Responses of Microstructure, Ultrastructure and Antioxidant Enzyme Activity to PEG-Induced Drought Stress in Cyclocarya paliurus Seedlings
Abstract
1. Introduction
2. Materials and Methods
2.1. Plant Materials and Experimental Design
2.2. Assessment of Leaf Anatomical Structure
2.3. Transmission Electron Microscope (TEM) Observation of Chloroplast Ultrastructure
2.4. Scanning Electron Microscope (SEM) Observation of Stomatal Characteristics
2.5. Determination of Antioxidant Enzyme Activity
2.6. Statistical Analysis
3. Results
3.1. Leaf Characteristics
3.2. Stomata Feature
3.3. Chloroplast Ultrastructure
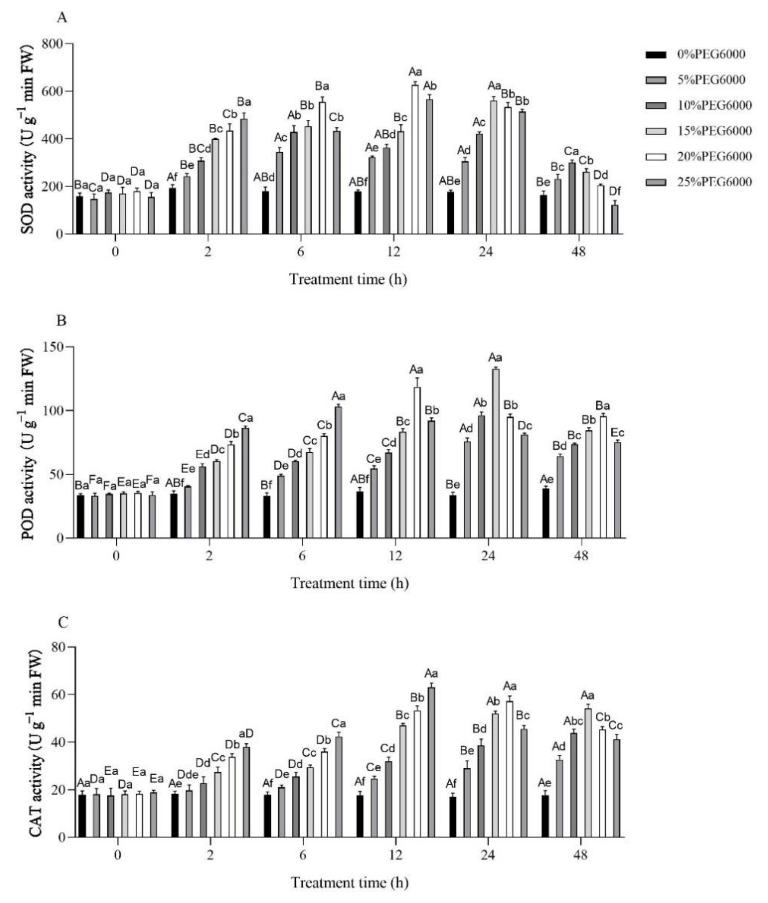
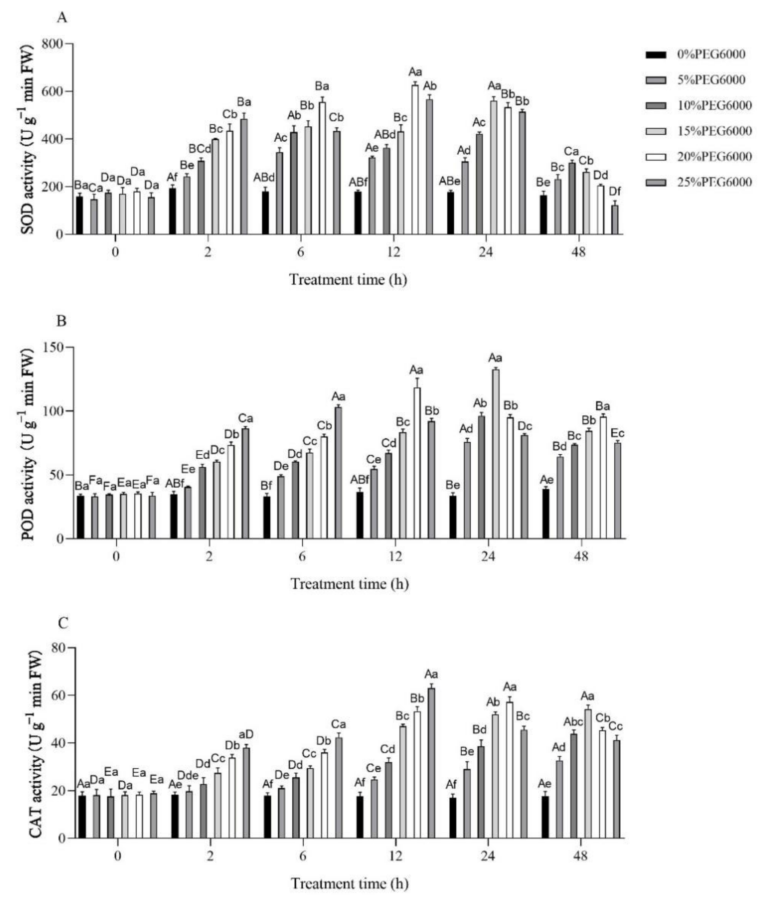
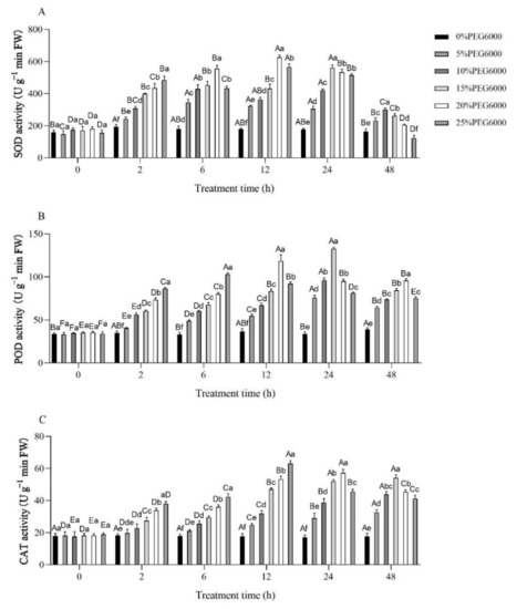
3.4. Antioxidant Enzyme Activity
4. Discussion
4.1. Relationships between Leaf Morphological Indexes and Antioxidant Enzyme Activities
4.2. Dynamics in Antioxidant Enzyme Activity with Experiencing Drought Periods
4.3. Preliminary Assessment on Drought-Resistance of C. paliurus Seedlings
5. Conclusions
Supplementary Materials
Author Contributions
Funding
Institutional Review Board Statement
Informed Consent Statement
Data Availability Statement
Acknowledgments
Conflicts of Interest
References
- Zhu, J.K. Abiotic stress signaling and responses in plants. Cell 2016, 167, 313–324. [Google Scholar] [CrossRef] [PubMed]
- Polania, J.A.; Poschenrieder, C.; Beebe, S.; Rao, I.M. Effective use of water and increased dry matter partitioned to grain contribute to yield of common bean improved for drought resistance. Front. Plant. Sci. 2016, 7, 660. [Google Scholar] [CrossRef] [PubMed]
- Trenberth, K.E.; Dai, A.; van der Schrier, G.; Jones, P.D.; Barichivich, J.; Briffa, K.R.; Sheffield, J. Global warming and changes in drought. Nat. Clim. Change 2014, 4, 17–22. [Google Scholar] [CrossRef]
- Dana, C.; Reinat, N.; Elinor, A.S.; Assaf, G.; Vladimir, K.; Eyal, S.; Jill-M, F.; Helmut, K.; Ziv, R. Chloroplast breakdown during dehydration of a homoiochlorophyllous resurrection plant proceeds via senescence-like processes. Environ. Exp. Bot. 2019, 157, 100–111. [Google Scholar] [CrossRef]
- Pausas, J.G. Changes in fire and climate in the Eastern Iberian Peninsula (Mediterranean Basin). Clim. Change 2004, 63, 337–350. [Google Scholar] [CrossRef]
- Hicke, J.A.; Zeppel, M.J.B. Climate-driven tree mortality: Insights from the piñon pine die-off in the United States. New Phytol. 2013, 200, 301–303. [Google Scholar] [CrossRef]
- Bhusal, N.; Lee, M.; Han, A.R.; Han, A.; Kim, H.S. Responses to drought stress in Prunus sargentii and Larix kaempferi seed-lings using morphological and physiological parameters. Forest. Ecol. Manag. 2020, 465, 118099. [Google Scholar] [CrossRef]
