Crown Shapes of Urban Trees-Their Dependences on Tree Species, Tree Age and Local Environment, and Effects on Ecosystem Services
Abstract
:1. Introduction
- (1)
- Is the dependency of the key parameters for calculating the crown volume, i.e., crown radius and crown length, on tree age varying for common urban tree species?
- (2)
- Does the crown shape and thus crown volume of urban trees differ from species to species and change with increasing tree age?
- (3)
- Does the crown shape of urban trees depend on the local environment?
- (4)
- How does the crown shape influence the shade area and the shade density of urban trees (and thereby the cooling potential)?
2. Materials and Methods
2.1. Study Sites
2.2. Tree Species, Structural Data and Tree Age
2.3. Crown Volume Calculation
2.4. Statistical Methods
2.5. Calculations Based on the Process-Based Growth Model CityTree
3. Results
3.1. The Crown Structure of Urban Tree Species
3.2. Crown Shapes of Urban Tree Species
3.3. Influence of Crown Shape on Crown Volume
3.4. Dependency of Crown Shape on the Local Environment
3.5. Overarching Analysis of the Crown Shapes of Urban Trees
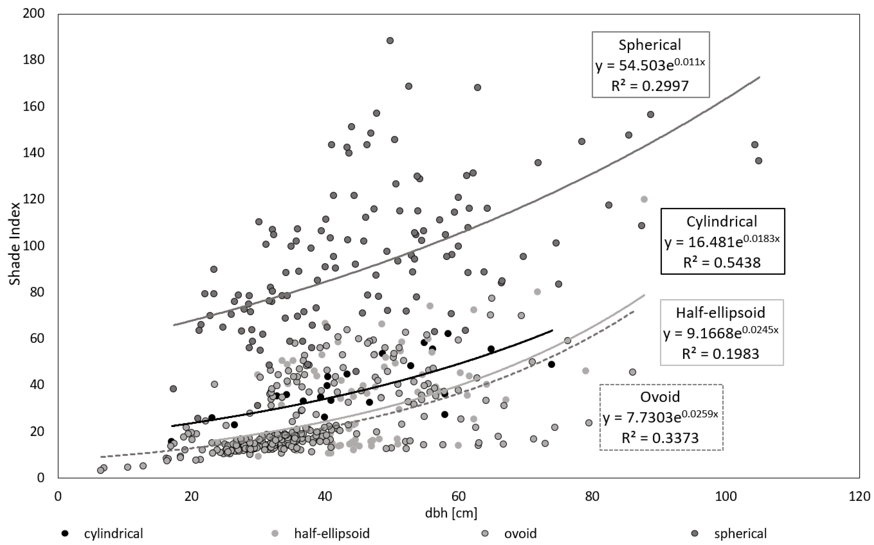
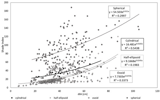
3.6. Influence of Crown Shape on the Shade Area and the Shade Density
4. Discussion
4.1. Influence of the Crown Shape on the Structure and Dimensions of Urban Tree Species
4.2. Influence of the Local Environment on the Crown Shape
4.3. Effects of the Crown Shape/Crown Volume on Ecosystem Services (Shading)
5. Conclusions
Author Contributions
Funding
Data Availability Statement
Acknowledgments
Conflicts of Interest
References
- Oke, T.R. The micrometeorology of the urban forest. Phil. Trans. R. Soc. Lond. B 1989, 324, 335–349. [Google Scholar] [CrossRef]
- Wolf, K.L.; Lam, S.T.; McKeen, J.K.; Richardson, G.R.A.; van den Bosch, M.; Bardekjian, A.C. Urban Trees and Human Health: A Scoping Review. Int. J. Environ. Res. Public Health 2020, 17, 4371. [Google Scholar] [CrossRef] [PubMed]
- Tzoulas, K.; Korpela, K.; Venn, S.; Yli-Pelkonen, V.; Kaźmierczak, A.; Niemela, J.; James, P. Promoting ecosystem and human health in urban areas using Green Infrastructure: A literature review. Landsc. Urban Plan. 2007, 81, 167–178. [Google Scholar] [CrossRef]
- Rahman, M.A.; Stratopoulos, L.M.; Moser-Reischl, A.; Zölch, T.; Häberle, K.-H.; Rötzer, T.; Pretzsch, H.; Pauleit, S. Traits of trees for cooling urban heat islands: A meta-analysis. Build. Environ. 2020, 170, 106606. [Google Scholar] [CrossRef]
- Rahman, M.A.; Dervishi, V.; Moser-Reischl, A.; Ludwig, F.; Pretzsch, H.; Rötzer, T.; Pauleit, S. Comparative analysis of shade and underlying surfaces on cooling effect. Urban For. Urban Green. 2021, 63, 127223. [Google Scholar] [CrossRef]
- Rahman, M.A.; Moser, A.; Rötzer, T.; Pauleit, S. Within canopy temperature differences and cooling ability of Tilia cordata trees grown in urban conditions. Build. Environ. 2017, 114, 118–128. [Google Scholar] [CrossRef]
- Peters, E.B.; McFadden, J.P.; Montgomery, R.A. Biological and environmental controls on tree transpiration in a suburban landscape. J. Geophys. Res. 2010, 115. [Google Scholar] [CrossRef]
- Armson, D.; Stringer, P.; Ennos, A.R. The effect of tree shade and grass on surface and globe temperatures in an urban area. Urban For. Urban Green. 2012, 11, 245–255. [Google Scholar] [CrossRef]
