Response of Leaf Functional Traits of Landscape Plants to Urban Green Space Environment in Lanzhou, China
Abstract
:1. Introduction
2. Materials and Methods
2.1. Study Site and Plants Selection
2.2. Field Sampling
2.3. Measurements of Leaf Functional Traits
2.4. Data Analysis
3. Results
3.1. The Sensitivity of Landscape Plants to the Different Environments
3.2. Differences of Leaf Functional Traits of Eight Landscape Plants in the Urban Green Space Environment
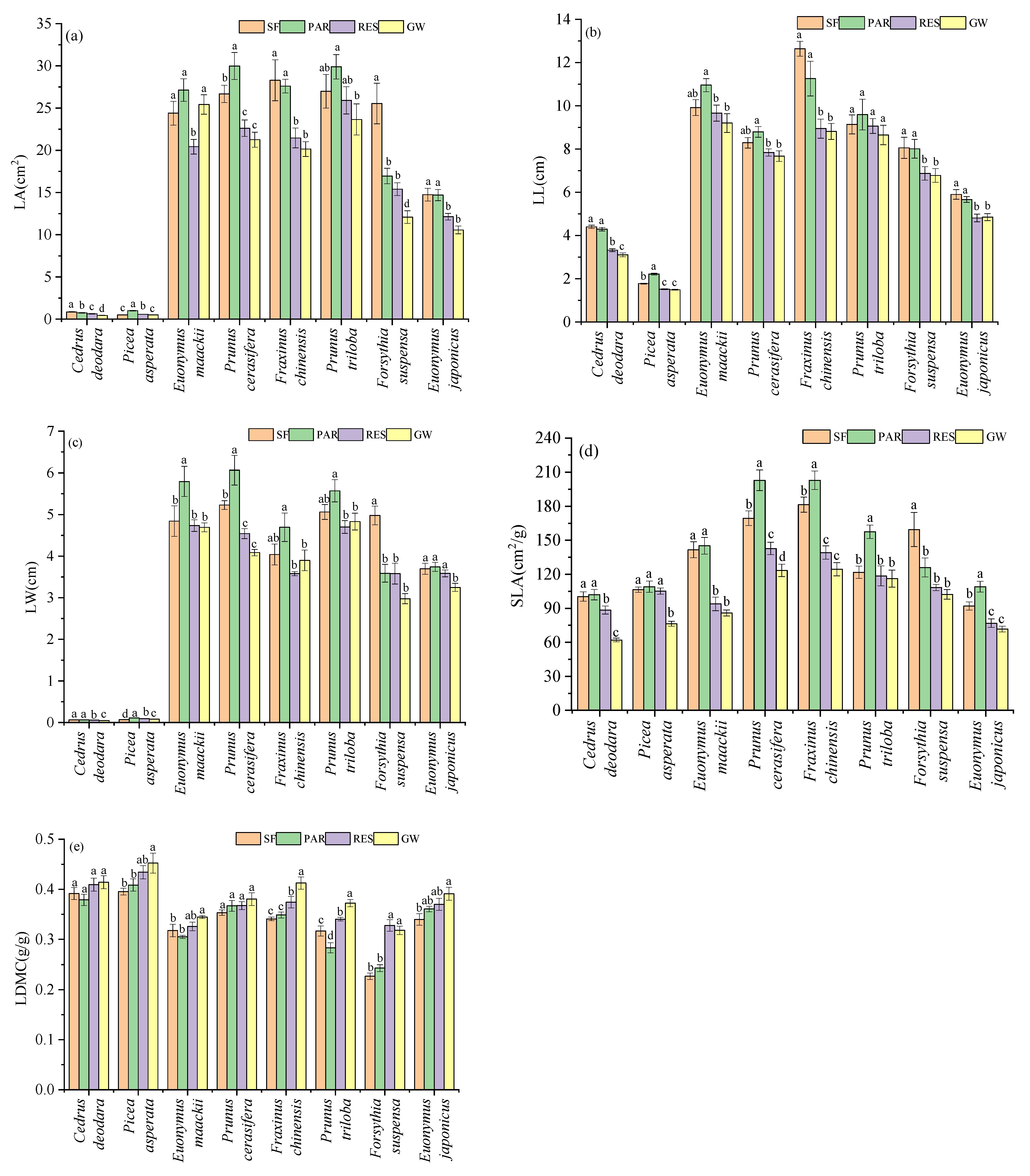
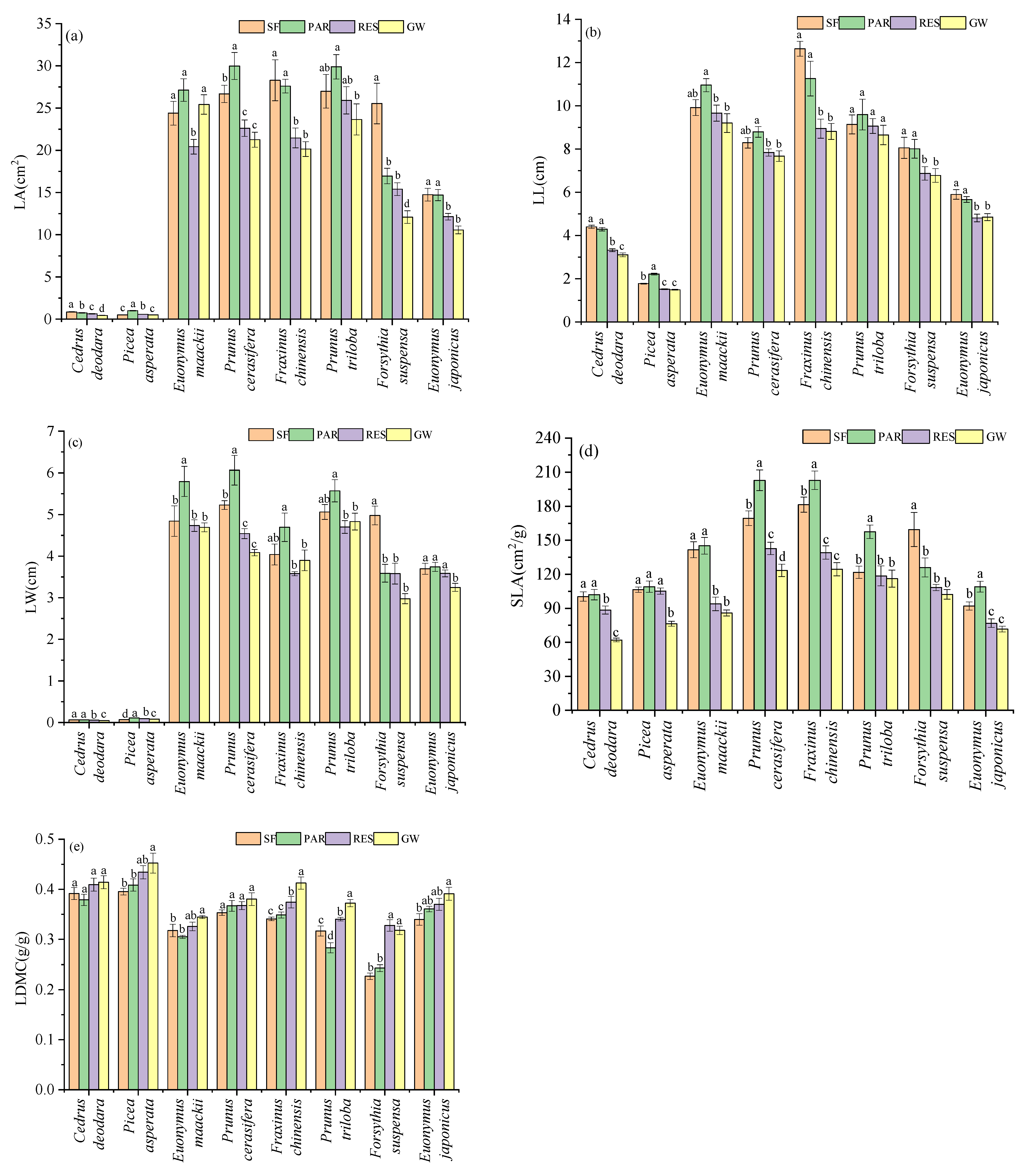
3.2.1. Leaf Morphological Traits in the Different Green Space Environment
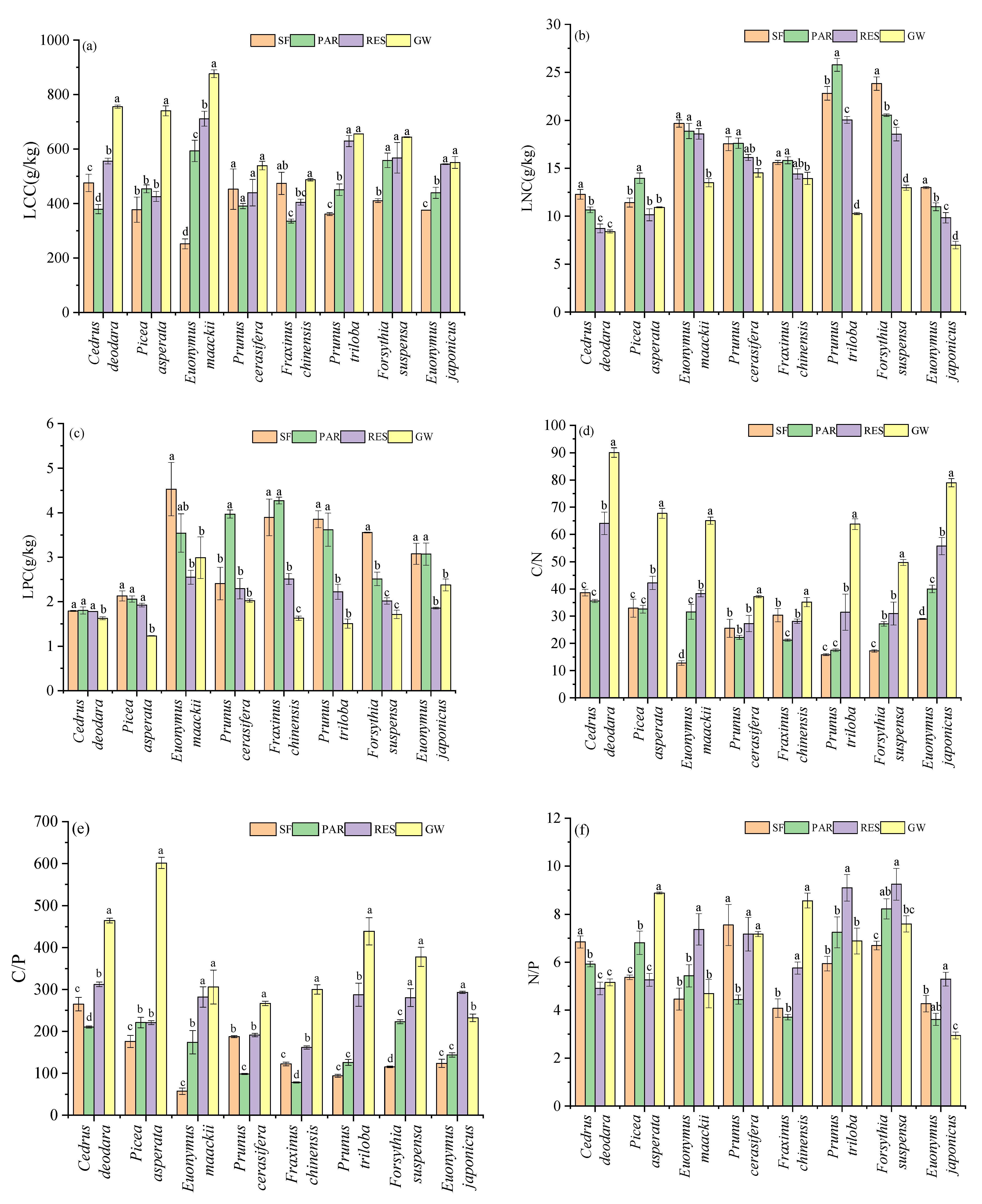
3.2.2. Leaf Nutrient and Stoichiometric Traits in Different Green Space Environments
3.2.3. Coefficient of Variation and Plasticity Index of Leaf Morphology and Leaf Nutrient Traits of Eight Landscape Plants in Four Green Space Environments
3.2.4. The Relationship of Leaf Morphological and Leaf Nutrient Traits in Different Green Space Environments
4. Discussion
4.1. The Adaptabilities of Landscape Plants to the Different Green Space Environments
4.2. The Difference in Leaf Functional Traits of Eight Landscape Plants in Four Growing Environments
4.3. The Trade-Off Relationship between Leaf Functional Traits of Eight Landscape Plants in Four Green Space Environments
5. Conclusions
Author Contributions
Funding
Institutional Review Board Statement
Informed Consent Statement
Data Availability Statement
Acknowledgments
Conflicts of Interest
References
- Song, G.M.; Wang, J.; Han, T.T.; Wang, Q.; Ren, H.; Zhu, H.X.; Wen, X.Y.; Hui, D.F. Changes in plant functional traits and their relationships with environmental factors along an urban-rural gradient in Guangzhou. Ecol. Indic. 2019, 106, 105558. [Google Scholar] [CrossRef]
- Koch, N.M.; Matos, P.; Branquinho, C.; Pinho, P.; Lucheta, F.; de Azevedo Martins, S.M.; Vargas, V.M.F. Selecting lichen functional traits as ecological indicators of the effects of urban environment. Sci. Total Environ. 2019, 654, 705–713. [Google Scholar] [CrossRef] [PubMed]
- Razzaghmanesh, M.; Beecham, S.; Salemi, T. The role of green roofs in mitigating Urban Heat Island effects in the metropolitan area of Adelaide, South Australia. Urban For. Urban Green. 2016, 15, 89–102. [Google Scholar] [CrossRef]
- Nor, A.N.M.; Abdyllah, S.A. Developing urban green space classification system using Multi-Criteria: The case of Kuala Lumpur City, Malaysia. J. Landsc. Ecol. 2019, 12, 16–36. [Google Scholar] [CrossRef] [Green Version]
- Peña-Salmón, C.; Leyva-Camacho, O.; Rojas-Caldelas, R.; Alonso-Navarrete, A.P.; Iñiguez-Ayón, C. The identification and classification of green areas for urban planning using multispectral images at Baja California, Mexico. WIT Trans. Ecol. Environ. 2014, 191, 611–621. [Google Scholar]
- Xie, Z.X.; Zhang, B.; She, X.L.; Hao, L. The summer cooling effect and its influencing factors of urban green spaces in Shanghai. Acta Ecol. Sin. 2020, 40, 6749–6760. [Google Scholar]
- Millard, A. Semi-natural vegetation and its relationship to designated urban green space at the landscape scale in Leeds, UK. Landsc. Ecol. 2008, 23, 1231–1241. [Google Scholar] [CrossRef]
- Dinnie, E.; Brown, K.M.; Morris, S. Community, cooperation and conflict: Negotiating the social well-being benefits of urban green space experiences. Lands. Urban Plan. 2013, 112, 1–9. [Google Scholar] [CrossRef]
- Beyer, K.M.M.; Kaltenbach, A.; Szabo, A.; Bogar, S.; Nieto, F.J.; Malecki, K.M. Exposure to neighborhood green space and mental health: Evidence from the survey of the health of Wisconsin. Int. J. Environ. Res. Public Health 2014, 11, 3453–3472. [Google Scholar] [CrossRef] [Green Version]
- Threlfall, C.G.; Ossola, A.; Hahs, A.K.; Williams, N.S.G.; Wilson, L.; Livesley, S.J. Variation in vegetation structure and composition across urban green space types. Front. Ecol. Evol. 2016, 4, 1–12. [Google Scholar] [CrossRef] [Green Version]