- Basu, S.; Ramegowda, V.; Kumar, A.; Pereira, A. Plant adaptation to drought stress. F1000Research 2016, 5, 1554. [Google Scholar] [CrossRef]
- Lourkisti, R.; Oustric, J.; Quilichini, Y.; Froelicher, Y.; Herbette, S.; Morillon, R.; Berti, L.; Santini, J. Improved response of triploid citrus varieties to water deficit is related to anatomical and cytological properties. Plant Physiol. Biochem. 2021, 162, 762–775. [Google Scholar] [CrossRef]
- Iqbal, N.; Hussain, S.; Raza, M.A.; Yang, C.Q.; Safdar, M.E.; Brestic, M.; Aziz, A.; Hayyat, M.S.; Asghar, M.A.; Wang, X.C.; et al. Drought tolerance of soybean (Glycine max L. Merr.) by improved photosynthetic characteristics and an efficient antioxidant enzyme activities under a split-root system. Front. Physiol. 2019, 10, 1–13. [Google Scholar] [CrossRef]
- Nxele, X.; Klein, A.; Ndimba, B.K. Drought and salinity stress alters ROS accumulation, water retention, and osmolyte content in sorghum plants. S. Afr. J. Bot. 2017, 108, 261–266. [Google Scholar] [CrossRef]
- Sohag, A.A.M.; Tahjib-Ul-Arif, M.; Brestic, M.; Afrin, S.; Sakil, M.A.; Hossain, M.T.; Hossain, M.A.; Hossain, M.A. Exogenous salicylic acid and hydrogen peroxide attenuates drought stress in rice. Plant. Soil. Environ. 2020, 66, 7–13. [Google Scholar] [CrossRef]
- Mansfield, T.A.; Hetherington, A.M.; Atkinson, C.J. Some current aspects of stomatal physiology. Annu. Rev. Plant Biol. 1990, 41, 55–75. [Google Scholar] [CrossRef]
- Pandey, K.; Kumar, R.S.; Prasad, P.; Pande, V.; Trivedi, P.K.; Shirke, P.A. Coordinated regulation of photosynthesis and sugar metabolism in guar increases tolerance to drought. Environ. Exp. Bot. 2022, 194, 104701. [Google Scholar] [CrossRef]
- Shao, R.X.; Xin, L.F.; Zheng, H.F.; Li, L.L.; Ran, W.L.; Mao, J.; Yang, Q.H. Changes in chloroplast ultrastructure in leaves of drought-stressed maize inbred lines. Photosynthetica 2016, 54, 74–80. [Google Scholar] [CrossRef]
- Oustric, J.; Quilichini, Y.; Morillon, R.; Herbette, S.; Luro, F.; Giannettini, J.; Berti, L.; Santini, J. Tetraploid citrus seedlings subjected to long-term nutrient deficiency are less affected at the ultrastructural, physiological and biochemical levels than diploid ones. Plant Physiol. Biochem. 2019, 135, 372–384. [Google Scholar] [CrossRef] [PubMed]
- Sharma, P.; Jha, A.B.; Dubey, R.S.; Pessarakli, M. Reactive oxygen species, oxidative damage, and antioxidative defense mechanism in plants under stressful conditions. J. Bot. 2012, 2012, 1217037. [Google Scholar] [CrossRef]
