivity of Pinus sylvestris L. in the central Scandinavian Mountains. Boreal Environ. Res. 2004, 9, 307–317. [Google Scholar]
- Primicia, I.; Camarero, J.J.; Janda, P.; Čada, V.; Morrissey, R.C.; Trotsiuk, V.; Bače, R.; Teodosiu, M.; Svoboda, M. Age, competition, disturbance and elevation effects on tree and stand growth response of primary Picea abies forest to climate. For. Ecol. Manag. 2015, 354, 77–86. [Google Scholar] [CrossRef]
- Madrigal-González, J.; Zavala, M.A. Competition and tree age modulated last century pine growth responses to high frequency of dry years in a water limited forest ecosystem. Agric. For. Meteorol. 2014, 192, 18–26. [Google Scholar] [CrossRef]
- Sun, J.; Liu, Y. Age-independent climate-growth response of Chinese pine (Pinus tabulaeformis Carrière) in North China. Trees 2015, 29, 397–406. [Google Scholar] [CrossRef]
- Hogg, E.H.; Michaelian, M.; Hook, T.I.; Undershultz, M.E. Recent climatic drying leads to age-independent growth reductions of white spruce stands in western Canada. Glob. Chang. Biol. 2017, 23, 5297–5308. [Google Scholar] [CrossRef]
- Mencuccini, M.; Martinez-Vilalta, J.; Vanderklein, D.; Hamid, H.A.; Korakaki, E.; Lee, S.; Michiels, B. Size-mediated ageing reduces vigour in tall trees. Ecol. Lett. 2005, 8, 1183–1190. [Google Scholar] [CrossRef]
- Rozas, V.; DeSoto, L.; Olano, J.M. Sex-specific, age-dependent sensitivity of tree-ring growth to climate in the dioecious tree Juniperus thurifera. N. Phytol. 2009, 182, 687–697. [Google Scholar] [CrossRef]
- Peng, J.F.; Liu, Y.Z.; Wang, T. A tree-ring record of 1920′s–1940′s droughts and mechanism analyses in Henan Province. Acta Ecol. Sin. 2014, 34, 3509–3518. [Google Scholar] [CrossRef]
- Anderegg, W.R.L.; Schwalm, C.; Biondi, F.; Camarero, J.J.; Koch, G.; Litvak, M.; Ogle, K.; Shaw, J.D.; Shevliakova, E.; Williams, A.P.; et al. Pervasive drought legacies in forest ecosystems and their implications for carbon cycle models. Science 2015, 349, 528–532. [Google Scholar] [CrossRef]
- Peltier, D.M.P.; Fell, M.; Ogle, K. Legacy effects of drought in the southwestern United States: A multi-species synthesis. Ecol. Monogr. 2016, 86, 312–326. [Google Scholar] [CrossRef]
- Gao, S.; Liu, R.; Zhou, T.; Fang, W.; Yi, C.; Lu, R.; Zhao, X.; Luo, H. Dynamic responses of tree-ring growth to multiple dimensions of drought. Glob. Chang. Biol. 2018, 24, 5380–5390. [Google Scholar] [CrossRef] [PubMed]
- Lloret, F.; Keeling, E.G.; Sala, A. Components of tree resilience: Effects of successive low-growth episodes in old ponderosa pine forests. Oikos 2011, 120, 1909–1920. [Google Scholar] [CrossRef]
- Kannenberg, S.A.; Maxwell, J.T.; Pederson, N.; D’Orangeville, L.; Ficklin, D.L.; Phillips, R.P. Drought legacies are dependent on water table depth, wood anatomy and drought timing across the eastern US. Ecol. Lett. 2019, 22, 119–127. [Google Scholar] [CrossRef]
- Yin, J.; Bauerle, T.L. A global analysis of plant recovery performance from water stress. Oikos 2017, 126, 1377–1388. [Google Scholar] [CrossRef]
- Gazol, A.; Camarero, J.J.; Sánchez-Salguero, R.; Vicente-Serrano, S.M.; Serra-Maluquer, X.; Gutiérrez, E.; Gutiérrez, E.; de Luis, M.; Sangüesa-Barreda, G.; Novak, K.; et al. Drought legacies are short, prevail in dry conifer forests and depend on growth variability. J. Ecol. 2020, 108, 2473–2484. [Google Scholar] [CrossRef]
- Soil-Geographical Database of Russian Federation. Available online: https://soil-db.ru/map (accessed on 12 May 2022).