- Gillner, S.; Vogt, J.; Tharang, A.; Dettmann, S.; Roloff, A. Role of street trees in mitigating effects of heat and drought at highly sealed urban sites. Landsc. Urban Plan. 2015, 143, 33–42. [Google Scholar] [CrossRef]
- Rahman, M.A.; Moser, A.; Rötzer, T.; Pauleit, S. Microclimatic differences and their influence on transpirational cooling of Tilia cordata in two contrasting street canyons in Munich, Germany. Agric. For. Meteorol. 2017, 232, 443–456. [Google Scholar] [CrossRef]
- Gill, S.; Handley, J.; Ennos, A.; Pauleit, S. Adapting Cities for Climate Change: The Role of the Green Infrastructure. Built Environ. 2007, 33, 115–133. [Google Scholar] [CrossRef]
- Rötzer, T.; Moser-Reischl, A.; Rahman, M.A.; Grote, R.; Pauleit, S.; Pretzsch, H. Modelling Urban Tree Growth and Ecosystem Services: Review and Perspectives. In Progress in Botany Vol. 82; Cánovas, F.M., Lüttge, U., Risueño, M.-C., Pretzsch, H., Eds.; Springer International Publishing: Cham, Switzerland, 2021; pp. 405–464. ISBN 978-3-030-68619-2. [Google Scholar]
- Grote, R.; Samson, R.; Alonso, R.; Amorim, J.H.; Cariñanos, P.; Churkina, G.; Fares, S.; Le Thiec, D.; Niinemets, Ü.; Mikkelsen, T.N.; et al. Functional traits of urban trees: Air pollution mitigation potential. Front Ecol. Environ. 2016, 14, 543–550. [Google Scholar] [CrossRef]
- Nowak, D.J.; Crane, D.E.; Stevens, J.C. Air pollution removal by urban trees and shrubs in the United States. Urban For. Urban Green. 2006, 4, 115–123. [Google Scholar] [CrossRef]
- Yu, C.; Hien, W.N. Thermal benefits of city parks. Energy Build. 2006, 38, 105–120. [Google Scholar] [CrossRef]
- Bowler, D.E.; Buyung-Ali, L.; Knight, T.M.; Pullin, A.S. Urban greening to cool towns and cities: A systematic review of the empirical evidence. Landsc. Urban Plan. 2010, 97, 147–155. [Google Scholar] [CrossRef]
- Shahidan, M.; Jones, P. Plant Canopy Design in Modifying Urban Thermal Environment: Theory and Guidelines. In Proceedings of the 25th Conference on Passive and Low Energy Architecture, Dublin, Ireland, 22–24 October 2008. [Google Scholar]
- Pretzsch, H.; Biber, P.; Uhl, E.; Dahlhausen, J.; Rötzer, T.; Caldentey, J.; Koike, T.; van Con, T.; Chavanne, A.; Seifert, T.; et al. Crown size and growing space requirement of common tree species in urban centres, parks, and forests. Urban For. Urban Green. 2015, 14, 466–479. [Google Scholar] [CrossRef]
- Gratani, L.; Varone, L. Carbon sequestration by Quercus ilex L. and Quercus pubescens Willd. and their contribution to decreasing air temperature in Rome. Urban Ecosyst 2006, 9, 27–37. [Google Scholar] [CrossRef]
- Baptista, M.D.; Livesley, S.J.; Parmehr, E.G.; Neave, M.; Amati, M. Variation in leaf area density drives the rainfall storage capacity of individual urban tree species. Hydrol. Processes 2018, 32, 3729–3740. [Google Scholar] [CrossRef]
- Zhu, Z.; Kleinn, C.; Nölke, N. Assessing tree crown volume—A review. For. Int. J. For. Res. 2021, 94, 18–35. [Google Scholar] [CrossRef]
- Rahman, M.A.; Armson, D.; Ennos, A.R. A comparison of the growth and cooling effectiveness of five commonly planted urban tree species. Urban Ecosyst 2015, 18, 371–389. [Google Scholar] [CrossRef]
- Poorter, H.; Niklas, K.J.; Reich, P.B.; Oleksyn, J.; Poot, P.; Mommer, L. Biomass allocation to leaves, stems and roots: Meta-analyses of interspecific variation and environmental control. New Phytol. 2012, 193, 30–50. [Google Scholar] [CrossRef] [PubMed]
- GALK Straßenbaumliste. Available online: https://www.galk.de/arbeitskreise/stadtbaeume/themenuebersicht/strassenbaumliste (accessed on 16 December 2021).
