Abstract
Circular RNAs (circRNAs) are a class of endogenous noncoding RNAs formed by 3′-5′ ligation during splicing. They play an important role in the regulation of transcription and miRNA in eukaryotes. Drought is one of the detrimental abiotic stresses that limit plant growth and productivity. How circRNAs influence the response to drought stress in moso bamboo (Phyllostachys edulis) remains elusive. In this study, we investigate the expression pattern of circRNAs in moso bamboo at 6 h, 12 h, 24 h and 48 h after drought treatment by deep sequencing and bioinformatics analysis and identify 4931 circRNAs, 52 of which are differentially expressed (DEcircRNAs) in drought-treated and untreated moso bamboo. Gene Ontology (GO) and Kyoto Encyclopedia of Genes and Genomes (KEGG) pathway analyses of the host genes that generate the DEcircRNAs indcate that these DEcircRNAs are predicted to be involved in biochemical processes in response to drought, such as ubiquitin-mediated proteolysis, calcium-dependent protein kinase phosphorylation, amino acid biosynthesis and plant hormone signal transduction including abscisic acid. In addition, some circRNAs are shown to act as sponges for 291 miRNAs. Taken together, our results characterize the transcriptome profiles of circRNAs in drought responses and provide new insights into resistance breeding of moso bamboo.
1. Introduction
Circular RNAs (circRNAs) are a class of noncoding RNA covalently closed by 3′ and 5′ ends which were first discovered in 1976 [1]. However, due to their closed structure, low abundance and other characteristics, circRNAs have been regarded as products of splicing error that do not have any function for a long time. In recent years, with the development of high-throughput sequencing technology and bioinformatics, moso bamboo [2], rice [3], grape [4], maize and Arabidopsis [5] have been fully sequenced. Based on their distribution in the genome, circRNAs can be categorized into three types: exonic circRNAs, intronic circRNAs and intergenic circRNAs [6]. In comparison with liner RNA, circRNAs contain a stable ring structure and are not easily degraded by exonuclease [7]. Their important roles in diverse biological processes of plants are being gradually revealed.
Multiple functions of circRNAs have been identified in humans and animals. One of the most important roles of circRNAs is that they can bind miRNA as sponges and involve in miRNA-related signaling pathways to regulate gene expression [8]. For example, circRNA-cTFRC can act as a sponge of miR-107 and promote the expression of host gene TFRC [9]. Furthermore, plant circRNAs may exhibit similar functions [10]. Lately, the existence of circRNAs has been widely identified in many plants species, including Arabidopsis thaliana [11], maize [12], rice [3], tea [13] and sea buckthorn [14]. Based on the roles of circRNAs in animals, a circRNAs-miRNA-mRNA network has been established in plants, in which circRNAs act as sponges of miRNA to modulate the expression of host genes [15]. Moreover, plant circRNAs also directly regulate the expression of parental genes. For example, the circRNAs in moso bamboo can reduce the expression of parental genes [2]. Lu found that overexpression of circRNAs reduced the transcription level of their parental genes by constructing transgenic rice [3]. These findings show that the regulation of parental transcripts by circRNAs is diverse. CircRNAs in animals and plants have the same conservatism and tissue specifics, but there are many ALUs and repeated sequences in animals flanking introns [16,17]. Therefore, Gao [4] constructed a vector with reverse complementary sequences to enable efficient expression of circRNAs. Many studies demonstrate that circRNAs play an essential role in biotic and abiotic stress response, including chilling injury, drought, nutrient deficiency and pathogen invasion [18,19,20,21].
Moso bamboo is an economic species in the world and can be processed into many products, but its production is strongly affected by drought. The impact of drought is an extremely complex process, including changing physical and chemical properties and molecular mechanisms. In these changes, transcription factors and hormone signaling related genes have been confirmed [22,23,24]. Although people pay more attention to the transcriptional regulation of moso bamboo under drought stress, there is no evidence that circRNAs are involved in the response to drought in moso bamboo. Previous studies have shown that circRNAs are widely expressed in maize and Arabidopsis under drought stress. Arabidopsis, was found to be was sensitive to abscisic acid, producing an overexpression of circGORK, indicating that circGORK played a positive role in drought resistance [5]. Therefore, identification of more circRNAs related to drought resistance in moso bamboo has significant value for molecular breeding.
In our study, we carried out different degrees of drought on moso bamboo and the circRNAs were obtained by deep RNA sequencing. We detected thousands of circRNAs, dozens of which were differentially expressed in plants after drought stress. These results indicate that circRNAs are effective indicators of plant drought response. The potential regulatory functions of circRNAs are further discussed. Our study revealed the potential function of circRNAs in moso bamboo under drought stress and provided important resources for the future research of circRNAs in plants.