- Miller, G.; Suzuki, N.; Ciftci-Yilmaz, S.; Mittler, R. Reactive oxygen species homeostasis and signaling during drought and salinity stresses. Plant. Cell. Environ. 2010, 33, 453–467. [Google Scholar] [CrossRef]
- Zhang, S.; Chen, L.H.; Duan, B.L.; Korpelainen, H.; Li, C.Y. Populus cathayana males exhibit more efficient protective mechanisms than females under drought stress. Forest. Ecol. Manag. 2012, 275, 68–78. [Google Scholar] [CrossRef]
- Valladares, F.; Wright, S.J.; Lasso, E.; Kitajima, K.; Pearcy, R.W. Plastic phenotypic response to light of 16 congeneric shrubs from a Panamanian rainforest. Ecology 2000, 81, 1925–1936. [Google Scholar] [CrossRef]
- Quero, J.L.; Villar, R.; Marañón, T.; Zamora, R. Interactions of drought and shade effects on seedlings of four Quercus species: Physiological and structural leaf responses. New Phytol. 2006, 170, 819–834. [Google Scholar] [CrossRef] [PubMed]
- Zhang, Y.Y.; Yu, T.; Ma, W.B.; Tian, C.; Sha, Z.P.; Li, J.Q. Morphological and physiological response of Acer catalpifolium Rehd. seedlings to water and light stresses. Glob. Ecol. Conserv. 2019, 19, e00660. [Google Scholar] [CrossRef]
- Sofo, A.; Dichio, B.; Xiloyannis, C.; Masia, A. Lipoxygenase activity and proline accumulation in leaves and roots of olive trees in response to drought stress. Plant Physiol. 2004, 121, 58–65. [Google Scholar] [CrossRef]
- Cakmak, I. The role of potassium in alleviating detrimental effects of abiotic stresses in plants. J. Soil Sci. Plant Nutr. 2005, 168, 521–530. [Google Scholar] [CrossRef]
- Hafez, E.; Farig, M. Efficacy of salicylic acid as a cofactor for ameliorating effects of water stress and enhancing wheat yield and water use efficiency in saline soil. Int. J. Plant Prod. 2019, 13, 163–176. [Google Scholar] [CrossRef]
- Habibi, G. Physiological, photochemical and ionic responses of sunflower seedlings to exogenous selenium supply under salt stress. Acta Physiol. Plant. 2017, 39, 213. [Google Scholar] [CrossRef]
- Zhao, J.H.; Li, H.X.; Zhang, C.Z.; Wei, A.; Yue, Y.; Wang, Y.J.; Cao, Y.L. Physiological response of four wolfberry (Lycium Linn.) species under drought stress. J. Integr. Agric. 2018, 17, 603–612. [Google Scholar] [CrossRef]
- Fang, S.Z.; Wang, J.Y.; Wei, Z.Y.; Zhu, Z.X. Methods to break seed dormancy in Cyclocarya paliurus (Batal) Iljinskaja. Sci. Hortic. 2006, 110, 305–309. [Google Scholar] [CrossRef]
- Liu, Y.; Qian, C.Y.; Ding, S.H.; Shang, X.L.; Yang, W.X.; Fang, S.Z. Effect of light regime and provenance on leaf characteristics, growth and flavonoid accumulation in Cyclocarya paliurus (Batal) Iljinskaja coppices. Bot. Stud. 2016, 57, 28. [Google Scholar] [CrossRef]