- Pretzsch, H. Zur Analyse der räumlichen Bestandesstruktur und der Wuchskonstellation von Einzelbäumen. Forst Und Holz 1992, 47, 408–418. [Google Scholar]
- Pretzsch, H. Analysis and modeling of spatial stand structures. Methodological considerations based on mixed beech-larch stands in Lower Saxony. For. Ecol. Manag. 1997, 97, 237–253. [Google Scholar] [CrossRef]
- Pretzsch, H.; Biber, P.; Ďurský, J. The single tree-based stand simulator SILVA: Construction, application and evaluation. For. Ecol. Manag. 2002, 162, 3–21. [Google Scholar] [CrossRef]
- Nowak, D.; Crane, D.; Stevens, J.; Hoehn, R.; Walton, J.; Bond, J. A Ground-Based Method of Assessing Urban Forest Structure and Ecosystem Services. AUF 2008, 34, 347–358. [Google Scholar] [CrossRef]
- Rötzer, T.; Rahman, M.A.; Moser-Reischl, A.; Pauleit, S.; Pretzsch, H. Process based simulation of tree growth and ecosystem services of urban trees under present and future climate conditions. Sci. Total Environ. 2019, 676, 651–664. [Google Scholar] [CrossRef]
- Deutscher Wetterdienst–Climate Data Center. Available online: https://cdc.dwd.de/portal/ (accessed on 16 December 2021).
- DIVA-GIS. Available online: http://www.diva-gis.org/gdata (accessed on 2 March 2022).
- Georgi, L.; Kunz, M.; Fichtner, A.; Reich, K.F.; Bienert, A.; Maas, H.-G.; von Oheimb, G. Effects of local neighbourhood diversity on crown structure and productivity of individual trees in mature mixed-species forests. For. Ecosyst. 2021, 8, 26. [Google Scholar] [CrossRef]
- Hasenauer, H. Dimensional relationships of open-grown trees in Austria. For. Ecol. Manag. 1997, 96, 197–206. [Google Scholar] [CrossRef]
- Moser-Reischl, A.; Rötzer, T.; Pauleit, S.; Pretzsch, H. Urban Tree Growth Characteristics of Four Common Species in South Germany. AUF 2021, 47, 150–169. [Google Scholar] [CrossRef]
- Moser, A.; Rötzer, T.; Pauleit, S.; Pretzsch, H. The Urban Environment Can Modify Drought Stress of Small-Leaved Lime (Tilia cordata Mill.) and Black Locust (Robinia pseudoacacia L.). Forests 2016, 7, 71. [Google Scholar] [CrossRef]
- Kükenbrink, D.; Gardi, O.; Morsdorf, F.; Thürig, E.; Schellenberger, A.; Mathys, L. Above-ground biomass references for urban trees from terrestrial laser scanning data. Ann. Bot. 2021, 128, 709–724. [Google Scholar] [CrossRef] [PubMed]