2. Materials and Methods
2.1. Plant Materials and Treatments
Moso bamboo seeds were collected in Guangxi Zhuang Autonomous Region, China and planted in a plastic basin with a diameter of about 10 cm containing humus soil. They were incubated in a constant temperature and light incubator. The day and night temperature was 25/18 °C, and the photoperiod was light/dark 16/8 h. The culture lasted for about 3 months. The seedlings of moso bamboo were treated with PEG 6000 to simulate drought stress [25]. After 6 h, 12 h, 24 h and 48 h of treatment, the leaves of the same part were taken. Three pots of seedlings were taken as a sample, frozen in liquid nitrogen and stored at –80 °C until further use.
2.2. RNA Preparation
After drought treatment, total RNA of each samples were extracted using RNAprep Pure Plant Kit (Tiangen, Beijing, China) following the manufacturer’s protocol. The purity, integrity and concentration of total RNAs were verified by using NanoDrop2000 (NanoDrop Technologies, Wilmington, DE, USA) and gel electrophoresis. Total amount of each RNA samples (5 μg) were treated by Ribo-Zero rRNA Removal Kit (for plant, Epicentre, Madison, WI, USA) to remove rRNA. The rRNA depleted RNA was reacted with RNase R. The sequencing library was generated using the NebNext® Ultra™ targeted RNA Directional RNA Library Prep Kit for Illumina® (NEB, Boston, MA, USA) according to the manufacturer’s recommendations, and an index code was added to the attribute sequence of each sample. In the end, the library was purified by AMPure XP system and qualified by Agilent Bioanalyzer 2100 system.
2.3. Clustering and Sequencing
According to the manufacturer’s instructions, TruSeq PE Cluster Kitv3-cBot-HS (Illumina) was used to cluster the index coding samples on the ACBOT clustering system. After cluster generation, the library preparations were sequenced on an Illumina Hiseq platform and paired-end reads were produced.
2.4. Identification of Moso Bamboo circRNAs
All rate data of fastq format were processed by Perl script, removing reads containing adapter, ploy-N and low quality reads to obtain clean data (clean reads). Meanwhile, the Q20, Q30 and Guanine and Cytosine (GC) content was calculated from clean data. All the downstream analyses were based on clean and high quality data. TopHat v2.0.9 software, based on Bowtie software, was used to make the clean reads mapped to the reference genome and gene model annotation files (http://bamboo.bamboogdb.org/#/, accessed on 10 September 2021). Then, CIRI (CircRNA Identifier) and find-circ tools were used to identify circRNAs. Finally, the sequences of intersection by the two approaches were identified to be circRNAs.
2.5. Differential Expression and Functional Prediction
The number of junction reads identified by tools decided the expression of circRNAs. DEcircRNAs between the control and drought-treated plants at the four time points were analyzed using the the DESeq R package (1.10.1). The Benjamini and Hochberg’s methods were used to adjust p-values. In the detection of DEcircRNAs, Fold Change greater than or equal to 2 and p-values less than 0.05 were selected as screening criteria. DEcircRNAs’ functions depend on their host genes, so using GO, KEGG enrichment analysis can be used to better predict the function of circRNAs. GO enrichment analysis of these host genes was implemented using topGO R packages. The KEGG database is the main public database of metabolic pathways. The KOBAS web server was used to test the statistical enrichment of differential expression genes in the KEGG pathways.
2.6. Validation of circRNAs
Genomic DNA from moso bamboo was extracted using conventional cetyltrimethylammonium bromide (CTAB). Total RNA for using was extracted from moso bamboo leaves at control and four time points using a Total RNA Kit (Tiangen, Beijing, China) according to the manufacturer’s protocol. Then, for RNase R treatment, total RNA was incubated for 15 min at 37 °C by 2–3 units RNase R per μg of total RNA (Jisai, Guangzhou, China). After treatment, a reverse transcriptase reaction was performed using the PrimeScript RT reagent kit (Takara, Dalian, China). To validate moso bamboo circRNAs, we designed primers (divergent and convergent) with primer3 software. cDNA (RNase R+), total RNA and genomic DNA (gDNA) were used as templates for performing the PCR. The PCR products were confirmed by agarose gel electrophoresis and Sanger sequencing. The qRT-qPCR procedure of circRNAs was as follows: 95 °C for 1 min, followed by 45 cycles of 95 °C for 10 s, 62 °C for 10 s and 72 °C for 10 s. The 2−∆∆Ct method was used to calculate the relative expression of circRNAs with TIP41 as the reference gene [26,27].
2.7. MiRNA Binding Site Prediction
CircRNAs can bind to miRNAs, so it can inhibit the function of miRNA. For further surveying the function of circRNAs, we can analysis the miRNA binding site of the identified circRNA with TargetFinder software.