- Wang, B.Y.; Liu, Z.C.; Mei, Y.T.; Li, W.J. Assessment of ecosystem service quality and its correlation with landscape patterns in Haidian district, Beijing. Int. J. Environ. Res. Public Health 2019, 16, 1248. [Google Scholar] [CrossRef] [Green Version]
- Faucon, M.P.; Houben, D.; Lambers, H. Plant functional traits: Soil and ecosystem services. Trends Plant Sci. 2017, 22, 385–392. [Google Scholar] [CrossRef] [PubMed]
- Esperon-Rodriguez, M.; Rymer, P.D.; Power, S.A.; Challis, A.; Marchin, R.M.; Tjoelker, M.G. Functional adaptations and trait plasticity of urban trees along a climatic gradient. Urban For. Urban Green. 2020, 54, 126771. [Google Scholar] [CrossRef]
- Zhang, J.T.; Fan, L.; Li, M. Functional diversity in plant communities: Theory and analysis methods. Afr. J. Biotechnol. 2012, 11, 1014–1022. [Google Scholar]
- Alia, A.M.; Darvishzadeh, R.; Skidmore, A.K.; Duren, I.V.; Heiden, U.; Heurich, M. Estimating leaf functional traits by inversion of PROSPECT: Assessing leaf dry matter content and specific leaf area in mixed mountainous forest. Int. J. Appl. Earth Obs. Geoinf. 2016, 45, 66–76. [Google Scholar] [CrossRef] [Green Version]
- Vendramini, F.; Díaz, S.; Gurvich, D.E.; Wilson, P.J.; Thompson, K.; Hodgson, J.G. Leaf traits as indicators of resource strategy in floras with succulent species. New Phytol. 2002, 154, 147–157. [Google Scholar] [CrossRef]
- Arena, C.; Maio, A.D.; Nicola, F.D.; Santorufo, L.; Vital, L.; Maisto, G. Assessment of eco-physiological performance of Quercus ilex L. leaves in urban area by an integrated approach. Water Air Soil Pollut. 2014, 225, 1–12. [Google Scholar] [CrossRef]
- Li, J.X.; He, J.; Sun, Y.M.; Zhao, A.; Tian, Q. Physiological and ecological responses of ten garden plant functional traits to air pollution. Ecol. Environ. Sci. 2020, 29, 1205–1214. [Google Scholar]
- Li, S.J.; Wang, H.; Gou, W.; White, J.F.; Kingsley, K.L.; Wu, G.Q.; Su, P.X. Leaf functional traits of dominant desert plants in the Hexi Corridor, Northwest China: Trade-off relationships and adversity strategies. Glob. Ecol. Conserv. 2021, 28, e01666. [Google Scholar] [CrossRef]
- Ivanovaa, L.A.; Zolotarevac, N.V.; Ronzhinaa, D.A.; Podgaevskayac, E.N.; Migalinaa, S.V.; Ivanov, L.A. Leaf functional traits of abundant species predict productivity in three temperate herbaceous communities along an environmental gradient. Flora 2018, 239, 11–19. [Google Scholar] [CrossRef]
- Cebrián-Piqueras, M.A.; Trinogga, J.; Trenkamp, A.; Minden, V.; Maier, M.; Mantilla-Contreras, J. Digging into the roots: Understanding direct and indirect drivers of ecosystem service trade-offs in coastal grasslands via plant functional traits. Environ. Monit. Assess. 2021, 193 (Suppl. S1), 271. [Google Scholar] [CrossRef] [PubMed]
- Araujo da Costa, H.D.J.; Gurgel, E.S.C.; Amaral, D.D.D.; Vasconcelos, L.V.; Rebelo, L.G.B.; Teodoro, G.S. CSR ecological strategies, functional traits and trade-offs of woody species in Amazon sandplain forest. Flora 2020, 273, 151710. [Google Scholar] [CrossRef]
- Li, S.; Gou, W.; Wang, H.; White, J.F.; Wu, G.; Su, P. Trade-Off Relationships of Leaf Functional Traits of Lycium ruthenicum in Response to Soil Properties in the Lower Reaches of Heihe River, Northwest China. Diversity 2021, 13, 453. [Google Scholar] [CrossRef]
- Fu, P.L.; Zhu, S.D.; Zhang, J.L.; Finnegan, P.M.; Jiang, Y.J. The contrasting leaf functional traits between a karst forest and a nearby non-karst forest in southwest China. Funct. Plant Biol. 2019, 46, 907–915. [Google Scholar] [CrossRef] [PubMed]
- Xiong, L.; Long, C.L.; Liao, Q.L.; Xue, F. Leaf functional traits and their interrelationships of woody plants in Karst forest of Maolan. Chin. J. Appl. Environ. Biol. 2021, 27, 1–10. [Google Scholar]