- Liu, Y.; Fang, S.Z.; Zhou, M.M.; Shang, X.L.; Yang, W.X.; Fu, X.X. Geographic variation in water-soluble polysaccharide content and antioxidant activities of Cyclocarya paliurus leaves. Ind. Crop. Prod. 2018, 121, 180–186. [Google Scholar] [CrossRef]
- Zhou, M.M.; Quek, S.Y.; Shang, X.L.; Fang, S.Z. Geographical variations of triterpenoid contents in Cyclocarya paliurus leaves and their inhibitory effects on HeLa cells. Ind. Crop. Prod. 2021, 162, 113314. [Google Scholar] [CrossRef]
- Xie, J.H.; Wang, Z.J.; Shen, M.Y.; Nie, S.P.; Xie, M.Y. Sulfated modification, characterization and antioxidant activities of polysaccharide from Cyclocarya paliurus. Food. Hydrocoll. 2016, 53, 7–15. [Google Scholar] [CrossRef]
- Deng, B.; Cao, Y.N.; Fang, S.Z.; Shang, X.L.; Yang, W.Y.; Qian, C.Y. Variation and stability of growth and leaf flavonoid content in Cyclocarya paliurus across environments. Ind. Crop. Prod. 2015, 76, 386–393. [Google Scholar] [CrossRef]
- Cao, Y.N.; Fang, S.Z.; Yin, Z.Q.; Fu, X.X.; Shang, X.L.; Yang, W.X.; Yang, H.M. Chemical fingerprint and multicomponent quantitative analysis for the quality evaluation of Cyclocarya paliurus leaves by HPLC–Q–TOF–MS. Molecules 2017, 22, 1927. [Google Scholar] [CrossRef]
- Wang, Z.K.; Xu, Z.H.; Chen, Z.Y.; Kowalchuk, G.A.; Fu, X.X. Microbial inoculants modulate growth traits, nutrients acquisition and bioactive compounds accumulation of Cyclocarya paliurus (Batal.) Iljinskaja under degraded field condition. Forest. Ecol. Manag. 2021, 482, 118897. [Google Scholar] [CrossRef]
- Qin, J.; Yue, X.L.; Fang, S.Z.; Qian, M.Y.; Zhou, S.T.; Shang, X.L.; Yang, W.X. Responses of nitrogen metabolism, photosynthetic parameter and growth to nitrogen fertilization in Cyclocarya paliurus. Forest. Ecol. Manag. 2021, 502, 119715. [Google Scholar] [CrossRef]
- Búfalo, J.; Rodrigues, T.M.; de Almeida, L.F.; dos Santos Tozin, L.R.; Marques, M.O.M.; Boaro, C.S.F. PEG-induced osmotic stress in Mentha x piperita L.: Structural features and metabolic responses. Plant. Physiol. Biochem. 2016, 105, 174–184. [Google Scholar] [CrossRef][Green Version]
- Kong, Y.; Xu, X.Y.; Zhu, L. Cyanobactericidal effect of streptomyces sp. HJC-D1 on Microcystis auruginosa. PLoS ONE 2013, 8, e57654. [Google Scholar] [CrossRef]
- Giannopolitis, C.N.; Ries, S.K. Superoxide dismutases: I. Occurrence in higher plants. Plant. Physiol. 1977, 59, 309–314. [Google Scholar] [CrossRef]
- Chance, B.; Maehly, A.C. Assay of catalases and peroxidases. Method. Enzymol. 1955, 2, 764–775. [Google Scholar] [CrossRef]