3. Results
3.1. Identification and Characterisation of circRNAs in Moso Bamboo
In order to identify the circRNAs involved in drought stress response in moso bamboo, we isolated RNA from untreated seedlings (P1) and seedlings treated with drought for 6 h (P2), 12 h (P3), 24 h (P4) and 48 h (P5), respectively, and constructed RNA-Seq libraries, which were subjected to sequencing using the Illumina Hiseq 2500 platform. A total of 282,140,000 clean reads were generated from 15 samples. After removing the adapter, low-quality sequences and primer sequences, raw reads were mapped to the moso bamboo reference genome; the GC content was approximately 45.5% and Q30 was greater than 94% (Table S1). A total of 4931 circRNAs were detected from samples using find_circ tools (Figure 1A). In addition, 370 circRNAs were found in samples from all five periods. According to the genomic locus, we divided the circRNAs of 15 samples into exon region, intron region and intergenic region. Most bamboo circRNAs are composed of exons (Figure 1B). The length of major bamboo circRNAs ranges from 200 bp to 800 bp (Figure 1C). We calculated the number of circRNAs on each chromosome (Figure 1D). The abundance and distribution of circRNAs on chromosome 13 and 15 are much higher than those on other chromosomes. Moreover, 4047 circRNAs are derived from 2874 host genes, of which 76.79% host genes produce only one circRNA. The rest of the host genes produce more than one circRNA, while the maximum amount of circRNAs that one host gene can produce is 14 (Figure 1E). The same host gene generates various circRNAs through alternative splicing. The relationships of these alternative circRNAs can be divided into three classes: no association, one contains the other, or one has a similar splice site and the other has a different splice site (Figure 1F).

Figure 1.
Genome-wide analysis of circRNAs in moso bamboo under the drought stress treatment. (A) Venn diagram indicates the number and distribution of circRNAs detected in five periods. (B) Accumulative bar diagram shows the types of circRNAs in each sample. (C) Length range of moso bamboo circRNAs in three groups. (D) Histogram shows the number of circRNAs detected in each chromosome. (E) Percentage of circRNAs produced from the same host gene. (F) Examples of three host genes that produce different numbers of circRNAs.
3.2. CircRNAs Are Differentially Expressed in Response to Drought Stress Treatment
The expression specificity of circRNAs provides insights into their biological functions. To reveal the expression pattern of circRNAs in moso bamboo during drought, we measured the expression levels of circRNAs in control and at different time intervals and identified DEcircRNAs. Within the 4931 circRNAs of moso bamboo, a total of 52 DEcircRNAs were detected in the four treated and control samples. Thus, 26, 17, 16 and 10 circRNAs were found, respectively, in P1_VS_P2, P1_VS_P3, P1_VS_P4 and P1_VS_P5 comparison periods (Figure 2A and Table S2). Four DEcircRNAs appeared in all four sets of comparisons (Figure 2B). Some of these DEcircRNAs exhibited stage-specific expression (Figure 2C). These results indicated that circRNAs play a specific role in drought response.
Figure 2.
Differential expression analysis of circRNAs in response to drought stress treatment. (A) Specific distribution of DEcircRNAs in the four comparison groups. (B) Venn diagram of circRNAs distribution in different comparisons. (C) Heatmap of expression of all DEcircRNAs in all samples.
3.3. Functional Analysis of Differentially Expressed circRNAs under Drought Stress
Although some circRNAs have been shown to be involved in the regulation of their parental gene expression, the molecular mechanisms of the majority of circRNAs still need to be investigated. We identified the parental genes of moso bamboo derived from the circRNAs’ source position in the genome to discover the putative functions of moso bamboo circRNAs. We performed GO category and KEGG pathway analyses of host genes for DEcircRNAs at P1, P2, P3, P4 and P5. The host genes are involved in many biological processes, including cellular processes and metabolic processes. These genes also have catalytic and binding activity, suggesting that circRNAs may play a role in the response to drought stress The KEGG pathway enrichment analysis reveals that host genes of circRNAs are significantly enriched in three pathways. All of these three pathways were related to drought stress (Figure 3B). For example, overexpression of the maize E3 ubiquitin ligase gene increased drought resistance in Arabidopsis [28].
Figure 3.
Gene ontology (GO) and Kyoto encyclopedia of genes and genomes (KEGG) enrichment analysis for host genes of DEcircRNAs. (A) The most enriched GO terms of the host genes of DEcircRNAs. (B) The most enriched KEGG pathways of the host genes of DEcircRNAs.