- ArcGIS. Available online: https://www.arcgis.com/home/webmap/viewer.html (accessed on 12 May 2022).
- Alisov, B.P. Climate of the USSR; Moscow State University: Moscow, Russia, 1956. (In Russian) [Google Scholar]
- Begueria, S.; Vicente-Serrano, S.; Reig, F.; Latorre, B. Standardized precipitation evapotranspiration index (SPEI) revisited: Parameter fitting, evapotranspiration models, tools, datasets and drought monitoring. Int. J. Climatol. 2014, 34, 3001–3023. [Google Scholar] [CrossRef]
- European Climate Assessment & Dataset KNMI Climate Explorer Database. Available online: https://climexp.knmi.nl (accessed on 12 May 2022).
- Cook, E.R.; Kairiukstis, L.A. Methods of Dendrochronology: Applications in the Environmental Sciences; Kluwer Academic Publishers: Dordrecht, The Netherlands, 1990. [Google Scholar]
- Rinn, F. TSAP-Win: Time Series Analysis and Presentation for Dendrochronology and Related Applications: User Reference; RINNTECH: Heidelberg, Germany, 2003. [Google Scholar]
- Holmes, R.L. Computer-assisted quality control in tree-ring dating and measurement. Tree-Ring Bull. 1983, 43, 68–78. [Google Scholar]
- Cook, E.R.; Krusic, P.J. Program ARSTAN: A Tree-Ring Standardization Program Based on Detrending and Autoregressive Time Series Modeling, with Interactive Graphics; Lamont-Doherty Earth Observatory, Columbia University: Palisades, NY, USA, 2005. [Google Scholar]
- Fritts, H.C. Tree Rings and Climate; Academic Press: London, UK, 1976. [Google Scholar]
- Schweingruber, F.H.; Eckstein, D.; Serre-Bachet, F.; Braker, O.U. Identification, presentation and interpretation of event years and pointer years in dendrochronology. Dendrochronologia 1990, 8, 9–38. [Google Scholar]
- Biging, G.S.; Wensel, L.C. The effect of eccentricity on the estimation of basal area and basal area increment of coniferous trees. For. Sci. 1988, 34, 621–633. [Google Scholar] [CrossRef]
- Liu, H.; Anenkhonov, O.A.; Korolyuk, A.Y. Pine forests in semi-arid inner Asia: Climatic and anthropogenic threats and management strategies. In Pine Forests: Types, Threats and Management; Frisiras, C.T., Ed.; Nova Science: Hauppauge, NY, USA, 2012; pp. 35–60. [Google Scholar]
- Opała-Owczarek, M.; Niedźwiedź, T. Last 1100 yr of precipitation variability in western central Asia as revealed by tree-ring data from the Pamir-Alay. Quat. Res. 2019, 91, 81–95. [Google Scholar] [CrossRef]
- Mei, L.; Xiong, Y.; Gu, J.; Wang, Z.; Guo, D. Whole-tree dynamics of non-structural carbohydrate and nitrogen pools across different seasons and in response to girdling in two temperate trees. Oecologia 2015, 177, 333–344. [Google Scholar] [CrossRef] [PubMed]
- Hartmann, H.; Trumbore, S. Understanding the roles of nonstructural carbohydrates in forest trees–from what we can measure to what we want to know. N. Phytol. 2016, 211, 386–403. [Google Scholar] [CrossRef] [PubMed]