- Lienin, P.; Kleyer, M. Plant trait responses to the environment and effects on ecosystem properties. Basic Appl. Ecol. 2012, 13, 301–311. [Google Scholar] [CrossRef]
- Funk, J.L.; Larson, J.E.; Ames, G.M.; Butterfield, B.J.; Cavender-Bares, J.; Firn, J.; Laughlin, D.C.; Sutton-Grier, A.E.; Williams, L.; Wright, J. Revisiting the Holy Grail: Using plant functional traits to understand ecological processes. Biol. Rev. 2016, 92, 1156–1173. [Google Scholar] [CrossRef]
- Yang, K.T.; Chen, G.P.; Li, G.; Zhang, K.; Tang, D.; Guo, Y.J. Phenotypic plasticity of the main broad-leaved greening tree species in Lanzhou. J. Northwest For. Univ. 2021, 36, 126–131. [Google Scholar]
- Ossola, A.; Hahs, A.K.; Nash, M.A.; Livesley, S.J. Habitat complexity enhances comminution and decomposition processes in urban ecosystems. Ecosystems 2016, 19, 927–941. [Google Scholar] [CrossRef]
- Zhang, J.D.; Li, S.Y.; Sun, X.Y.; Tong, J.; Fu, Z.; Li, J. Sustainability of urban soil management: Analysis of soil physicochemical properties and bacterial community structure under different green space types. Sustainability 2019, 11, 1395. [Google Scholar] [CrossRef] [Green Version]
- Ibsenl, P.C.; Borowy, D.; Rochford, M.; Swan, C.M.; Jenerette, G.D. Influence of climate and management on patterns of taxonomic and functional diversity of recreational park vegetation. Front. Ecol. Evol. 2020, 8, 501502. [Google Scholar] [CrossRef]
- Zhu, J.Y.; Zhu, H.; Cao, Y.J.; Li, J.H.; Zhu, Q.Y.; Yao, J.M.; Xu, C.Y. Effect of simulated warming on leaf functional traits of urban greening plants. BMC Plant Biol. 2020, 20, 139. [Google Scholar] [CrossRef] [PubMed]
- Andersona, P.; Charles-Dominique, T.; Ernstsond, H.; Andersson, E.; Goodnessf, J.; Elmqviste, T. Post-apartheid ecologies in the city of cape town: An examination of plant functional traits in relation to urban gradients. Landsc. Urban Plan. 2020, 193, 103662. [Google Scholar] [CrossRef]
- Moffatt, S.F.; McLachlan, S.M.; Kenkel, N.C. Impacts of land use on riparian forest along an urban-rural gradient in southern Manitoba. Plant Ecol. 2004, 174, 119–135. [Google Scholar] [CrossRef]
- Du, Q.Q.; Zhang, M.J.; Wang, S.J.; Argiriou, A.A.; Che, C.W.; Zhao, P.P.; Ma, Z.Z.; Su, P.Y. Plant water resource partitioning and xylem-to-leaf deuterium enrichment in Lanzhou, northwest China. Water Supply 2020, 20, 1127–1140. [Google Scholar] [CrossRef]
- Zhang, Y.; Zhao, F.; Wu, Y.H.; Huang, R. Selection and comprehensive quantitative evaluation of ornamental trees in Lanzhou city. J. Northwest For. Univ. 2019, 34, 255–261. [Google Scholar]
- Lanzhou Bureau of Statistics. Lanzhou Survey Team of National Bureau of Statistics. 2020 Lanzhou Statistical Yearbook; China Statistics Press: Beijing, China, 2020; pp. 197–198. [Google Scholar]
- Yang, L.; Li, Y.; Peng, K.; Wu, S. Nutrient and heavy metals in urban soils under different green space types in Anji, China. Catena 2014, 115, 39–46. [Google Scholar] [CrossRef]
- Panduro, T.E.; Veie, K.L. Classification and valuation of urban green spaces—A hedonic house price valuation. Landsc. Urban Plan. 2013, 120, 119–128. [Google Scholar] [CrossRef]
- Su, Y.B.; Renz, M.; Cui, B.W.; Ouyang, Z.Y.; Wang, X.K. Leaf morphological and nutrient traits of common woody plants change along the urban-rural gradient in Beijing, China. Front. Plant Sci. 2021, 12, 682274. [Google Scholar] [CrossRef]
- Bussotti, F.; Borghini, F.; Celesti, C.; Leonzio, C.; Bruschi, P. Leaf morphology and macronutrients in broadleaved trees in central Italy. Trees 2000, 14, 361–368. [Google Scholar] [CrossRef]
- Perez-Harguindeguy, N.; Diaz, S.; Garnier, E.; Lavorel, S.; Poorter, H.; Jaureguiberry, P.; Bret-Harte, M.S.; Cornwell, W.K.; Craine, J.M.; Gurvich, D.E.; et al. New handbook for standardised measurement of plant functional traits worldwide. Aust. J. Bot. 2013, 61, 167–234. [Google Scholar] [CrossRef]