3.4. Validation of circRNAs
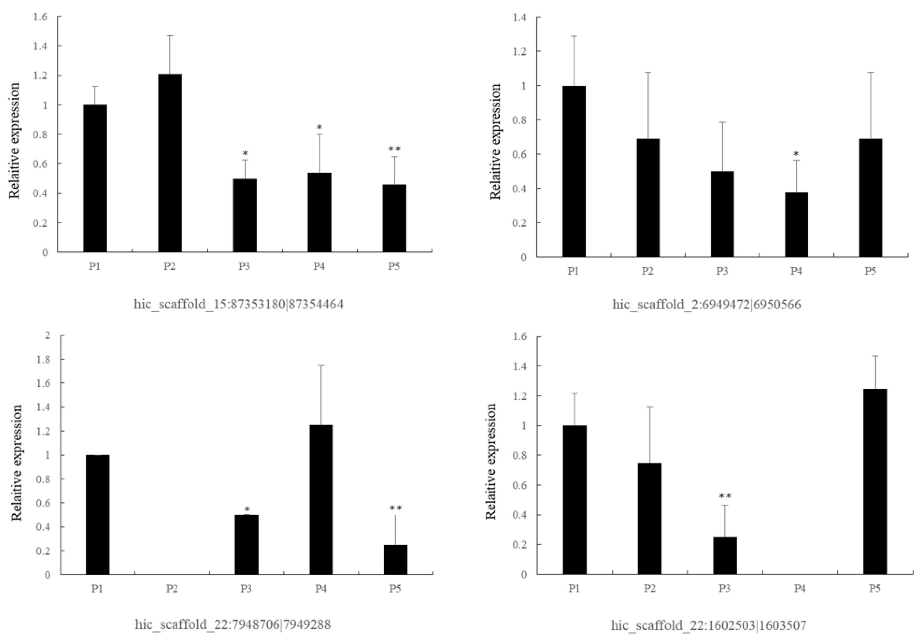
In order to confirm the moso bamboo circRNAs, we randomly selected three highly expressed circRNAs for experimental validation by using convergent and divergent primers for polymerase chain reaction (PCR) and Sanger sequencing. The structure of circRNAs was different from of linear RNAs, so cDNA and genomic DNA (gDNA) samples were used to amplify circRNAs (Figure 4). For instance, circRNA hic_scaffold_3:83696771|83697493 is located on the fourth to fifth exon of gene PH02Gene31251 (Figure 4A). To validate this circRNA, we designed convergent and divergent primers in exon four and exon five and sequenced it by Sanger sequencing after PCR amplification to confirm reverse splice junctions. In addition, to verify the reliability of the gene expression profile, we randomly selected four DEcircRNAs for expression analysis (Figure 4). The RT-qPCR results showed an expression pattern consistent with the RNA-seq results (Figure 5). The primers are listed in Table S3.
Figure 4.
Validation of circRNAs by PCR and Sanger sequencing. (A) A circRNA (hic_scaffold_3:83696771|83697493) exemplifying the validation strategy. According to the genomic loci, circRNA hic_scaffold_3:83696771|83697493 was derived from the gene PH02Gene31251. The two sets of arrows indicate the two sets of amplification primers that were designed to confirm head-to-head reverse splicing by PCR and Sanger sequencing. (B,C) Validation of two circRNAs (hic_scaffold_18:6396002|6397646, hic_scaffold_23:86281638|86282650) by PCR and Sanger sequencing. Divergent primers successfully amplified the circRNAs in cDNA but not those in gDNA. Convergent primers amplified the circRNAs in both cDNA and gDNA.
Figure 5.
Relative expression of four selected DEcircRNAs measured by RT-qPCR. For RT-qPCR, three replicates were performed. Asterisk on bars indicate significant difference between different stages using t test. Error bars represent standard error of the mean. * p < 0.05, indicates a significant difference. ** p < 0.01, indicates a profoundly significant difference. Bars without asterisk indicates not significant.
3.5. Binding Prediction of circRNAs and miRNAs
A large number of studies have shown that circRNAs can bind to miRNAs, thereby inhibiting the association with mRNAs and regulating gene expression. At the same time, miRNAs can be involved in a variety of plant responses to abiotic stresses. We used Target Finder software to predict potential miRNA binding sites and identify bamboo circRNAs that target miRNAs. In total, 291 miRNAs were able to bind to different circRNAs (Table S4). Among these 291 miRNAs, some miRNAs bind to one circRNA and some miRNAs can be recognized by multiple circRNAs. For example, miR_158 can act as a sponge for 78 circRNAs. The fraction of potential target miRNAs for the 52 DEcircRNAs is shown in Figure 6 and Table S4.
Figure 6.