- Roloff, A. Bäume in der Stadt. Besonderheiten, Funktion, Nutzen, Arten, Risiken; Verlag Eugen Ulmer: Stuttgart, Germany, 2013. [Google Scholar]
- Niinemets, Ü.; Valladares, F. Tolerance to Shade, Drought, and Waterlogging of Temperate Northern Hemisphere Trees and Shrubs. Ecol. Monogr. 2006, 76, 521–547. [Google Scholar] [CrossRef]
- Pauleit, S.; Jones, N.; Garcia-Martin, G.; Garcia-Valdecantos, J.L.; Rivière, L.M.; Vidal-Beaudet, L.; Bodson, M.; Randrup, T.B. Tree establishment practice in towns and cities–Results from a European survey. Urban For. Urban Green. 2002, 1, 83–96. [Google Scholar] [CrossRef]
- Beck, P.; Caudullo, G.; Tinner, W.; de Rigo, D. Fraxinus Excelsior in Europe: Distribution, Habitat, Usage and Threats. In San-Miguel-Ayanz; de Rigo, D.J., Caudullo, G., Durrant, T.H., Mauri, A., Eds.; European Atlas of Forest Tree Species; Publish Office: Luxembourg, 2016. [Google Scholar]
- Larsen, F.; Kristoffersen, P. Tiliaߣs physical dimensions over time. J. Arboric. 2002, 28, 209–214. [Google Scholar] [CrossRef]
- Stoffberg, G.H.; van Rooyen, M.W.; van der Linde, M.J.; Groeneveld, H.T. Predicting the growth in tree height and crown size of three street tree species in the City of Tshwane, South Africa. Urban For. Urban Green. 2008, 7, 259–264. [Google Scholar] [CrossRef]
- Pretzsch, H. Grundlagen der Waldwachstumsforschung; Springer: Berlin/Heidelberg, Germany, 2019; ISBN 978-3-662-58154-4. [Google Scholar]
- Pretzsch, H. Forest Dynamics, Growth and Yield: From Measurement to Model; Springer: Berlin/Heidelberg, Germany, 2010; ISBN 978-3-540-88307-4. [Google Scholar]
- Moser-Reischl, A.; Uhl, E.; Rötzer, T.; Biber, P.; van Con, T.; Tan, N.T.; Pretzsch, H. Effects of the urban heat island and climate change on the growth of Khaya senegalensis in Hanoi, Vietnam. For. Ecosyst. 2018, 5, 37. [Google Scholar] [CrossRef]
- Herzog, M. Simulation of Growth and Ecosystem Services of Tree Species in Central European Cities under Present and Future Climate Conditions. Master Thesis, Technical University of Munich, Munich, Germany, 2021. [Google Scholar]
- Lukaszkiewicz, J.; Kosmala, M. Determining the Age of Streetside Trees with Diameter at Breast Height-based Multifactorial Model. AUF 2008, 34, 137–143. [Google Scholar] [CrossRef]
- Bühler, O.; Kristoffersen, P.; Larsen Søren Ugilt. Growth of Stree Trees in Copenhagen With Empphasis on the Effect of Different Establishment Concepts. Arboric. Urban For. 2007, 33, 330–337. [Google Scholar] [CrossRef]
