The Effect of Hydromorphism on Soils and Soil Organic Matter during the Primary Succession Processes of Forest Vegetation on Ancient Alluvial Sands of the European North-East of Russia
Abstract
:1. Introduction
2. Materials and Methods
2.1. Study Area
2.2. Materials
2.3. Methods
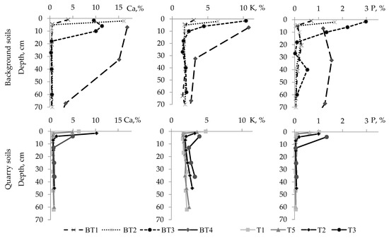
3. Results
3.1. Parent Rocks of Quarry Territory
3.2. Vegetation Cover Characteristics
3.3. Morphological Soil Structure
3.4. Soil Temperature and Moisture
3.5. Soil Texture
3.6. Acidity and Content of Some Biogenic Elements
3.7. Profile Distribution of Al, Fe and Si Compounds
3.8. Stocks of Organic Matter, Carbon and Nitrogen
4. Discussion
4.1. Soil Profile Development
4.2. Changes in Soil Properties with Increasing Degree of Soil Hydromorphism
4.3. Appearance of Podzolization and Gleization
4.4. >Changes in an Organic Carbon Stock
4.5. Carbon Accumulation Rate
5. Conclusions
Author Contributions
Funding
Institutional Review Board Statement
Informed Consent Statement
Data Availability Statement
Conflicts of Interest
References
- Abakumov, E.V.; Gagarina, E.I. Soil Formation in Post-Technogenic Ecosystems of Quarries on the North-Vest of Russian Plain (Pochvoobrazovanie V Posttekhnogennyh Ekosistemah Kar’erov Na Severo-Zapade Russkoj Ravniny); Izd-vo SPbGU: St. Petersburg, Russia, 2006; p. 208, (In Russian). Available online: https://www.elibrary.ru/item.asp?id=19495538 (accessed on 26 December 2021).
- Sumina, O.I. Formation of Vegetation on Technogenic Habitats of Far North Russia (Formirovanie Rastitel’nosti Na Tekhnogennyh Mestoobitaniyah Krajnego Severa Rossii); Inform-Navigator: St. Petersburg, Russia, 2013; p. 340, (In Russian). Available online: https://elibrary.ru/item.asp?id=26170070 (accessed on 26 December 2021).
- Macdonald, S.E.; Landhäusser, S.M.; Skousen, J.; Franklin, J.; Frouz, J.; Hall, S.; Jacobs, D.F.; Quideau, S. Forest restoration following surface mining disturbance: Challenges and solutions. New For. 2015, 46, 703–732. [Google Scholar] [CrossRef] [Green Version]
- Lal, R. Soil Carbon Sequestration Impacts on Global Climate Change and Food Security. Science 2004, 304, 1623–1627. [Google Scholar] [CrossRef] [PubMed] [Green Version]
- Knorr, W.; Prentice, I.C.; House, J.I.; Holland, E.A. Long-term sensitivity of soil carbon turnover to warming. Nature 2005, 433, 298–301. [Google Scholar] [CrossRef] [PubMed]
- Jandl, R.; Lindner, M.; Vesterdal, L.; Bauwens, B.; Baritz, R.; Hagedorn, F.; Johnson, D.W.; Minkkinen, K.; Byrne, K.A. How strongly can forest management influence soil carbon sequestration? Geoderma 2007, 137, 253–268. [Google Scholar] [CrossRef]
- Makhonina, G.I. Ecological Aspects of Soil Formation in Technogenic Ecosystems of the Urals (Ekologicheskie Aspekty Pochvoobrazovaniya V Tekhnogennyh Ekosistemah Urala); Izd-vo Ural. un-ta: Ekaterinburg, Russia, 2003; p. 356, (In Russian). Available online: https://elibrary.ru/item.asp?id=19504727 (accessed on 26 December 2021).