The DEcircRNAs-miRNA interaction network. (A) Different DEcircRNAs share a common miRNA. (B) Different DEcircRNAs share different miRNAs. Blue nodes: miRNAs. Red nodes: Up-regulated circRNAs. Green nodes: Down-regulated circRNAs.
4. Discussion
As a special class of noncoding RNAs, circRNAs are formed by a series of splices between the downstream indirect donor and the upstream indirect acceptor [29]. However, due to the low expression level and tissue specificity of circRNAs, they were usually considered as byproducts in previous studies [30]. In recent years, along with the rapid development of bioinformatics and sequencing technologies, circRNAs have been identified in more and more plants and animals, and their involvement in a variety of biological processes has also been demonstrated [31]. A large number of circRNAs have been identified in Arabidopsis, maize, rice, bamboo and grape by various techniques, and these circRNAs are closely associated with diverse development and stress responses [3,4,32,33,34]. For example, the expression of 163 circRNAs responses to chilling in tomato [18], and 33 circRNAs were shown to be responsive to dehydration in pears [21]. Meanwhile, a lot of circRNAs associated with senescence have also been found in moso bamboo [34]. Moso bamboo is an economically valuable bamboo species, but with global warming, drought and high temperatures are having huge impacts on its growth. A total of 4931 circRNAs were detected in moso bamboo, 76.79% of which were produced by only one parental gene. The gene structure annotations show that most host genes prefer to produce one circRNA, which is generally consistent with studies in sea buckthorn, tea and melon [13,14,35]. The different splicing products of individual genes provide a major source of functional plasticity and play important roles in plant growth, development and defence responses [36]. Our study also shows that some chromosomes contain more circRNAs than others, which may be due to more chances to generate alternative splicing genes on these chromosomes under drought treatment thereby producing more circRNAs through splicing. In our study, the cDNA library was produced only from leaves, so it is likely that we found only a small portion of circRNAs.
Drought is one of the most harmful factors for plant growth, which has wide-ranging and long-term influences on plant growth and productivity. When water consumption of plants is more than water uptake, plants will suffer from water deficiency. When water shortage is severe, it will lead to drought stress in plants. Drought stress can cause different degrees of damage to plants, as evidenced by some leaf curling, wilting and root damage [22]. Meanwhile, under drought stress, plants’ photosynthesis rate decreases due to the closure of stomata and the inability of carbon dioxide to enter and exit the cells. Thus, plant response to drought stress is a complex process. It involves the expression of many metabolic networks and related genes; for example, ABA-dependent and ABA-independent pathways [37]. ABA is one of the important hormones in plants, its physiological functions in the organism are mainly reflected in: when the organism is subjected to external drought, salinity, high temperature, low temperature and mechanical damage, the synthesis of ABA in the body is affected, regulating the opening of plant stomata, thus improving the tolerance of plants to external stresses [38]. In this study, 52 of the 4931 identified circRNAs were identified as DEcircRNAs between drought-treated and control seedlings. The fluctuation in the abundance of circRNAs after drought treatment in moso bamboo may be related to the possible role of circRNAs in the drought stress response. We performed GO enrichment analysis of the host genes of the target genes to investigate the role of the target genes in drought response. GO analysis showed that these host genes were mainly enriched in the categories of metabolic processes, cellular processes, single-organism process and biological regulation. These findings are consistent with the reported functions of differentially expressed mRNAs in drought-treated pears [21], suggesting that the corresponding circRNAs may play an important role in regulating the expression of their host genes. We also identified host genes associated with ubiquitin-protein ligase E3 and Ca2+ signaling, which may be involved in mediating the hydrolysis reaction of some proteins and play a key regulatory role in the signaling process. Their regulatory mechanisms deserve further investigation.
Many studies in plants and animals have demonstrated that circRNAs can adsorb miRNAs and thus upregulate the expression of their target genes. However, it has been pointed out that only a few circRNAs are in a position to play a miRNA sponge adsorption role. For example, a total of 33 differential circRNAs could complement 23 miRNA sequences after Iranian mosaic virus infestation of maize [39]. To determine whether circRNAs can target miRNAs and participate in transcriptional regulation of genes, we predicted that 291 miRNAs can bind to different circRNAs. These miRNAs recognized by to one or more circRNAs, which is similar to the characterization of circRNAs in wheat [40]. However, among the 52 DEcircRNAs, we only found 20 DEcircRNAs that would have some binding sites to miRNAs. These results also further suggest that some circRNAs may be involved in the drought stress response of moso bamboo through the circRNA-miRNA regulatory network. However, the exact biological functions of these circRNAs and their target miRNAs in drought response need to be further investigated.
Supplementary Materials
The following are available online at https://www.mdpi.com/article/10.3390/f13030426/s1, Table S1: Quality of sequence data, Table S2: Differentially expressed circRNAs, Table S3: The primers used in this study, Table S4: Network of circRNAs-miRNAs.