- Lambrecht, S.C.; Mahieu, S.; Cheptou, P.O. Natural selection on plant physiological traits in an urban environment. Acta Oecol. 2016, 77, 67–74. [Google Scholar] [CrossRef]
- Liu, Z.L.; Jin, G.Z.; Qi, Y.J. Estimate of leaf area index in an old-growth mixed broadleaved-Korean Pine Forest in Northeastern China. PLoS ONE 2012, 7, e32155. [Google Scholar]
- Liu, J.T.; Gu, Z.J.; Shao, H.B.; Zhou, F.; Peng, S.Y. N–P stoichiometry in soil and leaves of Pinus massoniana forest at different stand ages in the subtropical soil erosion area of China. Environ. Earth Sci. 2016, 75, 1091. [Google Scholar] [CrossRef]
- Zang, L.P.; Xu, H.; Liu, M.X.; Zang, R.G. Patterns of local species richness and their associations with functional traits in a 60-ha tropical forest dynamics plot. Ecosphere 2019, 10, e02617. [Google Scholar] [CrossRef]
- Böhnke, M.; Bruelheide, H. How do evergreen and deciduous species respond to shade?—Tolerance and plasticity of subtropical tree and shrub species of South-East China. Environ. Exp. Bot. 2013, 13, 179–190. [Google Scholar] [CrossRef]
- Luo, L.Y.; Chen, N.; Wang, Y.L.; Wang, G.J. Response of leaf morphology and vein network traits of Phoebe bournei to urban growth environment. Acta Ecol. Sin. 2021, 41, 7838–7847. [Google Scholar]
- Zhu, J.Y.; Cao, Y.J.; He, W.J.; Qing, X.; Xu, C.Y.; Zhang, X.N. Leaf functional traits differentiation in relation to covering materials of urban tree pits. BMC Plant Biol. 2021, 21, 556. [Google Scholar] [CrossRef]
- Mckinney, M.L. Urbanization as a major cause of biotic homogenization. Biol. Conserv. 2006, 127, 247–260. [Google Scholar] [CrossRef]
- Pichancourt, J.B.; van Klinken, R.D. Phenotypic Plasticity Influences the size, shape and dynamics of the geographic distribution of an invasive plant. PLoS ONE 2012, 7, e32323. [Google Scholar] [CrossRef] [Green Version]
- Zulfahmi, Z.; Purwanto, E.; Yunus, A. Phenotypic diversity and plasticity index of Eurycoma apiculata populations in Eastern Sumatra, Indonesia based on leaves morphology. Biodiversitas 2020, 21, 2923–2934. [Google Scholar] [CrossRef]
- Ghimire, C.P.; Bruijnzeel, L.A.; Lubczynski, M.W.; Zwartendijk, B.W.; Odongo, V.O.; Ravelona, M.; van Meerveld, H. Transpiration and stomatal conductance in a young secondary tropical montane forest: Contrasts between native trees and invasive understorey shrubs. Tree Physiol. 2018, 38, 1053–1070. [Google Scholar] [CrossRef] [PubMed]
- Zirbel, C.R.; Bassett, T.; Grman, E.; Brudvig, L.A. Plant functional traits and environmental conditions shape community assembly and ecosystem functioning during restoration. J. Appl. Ecol. 2017, 54, 1070–1079. [Google Scholar] [CrossRef] [Green Version]
- Zhao, X.W.; Wang, Y.F.; Ma, W.M. The relationship of transpiration rate with leaf characters of Thermopsis lanceolate in different slopes of an alpine meadow. Acta Ecol. Sin. 2019, 39, 2494–2500. [Google Scholar]
- Perrin, P.M.; Mitchell, F.J.G. Effects of shade on growth, biomass allocation and leaf morphology in European yew (Taxus baccata L.). Eur. J. For. Res. 2013, 132, 211–218. [Google Scholar] [CrossRef]
- Longuetaud, F.; Piboule, A.; WernsdÖrfer, H.; Collet, C. Crown plasticity reduces inter-tree competition in a mixed broadleaved forest. Eur. J. For. Res. 2013, 132, 621–634. [Google Scholar] [CrossRef]
- Van De Peer, T.; Verheyen, K.; Kint, V.; Van Cleemput, E.; Muys, B. Plasticity of tree architecture through interspecific and intraspecific competition in a young experimental plantation. For. Ecol. Manag. 2017, 385, 1–9. [Google Scholar] [CrossRef]
- Dao, R.N.; Song, Y.T.; Wu, Y.N.; Huo, G.W.; Wang, X.M.; Xu, Z.C. Response of plant leaf traits to grazing intensity in Stipa krylovii steppe. Chin. J. Appl. Ecol. 2016, 27, 2231–2238. [Google Scholar]
