You are currently viewing a new version of our website. To view the old version click .
Forests
  • Article
  • Open Access

8 April 2022

Measuring Radial Variation in Basic Density of Pendulate Oak: Comparing Increment Core Samples with the IML Power Drill

,
and
Department of Forest Utilization, Faculty of Forestry and Wood Technology, Poznań University of Life Sciences, Wojska Polskiego 71A, 60-625 Poznań, Poland
*
Author to whom correspondence should be addressed.
This article belongs to the Section Wood Science and Forest Products

Abstract

To determine the appropriate final use of wood from a particular tree species, it is first necessary to know its properties. Methods that use wood samples taken directly from the trunk of a growing or felled tree are very time-consuming and require a great deal of manual work. Non-destructive methods may be more effective and much faster, thanks to the use of advanced technologies. The resistance drilling can be used to determine the variation in wood density along the radius of the stem. The main aim of the present study was to determine the basic density of the wood on a cross-section of the trunk of oak trees and to investigate the correlation of the results with those obtained by drilling the same trees with the IML RESI-PD 400. The results of Spearman’s correlation test showed strong positive correlations between all examined properties. We observed a trend whereby the density of the wood and Resi amplitude increased in direct proportion to the width of the annual rings. The results of linear regression show a strong relationship between examined properties. This study provide evidence that the Resi is an appropriate tool for non-destructive determination of wood density.

1. Introduction

The proper management of forest resources can contribute to sustainable forest management. To determine the appropriate final use of wood from a particular tree species, it is first necessary to know its properties. The most important determinants of wood quality are the physical properties of the wood [1,2]. The density of wood is considered to be the most important indicator determining its mechanical and other physical properties, regardless of tree species or wood type. Several methods are used to determine this property. In general, we distinguish between destructive methods, which interfere with the trunk structure, and non-destructive methods [3].
Methods that use wood samples taken directly from the trunk of a growing or felled tree include the displacement method and the volumetric method [4]. In this case, a Pressler drill is usually used to collect wood samples. These methods are very time-consuming and require a great deal of manual work, including weighing, drying and measuring the samples.
Non-destructive methods may be more effective and much faster, thanks to the use of advanced technologies. Various devices can be used to perform analysis by non-destructive methods, including X-ray devices [5,6,7], the Pilodyn instrument [8,9,10,11] and the resistance drill (RD) [12,13,14,15,16,17]. Non-destructive methods allow the mechanical and physical properties of the wood to be determined without causing permanent damage that might affect the end-use of the material tested [18,19].
The resistance drill was developed in 1984 by German engineers. Initially, measurements made with this device often gave erroneous results; this was because the drilling technology was not adapted to the heterogeneous structure of wood [20]. After refining the device, in 1990 the company Rinntech patented a device under the name “Resistograph®” (Rinntech, Heidelberg, Germany; www.rinntech.com, accessed on 1 March 2022). This tool measured the resistance of the drilled material based on the energy input when drilling at a constant speed [20,21]. Since then, the RD has been used as a tool to diagnose the health of the woody tissue of a single tree. The device is drilled into a cross-section of a tree at any height, using a thin needle (drill) that is a few millimetres in diameter. However, resistance drill’s results depend on many variables such as moisture content [22,23], air temperature as well as drill bit flexion, speed, friction and RPM [24,25,26], angle of drilling [27] and species [26,28,29]. It is important to eliminate or at least limit the variability generated by these factors before and during Resi measurements.
Moisture content is strongly correlated with wood density. The volume of dry wood (oven-dried) regulates the quantity of water wood cells can absorb [30,31]. When it comes to drilling resistance most authors reported minor effect of moisture content on RD results (e.g., [32]); however, Sharapov et al. [23,26] noticed that the effect of MC on RD, depends on RPM and feed rate (FR). The feed speed and RPM of the drill can be adjusted to the diameter of the tree and the tree species being examined [33]. This device allows a quick and accurate check for wood defects (e.g., decay) on the cross-section of the trunk, which can cause weakening of the tree tissue [32,34]. In addition, the resistance drill can be used to determine the variation in wood density along the radius of the stem [9,11,28,35]. A major advantage of using an RD is that it allows measurements to be made without additional preparation of the tree—such as stripping of the bark, as is necessary when the Pilodyn is used—and it is possible to make measurements from the bark surface to the core of the tree or even across the entire cross-section of the trunk [3]. To date, resistance drilling testing has mainly been used for urban tree diagnostics—for decay detection and as a complement to comprehensive tree condition assessments [34,36]—and less frequently for determining wood density for scientific or industrial purposes [15,16,17,27,37].
The aim of this study was to determine the basic density (BD) of wood on a cross-section of the trunk of living oak trees, and to investigate the correlation of the results with those obtained by drilling the same trees with the IML RESI-PD 400.