Author Contributions
Y.L. and X.L. designed this study. Y.L. and X.S. performed the experiments. Y.L. analyzed the data and wrote the manuscript. B.K. and Y.Y. assisted with discussing of the manuscript. X.L. and Z.G. gave guidance and methodological advice. All authors have read and agreed to the published version of the manuscript.
Funding
This research was funded by the National Key R&D Program of China (2021YFD2200504).
Data Availability Statement
The data sets generated or analyzed during this study are included in this published article and its Supplementary Materials.
Acknowledgments
We are grateful to the State Forestry and Grassland Administration/Beijing Key Laboratory of Bamboo and Rattan Science and Technology.
Conflicts of Interest
The authors declare no conflict of interest.
References
- Sanger, H.L.; Klotz, G.; Riesner, D.; Gross, H.J.; Kleinschmidt, A.K. Viroids are single-stranded covalently closed circular RNA molecules existing as highly base-paired rod-like structures. Proc. Natl. Acad. Sci. USA 1976, 73, 3852–3856. [Google Scholar] [CrossRef] [PubMed] [Green Version]
- Wang, Y.; Gao, Y.; Zhang, H.; Wang, H.; Liu, X.; Xu, X.; Zhang, Z.; Kohnen, M.V.; Hu, K.; Wang, H.; et al. Genome-wide profiling of circular RNAs in the rapidly growing shoots of moso bamboo (Phyllostachys edulis). Plant Cell Physiol. 2019, 60, 1354–1373. [Google Scholar] [CrossRef] [PubMed]
- Lu, T.; Cui, L.; Zhou, Y.; Zhu, C.; Fan, D.; Gong, H.; Zhao, Q.; Zhou, C.; Zhao, Y.; Lu, D.; et al. Transcriptome-wide investigation of circular RNAs in rice. RNA 2015, 12, 2076–2087. [Google Scholar] [CrossRef] [PubMed] [Green Version]
- Gao, Z.; Li, J.; Luo, M.; Li, H.; Chen, Q.; Wang, L.; Song, S.; Zhao, L.; Xu, W.; Zhang, C.; et al. Characterization and cloning of grape circular RNAs identified the cold resistance-related Vv-circATS1. Plant Physiol. 2019, 180, 966–985. [Google Scholar] [CrossRef] [PubMed]
- Zhang, P.; Fan, Y.; Sun, X.; Chen, L.; Terzaghi, W.; Bucher, E.; Li, L.; Dai, M. A large-scale circular RNA profiling reveals universal molecular mechanisms responsive to drought stress in maize and Arabidopsis. Plant J. 2019, 98, 697–713. [Google Scholar] [CrossRef] [PubMed]
- Lasda, E.; Parker, R. Circular RNAs: Diversity of form and function. RNA 2014, 20, 1829–1842. [Google Scholar] [CrossRef] [PubMed] [Green Version]
- Salzman, J.; Gawad, C.; Wang, P.L.; Lacayo, N.; Brown, P.O. Circular RNAs are the predominant transcript isoform from hundreds of human genes in diverse cell types. PLoS ONE 2012, 7, e30733. [Google Scholar] [CrossRef] [Green Version]
- Jeck, W.R.; Sorrentino, J.A.; Wang, K.; Slevin, M.K.; Burd, C.E.; Liu, J.; Marzluff, W.F.; Sharpless, N.E. Circular RNAs are abundant, conserved, and associated with ALU repeats. RNA 2013, 19, 141–157. [Google Scholar] [CrossRef] [Green Version]
- Su, H.; Tao, T.; Yang, Z.; Kang, X.; Zhang, X.; Kang, D.; Wu, S.; Li, C. Circular RNA cTFRC acts as the sponge of microRNA-107 to promote bladder carcinoma progression. Mol. Cancer 2019, 18, 27. [Google Scholar] [CrossRef] [Green Version]
- Zhang, P.; Li, S.; Chen, M. Characterization and function of circular RNAs in plants. Front. Mol. Biosci. 2020, 7, 91. [Google Scholar] [CrossRef] [PubMed]
- Tengfei, L.; Li, Z.; Geng, C.; Tieliu, S. Identifying and characterizing the circular RNAs during the lifespan of Arabidopsis Leaves. Front. Plant Sci. 2017, 8, 1278. [Google Scholar] [CrossRef] [Green Version]