- Wilson, P.J.; Thompson, K.; Hodgson, J.G. Specific leaf area and leaf dry matter content as alternative predictors of plant strategies. New Phytol. 1999, 143, 155–162. [Google Scholar] [CrossRef]
- Fvans, J.R.; Poorter, H. Photosynthetic acclimation of plants to growth irradiance: The relative importance of specific leaf area and nitrogen partitioning in maximizing carbon gain. Plant Cell Environ. 2001, 24, 755–767. [Google Scholar]
- Wright, I.J.; Reich, P.B.; Westoby, M.; Ackerly, D.D.; Baruch, Z.; Bongers, F.; Villar, R. The worldwide leaf economics spectrum. Nature 2004, 428, 821–827. [Google Scholar] [CrossRef] [PubMed]
- Agnieszka, B.; Andrzej, W.; Adrian, L.; Slawomir, S.; Mieczysław, T. The effects of tree and stand traits on the specific leaf area in different age managed scots Pine forests. Forests 2021, 12, 396. [Google Scholar]
- Qin, J.; Shangguan, Z.P. Effects of forest types on leaf functional traits and their interrelationships of Pinus massoniana coniferous and broad-leaved mixed forests in the subtropical mountain, Southeastern China. Ecol. Evol. 2019, 9, 6922–6932. [Google Scholar] [CrossRef] [PubMed] [Green Version]
- Herben, T.; Klimešová, J.; Chytrý, M. Effects of disturbance frequency and severity on plant traits: An assessment across a temperate flora. Funct. Ecol. 2018, 32, 799–808. [Google Scholar] [CrossRef]
- Sardans, J.; Rivas-Ubach, A.; Peñuelas, J. The C: N:P stoichiometry of organisms and ecosystems in a changing world: A review and perspectives. Perspect. Plant Ecol. Evol. Syst. 2012, 14, 33–47. [Google Scholar] [CrossRef]
- Wang, S.; Shan, L.S.; Li, Y.; Zhang, Z.Z.; Ma, J. Effect of precipitation on the stoichiometric characteristics of carbon, nitrogen and phosphorus of Reaumuria soongarica and Salsola passering. Acta Bot. Boreal-Occident Sin. 2020, 40, 335–344. [Google Scholar]
- Bloomfield, K.J.; Farquhar, G.D.; Lloyd, J. Photosynthesis–nitrogen relationships in tropical forest tree species as affected by soil phosphorus availability: A controlled environment study. Funct. Plant Biol. 2014, 41, 820–832. [Google Scholar] [CrossRef]
- Lukaszuk, E.; Rys, M.; Możdżeń, K.; Stawoska, I.; Skoczowski, A.; Ciereszko, I. Photosynthesis and sucrose metabolism in leaves of Arabidopsis thaliana aos, ein4 and rcd1 mutants as affected by wounding. Acta Physiol. Plant. 2017, 39, 1–12. [Google Scholar] [CrossRef] [Green Version]
- Reyes, T.H.; Scartazza, A.; Pompeiano, A.; Ciurli, A.; Lu, Y.; Guglielminetti, L.; Yamaguchi, J. Nitrate reductase modulation in response to changes in C/N balance and nitrogen source in Arabidopsis. Plant Cell Physiol. 2018, 59, 1248–1254. [Google Scholar] [CrossRef] [Green Version]
- Cross, W.F.; Benstead, J.P.; Frost, P.C.; Thomas, S.A. Ecological stoichiometry in freshwater benthic systems: Recent progress and perspectives. Freshw. Biol. 2005, 50, 1895–1912. [Google Scholar] [CrossRef]
- Cao, J.J.; Wang, X.Y.; Adamowski, J.F.; Biswas, A.; Liu, C.F.; Chang, Z.Q.; Feng, Q. Response of leaf stoichiometry of Oxytropis ochrocephala to elevation and slope aspect. Catena 2020, 194, 104772. [Google Scholar] [CrossRef]
- Wang, H.B.; Xu, X.; Yang, W.Q.; Cao, R.; Wang, Z.H.; Zheng, B.Q.; Lü, H.C.; Liu, T.T. The ecological stoichiometry of carbon, nitrogen and phosphorus in urban garden plants with different life forms and its response to typhoon Hagupit. Acta Ecol. Sin. 2021, 41, 8931–8938. [Google Scholar]
- Wang, Y.J.; Yu, S.S. Ecological stoichiometric characteristics of plants, litter and soils of urban green plants. Acta Bot. Boreal-Occident. Sin. 2017, 37, 171–180. [Google Scholar]
- Yang, Y.; Luo, Y.; Meng, L.; Han, W. Terrestrial stoichionmetry response elevated CO2 and N addition: A synthesis meta-analyses. Plant Soil 2011, 343, 393–400. [Google Scholar] [CrossRef]