- Demina, A.V.; Belokopytova, L.V.; Zhirnova, D.F.; Mehrotra, N.; Shah, S.K.; Babushkina, E.A.; Vaganov, E.A. Degree of connectivity in reconstructed precipitation dynamics and extremes for semiarid regions across South Siberia. Dendrochronologia 2022, 71, 125903:1–125903:12. [Google Scholar] [CrossRef]
- Chytrý, M.; Danihelka, J.; Kubešová, S.; Lustyk, P.; Ermakov, N.; Hájek, M.; Hájková, P.; Kočí, M.; Otýpková, Z.; Roleček, J.; et al. Diversity of forest vegetation across a strong gradient of climatic continentality: Western Sayan Mountains, southern Siberia. Plant Ecol. 2008, 196, 61–83. [Google Scholar] [CrossRef]
- He, W.; Liu, H.; Qi, Y.; Liu, F.; Zhu, X. Patterns in nonstructural carbohydrate contents at the tree organ level in response to drought duration. Glob. Chang. Biol. 2020, 26, 3627–3638. [Google Scholar] [CrossRef] [PubMed]
- Helluy, M.; Prévosto, B.; Cailleret, M.; Fernandez, C.; Balandier, P. Competition and water stress indices as predictors of Pinus halepensis Mill. radial growth under drought. For. Ecol. Manag. 2020, 460, 117877:1–117877:12. [Google Scholar] [CrossRef]
- Wu, J.; Guan, D.; Yuan, F.; Wang, A.; Jin, C. Soil temperature triggers the onset of photosynthesis in Korean pine. PLoS ONE 2013, 8, e65401:1–e65401:7. [Google Scholar] [CrossRef]
- Parazoo, N.C.; Arneth, A.; Pugh, T.A.; Smith, B.; Steiner, N.; Luus, K.; Commane, R.; Benmergui, J.; Stofferahn, E.; Liu, J.; et al. Spring photosynthetic onset and net CO2 uptake in Alaska triggered by landscape thawing. Glob. Chang. Biol. 2018, 24, 3416–3435. [Google Scholar] [CrossRef]
- Yang, Q.; Blanco, N.E.; Hermida-Carrera, C.; Lehotai, N.; Hurry, V.; Strand, Å. Two dominant boreal conifers use contrasting mechanisms to reactivate photosynthesis in the spring. Nat. Commun. 2020, 11, 128:1–128:12. [Google Scholar] [CrossRef]
- Urban, J.; Rubtsov, A.V.; Urban, A.V.; Shashkin, A.V.; Benkova, V.E. Canopy transpiration of a Larix sibirica and Pinus sylvestris forest in Central Siberia. Agric. For. Meteorol. 2019, 271, 64–72. [Google Scholar] [CrossRef]
- Tierney, G.L.; Fahey, T.J.; Groffman, P.M.; Hardy, J.P.; Fitzhugh, R.D.; Driscoll, C.T. Soil freezing alters fine root dynamics in a northern hardwood forest. Biogeochemistry 2001, 56, 175–190. [Google Scholar] [CrossRef]
- Weih, M.; Karlsson, P.S. Low winter temperature affects summertime nutrient uptake capacity and growth rate of mountain birch seedlings in the subarctic, Swedish Lapland. Arct. Antarct. Alp. Res. 2002, 34, 434–439. [Google Scholar] [CrossRef]
- Repo, T.; Domisch, T.; Kilpeläinen, J.; Mäkinen, H. Soil frost affects stem diameter growth of Norway spruce with delay. Trees 2021, 35, 761–767. [Google Scholar] [CrossRef]
- Quero, J.L.; Sterck, F.J.; Martinez-Vilalta, J.; Villar, R. Water-use strategies of six co-existing Mediterranean woody species during a summer drought. Oecologia 2011, 166, 45–57. [Google Scholar] [CrossRef] [PubMed]
- Trifilò, P.; Barbera, P.M.; Raimondo, F.; Nardini, A.; Lo Gullo, M.A. Coping with drought-induced xylem cavitation: Coordination of embolism repair and ionic effects in three Mediterranean evergreens. Tree Physiol. 2014, 34, 109–122. [Google Scholar] [CrossRef]
