Next Article in Journal
Seedling Growth and Quality of Avicennia marina (Forssk.) Vierh. under Growth Media Composition and Controlled Salinity in an Ex Situ Nursery
Previous Article in Journal
Response of Leaf Functional Traits of Landscape Plants to Urban Green Space Environment in Lanzhou, China
Previous Article in Special Issue
Anthropometrics Parameters of the Adult Population as Ergonomics Modifier for the Chainsaw Handle
 
 
Font Type:
Arial Georgia Verdana
Font Size:
Aa Aa Aa
Line Spacing:
Column Width:
Background:
Article

Use of Battery- vs. Petrol-Powered Chainsaws in Forestry: Comparing Performances on Cutting Time

1
Department of Agriculture, Food, Environment and Forestry—DAGRI, University of Florence, Via San Bonaventura 13, 50145 Florence, Italy
2
Department of Agricultural, Food and Forest Sciences—SAAF, University of Palermo, Viale delle Scienze ed, 4, 90128 Palermo, Italy
*
Author to whom correspondence should be addressed.
Forests 2022, 13(5), 683; https://doi.org/10.3390/f13050683
Submission received: 15 March 2022 / Revised: 15 April 2022 / Accepted: 25 April 2022 / Published: 28 April 2022

Abstract

:
The use of battery tools is very common in many fields of work. In fact, the electric engine and batteries have several advantages over traditional endothermic engines, including low emissions, in terms of pollutants, vibration and noise. In this context, the chainsaw market started producing electric models powered by batteries. These machines can be useful in forestry, but information on their performance is scarce. The aim of this work was to compare the performance, in terms of cutting times, of three Stihl chainsaw models: the MS 220C-B (battery powered), and the MS 201 C-M and MS 261 C-M (both petrol powered). The study was carried out on five different wood species, also taking into consideration the presence/absence of wood defects in the cutting. More than 800 cuts on 15 m × 15 cm wood beams were video recorded, and the cutting times were later obtained to a resolution of 4/100 of a sec, using video-editing software. The results showed a poorer performance of the battery chainsaw than the petrol chainsaws, especially on certain wood species. However, this difference has been reduced when compared with older models. In conclusion, battery chainsaws need some additional improvements to be introduced into forestry, but their high potential is evident.

1. Introduction

Chainsaws are still the most commonly used tool in tree pruning, felling and tree processing in many areas of the world, and they are also used in several other work sectors [1,2]. In fact, chainsaws are used in households and gardens, agriculture, arboriculture, construction, rescue and professional forestry because they are extremely versatile and require little investment [3,4].
Unfortunately, however, chainsaw use has been related to a number of accidents at the workplace and can lead to occupational diseases, in both professional and non-professional areas of work [5,6]. Moreover, motor-manual operations using traditional chainsaws (those with internal combustion engines) expose workers to several hazards, such as noise, hand–arm vibrations (HAVs), exhaust gases and wood dust [7,8]. On the other hand, workers’ exposure to noise, HAVs and exhaust gases are minimised or negated by using cordless electric chainsaws [8,9,10].
However, the cutting performance of battery-powered chainsaws are commonly considered to be too poor, in terms of cutting speed and battery life, for professional use in forestry. In fact, one battery pack only allows a relatively short cutting time, i.e. about the same of a tankful in petrol chainsaws, and several battery packs would be required for a full working day [9]. For these reasons, petrol-powered chainsaws are currently commonly used in forestry, even though electric and battery-powered models have become more popular for use in green professional maintenance and the hobby sector over the last decade [11]. Currently, the use of battery-powered chainsaws in arboriculture and gardening is a more viable professional application due to the smaller tree and branch dimensions, and their limited use during a working day, which allows the possibility to use more lightweight chainsaws [12,13].
In the last few years, the biggest brands producing chainsaws have improved the performance of their top models of battery-powered chainsaws, providing at the same time less harmful working conditions for their operators [14] and good cutting and duration performance of the tools. Nowadays, thanks to improvements in electrical-instrument technologies, the declared power values of battery-operated chainsaws are comparable with their lightweight petrol counterparts. Moreover, the performance of modern lithium (Li)-ion batteries has been improved, in terms of battery life [15], with manufacturers declaring more than 40 min of actual cutting time. In addition, Li-ion batteries can be recycled with an efficiency of 97% w/w, thus allowing recovery of most of the valuable active materials in the battery [16,17]. Other advantages to battery-powered chainsaws include less maintenance, no air pollution in comparison with traditional chainsaws (with internal combustion engines) and no cables (in comparison with other electric chainsaws) [18].
Due to these improvements, electric tools should be more commonly used in all non-professional and professional applications, especially where high environmental targets are required in the workplace (e.g., in national or regional parks and natural reserves).
Very few studies have investigated the performance of battery-powered chainsaws in tree cutting. In the literature, it seems that only Colantoni et al. [14] in 2016 have examined the cutting times for branches (60–90 mm in diameter) during the cross-cutting of different wood species using two types of cordless chainsaws—with a built-in battery and with a separate backpack battery. The battery-powered chainsaw performances were compared with those of two models of petrol-powered chainsaws built for pruning. The results indicated the high potential of the battery-powered machines, in terms of cutting speed and safer working conditions, albeit the limiting factors were the weight distribution in the machine due to the rear positioning of the battery, which makes correct balancing difficult, and the battery life. Moreover, the cutting force issues [19,20] could be different in battery-powered chainsaws than the traditional chainsaws. In terms of performances, several factors affect cutting efficiency, such as the wood density, i.e. tree species, the moisture content, the chain filing and type [21,22,23]. In particular, the higher the wood density the higher cutting force requirements.
For these reasons, and because few studies have focused attention on the potential use of battery-powered chainsaws in forest operations, the aim of this study was to compare the cutting times of battery and petrol chainsaws in a controlled environment on five wood species.