- Francinia, G.; Hui, N.; Jumpponen, A.; Kotze, D.J.; Romantschuk, M.; Allen, J.A.; Setälä, H. Soil biota in boreal urban greenspace: Responses to plant type and age. Soil Biol. Biochem. 2018, 118, 145–155. [Google Scholar] [CrossRef] [Green Version]
- Li, J.Y.; Guo, Q.X.; Zhang, J.X.; Korpelainen, H.; Li, C.Y. Effects of nitrogen and phosphorus supply on growth and physiological traits of two Larix species. Environ. Exp. Bot. 2016, 130, 206–215. [Google Scholar] [CrossRef]
- Güsewell, S. N:P ratios in terrestrial plants: Variation and functional significance. New Phytol. 2004, 164, 243–266. [Google Scholar] [CrossRef]
- Zhu, R.Q.; Liu, M.L.; Li, G.; Kang, H.M.; Yang, T.; Wang, Y. Responses of leaf functional traits of Reaumuria soongoricain two different desert habitats. J. Northwest For. Univ. 2020, 35, 29–34. [Google Scholar]
- Yang, K.T.; Chen, G.P.; Li, G.; Yu, X.X.; Zhang, K.; Tang, D.; Zhang, W.X.; Guo, Y.J. Trade-off among leaf traits of typical greening tree species in Lanzhou. Chin. J. Ecol. 2020, 39, 1518–1526. [Google Scholar]
- Yu, G.R.; Li, X.R.; Wang, Q.F.; Li, S.G. Carbon storage its spatial pattern of terrestrial ecosystem in China. J. Resour. Ecol. 2010, 1, 97–109. [Google Scholar]
- Wu, L.L.; Kang, H.Z.; Zhuang, H.L.; Liu, C.J. Various of Quercus variabilis leaf traits in relation to climatic factirs at regional scale. Chin. J. Ecol. 2010, 29, 2309–2316. [Google Scholar]
- Ianovici, N.; Veres, M.; Catrina, R.G.; Pîrvulescu, A.M.; Tănase, R.M.; Datcu, D.A. Methods of biomonitoring in urban environment: Leaf area and fractal dimension. Ann. West Univ. Timiş. Ser. Biol. 2015, XVIII, 169–178. [Google Scholar]
- Liu, X.J.; Shan, Q.; Li, Y.Y. Leaf carbon, nitrogen and phosphorus stoichiometry in 72 understory plants in Kanastaiga. Ecol. Environ. Sci. 2020, 29, 1302–1309. [Google Scholar]





| Type | Definition | Condition of Fertilization | Condition of Irrigation | Condition of Pesticide Use | Disturbance | Condition of Pruning | ||
|---|---|---|---|---|---|---|---|---|
| Frequency | Fertilizer | Frequency | Water | |||||
| Sport field (SF) | This green space is located at schools or institutions, which provide a place for rest and entertainment for staff members or students. These areas often form a square and are outlined by trees. | Three times a year | Organic compound fertilizer | Once every 2 to 3 days | Tap water | Six times a year | 0~50 people pass through the green space every day | No pruning for all trees; Once a year for shrubs |
| Park (PAR) | This green space is open to the public, with recreation as its primary function. The maintenance is high, and the vegetation is well-kept. There are footpaths and service facilities in the green area, through which people can enjoy different features and exercise. | Three times a year | Organic compound fertilizer | Once every 2 to 3 days | Tap water | Six times a year | More than 500 people pass through the green space every day | |
| Residential green space (RES) | This green space is a small park planted with shrubs and trees, equipped with a playground, and located in a residential area. Children and adults always use it. | Once a year | Organic compound fertilizer | Once every 4 to 5 days | Tap water | Four times a year | More than 300 people pass through the green space every day | |
| Greenway (GW) | Greenway is an area of vegetation along a major urban road, which serves to buffer people from traffic, screen noise and solar radiation. It is designed to increase the area of urban green space and improve the urban environment. | Once a year | Organic compound fertilizer | Three times a year for trees; once a month for shrub | Tap water | Four times a year | More than 500 people and 500 vehicles pass through the green space every day | |
| Trees | Family | Genera | Breast Diameter/cm | Height/m | Canopy Diameter/m | Life Type |
|---|---|---|---|---|---|---|