- Forner, A.; Valladares, F.; Aranda, I. Mediterranean trees coping with severe drought: Avoidance might not be safe. Environ. Exp. Bot. 2018, 155, 529–540. [Google Scholar] [CrossRef]
- Franks, P.J.; Drake, P.L.; Froend, R.H. Anisohydric but isohydrodynamic: Seasonally constant plant water potential gradient explained by a stomatal control mechanism incorporating variable plant hydraulic conductance. Plant Cell Environ. 2007, 30, 19–30. [Google Scholar] [CrossRef]
- Larcher, W. Physiological Plant Ecology [Transl. by M.A. Bierdman-Thorson]; Springer-Verlag: Berlin, Heidelberg, 1975. [Google Scholar]
- Anfodillo, T.; Rento, S.; Carraro, V.; Furlanetto, L.; Urbinati, C.; Carrer, M. Tree water relations and climatic variations at the alpine timberline: Seasonal changes of sap flux and xylem water potential in Larix decidua Miller, Picea abies (L.) Karst. and Pinus cembra L. Ann. For. Sci. 1998, 55, 159–172. [Google Scholar] [CrossRef]
- Mao, Z.; Jiang, H.; Wang, Y.; Zu, Y.; Voronin, P.Y. Water balance of birch and larch leaves and their resistance to short and progressive soil drought. Russ. J. Plant Physiol. 2004, 51, 697–701. [Google Scholar] [CrossRef]
- Ning, Q.R.; Gong, X.W.; Li, M.Y.; Hao, G.Y. Differences in growth pattern and response to climate warming between Larix olgensis and Pinus koraiensis in Northeast China are related to their distinctions in xylem hydraulics. Agric. For. Meteorol. 2022, 312, 108724:1–108724:11. [Google Scholar] [CrossRef]
- Zhang, Y.; Xu, J.; Jiang, Y.; Mandra, T.; Rademacher, T.T.; Xue, F.; Dong, M.; Pederson, N. Higher plasticity of water uptake in spruce than larch in an alpine habitat of North-Central China. Agric. For. Meteorol. 2021, 311, 108696:1–108696:15. [Google Scholar] [CrossRef]
- Bishop, K.; Dambrine, E. Localization of tree water uptake in Scots pine and Norway spruce with hydrological tracers. Can. J. For. Res. 1995, 25, 286–297. [Google Scholar] [CrossRef]
- Bello, J.; Hasselquist, N.J.; Vallet, P.; Kahmen, A.; Perot, T.; Korboulewsky, N. Complementary water uptake depth of Quercus petraea and Pinus sylvestris in mixed stands during an extreme drought. Plant Soil 2019, 437, 93–115. [Google Scholar] [CrossRef]
- Hunziker, M.; Sigurdsson, B.D.; Halldorsson, G.; Schwanghart, W.; Kuhn, N. Biomass allometries and coarse root biomass distribution of mountain birch in southern Iceland. Icel. Agric. Sci. 2014, 27, 111–125. [Google Scholar]
- Dubois, H.; Verkasalo, E.; Claessens, H. Potential of birch (Betula pendula Roth and B. pubescens Ehrh.) for forestry and forest-based industry sector within the changing climatic and socio-economic context of Western Europe. Forests 2020, 11, 336. [Google Scholar] [CrossRef]
- Gartner, K.; Nadezhdina, N.; Englisch, M.; Čermak, J.; Leitgeb, E. Sap flow of birch and Norway spruce during the European heat and drought in summer 2003. For. Ecol. Manag. 2009, 258, 590–599. [Google Scholar] [CrossRef]