- Dwyer, J.F. How old is that tree? Ill. Trees Q. Publ. Q. Publ. Illonis Arborist Assoc. 2009, 24, 13. [Google Scholar]
- Lawrence, E. The Illustrated Book of Trees and Shrubs; Octopus Books Limited: London, UK, 1985. [Google Scholar]
- baumportal.de: Baumportal–Alles über Bäume. Available online: baumportal.de (accessed on 2 March 2022).
- Pretzsch, H.; Matthew, C.; Dieler, J. Allometry of Tree Crown Structure. Relevance for Space Occupation at the Individual Plant Level and for Self-Thinning at the Stand Level. In Growth and Defence in Plants; Matyssek, R., Schnyder, H., Oßwald, W., Ernst, D., Munch, J.C., Pretzsch, H., Eds.; Springer: Berlin/Heidelber, Germany, 2012; pp. 287–310. ISBN 978-3-642-30644-0. [Google Scholar]
- Moser, A.; Rötzer, T.; Pauleit, S.; Pretzsch, H. Structure and ecosystem services of small-leaved lime (Tilia cordata Mill.) and black locust (Robinia pseudoacacia L.) in urban environments. Urban For. Urban Green. 2015, 14, 1110–1121. [Google Scholar] [CrossRef]
- Bayer, D.; Reischl, A.; Rötzer, T.; Pretzsch, H. Structural response of black locust (Robinia pseudoacacia L.) and small-leaved lime (Tilia cordata Mill.) to varying urban environments analyzed by terrestrial laser scanning: Implications for ecological functions and services. Urban For. Urban Green. 2018, 35, 129–138. [Google Scholar] [CrossRef]
- Jacobs, M.; Rais, A.; Pretzsch, H. How drought stress becomes visible upon detecting tree shape using terrestrial laser scanning (TLS). For. Ecol. Manag. 2021, 489, 118975. [Google Scholar] [CrossRef]
- Barbeito, I.; Dassot, M.; Bayer, D.; Collet, C.; Drössler, L.; Löf, M.; Del Rio, M.; Ruiz-Peinado, R.; Forrester, D.I.; Bravo-Oviedo, A.; et al. Terrestrial laser scanning reveals differences in crown structure of Fagus sylvatica in mixed vs. pure European forests. For. Ecol. Manag. 2017, 405, 381–390. [Google Scholar] [CrossRef]
- Troxel, B.; Piana, M.; Ashton, M.S.; Murphy-Dunning, C. Relationships between bole and crown size for young urban trees in the northeastern USA. Urban For. Urban Green. 2013, 12, 144–153. [Google Scholar] [CrossRef]
- Quigley, M.F. Street trees and rural conspecifics: Will long-lived trees reach full size in urban conditions? Urban Ecosyst 2004, 7, 29–39. [Google Scholar] [CrossRef]