| Cedrus deodara (Roxb. ex Lamb.) G. Don | Pinaceae | Cedrus | 11.9~13.7 | 8.9~12.3 | 5.9~7.4 | Evergreen tree |
| Picea asperata Mast | Pinaceae | Picea | 9.0~11.7 | 5.0~7.4 | 3.5~5.3 | Evergreen tree |
| Euonymus meaackii Rupr | Celastraceae | Euonymus | 9.7~11.0 | 6.4~7.1 | 4.2~5.8 | Deciduous tree |
| Prunus cerasifera f. atropurp-urea (Jacq.) Rehd | Rosaceae | Prunus | 10.7~12.7 | 5.6~5.9 | 2.8~3.5 | Deciduous tree |
| Fraxinus chinensis Roxb | Oleaceae | Fraxinus | 12.8~14.9 | 7.3–8.6 | 4.9~5.2 | Deciduous tree |
| Prunus triloba (Lindl.) Ricker | Rosaceae | Prunus | / | 2.4~2.6 | 2.6~3.1 | Deciduous shrub |
| Forsythia suspensa (Thunb.) Vahl | Oleaceae | Forsythia | / | 2.6~3.2 | 2.5~2.8 | Deciduous shrub |
| Euonymus japonicus Thunb. | Celastraceae | Euonymus | / | 1.0~1.3 | 1.1~1.4 | Evergreen shrub |
| LA | LL | LW | SLA | LDMC | LCC | LNC | LPC | C/N | C/P | N/P | ||
|---|---|---|---|---|---|---|---|---|---|---|---|---|
| Environment | F | 5.40 | 0.51 | 7.13 | 19.94 | 35.85 | 141.67 | 226.86 | 68.44 | 546.20 | 394.53 | 15.04 |
| P | 0.002 | 0.677 | <0.001 | <0.001 | <0.001 | <0.001 | <0.001 | <0.001 | <0.001 | <0.001 | <0.001 | |
| Plants | F | 60.48 | 28.93 | 138.21 | 16.49 | 62.22 | 18.56 | 257.60 | 25.72 | 124.26 | 51.68 | 34.92 |
| P | <0.001 | <0.001 | <0.001 | <0.001 | <0.001 | <0.001 | <0.001 | <0.001 | <0.001 | <0.001 | <0.001 | |
| Environment × Plants | F | 0.81 | 1.34 | 1.42 | 0.94 | 2.13 | 13.08 | 21.42 | 5.87 | 19.88 | 20.05 | 11.47 |
| P | 0.700 | 0.183 | 0.141 | 0.549 | 0.011 | <0.001 | <0.001 | <0.001 | <0.001 | <0.001 | <0.001 |
| Traits | Species | Coefficient of Variation (CV/%) | Plasticity Index (PI) | ||||||
|---|---|---|---|---|---|---|---|---|---|
| SF | PAR | RES | GW | SF | PAR | RES | GW | ||
| Leaf morphology | Cedrus deodara | 25.106 | 25.941 | 25.088 | 23.422 | 0.674 | 0.722 | 0.656 | 0.623 |
| Picea asperata | 14.636 | 26.488 | 16.092 | 17.713 | 0.474 | 0.732 | 0.534 | 0.539 | |
| Euonymus maackii | 28.461 | 21.913 | 22.002 | 16.893 | 0.678 | 0.524 | 0.615 | 0.439 | |
| Prunus cerasifera | 15.546 | 23.391 | 16.500 | 18.657 | 0.461 | 0.559 | 0.466 | 0.562 | |
| Fraxinus chinensis | 24.425 | 25.348 | 20.869 | 24.594 | 0.547 | 0.604 | 0.575 | 0.659 | |
| Prunus triloba | 25.519 | 26.646 | 23.776 | 28.065 | 0.637 | 0.650 | 0.590 | 0.658 | |
| Forsythia suspensa | 35.341 | 28.756 | 24.539 | 23.883 | 0.743 | 0.678 | 0.632 | 0.626 | |
| Euonymus japonicus | 21.744 | 17.148 | 19.020 | 19.171 | 0.639 | 0.526 | 0.543 | 0.561 | |
| Mean | 23.847 | 24.454 | 20.986 | 21.550 | 0.607 | 0.624 | 0.576 | 0.583 | |
| Leaf nutrient | Cedrus deodara | 7.060 | 4.716 | 6.054 | 3.043 | 0.125 | 0.083 | 0.107 | 0.057 |
| Picea asperata | 12.024 | 7.988 | 7.448 | 2.536 | 0.197 | 0.140 | 0.133 | 0.046 | |
| Euonymus maackii | 15.233 | 16.265 | 9.717 | 13.945 | 0.247 | 0.262 | 0.171 | 0.226 | |
| Prunus cerasifera | 17.649 | 4.880 | 13.287 | 3.590 | 0.284 | 0.091 | 0.224 | 0.066 | |
| Fraxinus chinensis | 12.040 | 3.656 | 6.059 | 5.903 | 0.207 | 0.068 | 0.112 | 0.107 | |
| Prunus triloba | 6.026 | 10.172 | 8.854 | 7.029 | 0.109 | 0.175 | 0.155 | 0.117 | |
| Forsythia suspensa | 3.580 | 6.892 | 12.396 | 5.944 | 0.064 | 0.122 | 0.222 | 0.103 | |
| Euonymus japonicus | 7.936 | 8.335 | 4.418 | 6.949 | 0.138 | 0.150 | 0.081 | 0.127 | |
| Mean | 10.193 | 7.863 | 8.529 | 6.117 | 0.171 | 0.136 | 0.151 | 0.106 | |
| LA | LL | LW | SLA | LDMC | LCC | LNC | LPC | C/N | C/P | ||
|---|---|---|---|---|---|---|---|---|---|---|---|
| LL | SF | 0.794 ** | |||||||||
| PAR | 0.808 ** | ||||||||||
| RES | 0.802 ** | ||||||||||
| GW | 0.670 ** | ||||||||||
| LW | SF | 0.848 ** | 0.721 ** | ||||||||
| PAR | 0.937 ** | 0.697 ** | |||||||||
| RES | 0.914 ** | 0.843 ** | |||||||||
| GW | 0.877 ** | 0.761 ** | |||||||||
| SLA | SF | 0.709 ** | 0.681 ** | 0.579 ** | |||||||
| PAR | 0.778 ** | 0.620 ** | 0.632 ** | ||||||||