2. Materials and Methods

A test on performances was carried out during cross-cutting operations with battery- and petrol-powered chainsaws. In particular, the cutting times of three Stihl chainsaws—the MS 220 C-B (battery-powered, designated “E” from here on), the MS 201 C-M (designated “X” from here on) and MS 261 C-M (designated “Z” from here on) (both petrol powered)𠄴were measured during the cross-cutting of wood beams from five different tree species. The first two chainsaws had similar power, while the latter had more power. The research hypotheses were: (1) the cutting times of the E (battery powered) and X (petrol powered) chainsaws are similar and show no statistically significant differences, regardless of tree species; and (2) the cutting times of Z (petrol powered) chainsaw are significantly lower than those of the other, lower-powered chainsaws, regardless of tree species. To compare chainsaw performances, three models produced and distributed by the same company (Stihl S.p.A.) were chosen; their technical characteristics are reported in Table 1. The reason for all the chainsaws being from the same brand was related to being able to use the same type and quality of tool (i.e., saw bar with sprocket nose and chain) and ones that had been recommended. In addition, the battery-powered model, E, was chosen because it was a professional battery model with the best performance on the market (as of the beginning of 2021). The petrol-powered chainsaw chosen for direct cutting performance comparison was X, with a similar power and weight, according to the manufacturer. The third model considered in the study—Z—was heavier and had more power than the others, it has been included in the comparison only because it represents one of the most common chainsaws used by professional forest operators in felling and processing. In particular, Z and equivalent models in terms of power and weight are commonly used in forestry for small and medium diameters. For this reason, two petrol-powered chainsaws and only one battery-powered chainsaw were used: “X” for a proper comparison with “E” in terms of power and “Z” for a proper comparison in terms of potential use in forestry, thus quantifying the performance gap of E in comparison with the “status quo”.
A comparison of the chainsaw performances was made by measuring the cutting times for different tree species and by calculating the cutting efficiency [24].
The cutting efficiency, in the case of wood cross-cutting, is related to the surface unit of the cut made. Cutting efficiency can depend on many different factors, such as different personal behaviours of operators. One of the most important is the chainsaw type. In addition, it may depend on the type of wood being treated and even its degree of contamination [25].
To ensure the most comparable conditions and to avoid unexpected variables, the study was carried out on wood beams with a square cross-section in a flat, outdoor service area of the Department of Agriculture, Food, Environment and Forestry of the Università degli Studi di Firenze in Italy. Five different wood species—two softwood and three hardwood—with different density characteristics were used: (1) black pine (BP), Pinus nigra Arnold; (2) Douglas fir (DF), Pseudotsuga menziesii (Mirb.) Franco; (3) chestnut (CH), Castanea sativa Mill.; (4) beech (BE), Fagus sylvatica L.; and (5) turkey oak (TO), Quercus cerris L.
For each tree species, three fresh squared beams were used (section of 15 cm × 15 cm). The wood properties are reported in Table 2 (note that only BP had a moisture content slightly less than 30%). All the wood processed in this study was from authorised forest operations carried out in Vallombrosa Forest (province of Florence, Tuscany, Italy).
To ensure equal conditions for each cut and to avoid unexpected movements and vibrations during cutting, the wood beams were fixed to strong, stable supports (Figure 1). During the test, a series of slices about 2 cm wide were cut from each beam, with the different chainsaws being used for each cut. This way, each chainsaw experienced the most similar internal differences in wood properties along the beam as possible. The three chainsaws were used by a 45-year-old, well-trained and experienced forest operator, who is also forest instructor recognized at the national level. The procedure applied during each cut involved: (1) cutting the section perpendicularly to the beam direction; (2) starting the cutting at full throttle and at the maximum chain speed; and (3) operating the chainsaw without forcing it. This procedure was applied using the three chainsaws, on five wood species per chainsaw and three beams per wood species, with 54 cuts per beam, for a total of 810 cuts (270 cuts per chainsaw). A new saw bar was mounted on each chainsaw at the beginning of the study, and a new saw chain was mounted at the beginning of cutting each tree species. For this reason, each chain cut 54 wood sections per three beams, for a total of 162 cuts, without intermediate sharpening. All the saw chains had the same depth gauge of the cutting teeth (i.e., 0.65 mm). The petrol-powered chainsaws were refuelled at the beginning of cutting each new tree species and when needed. When a saw ran out of gasoline during the cutting of a wood section, the cut was repeated after refuelling. The same approach was applied to the battery-powered chainsaw when a battery change was required. Each cutting phase was video recorded using a digital Canon EOS 600D camera mounted on a tripod.
The cutting time was obtained by analysing each short clip using the video-editing software Camtasia®. The frames corresponding to the beginning and end of each cut were identified by analysing the video frame by frame, and the related start and end time of each cut were recorded with a precision of 4/100 of a sec. The first frame, including the first wood chip that was thrown away, was considered to be the beginning of the cut, while the first frame where the cut wood slice moved (started to fall) was considered to be the end of the cut. Each cutting time was ultimately obtained by simply subtracting the beginning time from the end time. Where knots or wood defects were encountered during the cutting, these were recorded in order to evaluate whether the cutting performance had been affected.
The obtained dataset of cutting times, referring to the different chainsaw models and tree species, was analysed statistically. First, it was tested for normality and homoscedasticity, and was found to be neither normal nor homoscedastic. For this reason, a non-parametric approach, through a pairwise comparison using the Wilcoxon test with the Bonferroni adjustment [26], was applied to gain an understanding of whether the performance of the battery-powered chainsaw was similar to that of the petrol-powered chainsaw or not, and if the different tree species increased or decreased these differences. Moreover, the eventual effect of knots and wood defects on cutting times was tested by a Dunn test [27]. The cutting efficiency was then calculated by the ratio between the surface (225 cm2) and the cutting time (s).