- Abakumov, E.V. Accumulation and transformation of organic matter in different-aged dumps from sand quarries. Eurasian Soil Sci. 2008, 41, 844–851. [Google Scholar] [CrossRef]
- Pietrzykowski, M.; Krzaklewski, W. Potential for carbon sequestration in reclaimed mine soil on reforested surface mining areas in Poland. Nat. Sci. 2010, 2, 1015–1021. [Google Scholar] [CrossRef]
- Goleusov, P.V.; Liseckii, F.N. Reclaimation of Soils in Anthropogenically Disturbed Landscapes of the Forest-Steppe (Vosproizvodstvo Pochv V Antropogenno Narushennyh Landshaftah Lesostepi); GEOS: Moscow, Russia, 2009; p. 210, (In Russian). Available online: https://www.elibrary.ru/item.asp?id=19514026 (accessed on 26 December 2021).
- Bechtold, J.S.; Naiman, B. A quantitative model of soil organic matter accumulation during floodplain primary succession. Ecosystems 2009, 12, 1352–1368. [Google Scholar] [CrossRef]
- Likhanova, I.A.; Kuznetsova, E.G.; Lapteva, E.M.; Deneva, S.V.; Makeev, B.A. Soil Formation in the Quarries after Forest Reclamation in the Middle Taiga Subzone of the Northeast of European Russia. Eurasian Soil Sci. 2021, 54, 631–647. [Google Scholar] [CrossRef]
- Marty, C.; Houle, D.; Gagnon, C. Variation in stocks and distribution of organic C in soils across 21 eastern Canadian temperate and boreal forests. For. Ecol. Manag. 2015, 345, 29–38. [Google Scholar] [CrossRef]
- Zaboeva, I.V.; Taskaev, A.I.; Dobrovolsky, G.V.; Beznosikov, V.A.; Lapteva, E.M.; Rusanova, G.V.; Nikitin, E.D.; Archegova, I.B.; Simonov, G.A.; Mazhitova, G.G.; et al. Soil Atlas of the Komi Republic (Atlas Pochv Respubliki Komi); Komi Respublikanskaja Tipografija: Syktyvkar, Russia, 2010; p. 356, (In Russian). Available online: https://www.elibrary.ru/item.asp?id=19536248 (accessed on 26 December 2021).
- Verholantseva, L.A. Soils of massive cuttings of lichen pine forests and ways of increasing forest growth properties (Pochvy koncentrirovannyh vyrubok sosnyakov lishajnikovyh i puti uluchsheniya ih lesorastitel’nyh svojstv). In Materials on Soils of Komi ASSR and Contiguous Territories (Materialy po Pochvam Komi ASSR i Sopredel’nyh Territorij); Izd-vo AN SSSR: Moscow, Russia, 1962; pp. 102–131. (In Russian) [Google Scholar]
- Zaboeva, I.V. Soils and Land Resources of the Komi ASSR (Pochvy i Zemel’nye Resursy Komi ASSR); Komi Knizhn. Izd.: Syktyvkar, Russia, 1975; p. 344, (In Russian). Available online: https://www.elibrary.ru/item.asp?id=21225054 (accessed on 26 December 2021).
- Hupy, J.P.; Schaetzl, R.J. Soil development on the WWI battlefield of Verdun, France. Geoderma 2008, 145, 37–49. [Google Scholar] [CrossRef]
- Huot, H.; Simonnot, M.-O.; Morel, J.L. Pedogenetic trends in soils formed in technogenic parent materials. Soil Sci. 2015, 180, 182–192. [Google Scholar] [CrossRef] [Green Version]
- Zajdelman, F.R. Gleyzation Process and Its Role in Soil Formation (Process Gleeobrazovaniya I Ego Rol’ V Formirovanii Pochv); Izd. MGU: Moscow, Russia, 1998; p. 316. (In Russian) [Google Scholar]
- Brinkman, R. Ferrolysis. A hydromorphic soil-forming process. Geoderma 1970, 3, 199–206. [Google Scholar] [CrossRef]
- Fiedler, S.; Sommer, M. Water and redox conditions in wetland soils–their influence on pedogenic oxides and morphology. Soil Sci. Soc. Am. J. 2004, 68, 326–335. [Google Scholar] [CrossRef]
- Vasilas, L.M.; Hurt, G.W.; Berkowitz, J.F. (Eds.) Field Indicators of Hydric Soils in the United States. A Guide for Identifying and Delineating Hydric Soils; Version 8.2; USDA, NRCS, National Technical Committee for Hydric Soils: Washington, DC, USA, 2018; p. 47. Available online: https://www.nrcs.usda.gov/Internet/FSE_DOCUMENTS/nrcs142p2_053171.pdf (accessed on 26 December 2021).