- Chen, L.; Zhang, P.; Fan, Y.; Lu, Q.; Li, Q.; Yan, J.; Muehlbauer, G.J.; Schnable, P.S.; Dai, M.; Li, L. Circular RNAs mediated by transposons are associated with transcriptomic and phenotypic variation in maize. New Phytol. 2018, 217, 1292–1306. [Google Scholar] [CrossRef] [Green Version]
- Tong, W.; Yu, J.; Hou, Y.; Li, F.; Zhou, Q.; Wei, C.; Bennetzen, J.L. Circular RNA architecture and differentiation during leaf bud to young leaf development in tea (Camellia sinensis). Planta 2018, 248, 1417–1429. [Google Scholar] [CrossRef] [PubMed]
- Zhang, G.; Diao, S.; Zhang, T.; Chen, D.; He, C.; Zhang, J. Identification and characterization of circular RNAs during the sea buckthorn fruit development. RNA Biol. 2019, 16, 354–361. [Google Scholar] [CrossRef] [Green Version]
- Wang, Y.; Wang, Q.; Zhu, B.; Luo, Y.; Deng, Z.; Zuo, J. Integrative analysis of circRNAs acting as ceRNAs involved in ethylene pathway in tomato. Physiol. Plant 2017, 161, 311–321. [Google Scholar] [CrossRef] [PubMed]
- Ye, C.Y.; Chen, L.; Liu, C.; Zhu, Q.H.; Fan, L. Widespread noncoding circular RNAs in plants. New Phytol. 2015, 208, 88–95. [Google Scholar] [CrossRef]
- Huo, L.; Zhang, P.; Li, C.; Rahim, K.; Hao, X.; Xiang, B.; Zhu, X. Genome-wide identification of circRNAs in pathogenic basidiomycetous yeast cryptococcus neoformans suggests conserved circRNA host genes over kingdoms. Genes 2018, 9, 118. [Google Scholar] [CrossRef] [PubMed] [Green Version]
- Zuo, J.; Wang, Q.; Zhu, B.; Luo, Y.; Gao, L. Deciphering the roles of circRNAs on chilling injury in tomato. Biochem. Biophys. Res. Commun. 2016, 479, 132–138. [Google Scholar] [CrossRef] [PubMed]
- Wang, Y.; Yang, M.; Wei, S.; Qin, F.; Zhao, H.; Suo, B. Identification of circular RNAs and their targets in leaves of Triticum aestivum L. under dehydration stress. Front. Plant Sci. 2017, 7, 2024. [Google Scholar] [CrossRef] [PubMed] [Green Version]
- Wang, Z.; Liu, Y.; Li, D.; Li, L.; Zhang, Q.; Wang, S.; Huang, H. Identification of circular RNAs in Kiwifruit and their species-specific response to bacterial canker pathogen invasion. Front. Plant Sci. 2017, 8, 413. [Google Scholar] [CrossRef] [Green Version]
- Wang, J.; Lin, J.; Wang, H.; Li, X.; Yang, Q.; Li, H.; Chang, Y. Identification and characterization of circRNAs in Pyrus betulifolia Bunge under drought stress. PLoS ONE 2018, 13, e0200692. [Google Scholar] [CrossRef] [PubMed]
- Shinozaki, K.; Yamaguchi-Shinozaki, K. Gene networks involved in drought stress response and tolerance. J. Exp. Bot. 2007, 58, 221–227. [Google Scholar] [CrossRef] [PubMed] [Green Version]
- Hivrale, V.; Zheng, Y.; Puli, C.O.R.; Jagadeeswaran, G.; Gowdu, K.; Kakani, V.G.; Barakat, A.; Sunkar, R. Characterization of drought and heat-responsive microRNAs in switchgrass. Plant Sci. 2016, 242, 214–223. [Google Scholar] [CrossRef] [PubMed]
- Huang, K.; Peng, L.; Liu, Y.; Yao, R.; Wang, J. Arabidopsis calcium-dependent protein kinase AtCPK1 plays a positive role in salt/drought-stress response. Biochem. Biophys. Res. Commun. 2017, 498, 92–98. [Google Scholar] [CrossRef]
- Hou, D.; Zhao, Z.; Hu, Q.; Li, L.; Vasupalli, N.; Zhuo, J.; Zeng, W.; Wu, A.; Lin, X. PeSNAC-1 a NAC transcription factor from moso bamboo (Phyllostachys edulis) confers tolerance to salinity and drought stress in transgenic rice. Tree Physiol. 2020, 40, 1792–1806. [Google Scholar] [CrossRef] [PubMed]
- Livak, K.J.; Schmittgen, T.D. Analysis of relative gene expression data using real-time quantitative PCR and the 2−ΔΔCT method. Methods 2002, 25, 402–408. [Google Scholar] [CrossRef] [PubMed]
- Wu, L.; Zhang, Z.; Zhu, F.; Zhang, M.; Yu, Y.; Qiu, Y.; Lu, J. The selection of endogenous reference genes in Phyllostachys edulis for qRT-PCR analysis. J. Agric. Biotechnol. 2018, 26, 502–510. [Google Scholar] [CrossRef]