3. Results

During the study, 810 slices, 15 cm × 15 cm, were cut from wood beams using three chainsaws (270 slices each). In 332 of the slices, wood defects (i.e., knots, scar calluses due to cracks) were present. The average time needed to cut a wood slice was 5.91 s, with a minimum of 2.00 s (performed by Z on CH) and a maximum of 19.13 s (performed by E on CH). Differences in cutting times were found when comparing the performances of X and Z against E. Moreover, the maximum values registered were related with the presence of important wood defects, putting in crisis the performances of E especially.
The statistical analysis showed significant differences in cutting times among all the chainsaws (Figure 2). The cutting times between X and E (with comparable power) and between Z and E were, on average, 17.5% and 82.2% slower for E, respectively. A significant difference was also recorded between X and Z, with a ~35% faster cutting time for Z.
As expected, the analysis on the cutting efficiency showed a completely specular pattern with respect to the cutting times calculated for the three chainsaw models. In fact, the better the cutting efficiency, the lower the cutting time.
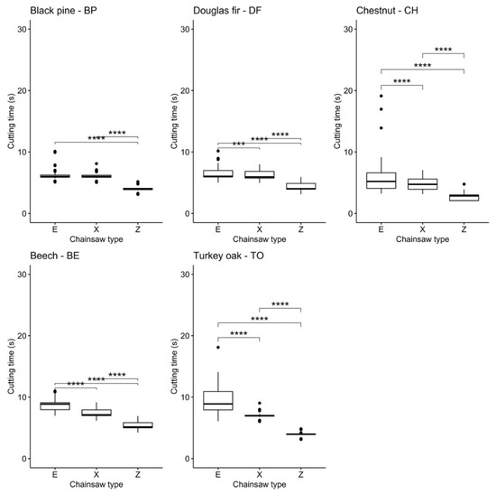
From analysing the performances of the chainsaws in relation to the wood species (Table 3, Figure 3), it was found that E had the slowest average cutting times for all species, while Z had the fastest (as expected, considering its greater power). Comparing E with X, the differences in cutting times varied depending on the tree species. With BP, the performances of E and X were similar (mean cutting time of E 2% slower than X). With TO, E gave the worst performance, being 35% slower than X, on average. Chainsaw E also exhibited the greatest variability in cutting times, especially in relation to CH and TO, as highlighted by the standard deviation (SD) values (Table 3).
In order to understand the role of wood species in the cutting performances, the cutting times of each wood species were compared for each chainsaw, separately (Table 4). Due to the dataset characteristics, only a pairwise comparison was possible. Chainsaw E gave similar performances on BP and DF, BE and TO and CH and BP, but significant differences were apparent when comparing TO and BF, TO and CH, TO and BP, DF and BE, DF and CH, BE and CH and BE and BP. The cutting times for BP and DF were also similar for Chainsaw X, while significant differences were recorded when comparing all the other species.
The cutting times for Chainsaw Z were similar for DF and TO, BP and TO and BP and DF, but significant differences were recorded for all the other comparisons between species.
The role of wood defects on cutting times for the three chainsaws is shown in Table 5. Depending on the wood species, the presence of wood defects had a negative effect on chainsaw performance, increasing the cutting times. In particular, for DF, CH and BP, there was a significant difference in cutting time for all chainsaws, while BE did not show any significant difference. In TO, the presence of wood defects did not make a significant difference only for Chainsaw Z.