- Nakano, Y.; Asada, K. Hydrogen peroxide is scavenged by ascorbate-specific peroxidase in spinach chloroplasts. Plant. Cell. Physiol. 1981, 22, 867–880. [Google Scholar] [CrossRef]
- Güvenç, A.; Duman, H. Morphological and anatomical studies of annual species of Sideritis L. (Lamiaceae), with notes on chorology in Turkey. Turk. J. Bot. 2010, 34, 83–104. [Google Scholar] [CrossRef]
- Makbul, S.; Güler, N.S.; Durmus, N.; Güven, S. Changes in anatomical and physiological parameters of soybean under drought stress. Turk. J. Bot. 2011, 35, 369–377. [Google Scholar] [CrossRef]
- Waszczak, C.; Carmody, M.; Kangasjärvi, J. Reactive oxygen species in plant signaling. Annu. Rev. Plant Biol. 2018, 69, 209–236. [Google Scholar] [CrossRef]
- Zhu, J.C.; Cai, D.F.; Wang, J.P.; Cao, J.H.; Wen, Y.C.; He, J.P.; Zhao, L.; Wang, D.G.; Zhang, S.F. Physiological and anatomical changes in two rapeseed (Brassica napus L.) genotypes under drought stress conditions. Oil. Crop. Sci. 2021, 6, 97–104. [Google Scholar] [CrossRef]
- Bosabalidis, A.M.; Kofids, G. Comparative effects of drought stress on leaf anatomy of two olive cultivars. Plant Sci. 2002, 163, 375–379. [Google Scholar] [CrossRef]
- Akram, N.A.; Shafiq, S.; Ashraf, M.; Aisha, R.; Sajid, M.A. Drought-induced anatomical changes in radish (Raphanus sativus L.) leaves supplied with trehalose through different modes. Arid Land Res. Manag. 2016, 30, 412–420. [Google Scholar] [CrossRef]
- Naz, N.; Rafique, T.; Hameed, M.; Ashraf, M.; Batool, R.; Fatima, S. Morpho-anatomical and physiological attributes for salt tolerance in sewan grass (Lasiurus scindicus Henr.) from Cholistan Desert, Pakistan. Acta Physiol. Plant. 2014, 36, 2959–2974. [Google Scholar] [CrossRef]
- Xu, Z.Z.; Zhou, G.S. Responses of leaf stomatal density to water status and its relationship with photosynthesis in a grass. J. Exp. Bot. 2008, 59, 3317–3325. [Google Scholar] [CrossRef]
- Bhusal, N.; Kim, H.S.; Han, S.G.; Yoon, T.M. Photosynthetic traits and plant-water relations of two apple cultivars grown as bi-leader trees under long-term waterlogging conditions. Environ. Exp. Bot. 2020, 176, 104111. [Google Scholar] [CrossRef]
- Taylor, S.H.; Franks, P.J.; Hulme, S.P.; Spriggs, E.; Christin, P.A.; Edwards, E.J.; Woodward, F.I.; Osborne, C.P. Photosynthetic pathway and ecological adaptation explain stomatal trait diversity amongst grasses. New Phytol. 2012, 193, 387–396. [Google Scholar] [CrossRef] [PubMed]
- Ahmed, Z.; Waraich, E.A.; Ahmad, R.; Shahbaz, M. Morpho-physiological and biochemical responses of camelina (Camelina sativa crantz L.) genotypes under drought stress. Int. J. Agric. Biol. 2017, 19, 1–7. [Google Scholar] [CrossRef]