2. Materials and Methods

2.1. Site Description and Trees Selection

The study was carried out in November 2021. Trees analyzed in this study were located on a forest plot, situated in the western part of Poland (51°51′13.631″ N; 16°26′8.844″ E), which is in the central part of the European range of pedunculate oak (Quercus robur L.). Selected trees were of similar age, estimated to be between 90 and 110 years. The research plot was located in an area of mixed forest habitat type. The height and diameter at breast height were measured for all trees in the sample plot classified as pedunculate oak. Then, nine trees were selected from the set of all measured trees (Table 1). The trees were characterized by regular crown build and did not have any visible symptoms of pathogens or wood defects affecting the health of the xylem.
Table 1. Characteristics of selected tress.

2.2. Estimating Basic Density by Dimensional Method

From each selected tree, an increment core was drilled at breast height in the N–S direction from the bark to the pith, using a Pressler drill. Each collected increment core was divided into sections, each containing 10 annual rings. In total, 87 samples were labelled. Immediately after the division, each sample was weighed to an accuracy of 0.001 g using a Steinberg laboratory scale (Steinberg Systems SBS-LW-200A, Berlin, Germany). After weighing, the length of each sample was measured to an accuracy of 0.01 mm using a certified Vogel calliper (Vogel Germany GmbH & Co. KG, Kevelaer, Germany). The diameter of each sample was determined to be 5.15 mm, according to the information supplied by the drill manufacturer. In accordance with the dimensional methodology described by Pérez-Harguindeguy et al. [4], the volume of each sample was calculated by Equation (1):
V = π × (0.5D)2 × L (cm3)
where V is volume, D is the diameter of the sample (5.15 mm), and L is the length of the sample.
Based on the length of each sample, the average annual ring width where wider rings have a higher percent latewood (ARW) was calculated using Equation (2):
ARW = L/AR
where L is the length of the sample and AR is the number of annual rings in the sample.
In the next stage of the study, samples were transported to a laboratory, where they were dried for 24 h at 105 °C in a laboratory dryer. After reaching 0% water content and constant mass, the samples were placed in a desiccator until cooled. Next, each sample was weighed and measured by the same procedure that had been used for samples in fresh condition. The basic density was calculated using Equation (3):
BD = ms/vm (g/cm3)
where ms is the mass of an oven-dried sample, and vm is the volume of the fresh sample.
The moisture content was calculated using Equation (4):
MC = (mw – ms/ms) × 100 (%)
where mw is mass of fresh sample.

2.3. Estimating Wood Resistance by IML RESI PD400

Immediately following the collection of each increment core, a resistance drilling test was performed. In our study, we used the IML RESI PowerDrill 400. Using a 400 mm drill with a drilling speed of 50 cm/min and 1500 RPM, the resistance in the north–south (N–S) direction was measured directly under the hole made by drilling using a Pressler drill at breast height (Figure 1). The feed and drill speed can be adjusted to from 15 to 200 cm/min and from 1500 rpm to 5000 rpm. Each drilling location was free of visible defects in the wood, such as knots or cracks. The main variable investigated using the resistance drilling was Resi amplitude (RA%), which quantifies the resistance that the wood presents to a drill bit moving at a specified constant speed, examined at 0.1 mm increments from 0 to 100%. The RAmax and RAmin data were then extracted using dedicated software. The software used to analyse the Resi data was PD-Tools PRO. The data were then exported to a text file and prepared in Microsoft Excel for statistical analysis.
Figure 1. Resistance amplitude testing using the IML-RESI Power Drill 400.

2.4. Comparing Data from Resi and Basic Density of Each Sample

Based on the length (mm), an appropriate number of Resi measurements were fitted to each sampled wood. The results of the Resi tests represented the values RAmax (for late wood) and RAmin (for early wood). From these two values and the number of measurements within one sample, RAmean was calculated for each sample. For further statistical analyses, the RAmean value of each sample was used.

2.5. Statistical Analysis

To verify the distribution of the data, the Shapiro–Wilk test was performed. The data for BD and RAmean met the requirements of normality, while the test on ARW data led to rejection of the normal distribution hypothesis. To compare data between samples on a cross-section of the trunk, the ANOVA test was performed. When significant differences were detected, a post hoc Tukey’s HSD test was performed. Statistical inference was performed at the significance level α = 0.05. Coefficients of determination (R2) were calculated using linear regression to test the relationship between examined properties. The RStudio program and the R package 4.0.5 (R Core Team 2021, Vienna, Austria) were used for the calculations.