- Armson, D.; Rahman, M.A.; Ennos, A. A comparison of the shading effectiveness of five different street tree species in Manchester, UK. Arboric. Urban For. 2013, 39, 157–164. [Google Scholar] [CrossRef]
- Lin, B.-S.; Lin, Y.-J. Cooling Effect of Shade Trees with Different Characteristics in a Subtropical Urban Park. Horts 2010, 45, 83–86. [Google Scholar] [CrossRef]
- Rahman, M.A.; Franceschi, E.; Pattnaik, N.; Moser-Reischl, A.; Hartmann, C.; Paeth, H.; Pretzsch, H.; Rötzer, T.; Pauleit, S. Spatial and temporal changes of outdoor thermal stress: Influence of urban land cover types. Sci. Rep. 2022, 12, 671. [Google Scholar] [CrossRef]
- Rahman, M.A.; Moser, A.; Rötzer, T.; Pauleit, S. Comparing the transpirational and shading effects of two contrasting urban tree species. Urban Ecosyst 2019, 22, 683–697. [Google Scholar] [CrossRef]











| Species | n | dbh [cm] | Height [m] | Crown Radius [m] | Crown Length [m] |
|---|---|---|---|---|---|
| A. platanoides | 356 | 37.5 ± 17.1 | 14.1 ± 5.0 | 4.6 ± 1.6 | 10.8 ± 4.6 |
| A. pseudoplatanus | 245 | 37.8 ± 14.1 | 15.6 ± 4.6 | 4.3 ± 1.2 | 11.9 ± 4.1 |
| A. hippocastanum | 676 | 50.5 ± 23.9 | 14.6 ± 4.7 | 4.9 ± 1.5 | 11.5 ± 4.3 |
| F. excelsior | 246 | 34.9 ± 18.4 | 14.3 ± 5.0 | 4.1 ± 1.6 | 10.5 ± 4.6 |
| P. × acerifolia | 659 | 42.4 ± 22.3 | 16.4 ± 5.2 | 5.8 ± 2.3 | 12.9 ± 5.1 |
| R. pseudoacacia | 605 | 38.7 ± 18.7 | 14.4 ± 4.6 | 4.5 ± 1.4 | 10.5 ± 3.9 |
| T. cordata | 1065 | 37.1 ± 16.1 | 14.8 ± 4.6 | 4.3 ± 1.4 | 11.1 ± 4.2 |
| Total = 3852 |
| Tree Species | Source | Formula |
|---|---|---|
| A. platanoides | Herzog 2021 [46] | |
| A. pseudoplatanus | Herzog 2021 [46] | |
| A. hippocastanum | Lukaszkiewicz and Kosmala 2008 [47] | |
| F. excelsior | Lukaszkiewicz and Kosmala 2008 [47] | |
| P. × acerifolia | Bühler et al., 2007 [48] | |
| R. pseudoacacia | Dwyer 2009 [49] | |
| T. cordata | Lukaszkiewicz and Kosmala 2008 [47] |
| A. platanoides | A. hippocastanum | P. × acerifolia | R. pseudoacacia | T. cordata | |
|---|---|---|---|---|---|
| n | 91 | 46 | 98 | 65 | 228 |
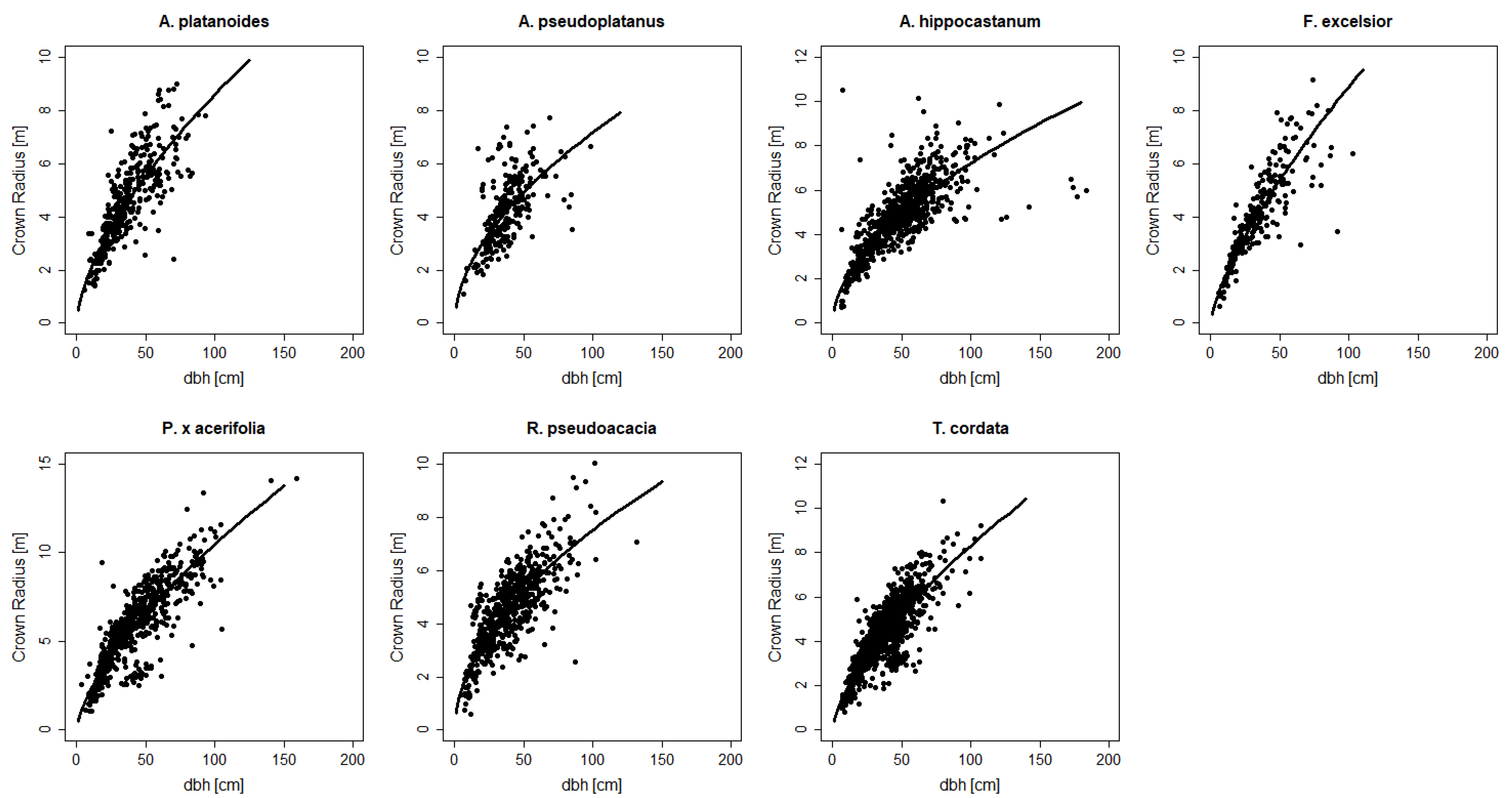
| Crown Radius ln (cr) = a+b∙ln (dbh) | |||||||
| A. platanoides | A. pseudoplatanus | A. hippocastanum | F. excelsior | P. × acerifolia | R. pseudoacacia | T. cordata | |
| a | −0.76 | −0.53 | −0.55 | −1.16 | −0.75 | −0.44 | −0.95 |
| b | 0.63 | 0.54 | 0.54 | 0.72 | 0.67 | 0.53 | 0.67 |