- Bhatt, D.; Negi, M.; Sharma, P.; Saxena, S.C.; Dobriyal, A.K.; Arora, S. Responses to drought induced oxidative stress in five finger millet varieties differing in their geographical distribution. Physiol. Mol. Biol. Plants 2011, 17, 347–353. [Google Scholar] [CrossRef] [PubMed]
- Chaves, M.M.; Pereira, J.S.; Maroco, J.; Rodrigues, M.L.; Ricardo, C.P.P.; Osório, M.L.; Carvalho, I.; Faria, T.; Pinheiro, C. How plant cope with water stress in the field? Photosynthesis and growth. Ann. Bot. 2002, 89, 907–916. [Google Scholar] [CrossRef]
- Naeem, M.S.; Dai, L.L.; Ahmad, F.; Ahmad, A.; Li, J.; Zhang, C.L. AM1 is a potential ABA substitute for drought tolerance as revealed by physiological and ultra-structural responses of oilseed rape. Acta Physiol. Plant. 2016, 38, 183. [Google Scholar] [CrossRef]
- Ahmed, C.B.; Rouina, B.B.; Boukhris, M. Effects of water deficit on olive trees cv. Chemlali under field conditions in arid region in Tunisia. Sci. Hortic. 2007, 113, 267–277. [Google Scholar] [CrossRef]
- Mott, K.A.; Gibson, A.C.; O’leary, J.W. The adaptive significance of amphistomatic leaves. Plant. Cell. Environ. 1982, 5, 455–460. [Google Scholar] [CrossRef]
- Sun, W.N.; Montagu, M.V.; Verbruggen, N. Small heat shock proteins and stress tolerance in plants. Biochim. Biophys. Acta 2002, 1577, 1–9. [Google Scholar] [CrossRef]
- Wang, Y.; Zhou, J.; Yu, J.Q. The critical role of autophagy in plant responses to abiotic stresses. Front. Agric. Sci. Eng. 2017, 4, 28–36. [Google Scholar] [CrossRef]
- Zeng, X.W.; Zeng, Z.H.; Liu, C.; Liu, C.C.; Yuan, W.Y.; Hou, N.; Bian, H.W.; Zhu, M.Y.; Han, N. A barley homolog of yeast ATG6 is involved in multiple abiotic stress responses and stress resistance regulation. Plant Physiol. Biochem. 2017, 115, 97–106. [Google Scholar] [CrossRef]
- Khaleghi, A.; Naderi, R.; Brunetti, C.; Maserti, B.E.; Salami, S.A.; Babalar, M. Morphological, physiochemical and antioxidant responses of Maclura pomifera to drought stress. Sci. Rep. 2019, 9, 19250. [Google Scholar] [CrossRef] [PubMed]
- Bhusal, N.; Lee, M.; Lee, H.; Adhikari, A.; Han, A.R.; Han, A.; Kim, H.S. Evaluation of morphological, physiological, and biochemical traits for assessing drought resistance in eleven tree species. Sci. Total. Environ. 2021, 779, 146466. [Google Scholar] [CrossRef] [PubMed]
- Cao, Y.; Luo, Q.X.; Tian, Y.; Meng, F.J. Physiological and proteomic analyses of the drought stress response in Amygdalus Mira (Koehne) Yü et Lu roots. BMC Plant. Biol. 2017, 17, 53. [Google Scholar] [CrossRef] [PubMed]