3. Results

3.1. Mean Basic Density, Moisture Content and Average Annual Ring Width

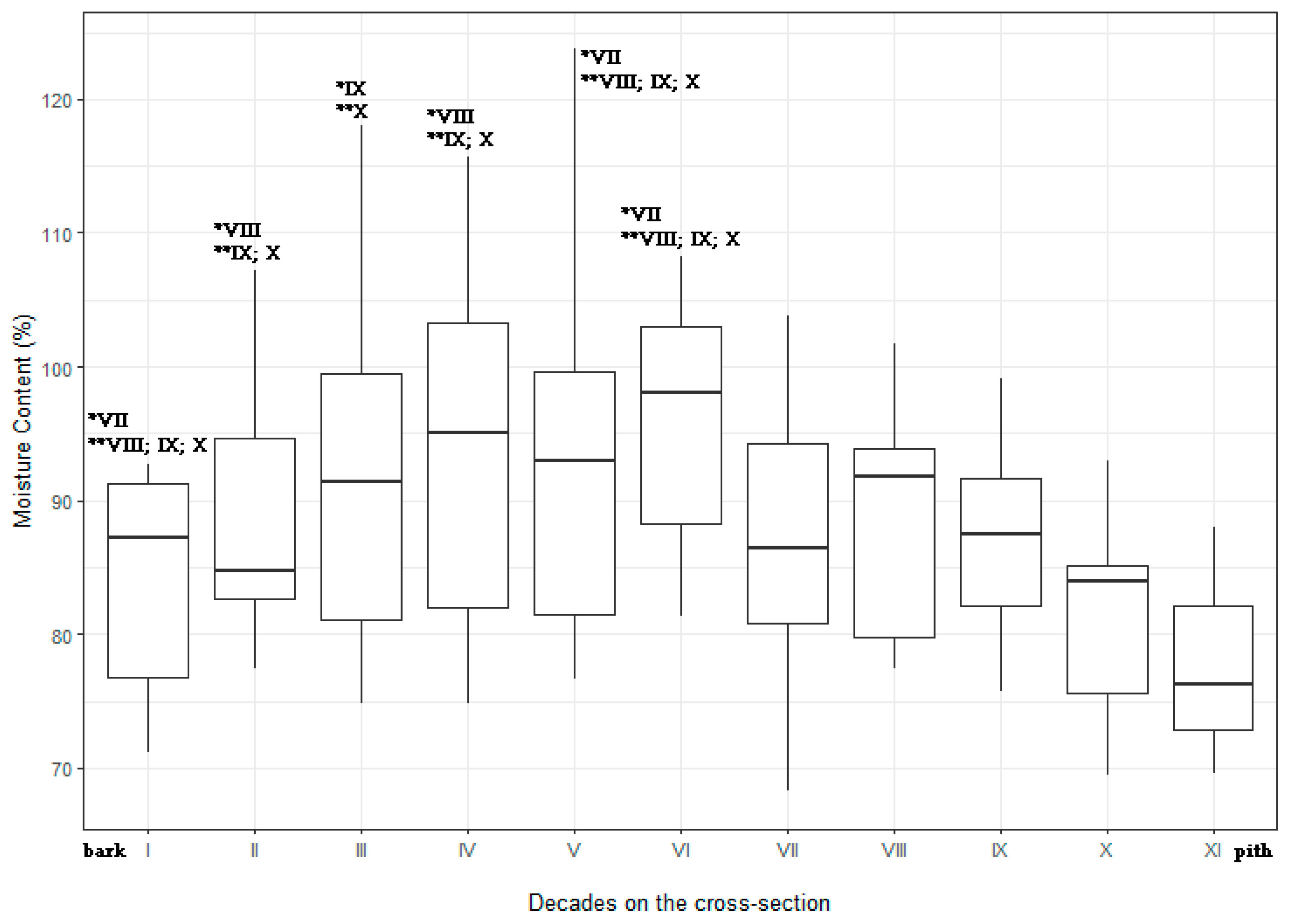
Mean values of examined properties and distribution on cross-section of all selected trees were calculated. The mean value of basic density in our study was 0.540 g/cm3. As regards the distribution on the trunk cross-section, the largest density values were obtained closest to the pith (0.699 g/cm3); then, a decrease was observed in the direction of the bark (0.404 g/cm3). The results of the Tukey’s HSD test indicated significant differences between wood samples, especially between the outermost samples (Figure 2). For the results obtained using a Resi, we observed a similar trend in RAmean values as in the case of BD, although we observed more significant differences between samples along the cross-section of the trunk (Figure 3). The mean value of RAmean was approximately 22.0%. All samples have MC level above the maximum saturation point ranging from approximately 68 to 123%. The mean moisture content of the examined samples was 89.13%. The results of the Tukey’s HSD tests presented statistically significant differences on the cross-section of the trunk (Figure 4). The widest annual rings were observed closest to the pith (6.17 mm), while the narrowest near the bark (1.03 mm); the average annual ring width in the studied cores was calculated at 2.48 mm. The Tukey HSD test showed significant differences between each sample from the first six decades and those from the last five (Figure 5).
Figure 2. Distribution of basic density (g/cm3) on the cross-section of the trunk from bark (section I) to the pith (sections X/XI) with marked * significant and ** highly significant differences between wood samples using Tukey’s HSD test. Whiskers corresponding to minimum and maximum values, boxes represent the 1st and 3rd quartile values, midlines indicate the median.
Figure 3. Distribution of mean Resi amplitude (%) on the cross-section of the trunk from bark (section I) to the pith (sections X/XI) with marked * significant and ** highly significant differences between wood samples using Tukey’s HSD test. Whiskers correspond to minimum and maximum values, boxes represent the 1st and 3rd quartile values, midlines indicate the median.
Figure 4. Changes of moisture content (%) on cross-section of the trunk from bark (section I) to pith (sections X/XI) with marked * significant and ** highly significant differences between wood samples using Tukey’s HSD test. Whiskers correspond to minimum and maximum values, boxes represent the 1st and 3rd quartile values, midlines indicate the median.
Figure 5. Changes of average annual ring width (mm) on cross-section of the trunk from bark (section I) to pith (sections X/XI) with marked * significant and ** highly significant differences between wood samples using HSD Tukey test. Description: whiskers represent minimum and maximum values, boxes—1st and 3rd quartile values, midlines—median.