| R² | 0.69 | 0.46 | 0.68 | 0.83 | 0.73 | 0.63 | 0.72 |
| p | <0.001 | <0.001 | <0.001 | <0.001 | <0.001 | <0.001 | <0.001 |
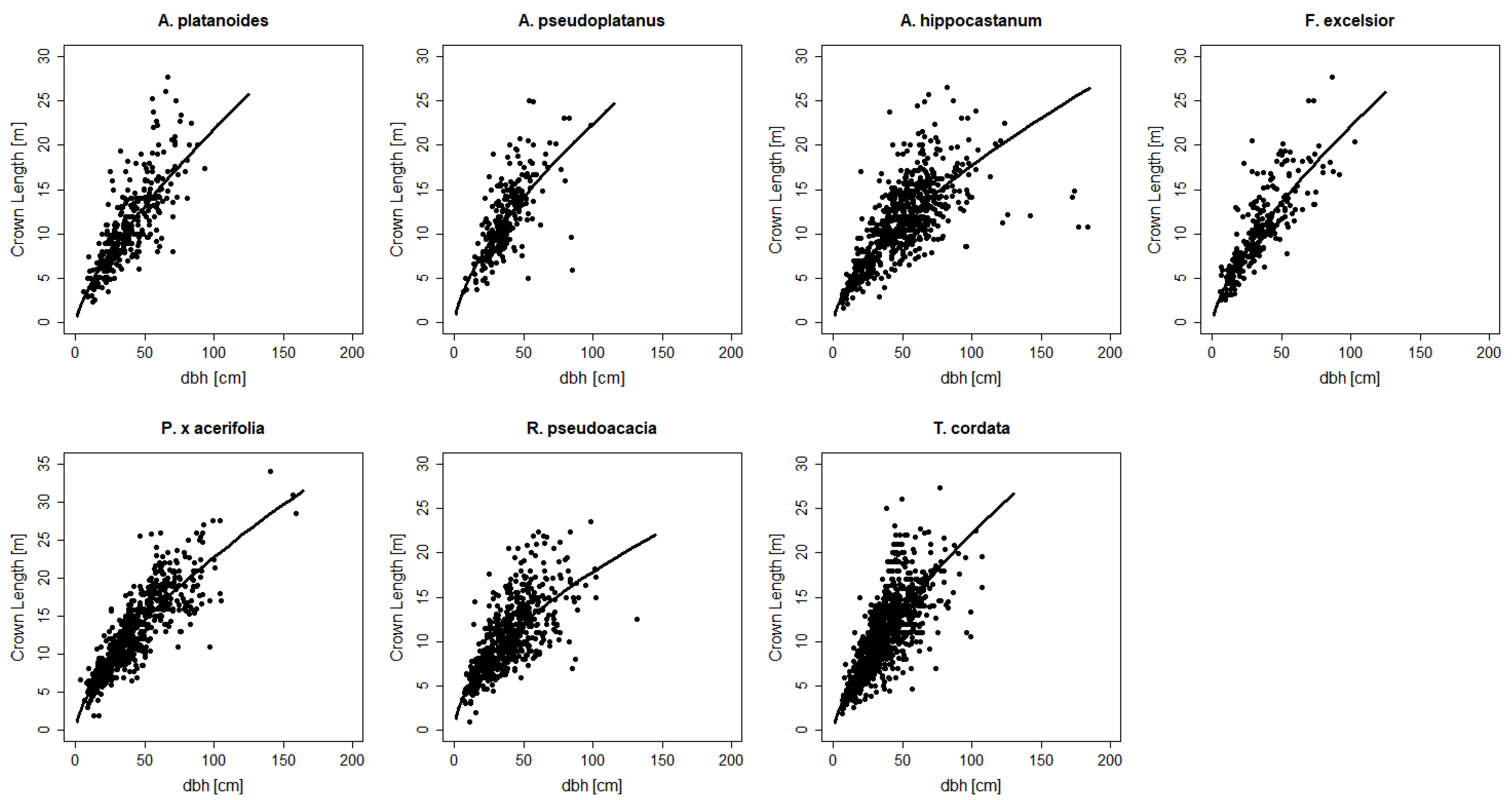
| Crown Length ln (cl) = a + b∙ln (dbh) | |||||||
| a | −0.27 | 0.03 | −0.096 | −0.16 | 0.12 | 0.29 | −0.15 |
| b | 0.73 | 0.67 | 0.65 | 0.71 | 0.65 | 0.56 | 0.71 |
| R² | 0.67 | 0.51 | 0.65 | 0.73 | 0.76 | 0.58 | 0.64 |
| p | <0.001 | <0.001 | <0.001 | <0.001 | <0.001 | <0.001 | <0.001 |
| Species | n (%) | Cylindrical n (%) | Half-Ellipsoidal n (%) | Ovoid n (%) | Spherical n (%) |
|---|---|---|---|---|---|
| A. platanoides | 91 (100) | 3 (3) | 14 (15) | 34 (38) | 40 (44) |
| dbh < 30 | 21 (100) | 1 (5) | 1 (5) | 7 (33) | 12 (57) |
| dbh > 30 | 70 (100) | 2 (3) | 13 (18) | 27 (39) | 28 (40) |
| A. hippocastanum | 46 (100) | 0 (0) | 26 (56) | 9 (20) | 11 (24) |
| dbh < 30 | 5 (100) | 1 (20) | 2 (40) | 2 (40) | |
| dbh > 30 | 41 (100) | 25 (61) | 7(17) | 9 (22) | |
| P. × acerifolia | 98 (100) | 2 (2) | 4 (4) | 51 (52) | 41 (42) |
| dbh < 30 | 18 (100) | 2 (3) | 0 (0) | 15 (83) | 3 (17) |
| dbh > 30 | 80 (100) | 4 (5) | 36 (45) | 38 (47) | |
| R. pseudoacacia | 65 (100) | 16 (25) | 6 (9) | 18 (28) | 25 (38) |
| dbh < 30 | 7 (100) | 2 (29) | 1 (14) | 0 (0) | 4 (35) |
| dbh > 30 | 58 (100) | 14 (24) | 5 (9) | 18 (31) | 21 (36) |
| T. cordata | 228 (100) | 2 (1) | 26 (12) | 190 (83) | 10 (4) |
| dbh < 30 | 51 (100) | 2 (1) | 1 (2) | 50 (98) | 10 (6) |
| dbh > 30 | 177 (100) | 25 (14) | 140 (79) |
| Variable | Estimate | e (Estimate) | Effect (%) | p-Value |
|---|---|---|---|---|
| Cylindrical shape | ||||
| Intercept | −2.71 | ** | ||
| dbh | 0.000037 | 1.00037 | 0.0367 | |
| distance level 1 | −0.845 | 0.43 | −56.040 | . |
| tree species (A. hippocastanum) | −15.52 | 0.00000018 | −99.999 | |
| tree species (P. × acerifolia) | −0.572 | 0.565 | −43.536 | |
| tree species (R. pseudoacacia) | 2.154 | 8.616 | 761.617 | ** |
| tree species (T. cordata) | −1.873 | 0.154 | −84.628 | . |
| Half-ellipsoid shape | ||||
| Intercept | −4.659 | *** | ||
| dbh | 0.0518 | 1.0532 | 5.319 | *** |
| distance level 1 | 1.126 | 3.083 | 208.318 | *** |
| tree species (A. hippocastanum) | 2.662 | 14.329 | 1332.893 | *** |
| tree species (P. × acerifolia) | −2.143 | 0.117 | −88.267 | ** |
| tree species (R. pseudoacacia) | −0.977 | 0.376 | −62.416 | . |
| tree species (T. cordata) | 0.231 | 1.260 | 25.994 | |