- Altinalmazis-Kondylis, A.; Muessig, K.; Meredieu, C.; Jactel, H.; Augusto, L.; Fanin, N.; Bakker, M.R. Effect of tree mixtures and water availability on belowground complementarity of fine roots of birch and pine planted on sandy podzol. Plant Soil 2020, 457, 437–455. [Google Scholar] [CrossRef]
- Chenlemuge, T.; Schuldt, B.; Dulamsuren, C.; Hertel, D.; Leuschner, C.; Hauck, M. Stem increment and hydraulic architecture of a boreal conifer (Larix sibirica) under contrasting macroclimates. Trees 2015, 29, 623–636. [Google Scholar] [CrossRef]
- Khansaritoreh, E.; Schuldt, B.; Dulamsuren, C. Hydraulic traits and tree-ring width in Larix sibirica Ledeb. as affected by summer drought and forest fragmentation in the Mongolian forest steppe. Ann. For. Sci. 2018, 75, 30:1–30:12. [Google Scholar] [CrossRef]
- Dulamsuren, C.; Abilova, S.B.; Bektayeva, M.; Eldarov, M.; Schuldt, B.; Leuschner, C.; Hauck, M. Hydraulic architecture and vulnerability to drought-induced embolism in southern boreal tree species of Inner Asia. Tree Physiol. 2019, 39, 463–473. [Google Scholar] [CrossRef]
- Li, W.; Jiang, Y.; Dong, M.; Du, E.; Wu, F.; Zhao, S.; Xu, H. Species-specific growth-climate responses of Dahurian larch (Larix gmelinii) and Mongolian pine (Pinus sylvestris var. mongolica) in the Greater Khingan Range, northeast China. Dendrochronologia 2021, 65, 125803:1–125803:10. [Google Scholar] [CrossRef]
- Schwarz, J.; Skiadaresis, G.; Kohler, M.; Kunz, J.; Schnabel, F.; Vitali, V.; Bauhus, J. Quantifying growth responses of trees to drought ˗ A critique of commonly used resilience indices and recommendations for future studies. Curr. For. Rep. 2020, 6, 185–200. [Google Scholar] [CrossRef]
- De Luis, M.; Novak, K.; Čufar, K.; Raventós, J. Size mediated climate–growth relationships in Pinus halepensis and Pinus pinea. Trees 2009, 23, 1065–1073. [Google Scholar] [CrossRef]
- Trouillier, M.; Van der Maaten-Theunissen, M.; Scharnweber, T.; Würth, D.; Burger, A.; Schnittler, M.; Wilmking, M. Size matters—A comparison of three methods to assess age-and size-dependent climate sensitivity of trees. Trees 2019, 33, 183–192. [Google Scholar] [CrossRef]
- Ryan, M.G.; Yoder, B.J. Hydraulic limits to tree height and tree growth. Bioscience 1997, 47, 235–242. [Google Scholar] [CrossRef]
- Hunt, E.R.; Lavigne, M.B.; Franklin, S.E. Factors controlling the decline of net primary production with stand age for balsam fir in Newfoundland assessed using an ecosystem simulation model. Ecol. Model. 1999, 122, 151–164. [Google Scholar] [CrossRef]
- Forrester, D.I. Linking forest growth with stand structure: Tree size inequality, tree growth or resource partitioning and the asymmetry of competition. For. Ecol. Manag. 2019, 447, 139–157. [Google Scholar] [CrossRef]
- Gninenko, Y.I. “Forgotten” needle- and leaf-eating pests of the forest. In Proceedings of the Readings in Memory of Andrei Ignatievich Ilyinsky; All-Russian Research Institute of Silviculture and Mechanization of Forestry: Pushkino, Russia, 2018; pp. 5–24. (In Russian) [Google Scholar]