- Yang, L.; Wu, L.; Chang, W.; Li, Z.; Miao, M.; Li, Y.; Yang, J.; Liu, Z.; Tan, J. Overexpression of the maize E3 ubiquitin ligase gene ZmAIRP4 enhances drought stress tolerance in Arabidopsis. Plant Physiol. Biochem. 2017, 123, 34–42. [Google Scholar] [CrossRef] [PubMed]
- Li, X.; Li, Y.; Chen, L.L. The biogenesis, functions, and challenges of circular RNAs. Mol. Cell 2018, 71, 428–442. [Google Scholar] [CrossRef] [Green Version]
- Meng, X.; Li, X.; Zhang, P.; Wang, J.; Zhou, Y.; Chen, M. Circular RNA: An emerging key player in RNA world. Brief. Bioinform. 2016, 18, 547–557. [Google Scholar] [CrossRef] [PubMed]
- Memczak, S.; Jens, M.; Elefsinioti, A.; Torti, F.; Krueger, J.; Rybak, A.; Maier, L.; Mackowiak, S.D.; Gregersen, L.H.; Munschauer, M.; et al. Circular RNAs are a large class of animal RNAs with regulatory potency. Nature 2013, 495, 333–338. [Google Scholar] [CrossRef]
- Chen, G.; Cui, J.; Wang, L.; Zhu, Y.; Lu, Z.; Jin, B. Genome-wide identification of circular RNAs in Arabidopsis thaliana. Front. Plant Sci. 2017, 8, 1678. [Google Scholar] [CrossRef]
- Tang, B.; Hao, Z.; Zhu, Y.; Zhang, H.; Li, G. Genome-wide identification and functional analysis of circRNAs in zea mays. PLoS ONE 2018, 13, e0202375. [Google Scholar] [CrossRef] [Green Version]
- Zhang, Z.; Wang, H.; Wang, Y.; Xi, F.; Wang, H.; Kohnen, M.V.; Gao, P.; Wei, W.; Chen, K.; Liu, X. Whole genome characterization of chronological age-associated changes in methylome and circular RNAs in moso bamboo (Phyllostachys edulis) from vegetative to floral growth. Plant J. 2021, 106, 435–453. [Google Scholar] [CrossRef] [PubMed]
- Jianlei, S.; Yumei, D.; Chongqi, W.; Shouhua, X.; Zigao, J.; Chao, G. Identification and characterization of melon circular RNAs involved in powdery mildew responses through comparative transcriptome analysis. PeerJ 2021, 9, e11216. [Google Scholar] [CrossRef]
- Zhao, H.; Gao, Z.; Wang, L.; Wang, J.; Wang, S.; Fei, B.; Chen, C.; Shi, C.; Liu, X.; Zhang, H.; et al. Chromosome-level reference genome and alternative splicing altas of moso bamboo (Phyllostachys edulis). Gigascience 2018, 7, giy115. [Google Scholar] [CrossRef]
- Fujita, Y.; Fujita, M.; Shinozaki, K.; Yamaguchi-Shinozaki, K. ABA-mediated transcriptional regulation in response to osmotic stress in plants. J. Plant Res. 2011, 124, 509–525. [Google Scholar] [CrossRef] [PubMed]
- Chen, K.; Li, G.-J.; Bressan, R.A.; Song, C.-P.; Zhu, J.-K.; Zhao, Y. Abscisic acid dynamics, signaling, and functions in plants. J. Integr. Plant Biol. 2020, 62, 25–54. [Google Scholar] [CrossRef] [Green Version]
- Ghorbani, A.; Izadpanah, K.; Peters, J.R.; Dietzgen, R.G.; Mitter, N. Detection and profiling of circular RNAs in uninfected and maize Iranian mosaic virus-infected maize. Plant Sci. 2018, 274, 402–409. [Google Scholar] [CrossRef] [Green Version]
- Ren, Y.; Yue, H.; Li, L.; Xu, Y.; Wang, Z.; Xin, Z.; Lin, T. Identification and characterization of circRNAs involved in the regulation of low nitrogen-promoted root growth in hexaploid wheat. Biol. Res. 2018, 51, 43. [Google Scholar] [CrossRef] [Green Version]
Publisher’s Note: MDPI stays neutral with regard to jurisdictional claims in published maps and institutional affiliations. |
© 2022 by the authors. Licensee MDPI, Basel, Switzerland. This article is an open access article distributed under the terms and conditions of the Creative Commons Attribution (CC BY) license (https://creativecommons.org/licenses/by/4.0/).