4. Discussion

In general, this study highlighted significant differences in cutting times among the three chainsaws. Considering more than 250 cuts per chainsaw, and regardless of the wood species, Chainsaw E performed worse than X. As expected, Z had the best performance due to its more powerful engine.
In terms of the influence of wood species on cutting performance, E had the slowest average cutting time for all species, with the exception of BP, where E and X showed no significant statistical difference. In a previous study on a similar topic, Poje and Mihelič [28] compared the cutting times of three battery-powered chainsaw models on spruce beams. They compared their results with the cutting times recorded by other studies that used petrol-powered chainsaws [29,30]. This highlighted that the cross-cutting efficiency of the electrical chainsaws was, on average, 2.8 lower than for the Husqvarna 365, and 1.9–2.3 times lower than for the Husqvarna 357XP (both traditional combustion-powered chainsaws).
In this study, results showed that the cross-cutting times of Chainsaw E was, on average, 1.82 times slower than Z and 1.18 times slower than X. In terms of wood species, E performed best on BP, being only 1.02 and 1.56 times slower than X and Z, respectively, while it performed worst on TO, where the cutting times were 1.35 and 2.41 times higher than X and Z, respectively. This result can be explained considering wood density; the higher the density, the higher the cutting force requirements [21,22].
In general, for all chainsaws, the higher the anhydrous density (AD), the slower the cutting time, with the exception of CH and TO, with the TO having the highest AD and the highest cutting time with Chainsaw E, although the cutting time was not significantly lower than for BE. Using E, BE and TO did not show significant differences in cutting time, likely because they had similar ADs. With the same chainsaw, CH, with an intermediate AD, unexpectedly had the lowest (fastest) cutting time, likely because of its highest moisture content (78%; Table 2). Using Chainsaw X, the highest (slowest) cutting time was in BE, likely due to a higher moisture content in the TO than the BE [21]. Using Chainsaw Z, the cutting time for TO had an intermediate value that could not be explained by the AD or wood moisture. It is probable that the greater power of the Z combustion engine was less sensitive to these variables. In addition, the effect of the saw navigating wood defects during cutting may have affected the cutting time.
Moreover, cutting sections containing wood defects required significantly more cutting time for all the chainsaws (Table 5). The effect of wood defects on cutting times was most significant in the conifer species (BP and DF) and CH for all chainsaws, with higher (longer) cutting times recorded when wood defects were present; it was expected considering the higher density of knots in these species and the consequent difficulties in cutting [21,22]. Conversely, the presence of wood defects did not have a significant effect on BE, regardless of the chainsaw used. In TO, wood defects significantly increased the cutting time using E and X, while no significant difference was recorded using Z. It is probable that, thanks to the greater power of Z, it was less sensitive to the presence of wood defects during cutting. However, in this study the effects of the presence or absence of wood defects on the cutting were only considered, whereas a more robust investigation would examine different types of defects. More detailed studies on this specific aspect of cutting times using chainsaws are required. In particular, eventual differences in instantaneous cutting force variability [19] between battery- and petrol-powered chainsaws could be investigated to better understand performance gaps.
Finally, the results showed that the battery-powered chainsaw had an overall lower performance than the traditional models, although it is evident that the technology is under further development and should be rapidly improved. There has been a lot of development in the electrical-instrument technology [15], but this has only recently been introduced into green urban-area management, where there is a need for relatively high-powered chainsaws [31,32] that are usable for an entire working day. Recent developments in batteries have provided a useful level of power, life and durability, alongside considerably reduced weight compared to older types of battery. In addition, Li-ion batteries can now be recycled with an efficiency of 97% w/w of the valuable active materials [16,17].
In this context, the advantages of using battery-powered chainsaws over traditional models relate to the aspects of pollutant-gas emissions, portability, acoustic pollution and vibration levels caused by the electric motor.
At present, battery-powered chainsaws can be considered as an alternative to internal-combustion-engine chainsaws for pruning and first thinning operations in conifer stands. If technological developments are able to improve the battery life, it is reasonable to also plan for the use of these lightweight tools in other small-scale forestry operations.