- Lyamtsev, N.I. Assessment and forecast of Siberian moth mass propagation risks in the Krasnoyarsk Krai forests. Izv. St.-Peterbg. Lesoteh. Akad. 2019, 228, 294–311. (In Russian) [Google Scholar] [CrossRef]
- State Forest Committee of the Republic of Khakassia (Abakan, Russia). Unpublished archive data, 2013.
- Yanovsky, V.M. Biogeocenotic role of insects in forest-steppe larch forests of Southern Siberia. Lesoved 2004, 3, 68–70. (In Russian) [Google Scholar]
- Carnwath, G.; Nelson, C. Effects of biotic and abiotic factors on resistance versus resilience of Douglas fir to drought. PLoS ONE 2017, 12, e0185604:1–e0185604:19. [Google Scholar] [CrossRef]




| Sampling Site | Coordinates | Sampled Species 1 | |||||
|---|---|---|---|---|---|---|---|
| Name | Code | Latitude | Longitude | h, m a.s.l. | BP | PS | LS |
| Berenzhak | BER | 54°20′ N | 89°44′ E | 720–750 | + | + | + |
| Bograd | BGD | 54°12′ N | 90°50′ E | 500–600 | + | + | |
| Bidzha | BID | 54°00′ N | 91°01′ E | 650–700 | + | + | + |
| Birikchul | BIR | 53°20′ N | 89°54′ E | 600–700 | + | + | |
| Kazanovka | KAZ | 53°13′ N | 90°05′ E | 550–650 | + | + | |
| Kaly | KALY | 53°03′ N | 91°17′ E | 500–550 | + | + | |
| Species 1 | Sample | Sample Statistics | Residual TRW Chronology | |||||
|---|---|---|---|---|---|---|---|---|
| Number of Trees/Cores | Cover Period, Years | Length, Years | Mean TRW, mm | SD | sens | r-bar | ||
| BP | BERBP * | 11/11 | 1864–2008 | 145 | 0.93 | 0.36 | 0.42 | 0.33 |
| BIDBP | 15/15 | 1955–2017 | 63 | 1.80 | 0.44 | 0.44 | 0.44 | |
| PS | BERPS * | 14/14 | 1752–2008 | 257 | 0.97 | 0.25 | 0.30 | 0.52 |
| BGDPS | 73/112 | 1847–2018 | 172 | 0.98 | 0.26 | 0.31 | 0.40 | |
| BIDPS | 30/33 | 1849–2018 | 170 | 1.49 | 0.28 | 0.35 | 0.49 | |
| BIRPS * | 21/21 | 1897–2014 | 118 | 2.44 | 0.24 | 0.29 | 0.42 | |
| KAZPS | 47/67 | 1767–2013 | 247 | 1.28 | 0.31 | 0.39 | 0.53 | |
| KALYPS * | 13/13 | 1947–2012 | 66 | 2.96 | 0.20 | 0.22 | 0.33 | |
| LS | BERLS * | 14/14 | 1737–2008 | 272 | 0.72 | 0.28 | 0.32 | 0.50 |
| BGDLS | 60/73 | 1768–2019 | 252 | 0.69 | 0.30 | 0.37 | 0.43 | |
| BIDLS | 71/83 | 1704–2019 | 316 | 0.73 | 0.29 | 0.35 | 0.44 | |
| BIRLS * | 8/13 | 1791–2013 | 223 | 1.27 | 0.24 | 0.30 | 0.26 | |
| KAZLS | 20/20 | 1835–2013 | 179 | 1.38 | 0.46 | 0.52 | 0.47 | |
| KALYLS * | 13/13 | 1946–2012 | 67 | 2.49 | 0.31 | 0.38 | 0.51 | |
| Correl. with | Stability | BP * | PS | LS | |||||||||||||
|---|---|---|---|---|---|---|---|---|---|---|---|---|---|---|---|---|---|
| Index | Based on | Year | BERBP | BIDBP | BERPS | BGDPS | BIDPS | BIRPS | KAZPS | KALYPS | BERLS | BGDLS | BIDLS | BIRLS | KAZLS | KALYLS | |
| tree cambial age | resistance (Rt) | TRW | 1965 | 0.40 | 0.54 | 0.17 | 0.08 | −0.44 † | −0.12 | −0.06 | −0.10 | 0.00 | 0.34 † | 0.05 | 0.25 | 0.49 | 0.66 |
| 1974 | 0.08 | −0.13 | 0.26 | −0.09 | −0.15 | −0.15 | −0.07 | 0.11 | 0.24 | −0.09 | 0.25 | 0.08 | 0.11 | −0.23 | |||