3.2. Spearman Correlation between Examined Properties and Modelling Basic Density in Relation to Resi Amplitude

The results of the Spearman correlation show a strong positive correlation between each two pairs of properties. The strongest relationships were observed between BD and ARW (0.70) and between RAmean and BD (0.68). According to the observed trends, as the value of one of the examined properties increases, the value of each of the other properties also increases. Negative correlation was found between RAmean and MC (−0.31) and BD and MC (−0.53). In this case, as moisture content increases, resistance drilling and basic density decreases.
Coefficients of determination (R2) were calculated for the relationships between BD and RAmean, using linear regression. Significant relationships between examined properties were observed. The adjusted R2 for the pair BD–RAmean was 0.40 (Figure 6).
Figure 6. Relationship between mean Resi amplitude (%) and basic density (g/cm3) calculated using linear regression with 50 cm/min drilling speed and 1500 RPM.

4. Discussion

In our study we estimated and compared basic density, mean Resi amplitude and average annual ring width for pedunculate oak wood, using destructive and non-destructive methods. This oak is classified as a ring-porous wood species. This kind of wood is characterized by visible differences between annual rings and a borderline between early and late wood. The density of oak wood depends on many factors, including species, habitat and growth conditions and sample location [38,39,40,41,42,43]. The mean basic density obtained in this study was lower than the results reported by other authors [38,43]. Analysis of the distribution of density on a cross-section of the trunk showed that BD increased in a direction from bark to pith. This trend is confirmed by other authors who have studied oak wood [41,42,43,44]. When it comes to distribution on the cross-section of the trunk, we observed similar changes of examined properties. In the first five sections (i.e., first five decades of growth) from the pith we noticed higher values of BD and RA than in the rest of the sections (last six decades of growth). This phenomenon can be caused by wider annual rings, which were also noticed in the section closest to the pith. In ring-porous tree species (including Oak) the density of wood is highly correlated with annual ring width (high late wood zone), which was also confirmed in our study.
Feed rate and RPM are an important factors, which can have an impact on RD results. Similar findings where obtained by Sharapov et al. [23,26] who examined the effect of MC and three different feed rates of resistance drilling on different species i.e., oak (Q. robur L.). In our study, drilling speed was set at 50 cm/min, with 1500 revolutions per minute and 89% mean MC. The average RAmean of all selected trees was 22%, and the distribution trend was similar as in the case of basic density. We observed a very low value of RAmean in the first section. According to Gendvilas et al. [25] this phenomenon can be caused by drilling friction. Most current studies on the determination of Resi amplitude were carried out on tropical and coniferous species e.g., [14,16,29,37,45] and European broadleaved tree species [26,28].
The results of Spearman’s correlation test showed strong positive correlations between all examined properties. We observed a trend whereby the density of the wood increased in direct proportion to the resiamplitude. The width of the annual rings has an indirect effect on RA, because ARW is strongly correlated with BD. Similar trends in wood density and annual ring width have been observed by other authors [40,44,46]. Changes in Resigraph amplitude have been used for determining the characteristics and structure of annual rings [13,47] but not in the context of density changes on a cross-section of the trunk.
The results of the linear regression show a significant relationship between RAmean and BD. However, the values we obtained are lower compared to other studies on European tree species, especially hardwoods. In this case, a lower R2 can be caused by the needle friction. Gendvilas et al. [25] showed that Resi can underpredict BD on the first few centimeters of drilling. However, this issue can be eliminated by using non-linear friction correlation. It is also important to take into account that most of reported studies were carried out in a laboratory under a controlled environment and using a stabilized device. In our study, measurements were carried out directly in the forest where human error may have had an impact on drilling consistency. Acuna et al. [28] reported high adjusted R2 values (>0.80) between density and RAmean for Q. robur and five other wood species with 30 cm/min FR and 1500 RPM, while Sharapov et al. [26] obtained relationship ranging between 0.58 and 0.87 for three different feed rates on water saturated samples. Da Silva et al. [29] computed various R2 values on tropical tree species, ranging from 0.55 to 0.97, and observed that the correlation between the properties was stronger in the case of higher-density wood species; however, the authors did not specify feed speed and RPM. In contrast, Karlinasari et al. [48] reported a lower correlation (R2 = 0.25) between Resi amplitude and wood density in the case of agarwood with 1000 RPM.

5. Conclusions

The results obtained in this study provide evidence that the Resi is an appropriate tool for non-destructive determination of wood density. Moreover, we observed a strong significant correlation between annual ring width and basic density. This means that AWR has an indirect impact on wood resistance. In the case of oak wood, these results may be related to a higher proportion of late wood in wider rings, although this hypothesis should be confirmed in future studies. We created a linear model to calculate the relationships between resistance drilling results, basic density and annual ring width, but the adjusted R2 values obtained were small (0.40). According to the literature, it is possible to improve this relationship by using appropriate correction models or by carrying out the study under more stable conditions. Wood has a heterogenous structure, therefore we cannot know whether the needle is moving exactly in the radial direction. Nevertheless, the relationship between the examined properties was significant. This study was carried out only in one stand and one species, on a small number of selected trees and samples. Therefore, in further studies, consideration should be given to increasing the number of samples and plots to attempt to create a more accurate model.

Author Contributions

Conceptualization: K.T. and A.T.; methodology: K.T., A.T. and T.J.; formal analysis: K.T. and A.T.; data curation: K.T.; writing—original draft preparation: K.T., A.T. and T.J.; writing—review and editing: K.T. and A.T.; visualization: K.T.; supervision: A.T. All authors have read and agreed to the published version of the manuscript.

Funding

Publication was co-financed within the framework of the Polish Ministry of Science and Higher Education’s program: “Regional Initiative Excellence” in the years 2019–2022 (No. 005/RID/2018/19)”, financing amount 12 000 00 PLN.

Institutional Review Board Statement

Not applicable.

Data Availability Statement

The study did not report any data.

Acknowledgments

The authors would like to thank the staff of the Włoszakowice Forest District for their help with the experiment.

Conflicts of Interest

The authors declare no conflict of interest.