5. Conclusions

We investigated the relative cutting performance of battery- and petrol-powered chainsaws. The chainsaws were tested by using them to cut sections of wood beams of five different tree species, characterised by different wood densities. In general, results clearly show a lower cutting performance for the battery-powered chainsaw, although with only a small difference when compared with a similar (same power and weight) petrol-powered model. These results highlight that battery-powered chainsaws are a good alternative to petrol-powered chainsaws for small-scale forestry applications or in circumstances where loud noise and/or pollution is best avoided. At present, these machines can be considered as viable alternatives for pruning operations, gardening activities or wherever there are work restrictions on noise and vibration.
However, even though the battery-powered chainsaw produced interesting results, these highlight that they cannot compete in professional applications with the commonly used combustion chainsaw at present.
Nevertheless, the evolution of electrical tools for forestry is expected to intensify with the development of more powerful batteries and electrical engines. Such continuous technological improvements will require ongoing performance evaluations in order to test their utility in forest operations. It will also be crucial to test them in real silvicultural treatment situations, such as thinning or coppice clear-cutting, in order to understand whether their lower cutting performance ultimately affects tree felling and processing productivity.

Author Contributions

Conceptualization, E.M. (Enrico Marchi), A.L. and F.F.; methodology, E.M. (Enrico Marchi), A.L., C.F. and F.N.; software, C.F., A.L., N.F. and E.M. (Elena Marra); validation, all authors; formal analysis, C.F., E.M. (Elena Marra), A.L., F.N. and E.M. (Enrico Marchi); investigation, all authors; resources, F.N. and E.M. (Enrico Marchi); data curation, all authors; writing—original draft preparation, F.N., A.L., E.M. (Elena Marra) and E.M. (Enrico Marchi); writing—review and editing, A.L. and E.M. (Enrico Marchi); supervision, F.N. and E.M. (Enrico Marchi); funding acquisition, F.N. and E.M. (Enrico Marchi). All authors have read and agreed to the published version of the manuscript.

Funding

This research received no external funding.

Acknowledgments

The authors would like to express their gratitude to the Reparto Carabinieri Biodiversità di Vallombrosa for providing the wood beams and to Andreas Stihl S.p.A. for providing the chainsaws used in this study.

Conflicts of Interest

The authors declare no conflict of interest.