| 1999 | 0.28 | −0.26 | 0.13 | 0.01 | −0.34 | −0.07 | −0.04 | −0.12 | 0.50 | 0.20 | 0.16 | 0.42 | −0.02 | −0.20 | |||
| BAI | 1965 | 0.24 | 0.21 | 0.14 | 0.05 | −0.60 † | −0.43 | −0.11 | −0.27 | −0.01 | 0.30 † | −0.18 | 0.20 | 0.28 | 0.51 | ||
| 1974 | 0.03 | −0.41 | 0.24 | −0.24 † | −0.23 | −0.46 † | −0.22 | 0.06 | 0.22 | −0.12 | 0.11 | −0.03 | −0.08 | −0.40 | |||
| 1999 | 0.28 | −0.30 | 0.22 | 0.00 | −0.40 † | 0.05 | −0.06 | −0.14 | 0.50 | 0.19 | 0.09 | 0.40 | −0.06 | −0.20 | |||
| resilience (Rc) | TRW | 1965 | 0.43 | 0.88 † | 0.39 | −0.13 | −0.04 | 0.35 | −0.02 | 0.37 | −0.26 | −0.13 | −0.35 † | −0.15 | 0.38 | −0.03 | |
| 1974 | 0.10 | −0.11 | −0.02 | 0.17 | −0.20 | −0.18 | 0.13 | 0.14 | 0.78 † | 0.03 | 0.19 | 0.33 | −0.12 | 0.07 | |||
| 1999 | −0.25 | −0.30 | 0.49 | −0.11 | −0.14 | 0.05 | −0.01 | −0.03 | 0.48 | −0.01 | 0.35 † | 0.43 | 0.22 | 0.10 | |||
| BAI | 1965 | 0.18 | 0.55 | 0.35 | −0.26 † | −0.45 † | −0.27 | −0.13 | −0.16 | −0.31 | −0.28 † | −0.43 † | −0.29 | 0.08 | −0.41 | ||
| 1974 | 0.05 | −0.40 | −0.04 | −0.19 | −0.40 † | −0.53 † | −0.18 | 0.08 | 0.76 † | −0.02 | −0.04 | 0.18 | −0.26 | −0.47 | |||
| 1999 | −0.28 | −0.34 | 0.48 | −0.13 | −0.29 | 0.03 | −0.08 | −0.07 | 0.48 | −0.03 | 0.26 † | 0.35 | 0.07 | 0.09 | |||
| tree diameter | resistance (Rt) | TRW | 1965 | 0.00 | 0.45 | −0.14 | 0.11 | −0.34 | 0.01 | −0.06 | −0.23 | −0.40 | 0.35 | 0.01 | 0.41 | 0.45 | 0.71 |
| 1974 | 0.14 | −0.17 | 0.20 | −0.09 | −0.18 | −0.12 | 0.18 | 0.37 | 0.09 | −0.04 | 0.33 † | −0.22 | −0.05 | −0.01 | |||
| 1999 | 0.22 | 0.07 | −0.53 † | −0.08 | −0.49 † | −0.39 | 0.07 | 0.03 | 0.49 | 0.02 | 0.10 | 0.43 | 0.00 | 0.31 | |||
| BAI | 1965 | −0.16 | 0.25 | −0.15 | 0.08 | −0.54 † | −0.45 † | −0.10 | −0.37 | −0.41 | 0.31 † | −0.20 | 0.36 | 0.23 | 0.59 | ||
| 1974 | 0.11 | −0.45 | 0.19 | −0.25 † | −0.25 | −0.26 | −0.03 | 0.31 | 0.09 | −0.07 | 0.21 | −0.37 | −0.25 | −0.24 | |||
| 1999 | 0.21 | 0.04 | −0.54 † | −0.09 | −0.54 † | 0.03 | 0.06 | 0.02 | 0.48 | 0.02 | 0.04 | 0.41 | −0.04 | 0.31 | |||
| resilience (Rc) | TRW | 1965 | 0.19 | 0.51 | −0.10 | 0.14 | −0.07 | 0.38 | −0.10 | 0.33 | −0.24 | −0.06 | −0.14 | 0.17 | 0.35 | −0.53 | |
| 1974 | −0.17 | −0.01 | 0.25 | −0.15 | −0.43 | −0.19 | −0.02 | 0.49 | 0.17 | −0.03 | 0.11 | 0.01 | −0.32 | −0.11 | |||
| 1999 | 0.14 | −0.23 | −0.04 | 0.06 | −0.11 | −0.10 | −0.07 | −0.08 | −0.33 | −0.22 | 0.31 † | 0.10 | 0.20 | 0.41 | |||
| BAI | 1965 | −0.04 | 0.31 | −0.13 | 0.01 | −0.50 † | −0.22 | −0.19 | −0.11 | −0.27 | −0.21 | −0.35 † | −0.02 | 0.05 | −0.78 † | ||
| 1974 | −0.21 | −0.30 | 0.24 | −0.38 † | −0.59 † | −0.47 † | −0.24 | 0.44 | 0.16 | −0.07 | −0.07 | −0.20 | −0.44 | −0.63 † | |||
| 1999 | 0.08 | −0.26 | −0.05 | 0.06 | −0.27 | −0.05 | −0.13 | −0.10 | −0.34 | −0.23 | 0.23 | 0.04 | 0.07 | 0.44 | |||
| tree basal area | resistance (Rt) | TRW | 1965 | −0.11 | 0.50 | −0.10 | 0.06 | −0.28 | −0.02 | −0.07 | −0.18 | −0.32 | 0.35 † | 0.08 | 0.31 | 0.50 | 0.69 |
| 1974 | 0.13 | −0.07 | 0.22 | −0.06 | −0.19 | −0.18 | 0.26 | 0.38 | 0.07 | −0.02 | 0.24 | −0.29 | 0.02 | 0.04 | |||