- Szalai, G.; Kellős, T.; Galiba, G.; Kocsy, G. Glutathione as an antioxidant and regulatory molecule in plants under abiotic stress conditions. J. Plant Growth Regul. 2009, 28, 66–80. [Google Scholar] [CrossRef]
- Zhang, C.M.; Shi, S.L. Physiological and proteomic responses of contrasting Alfalfa (Medicago sativa L.) varieties to PEG-induced osmotic stress. Front. Plant Sci. 2018, 9, 242. [Google Scholar] [CrossRef]
- Uniyal, R.C.; Nautiyal, A.R. Seed germination and seedling extension growth in Ougeinia dalbergioides Benth. under water and salinity stress. New For. 1998, 16, 265–272. [Google Scholar] [CrossRef]
- Monclus, R.; Dreyer, E.; Villar, M.; Delmotte, F.M.; Delay, D.; Petit, J.M.; Barbaroux, C.; Thiec, D.L.; Bréchet, C.; Brignolas, F. Impact of drought on productivity and water use efficiency in 29 genotypes of Populus deltoides × Populus nigra. New Phytol. 2006, 169, 765–777. [Google Scholar] [CrossRef]
- Wu, G.L.; Liu, H.; Hua, L.; Luo, Q.; Lin, Y.X.; He, P.C.; Feng, S.W.; Liu, J.X.; Ye, Q. Differential responses of stomata and photosynthesis to elevated temperature in two cooccurring subtropical forest tree species. Front. Plant Sci. 2018, 9, 467. [Google Scholar] [CrossRef]
- Møller, I.M.; Jensen, P.E.; Hansson, A. Oxidative modifications to cellular components in plants. Annu. Rev. Plant Biol. 2007, 58, 459–481. [Google Scholar] [CrossRef]
- Guo, T.T.; Tian, C.; Chen, C.Y.; Duan, Z.Y.; Zhu, Q.; Sun, L.Z. Growth and carbohydrate dynamic of perennial ryegrass seedlings during PEG-simulated drought and subsequent recovery. Plant Physiol. Biochem. 2020, 154, 85–93. [Google Scholar] [CrossRef]








| Anatomical Structure Index | PEG6000 Concentrations | ||||
|---|---|---|---|---|---|
| 0% | 5% | 10% | 15% | 20% | |
| UE/μm | 11.25 ± 0.63 a | 10.35 ± 0.14 ab | 10.04 ± 0.41 bc | 9.35 ± 0.36 c | 5.66 ± 0.74 d |
| LE/μm | 10.43 ± 0.92 a | 8.93 ± 1.42 a | 8.80 ± 0.26 a | 8.60 ± 1.10 a | 6.17 ± 1.19 b |
| PT/μm | 19.18 ± 0.97 a | 18.40 ± 0.55 a | 17.48 ± 1.21 b | 15.09 ± 1.26 b | 12.93 ± 1.90 b |
| ST/μm | 30.58 ± 2.22 a | 23.89 ± 0.88 b | 21.15 ± 1.05 c | 16.68 ± 1.48 d | 12.88 ± 0.63 e |
| P/S | 0.64 ± 0.07 c | 0.79 ± 0.04 bc | 0.86 ± 0.11 ab | 0.93 ± 0.13 ab | 1.04 ± 0.15 a |
| LT/μm | 71.43 ± 2.79 a | 61.57 ± 0.41 b | 57.26 ± 0.55 c | 49.71 ± 2.13 d | 37.64 ± 1.42 e |
| VD/μm | 465.07 ± 10.93 a | 407.59 ± 13.23 b | 373.99 ± 4.61 c | 334.87 ± 10.89 d | 273.55 ± 12.85 e |
| CTR/% | 0.27 ± 0.02 b | 0.30 ± 0.01 ab | 0.31 ± 0.02 ab | 0.30 ± 0.02 ab | 0.34 ± 0.04 a |
| SR/% | 0.43 ± 0.02 a | 0.39 ± 0.02 ab | 0.37 ± 0.02 bc | 0.34 ± 0.03 c | 0.34 ± 0.02 c |