References

  1. Tomczak, A.; Pazdrowski, W.; Jelonek, T. Quality of Scots Pine (Pinus sylvestris L.) Wood Part I. Characteristics of Selected Wood Traits and Properties Affecting Its Quality. Sylwan 2009, 153, 363–372. [Google Scholar]
  2. Machado, J.S.; Louzada, J.L.; Santos, A.J.A.; Nunes, L.; Anjos, O.; Rodrigues, J.; Simões, R.M.S.; Pereira, H. Variation of Wood Density and Mechanical Properties of Blackwood (Acacia melanoxylon R. Br.). Mater. Des. 2014, 56, 975–980. [Google Scholar] [CrossRef]
  3. Gao, S.; Wang, X.; Wiemann, M.C.; Brashaw, B.K.; Ross, R.J.; Wang, L. A Critical Analysis of Methods for Rapid and Nondestructive Determination of Wood Density in Standing Trees. Ann. For. Sci. 2017, 74, 1–13. [Google Scholar] [CrossRef]
  4. Pérez-Harguindeguy, N.; Díaz, S.; Garnier, E.; Lavorel, S.; Poorter, H.; Jaureguiberry, P.; Bret-Harte, M.S.; Cornwell, W.K.; Craine, J.M.; Gurvich, D.E.; et al. New Handbook for Standardised Measurement of Plant Functional Traits Worldwide. Aust. J. Bot. 2016, 61, 167–234. [Google Scholar] [CrossRef]
  5. Tomazello, M.; Brazolin, S.; Chagas, M.P.; Oliveira, J.T.S.; Ballarin, A.W.; Benjamin, C.A. Application of X-ray Technique in Nondestructive Evaluation of Eucalypt Wood. Maderas Cienc. Tecnol. 2008, 10, 139–149. [Google Scholar] [CrossRef]
  6. Jacquin, P.; Longuetaud, F.; Leban, J.M.; Mothe, F. X-ray Microdensitometry of Wood: A Review of Existing Principles and Devices. Dendrochronologia 2017, 42, 42–50. [Google Scholar] [CrossRef]
  7. Schönfelder, O.; Zeidler, A.; Borůvka, V.; Bílek, L.; Vítámvás, J. Effect of Shelterwood and Clear-Cutting Regeneration Method on Wood Density of Scots Pine. Forests 2020, 11, 0868. [Google Scholar] [CrossRef]
  8. Wu, S.J.; Xu, J.M.; Li, G.Y.; Risto, V.; Lu, Z.H.; Li, B.Q.; Wang, W. Use of the Pilodyn for Assessing Wood Properties in Standing Trees of Eucalyptus Clones. J. For. Res. 2010, 21, 68–72. [Google Scholar] [CrossRef]
  9. Couto, A.M.; Trugilho, P.F.; Neves, T.A. Modeling of Basic Density of Wood from Eucalyptus Grandis and Eucalyptus Urophylla Using Nondestructive Methods. Rev. Ceres 2013, 19, 27–34. [Google Scholar] [CrossRef]
  10. Fundova, I.; Funda, T.; Wu, H.X. Non-Destructive Wood Density Assessment of Scots Pine (Pinus sylvestris L.) Using Resistograph and Pilodyn. PLoS ONE 2018, 13, 1–16. [Google Scholar] [CrossRef]
  11. De Pádua, F.A.; Tomeleri, J.O.P.; Franco, M.P.; da Silva, J.R.M.; Trugilho, P.F. Recommendation of Non-Destructive Sampling Method for Density Estimation of the Eucalyptus Wood. Maderas Cienc. Tecnol. 2019, 21, 565–572. [Google Scholar] [CrossRef]
  12. Isik, F.; Li, B. Rapid Assessment of Wood Density of Live Trees Using the Resistograph for Selection in Tree Improvement Programs. Can. J. For. Res. 2003, 33, 2426–2435. [Google Scholar] [CrossRef]
  13. Wang, S.Y.; Chiu, C.M.; Lin, C.J. Application of the Drilling Resistance Method for Annual Ring Characteristics: Evaluation of Taiwania (Taiwania cryptomerioides) Trees Grown with Different Thinning and Pruning Treatments. J. Wood Sci. 2003, 49, 116–124. [Google Scholar] [CrossRef]
  14. Gouvêa, A.d.F.G.; Trugilho, P.F.; Gomide, J.L.; da Silva, J.R.M.; Andrade, C.R.; Alves, I.C.N. Determination of Eucalyptus Basic Density by Different Nondestructive Methods. Rev. Árvore 2011, 35, 349–358. [Google Scholar] [CrossRef]
  15. İçel, B.; Güler, G. Nondestructive Determination of Spruce Lumber Wood Density Using Drilling Resistance (Resistograph) Method. Turkish J. Agric. For. 2016, 40, 900–907. [Google Scholar] [CrossRef]
  16. Downes, G.M.; Lausberg, M.; Potts, B.M.; Pilbeam, D.L.; Bird, M.; Bradshaw, B. Application of the IML Resistograph to the Infield Assessment of Basic Density in Plantation Eucalypts. Aust. For. 2018, 81, 177–185. [Google Scholar] [CrossRef]