References

  1. Albizu-Urionabarrenetxea, P.; Tolosana-Esteban, E.; Roman-Jordan, E. Safety and health in forest harvesting operations. Diagnosis and preventive actions. A review. For. Syst. 2013, 22, 392–400. [Google Scholar] [CrossRef]
  2. Picchio, R.; Blasi, S.; Sirna, A. Survey on Mechanization and Safety Evolution in Forest Works in Italy. In Proceedings of the International Conference Ragusa SHWA2010, Ragusa, Italy, 16–18 September 2010; pp. 16–18. [Google Scholar]
  3. Liepiņš, K.; Lazdiņš, A.; Liepiņš, J.; Prindulis, U. Productivity and Cost-Effectiveness of Mechanized and Motor-Manual Harvesting of Grey Alder (Alnus incana (L.) Moench): A Case Study in Latvia. Small-Scale For. 2015, 14, 493–506. [Google Scholar] [CrossRef]
  4. Russell, F.; Mortimer, D. A Review of Small-Scale Harvesting Systems in Use Worldwide and Their Potential Application in Irish Forestry; National Council for Forest Research and Development: Dublin, Ireland, 2005; pp. 1–56. [Google Scholar]
  5. Laschi, A.; Marchi, E.; Foderi, C.; Neri, F. Identifying causes, dynamics and consequences of work accidents in forest operations in an alpine context. Saf. Sci. 2016, 89, 28–35. [Google Scholar] [CrossRef]
  6. Klun, J.; Medved, M. Fatal accidents in forestry in some European countries. Croat. J. For. Eng. 2007, 28, 55–62. [Google Scholar]
  7. Marchi, E.; Neri, F.; Cambi, M.; Laschi, A.; Foderi, C.; Sciarra, G.; Fabiano, F. Analysis of dust exposure during chainsaw forest operations. iForest 2017, 10, 341–347. [Google Scholar] [CrossRef] [Green Version]
  8. Neri, F.; Foderi, C.; Laschi, A.; Fabiano, F.; Cambi, M.; Sciarra, G.; Aprea, M.C.; Cenni, A.; Marchi, E. Determining exhaust fumes exposure in chainsaw operations. Environ. Pollut. 2016, 218, 1162–1169. [Google Scholar] [CrossRef] [PubMed]
  9. Poje, A.; Potočnik, I.; Mihelič, M. Comparison of Electric and Petrol Chainsaws in Terms of Efficiency and Safety When Used in Young Spruce Stands in Small-Scale Private Forests. Small-Scale For. 2018, 17, 411–422. [Google Scholar] [CrossRef]
  10. Huber, M.; Hoffmann, S.; Brieger, F.; Hartsch, F.; Jaeger, D.; Sauter, U.H. Vibration and noise exposure during pre-commercial thinning operations: What are the ergonomic benefits of the latest generation professional-grade battery-powered chainsaws? Forests 2021, 12, 1120. [Google Scholar] [CrossRef]
  11. Neri, F.; Laschi, A.; Foderi, C.; Fabiano, F.; Bertuzzi, L.; Marchi, E. Determining noise and vibration exposure in conifer cross-cutting operations by using Li-Ion batteries and electric chainsaws. Forests 2018, 9, 501. [Google Scholar] [CrossRef] [Green Version]
  12. Spinelli, R.; Nati, C.; Magagnotti, N. Biomass harvesting from buffer strips in Italy: Three options compared. Agrofor. Syst. 2006, 68, 113–121. [Google Scholar] [CrossRef]
  13. Engelbrecht, R.; McEwan, A.; Spinelli, R. A robust productivity model for grapple yarding in fast-growing tree plantations. Forests 2017, 8, 396. [Google Scholar] [CrossRef] [Green Version]
  14. Colantoni, A.; Mazzocchi, F.; Cossio, F.; Cecchini, M.; Bedini, R.; Monarca, D. Comparisons between battery chainsaws and internal combustion engine chainsaws: Performance and safety. Contemp. Eng. Sci. 2016, 9, 1315–1337. [Google Scholar] [CrossRef] [Green Version]
  15. Blomgren, G.E. The development and future of lithium ion batteries. J. Electrochem. Soc. 2017, 164, A5019–A5025. [Google Scholar] [CrossRef] [Green Version]
  16. Hanisch, C.; Loellhoeffel, T.; Diekmann, J.; Markley, K.J.; Haselrieder, W.; Kwade, A. Recycling of lithium-ion batteries: A novel method to separate coating and foil of electrodes. J. Clean. Prod. 2015, 108, 301–311. [Google Scholar] [CrossRef]
  17. Boubaker, K.; Colantoni, A.; Allegrini, E.; Longo, L.; Di Giacinto, S.; Monarca, D.; Cecchini, M. A model for musculoskeletal disorder-related fatigue in upper limb manipulation during industrial vegetables sorting. Int. J. Ind. Ergon. 2014, 44, 601–605. [Google Scholar] [CrossRef]
  18. Kiehne, H.A. Battery Technology Handbook, 2nd ed.; CRC Press: New York, NY, USA, 2003; Volume 118, ISBN 0203911857. [Google Scholar]
  19. Maciak, A.; Kubuśka, M.; Moskalik, T. Instantaneous Cutting Force Variability in Chainsaws. Forests 2018, 9, 660. [Google Scholar] [CrossRef] [Green Version]
  20. Wyeth, D.J.; Goli, G.; Atkins, A.G. Fracture toughness, chip types and the mechanics of cutting wood. A review. COST Action E35 2004–2008: Wood machining—Micromechanics and fracture. Holzforschung 2009, 63, 168–180. [Google Scholar] [CrossRef]
  21. Kuvik, T.; Krilek, J.; Kováč, J.; Štefánek, M.; Dvořák, J. Impact of the Selected Factors on the Cutting Force When Using a Chainsaw. Wood Res. 2017, 62, 807–814. [Google Scholar]
  22. Marenče, J.; Mihelič, M.; Poje, A. Influence of chain filing, tree species and chain type on cross cutting efficiency and health risk. Forests 2017, 8, 464. [Google Scholar] [CrossRef] [Green Version]
  23. Otto, A.; Parmigiani, J. Velocity, Depth-of-Cut, and Physical Property Effects on Saw Chain Cutting. BioResources 2015, 10, 7273–7291. [Google Scholar] [CrossRef] [Green Version]
  24. Gorski, J. Wplyw sily posuwu i wysokosci rzazu na wydajnosc skrawania pila lancuchowa. Przegląd Techniki Rolniczej Leśnej 1993, 4, 13–15. [Google Scholar]
  25. Maciak, A.; Górska, U.; Zach, Ż. Impact of saw chain cutters type on blunting speed of blades and change of cutting efficiency. Ann. Wars. Univ. Life Sci. Agric. 2017, 70, 27–36. [Google Scholar] [CrossRef]
  26. Bauer, D.F. Constructing confidence sets using rank statistics. J. Am. Stat. Assoc. 1972, 67, 687–690. [Google Scholar] [CrossRef]
  27. Dunn, O.J. Multiple Comparisons Using Rank Sums. Technometrics 1964, 6, 241–252. [Google Scholar] [CrossRef]
  28. Poje, A.; Mihelič, M. Influence of chain sharpness, tension adjustment and type of electric chainsaw on energy consumption and cross-cutting time. Forests 2020, 11, 1017. [Google Scholar] [CrossRef]
  29. Ciubotaru, A.; Câmpu, R.V. Delimbing and cross-cutting of coniferous trees-time consumption, work productivity and performance. Forests 2018, 9, 206. [Google Scholar] [CrossRef] [Green Version]
  30. Maciak, A. The impact of initial tension on rapidity of dulling of saw cutting chains during cross-cutting of pine wood. Ann. Wars. Univ. Life Sci. 2015, 66, 89–98. [Google Scholar]
  31. Blanco, I.; Anifantis, A.S.; Pascuzzi, S.; Scarascia Mugnozza, G. Hydrogen and renewable energy sources integrated system for greenhouse heating. J. Agric. Eng. 2013, 44, 226–230. [Google Scholar] [CrossRef]