| RES | 0.423 * | 0.185 | 0.290 | ||||||||
| GW | 0.645 ** | 0.335 | 0.546 ** | ||||||||
| LDMC | SF | −0.561 ** | −0.348 | −0.599 ** | −0.257 | ||||||
| PAR | −0.477 * | −0.504 * | −0.470 * | −0.081 | |||||||
| RES | −0.687 ** | −0.699 ** | −0.792 ** | −0.045 | |||||||
| GW | −0.478 * | −0.439 * | −0.533 ** | −0.241 | |||||||
| LCC | SF | −0.131 | −0.039 | −0.205 | 0.132 | 0.171 | |||||
| PAR | 0.090 | 0.147 | 0.189 | −0.286 | −0.568 ** | ||||||
| RES | 0.178 | 0.292 | 0.337 | −0.401 | −0.578 ** | ||||||
| GW | −0.140 | −0.320 | −0.255 | −0.455 * | −0.094 | ||||||
| LNC | SF | 0.654 ** | 0.527 ** | 0.728 ** | 0.326 | −0.789 ** | −0.184 | ||||
| PAR | 0.668 ** | 0.514 * | 0.607 ** | 0.383 | −0.738 ** | 0.388 | |||||
| RES | 0.781 ** | 0.583 ** | 0.759 ** | 0.331 | −0.762 ** | 0.404 * | |||||
| GW | 0.557 ** | 0.088 | 0.438 * | 0.568 ** | −0.293 | −0.071 | |||||
| LPC | SF | 0.560 ** | 0.702 ** | 0.597 ** | 0.260 | −0.514 * | −0.275 | 0.623 ** | |||
| PAR | 0.874 ** | 0.772 ** | 0.772 ** | 0.762 ** | −0.218 | −0.142 | 0.433 * | ||||
| RES | 0.545 ** | 0.578 ** | 0.536 ** | 0.409 * | −0.477 * | 0.168 | 0.549 ** | ||||
| GW | 0.444 * | 0.545 ** | 0.478 * | −0.081 | −0.428 * | 0.276 | 0.138 | ||||
| C/N | SF | −0.621 ** | −0.472 * | −0.722 ** | −0.240 | 0.662 ** | 0.697 ** | −0.815 ** | −0.627 ** | ||
| PAR | −0.671 ** | −0.506 * | −0.536 ** | −0.689 ** | 0.387 | 0.238 | −0.766 ** | −0.590 ** | |||
| RES | −0.698 ** | −0.401 | −0.586 ** | −0.600 ** | 0.432 * | 0.234 | −0.771 ** | −0.535 ** | |||
| GW | −0.554 ** | −0.244 | −0.527 ** | −0.732 ** | 0.208 | 0.545 ** | −0.861 ** | 0.054 | |||
| C/P | SF | −0.571 ** | −0.550 ** | −0.658 ** | −0.199 | 0.568 ** | 0.622 ** | −0.587 ** | −0.849 ** | 0.815 ** | |
| PAR | −0.720 ** | −0.575 ** | −0.621 ** | −0.744 ** | −0.044 | 0.528 ** | −0.201 | −0.900 ** | 0.562 ** | ||
| RES | −0.212 | −0.104 | −0.071 | −0.629 ** | −0.187 | 0.765 ** | −0.044 | −0.494 * | 0.677 ** | ||
| GW | −0.551 ** | −0.761 ** | −0.681 ** | −0.283 | 0.431 * | 0.447 * | −0.211 | −0.700 ** | 0.316 | ||
| N/P | SF | −0.025 | −0.252 | −0.024 | 0.067 | −0.069 | 0.145 | 0.192 | −0.599 ** | −0.029 | 0.527 ** |
| PAR | −0.251 | −0.284 | −0.216 | −0.369 | −0.468 * | 0.456 * | 0.482 * | −0.561 ** | −0.174 | 0.686 ** | |
| RES | 0.638 ** | 0.368 | 0.605 ** | 0.174 | −0.632 ** | 0.333 | 0.877 ** | 0.087 | −0.647 ** | 0.184 | |
| GW | −0.009 | −0.427 * | −0.140 | 0.412 * | 0.237 | −0.211 | 0.566 ** | −0.698 ** | −0.613 ** | 0.506 * |
Publisher’s Note: MDPI stays neutral with regard to jurisdictional claims in published maps and institutional affiliations. |
© 2022 by the authors. Licensee MDPI, Basel, Switzerland. This article is an open access article distributed under the terms and conditions of the Creative Commons Attribution (CC BY) license (https://creativecommons.org/licenses/by/4.0/).
Share and Cite
Huang, R.; Tian, Q.; Zhang, Y.; Wu, Y.; Li, Z.; Tang, Z.; Zhou, A. Response of Leaf Functional Traits of Landscape Plants to Urban Green Space Environment in Lanzhou, China. Forests 2022, 13, 682. https://doi.org/10.3390/f13050682
Huang R, Tian Q, Zhang Y, Wu Y, Li Z, Tang Z, Zhou A. Response of Leaf Functional Traits of Landscape Plants to Urban Green Space Environment in Lanzhou, China. Forests. 2022; 13(5):682. https://doi.org/10.3390/f13050682
Chicago/Turabian StyleHuang, Rong, Qing Tian, Yue Zhang, Yonghua Wu, Zizhen Li, Zitong Tang, and Anyue Zhou. 2022. "Response of Leaf Functional Traits of Landscape Plants to Urban Green Space Environment in Lanzhou, China" Forests 13, no. 5: 682. https://doi.org/10.3390/f13050682
APA StyleHuang, R., Tian, Q., Zhang, Y., Wu, Y., Li, Z., Tang, Z., & Zhou, A. (2022). Response of Leaf Functional Traits of Landscape Plants to Urban Green Space Environment in Lanzhou, China. Forests, 13(5), 682. https://doi.org/10.3390/f13050682