  17. Li, X.; Qian, W.; Chang, L. Analysis of the Density of Wooden Components in Ancient Buildings by Micro-Drilling Resistance, Using Information Diffusion. BioResources 2019, 14, 5777–5787. [Google Scholar] [CrossRef]
  18. Ross, R.J.; Pellerin, R.F. Stress Wave Evaluation of Green Material: Preliminary Results Using Dimension Lumber. For. Prod. J. 1991, 41, 57–59. [Google Scholar]
  19. Bucur, V. Nondestructive Characterization and Imaging of Wood; Springer Series in Wood Science: Berlin, Germany, 2003; ISBN 9783642740671. [Google Scholar]
  20. Rinn, F. Basics of Micro-Resistance Drilling for Timber Inspection. Holztechnologie 2012, 53, 24–29. [Google Scholar]
  21. Rinn, F. One Minute Pole Inspection with Resistograph Micro Drillings. In Proceedings of the International Conference on Wood Poles and Piles, Fort Collins, CO, USA, 21–23 March 1994; pp. 12–18. [Google Scholar]
  22. De Ridder, M.; Van Den Bulcke, J.; Vansteenkiste, D.; Van Loo, D.; Dierick, M.; Masschaele, B.; De Witte, Y.; Mannes, D.; Lehmann, E.; Beeckman, H.; et al. High-Resolution Proxies for Wood Density Variations in Terminalia Superba. Ann. Bot. 2011, 107, 293–302. [Google Scholar] [CrossRef]
  23. Sharapov, E.; Brischke, C.; Militz, H.; Smirnova, E. Combined Effect of Wood Moisture Content, Drill Bit Rotational Speed and Feed Rate on Drilling Resistance Measurements in Norway Spruce (Picea abies (L.) Karst). Wood Mater. Sci. Eng. 2018, 15, 1–7. [Google Scholar] [CrossRef]
  24. Ukrainetz, N.K.; O’Neill, G.A. An Analysis of Sensitivities Contributing Measurement Error to Resistograph Values. Can. J. For. Res. 2010, 40, 806–811. [Google Scholar] [CrossRef]
  25. Gendvilas, V.; Downes, G.M.; Neyland, M.; Hunt, M.; Jacobs, A. Friction Correction When Predicting Wood Basic Density Using Drilling Resistance. Holzforschung 2021, 75, 508–516. [Google Scholar] [CrossRef]
  26. Sharapov, E.; Brischke, C.; Militz, H.; Smirnova, E. Prediction of Modulus of Elasticity in Static Bending and Density of Wood at Different Moisture Contents and Feed Rates by Drilling Resistance Measurements. Eur. J. Wood Wood Prod. 2019, 77, 833–842. [Google Scholar] [CrossRef]
  27. Nowak, T.P.; Jasieńko, J.; Hamrol-Bielecka, K. In Situ Assessment of Structural Timber Using the Resistance Drilling—MethodEvaluation of Usefulness. Constr. Build. Mater. 2016, 102, 403–415. [Google Scholar] [CrossRef]
  28. Acuña, L.; Basterra, L.A.; Casado, M.M.; López, G.; Ramón-Cueto, G.; Relea, E.; Martínez, C.; González, A. Application of Resistograph to Obtain the Density and to Differentiate Wood Species. Mater. Construcción 2011, 61, 465–2746. [Google Scholar] [CrossRef]
  29. Da Silva, C.E.S.; Pace, J.H.C.; Gomes, F.J.B.; de Carvalho, P.C.L.; de Azevedo Reis, C.; de Figueiredo Latorraca, J.V.; Rolim, S.G.; de Carvalho, A.M. Comparison between Resistograph Analysis with Physical Properties of the Wood of Brazilian Native Tree Species. Floresta Ambient. 2020, 27, 1–7. [Google Scholar] [CrossRef]
  30. Pratt, R.B.; Jacobsen, A.L.; Ewers, F.W.; Davis, S.D. Relationships among Xylem Transport, Biomechanics and Storage in Stems and Roots of Nine (Rhamnaceae) Species of the (California) Chaparral. New Phytol. 2007, 174, 787–798. [Google Scholar] [CrossRef]
  31. Tomczak, K.; Tomczak, A.; Naskrent, B.; Jelonek, T. The Radial Gradient of Moisture Content of Silver Birch Wood in Different Seasons. Silva. Fenn. 2021, 55, 10545. [Google Scholar] [CrossRef]
  32. Johnstone, D.M.; Ades, P.K.; Moore, G.M.; Smith, I.W. Predicting Wood Decay in Eucalypts Using an Expert System and the IML-Resistograph Drill. Arboric. Urban For. 2007, 33, 76–82. [Google Scholar] [CrossRef]