  32. Blanco, I.; Pascuzzi, S.; Anifantis, A.S.; Scarascia-Mugnozza, G. Study of a pilot photovoltaic-electrolyser-fuel cell power system for a geothermal heat pump heated greenhouse and evaluation of the electrolyser efficiency and operational mode. J. Agric. Eng. 2014, 45, 111–118. [Google Scholar] [CrossRef] [Green Version]
Figure 1. Chainsaw operator during cutting and video recording (a) and cutting of a ~2 cm-wide cross-section (b).
Figure 1. Chainsaw operator during cutting and video recording (a) and cutting of a ~2 cm-wide cross-section (b).
Forests 13 00683 g001
Figure 2. Results of the Wilcoxon test with Bonferroni adjustment applied to each chainsaw type. The median and spreading-range values of the cross-cutting times are represented in the left graph and the median and spreading-range values of the cutting efficiency on the right graph (N = 270). The significance of the pairwise comparison is reported using brackets. p-level: **** = 0.0001.
Figure 2. Results of the Wilcoxon test with Bonferroni adjustment applied to each chainsaw type. The median and spreading-range values of the cross-cutting times are represented in the left graph and the median and spreading-range values of the cutting efficiency on the right graph (N = 270). The significance of the pairwise comparison is reported using brackets. p-level: **** = 0.0001.
Forests 13 00683 g002
Figure 3. Results of the cutting-time analysis applied per species and chainsaw type. The median and spreading-range values of the cross-cut times are represented. The significance of the pairwise comparison following the Wilcoxon test with Bonferroni adjustment is reported in the brackets. p-level: **** = 0.0001; *** = 0.001; ** = 0.01; * = 0.05; - = not significant.
Figure 3. Results of the cutting-time analysis applied per species and chainsaw type. The median and spreading-range values of the cross-cut times are represented. The significance of the pairwise comparison following the Wilcoxon test with Bonferroni adjustment is reported in the brackets. p-level: **** = 0.0001; *** = 0.001; ** = 0.01; * = 0.05; - = not significant.
Forests 13 00683 g003
Table 1. Technical characteristics of the three chainsaws used in the study.
Table 1. Technical characteristics of the three chainsaws used in the study.
Stihl MSA 220 C-BStihl MS 201 C-MStihl MS 261 C-M
Identification letter used in the text EXZ
Power2.1 kW1.8 kW4.1 kW
Saw-bar length35 cm35 cm40 cm
Chain typeHalf-chiselHalf-chiselHalf-chisel
Chain pitch3/8″P3/8″P0.325″
Drive-link thickness1.3 mm1.3 mm1.6 mm
Number of drive links505067
Fuel supplyElectricity (battery)Mixed (gasoline + oil)Mixed (gasoline + oil)
Battery typeAP300S *--
Mix type-Stihl MotoMixStihl MotoMix
Chain speed (m s−1)23.326.025.6
Total weight **5.6 kg5.4 kg6.9 kg
* Rated voltage: 36 V—Max voltage at full charge; 42 V—Energy content; 281 Wh ** Including saw bar, chain and battery or mixed fuel and chain oil.
Table 2. Specifics of the wood beams used in the study. Numbers in bold represent values per species.
Table 2. Specifics of the wood beams used in the study. Numbers in bold represent values per species.
SpeciesMoisture (%)Density (kg m−3)Anhydrous Density (kg m−3)
BP—Black pine26569451
Beam I25575460
Beam II26575456
Beam III26556441
DF—Douglas fir32615466
Beam I27607478
Beam II35634470
Beam III33604454
CH—Chestnut78846475
Beam I78896503
Beam II78867487
Beam III77776438
BE—Beech45959661
Beam I42959675
Beam II46962659
Beam III47956650
TO—Turkey oak591055664
Beam I541076699
Beam II631012621
Beam III601078674
Table 3. Results of measured cutting times. Mean, maximum, minimum, median and SD values for each wood species and chainsaw tested (E—MSA 220 C-B; X—MS 201 C-M; and Z—MS 261 C-M). Numbers in bold represent the highest values per wood species, with the highest values overall in red, and the lowest values in green.
Table 3. Results of measured cutting times. Mean, maximum, minimum, median and SD values for each wood species and chainsaw tested (E—MSA 220 C-B; X—MS 201 C-M; and Z—MS 261 C-M). Numbers in bold represent the highest values per wood species, with the highest values overall in red, and the lowest values in green.
Wood SpeciesChainsaw ModelNo. of CutsMeanMaximumMinimumMedianSD
(s)
BP
Black pine
E546.2510.105.106.010.99
X546.138.105.045.990.62
Z544.005.173.093.940.53
DF
Douglas fir
E546.5710.165.016.051.12
X546.197.994.985.950.89
Z544.255.943.124.020.65
CH ChestnutE545.9919.133.225.203.00
X544.677.053.124.741.10
Z542.704.762.002.850.60
BE
Beech
E548.6511.016.978.871.00
X547.419.176.147.120.66
Z545.406.924.235.140.56
TO
Turkey oak
E549.4618.116.098.902.26
X547.019.036.036.990.56
Z543.924.843.123.980.44
Table 4. Pairwise comparison using the Wilcoxon test for each chainsaw per each wood species. p-level: **** = 0.0001; *** = 0.001; ** = 0.01; * = 0.05; and - = >0.05.
Table 4. Pairwise comparison using the Wilcoxon test for each chainsaw per each wood species. p-level: **** = 0.0001; *** = 0.001; ** = 0.01; * = 0.05; and - = >0.05.
Chainsaw EBPDFCHBETO
BP -************
DF *********
CH ********
BE -
TO
Chainsaw XBPDFCHBETO
BP -************
DF ************
CH ********
BE **
TO
Chainsaw ZBPDFCHBETO
BP -********-
DF ********-
CH ********
BE ****
TO
Table 5. Comparison of cutting times with and without wood defects using Dunn test, and statistical differences per chainsaw and wood species. p-level: **** = 0.0001; *** = 0.001; ** = 0.01; * = 0.05; ns = not significant.
Table 5. Comparison of cutting times with and without wood defects using Dunn test, and statistical differences per chainsaw and wood species. p-level: **** = 0.0001; *** = 0.001; ** = 0.01; * = 0.05; ns = not significant.
Chainsaw ModelSpeciesPresence of Wood Defect in Cross-Section (no.)Cutting Time (s)
Mean (SD)Medianp-Level
NoYesWithout
Defect
With
Defect
Without DefectWith
Defect
EBP40145.96 (0.62)7.07 (1.35)5.966.85***
XBP41135.98 (0.54)6.58 (0.65)5.966.21**
ZBP44103.88 (0.43)4.52 (0.61)3.924.79**
EDF38166.17 (0.73)7.52 (1.34)6.027.96***
XDF41135.94 (0.74)6.96 (0.89)5.867.10***
ZDF40144.06 (0.47)4.78 (0.75)4.004.96***
ECH32224.91 (1.11)7.56 (4.06)4.576.10***
XCH29254.41 (1.07)4.98 (1.06)3.995.02*
ZCH32222.54 (0.52)2.95 (0.64)2.222.98*
EBE26288.53 (0.95)8.76 (1.05)8.148.95ns
XBE26287.45 (0.68)7.36 (0.65)7.087.14ns
ZBE27275.47 (0.51)5.32 (0.61)5.235.10ns
ETO18368.44 (1.81)9.98 (2.32)7.889.46**
XTO21336.90 (0.78)7.08 (0.36)6.907.00*
ZTO23313.90 (0.43)3.94 (0.45)3.944.00ns
Eall1541166.52 (1.66)8.53 (2.57)6.048.13****
Xall1581126.05 (1.22)6.61 (1.16)6.006.98****
Zall1661043.93 (1.01)4.26 (1.02)3.944.07**
Publisher’s Note: MDPI stays neutral with regard to jurisdictional claims in published maps and institutional affiliations.