| VPD | 6.52 ± 0.33 b | 6.62 ± 0.18 b | 6.53 ± 0.14 b | 6.74 ± 0.08 b | 7.28 ± 0.47 a |
| Enzyme Activity | Anatomical Structure Index (n = 15) | Stomatal Parameters (n = 18) | ||||||||||||
|---|---|---|---|---|---|---|---|---|---|---|---|---|---|---|
| LE | UE | PT | ST | P/S | LT | VD | CTR | SR | VPD | SL | SW | SA | SD | |
| SOD | −0.696 ** | −0.634 * | −0.816 ** | −0.943 ** | 0.767 ** | −0.899 ** | −0.919 ** | 0.574 * | −0.881 ** | 0.481 | −0.160 | −0.327 | −0.903 ** | −0.035 |
| POD | −0.417 | −0.454 | −0.617 * | −0.806 ** | 0.643 ** | −0.708 ** | −0.744 ** | 0.432 | −0.821 ** | 0.252 | 0.077 | −0.091 | −0.667 ** | 0.454 |
| CAT | −0.810 ** | −0.733 ** | −0.864 ** | −0.972 ** | 0.814 ** | −0.958 ** | −0.969 ** | 0.652 ** | −0.872 ** | 0.579 * | −0.223 | −0.356 | −0.871 ** | −0.059 |
| Index | Equation | Correlation Coefficient | Ratios of PEG Treatments to CK (%) | |
|---|---|---|---|---|
| 15%PEG | 20%PEG | |||
| Spongy tissue (μm) | y = 30.55 × e−4.177x | R2 = 0.9563 | 46.6↓ | 56.7↓ |
| Leaf thickness (μm) | y = 73.18 × e−2.991x | R2 = 0.9419 | 34.6↓ | 43.7↓ |
| Leaf vein diameter (μm) | y = 491.1 × e−3.19x | R2 = 0.9303 | 34.6↓ | 44.2↓ |
| GEC per leaf area (μm. mm−2) | y = 295.35 × e−7.32x | R2 = 0.7955 | 60.2↓ | 72.4↓ |
Publisher’s Note: MDPI stays neutral with regard to jurisdictional claims in published maps and institutional affiliations. |
© 2022 by the authors. Licensee MDPI, Basel, Switzerland. This article is an open access article distributed under the terms and conditions of the Creative Commons Attribution (CC BY) license (https://creativecommons.org/licenses/by/4.0/).
Share and Cite
Li, C.; Wan, Y.; Shang, X.; Fang, S. Responses of Microstructure, Ultrastructure and Antioxidant Enzyme Activity to PEG-Induced Drought Stress in Cyclocarya paliurus Seedlings. Forests 2022, 13, 836. https://doi.org/10.3390/f13060836
Li C, Wan Y, Shang X, Fang S. Responses of Microstructure, Ultrastructure and Antioxidant Enzyme Activity to PEG-Induced Drought Stress in Cyclocarya paliurus Seedlings. Forests. 2022; 13(6):836. https://doi.org/10.3390/f13060836
Chicago/Turabian StyleLi, Chenhui, Yifeng Wan, Xulan Shang, and Shengzuo Fang. 2022. "Responses of Microstructure, Ultrastructure and Antioxidant Enzyme Activity to PEG-Induced Drought Stress in Cyclocarya paliurus Seedlings" Forests 13, no. 6: 836. https://doi.org/10.3390/f13060836
APA StyleLi, C., Wan, Y., Shang, X., & Fang, S. (2022). Responses of Microstructure, Ultrastructure and Antioxidant Enzyme Activity to PEG-Induced Drought Stress in Cyclocarya paliurus Seedlings. Forests, 13(6), 836. https://doi.org/10.3390/f13060836