| 1999 | 0.16 | 0.08 | −0.48 | −0.05 | −0.49 † | −0.32 | 0.07 | 0.05 | 0.47 | −0.03 | 0.07 | 0.41 | 0.07 | 0.34 | |||
| BAI | 1965 | −0.24 | 0.29 | −0.11 | 0.04 | −0.44 † | −0.43 | −0.10 | −0.31 | −0.33 | 0.32 † | −0.03 | 0.26 | 0.30 | 0.56 | ||
| 1974 | 0.11 | −0.33 | 0.21 | −0.17 | −0.25 | −0.32 | 0.08 | 0.33 | 0.06 | −0.04 | 0.17 | −0.43 | −0.15 | −0.17 | |||
| 1999 | 0.15 | 0.05 | −0.49 | −0.05 | −0.54 † | 0.11 | 0.05 | 0.05 | 0.46 | −0.03 | 0.03 | 0.40 | 0.03 | 0.35 | |||
| resilience (Rc) | TRW | 1965 | 0.09 | 0.53 | −0.15 | 0.10 | −0.05 | 0.30 | −0.11 | 0.42 | −0.25 | −0.06 | −0.03 | 0.37 | 0.36 | −0.43 | |
| 1974 | −0.28 | −0.01 | 0.27 | −0.16 | −0.42 | −0.21 | 0.02 | 0.49 | 0.09 | −0.01 | 0.09 | −0.04 | −0.21 | −0.16 | |||
| 1999 | 0.17 | −0.23 | 0.00 | 0.07 | −0.09 | −0.07 | 0.00 | −0.06 | −0.30 | −0.24 | 0.26 † | 0.12 | 0.25 | 0.46 | |||
| BAI | 1965 | −0.09 | 0.34 | −0.17 | 0.00 | −0.39 † | −0.24 | −0.18 | −0.03 | −0.28 | −0.18 | −0.14 | 0.18 | 0.10 | −0.70 | ||
| 1974 | −0.31 | −0.27 | 0.26 | −0.30 † | −0.53 † | −0.51 | −0.14 | 0.43 | 0.08 | −0.04 | −0.02 | −0.22 | −0.32 | −0.63 † | |||
| 1999 | 0.12 | −0.26 | 0.00 | 0.07 | −0.24 | −0.02 | −0.05 | −0.07 | −0.30 | −0.25 | 0.21 | 0.07 | 0.12 | 0.48 | |||
Publisher’s Note: MDPI stays neutral with regard to jurisdictional claims in published maps and institutional affiliations. |
© 2022 by the authors. Licensee MDPI, Basel, Switzerland. This article is an open access article distributed under the terms and conditions of the Creative Commons Attribution (CC BY) license (https://creativecommons.org/licenses/by/4.0/).
Share and Cite
Belokopytova, L.V.; Zhirnova, D.F.; Krutovsky, K.V.; Mapitov, N.B.; Vaganov, E.A.; Babushkina, E.A. Species- and Age-Specific Growth Reactions to Extreme Droughts of the Keystone Tree Species across Forest-Steppe and Sub-Taiga Habitats of South Siberia. Forests 2022, 13, 1027. https://doi.org/10.3390/f13071027
Belokopytova LV, Zhirnova DF, Krutovsky KV, Mapitov NB, Vaganov EA, Babushkina EA. Species- and Age-Specific Growth Reactions to Extreme Droughts of the Keystone Tree Species across Forest-Steppe and Sub-Taiga Habitats of South Siberia. Forests. 2022; 13(7):1027. https://doi.org/10.3390/f13071027
Chicago/Turabian StyleBelokopytova, Liliana V., Dina F. Zhirnova, Konstantin V. Krutovsky, Nariman B. Mapitov, Eugene A. Vaganov, and Elena A. Babushkina. 2022. "Species- and Age-Specific Growth Reactions to Extreme Droughts of the Keystone Tree Species across Forest-Steppe and Sub-Taiga Habitats of South Siberia" Forests 13, no. 7: 1027. https://doi.org/10.3390/f13071027
APA StyleBelokopytova, L. V., Zhirnova, D. F., Krutovsky, K. V., Mapitov, N. B., Vaganov, E. A., & Babushkina, E. A. (2022). Species- and Age-Specific Growth Reactions to Extreme Droughts of the Keystone Tree Species across Forest-Steppe and Sub-Taiga Habitats of South Siberia. Forests, 13(7), 1027. https://doi.org/10.3390/f13071027