Share and Cite

MDPI and ACS Style

Neri, F.; Laschi, A.; Marchi, E.; Marra, E.; Fabiano, F.; Frassinelli, N.; Foderi, C. Use of Battery- vs. Petrol-Powered Chainsaws in Forestry: Comparing Performances on Cutting Time. Forests 2022, 13, 683. https://doi.org/10.3390/f13050683

AMA Style

Neri F, Laschi A, Marchi E, Marra E, Fabiano F, Frassinelli N, Foderi C. Use of Battery- vs. Petrol-Powered Chainsaws in Forestry: Comparing Performances on Cutting Time. Forests. 2022; 13(5):683. https://doi.org/10.3390/f13050683

Chicago/Turabian Style

Neri, Francesco, Andrea Laschi, Enrico Marchi, Elena Marra, Fabio Fabiano, Niccolò Frassinelli, and Cristiano Foderi. 2022. "Use of Battery- vs. Petrol-Powered Chainsaws in Forestry: Comparing Performances on Cutting Time" Forests 13, no. 5: 683. https://doi.org/10.3390/f13050683

APA Style

Neri, F., Laschi, A., Marchi, E., Marra, E., Fabiano, F., Frassinelli, N., & Foderi, C. (2022). Use of Battery- vs. Petrol-Powered Chainsaws in Forestry: Comparing Performances on Cutting Time. Forests, 13(5), 683. https://doi.org/10.3390/f13050683

Note that from the first issue of 2016, this journal uses article numbers instead of page numbers. See further details here.

Article Metrics

Back to TopTop