| Ovoid shape | ||||
| Intercept | 2.547 | *** | ||
| dbh | −0.0491 | 0.952 | −4.792 | *** |
| distance level 1 | −1.119 | 0.327 | −67.345 | *** |
| tree species (A. hippocastanum) | −0.962 | 0.382 | −61.806 | * |
| tree species (P. × acerifolia) | 0.263 | 1.302 | 30.18 | |
| tree species (R. pseudoacacia) | −0.639 | 0.528 | −47.226 | . |
| tree species (T. cordata) | 1.284 | −3.609 | 260.937 | *** |
| Spherical shape | ||||
| Intercept | −2.162 | *** | ||
| dbh | 0.0215 | 1.021 | 2.174 | * |
| distance level 1 | 0.853 | 2.347 | 134.665 | ** |
| tree species (A. hippocastanum) | −2.151 | 0.116 | −88.368 | ** |
| tree species (P. × acerifolia) | 0.536 | 1.709 | 70.925 | |
| tree species (R. pseudoacacia) | 0.0981 | 1.103 | 10.302 | |
| tree species (T. cordata) | −2.009 | 0.134 | −86.596 | *** |
Publisher’s Note: MDPI stays neutral with regard to jurisdictional claims in published maps and institutional affiliations. |
© 2022 by the authors. Licensee MDPI, Basel, Switzerland. This article is an open access article distributed under the terms and conditions of the Creative Commons Attribution (CC BY) license (https://creativecommons.org/licenses/by/4.0/).
Share and Cite
Franceschi, E.; Moser-Reischl, A.; Rahman, M.A.; Pauleit, S.; Pretzsch, H.; Rötzer, T. Crown Shapes of Urban Trees-Their Dependences on Tree Species, Tree Age and Local Environment, and Effects on Ecosystem Services. Forests 2022, 13, 748. https://doi.org/10.3390/f13050748
Franceschi E, Moser-Reischl A, Rahman MA, Pauleit S, Pretzsch H, Rötzer T. Crown Shapes of Urban Trees-Their Dependences on Tree Species, Tree Age and Local Environment, and Effects on Ecosystem Services. Forests. 2022; 13(5):748. https://doi.org/10.3390/f13050748
Chicago/Turabian StyleFranceschi, Eleonora, Astrid Moser-Reischl, Mohammad A. Rahman, Stephan Pauleit, Hans Pretzsch, and Thomas Rötzer. 2022. "Crown Shapes of Urban Trees-Their Dependences on Tree Species, Tree Age and Local Environment, and Effects on Ecosystem Services" Forests 13, no. 5: 748. https://doi.org/10.3390/f13050748
APA StyleFranceschi, E., Moser-Reischl, A., Rahman, M. A., Pauleit, S., Pretzsch, H., & Rötzer, T. (2022). Crown Shapes of Urban Trees-Their Dependences on Tree Species, Tree Age and Local Environment, and Effects on Ecosystem Services. Forests, 13(5), 748. https://doi.org/10.3390/f13050748