  33. Nutto, L.; Biechele, T. Drilling Resistance Measurement and the Effect of Shaft Friction—Using Feed Force Information for Improving Decay Identification on Hard Tropical Wood. In Proceedings of the 19th International Nondestructive Testing and Evaluation of Wood Symposium, Rio de Janeiro, Brazil, 22–25 September 2015; pp. 154–161. [Google Scholar]
  34. Kubus, M. The Evaluation of Using Resistograph When Specifying the Health Condition of a Monumental Tree. Not. Bot. Horti Agrobot. Cluj-Napoca 2009, 37, 157–164. [Google Scholar] [CrossRef]
  35. Bouffier, L.; Charlot, C.; Raffin, A.; Rozenberg, P.; Kremer, A. Can Wood Density Be Efficiently Selected at Early Stage in Maritime Pine (Pinus pinaster Ait.)? Ann. For. Sci. 2008, 65, 106. [Google Scholar] [CrossRef]
  36. Johnstone, D.; Moore, G.; Tausz, M.; Nicolas, M. The Measurement of Wood Decay in Landscape Trees. Arboric. Urban For. 2015, 36, 121–127. [Google Scholar] [CrossRef]
  37. Dias, D.; Colodette, L.; Thiersch, C.; Leite, H.; Gomide, J. Use of Resistograph Technique and of Dendrometric Variables in the Modeling of the Basic Density of Clonal Populations Eucalyptus. Ciência Florest. 2017, 27, 609–619. [Google Scholar] [CrossRef][Green Version]
  38. Castaño-Santamaría, J.; Bravo, F. Variation in Carbon Concentration and Basic Density along Stems of Sessile Oak (Quercus petraea (Matt.) Liebl.) and Pyrenean Oak (Quercus pyrenaica Willd.) in the Cantabrian Range (NW Spain). Ann. For. Sci. 2012, 69, 663–672. [Google Scholar] [CrossRef]
  39. Pásztory, Z.; Börcsök, Z.; Ronyecz, I.; Mohácsi, K.; Molnár, S.; Kis, S. Oven Dry Density of Sessile Oak, Turkey Oak and Hornbeam in Different Region of Mecsek Mountain. Wood Res. 2014, 59, 683–694. [Google Scholar]
  40. Zeidler, A.; Boruvka, V. Wood Density of Northern Red Oak and Pedunculate Oak Grown in Former Brown Coal Mine in the Czech Republic. BioResources 2016, 11, 9373–9385. [Google Scholar] [CrossRef]
  41. Tomczak, A.; Tomczak, K.; Rutkowski, N.S.K.; Wenda, M.; Jelonek, T. The Gradient of Wood Moisture Within-Stem of Sessile Oak (Quercus petraea (Matt.) Liebl.) in Summer. Wood Res. 2018, 63, 809–820. [Google Scholar]
  42. Nazari, N.; Bahmani, M.; Kahyani, S.; Humar, M.; Koch, G. Geographic Variations of the Wood Density and Fiber Dimensions of the Persian Oak Wood. Forests 2020, 11, 1003. [Google Scholar] [CrossRef]
  43. Jakubowski, M.; Dobroczyński, M. Allocation of Wood Density in European Oak (Quercus robur L.) Trees Grown under a Canopy of Scots Pine. Forests 2021, 12, 712. [Google Scholar] [CrossRef]
  44. Vavrčík, H.; Gryc, V. Analysis of the Annual Ring Structure and Wood Density Relations in English Oakand Sessile Oak. Wood Res. 2012, 57, 573–580. [Google Scholar]
  45. Guller, B.; Guller, A.; Kazaz, G. Is Resistograph an Appropriate Tool for the Annual Ring Measurement of Pinus Brutia? In Proceedings of the Defektoskopie 2012, Seč u Chrudimi, Czech Republic, 30 October–1 November 2012; pp. 89–94. [Google Scholar]
  46. Zhang, S.Y. Variations and Correlations of Various Ring Width and Ring Density Features in European Oak: Implications in Dendroclimatology. Wood Sci. Technol. 1997, 31, 63–72. [Google Scholar] [CrossRef]
  47. Wang, S.Y.; Lin, C.J. Application of the Drill Resistance Method for Density Boundary Evaluation of Earlywood and Latewood of Taiwania. Taiwan J. For. Sci. 2001, 16, 197–200. [Google Scholar]
  48. Karlinasari, L.; Danu, M.I.; Nandika, D.; Turjaman, M. Drilling Resistance Method to Evaluate Density and Hardness Properties of Resinous Wood of Agarwood (Aquilaria malaccensis). Wood Res. 2017, 62, 683–690. [Google Scholar]
Publisher’s Note: MDPI stays neutral with regard to jurisdictional claims in published maps and institutional affiliations.

Article Metrics

Citations

Article Access Statistics

Multiple requests from the same IP address are counted as one view.