- Rusanova, G.V.; Deneva, S.V.; Shakhtarova, O.V. Specific features of the genesis of automorphic soils of the northern forest-tundra (southeast of the Bol’shezemel’skaya tundra). Eurasian Soil Sci. 2015, 48, 128–138. [Google Scholar] [CrossRef]
- Vepraskas, M.J.; Lindbo, D.L.; Stolt, M.H. Redoximorphic Features. In Interpretation of Micromorphological Features of Soils and Regoliths; Elsevier: Amsterdam, The Netherlands, 2018; pp. 425–445. [Google Scholar] [CrossRef]
- Gasparatos, D.; Massas, I.; Godelitsas, A. Fe-Mn concretions and nodules formation in redoximorphic soils and their role on soil phosphorus dynamics: Current knowledge and gaps. Catena 2019, 182, 104106. [Google Scholar] [CrossRef]
- Bobkova, K.S. Biological Productivity of Coniferous Forests of the European North-East (Biologicheskaya Produktivnost’ Hvojnyh Lesov Evropejskogo Severo-Vostoka); Nauka: Leningrad, Russia, 1987; p. 156, (In Russian). Available online: https://www.elibrary.ru/item.asp?id=21225113 (accessed on 26 December 2021).
- Bogatyrev, L.G. Formation of forest litter as one of the major processes in forest ecosystems. Eurasian Soil Sci. 1996, 29, 459–468. [Google Scholar]
- Xu, S.; Liu, X.; Li, X.; Tian, C. Soil organic carbon changes following wetland restoration: A global meta-analysis. Geoderma 2019, 353, 89–96. [Google Scholar] [CrossRef]
- Heger, A.; Becker, J.N.; Navas, L.K.V.; Eschenbach, A. Factors controlling soil organic carbon stocks in hardwood floodplain forests of the lower middle Elbe River. Geoderma 2021, 404, 115389. [Google Scholar] [CrossRef]
- Błonska, E.; Lasota, J. Soil Organic Matter Accumulation and CarbonFractions along a Moisture Gradient of Forest Soils. Forests 2017, 8, 448. [Google Scholar] [CrossRef] [Green Version]
- Chenot, J.; Jaunatre, R.; Buisson, E.; Bureau, F.; Dutoin, T. Impact of quarry exploitation and disuse on pedogenesis. Catena 2018, 160, 354–365. [Google Scholar] [CrossRef]
- Atlas on Climate and Hydrology of the Komi Republic (Atlas Respubliki Komi Po Klimatu I Gidrologii); Drofa: Moscow, Russia, 1997; 115p. (In Russian)
- Rudneva, E.N.; Zaboeva, I.V.; Urusevskaja, I.S. Soil-geographical zoning of the central and eastern parts of the European territory of the USSR (Pochvenno-geograficheskoe rajonirovanie central’noj i vostochnoj chastej evropejskoj territorii SSSR). In Podzolic Soils of the Central and Eastern Parts of the European Territory of the USSR (Podzolistye Pochvy Central’noj I Vostochnoj Chastej Evropejskoj Territorii SSSR); Nauka: Leningrad, Russia, 1981; pp. 118–152, (In Russian). Available online: https://www.elibrary.ru/item.asp?id=26262494 (accessed on 26 December 2021).
- Andreeva, E.N.; Bakkal, I.J.; Gorshkov, V.V.; Ljanguzova, I.V.; Maznaja, E.A.; Neshataev, V.J.; Neshataeva, V.J.; Stavrova, N.I.; Jarmishko, V.T.; Jarmishko, M.A. Methods of Forest Communities Research (Metody Izucheniya Lesnyh Soobshchestv); NIIHimii SPbGU: St. Petersburg, Russia, 2002; p. 240, (In Russian). Available online: https://www.elibrary.ru/item.asp?id=29346471 (accessed on 26 December 2021).
- Vadyunina, A.F.; Korchagina, Z.A. Methods for Studying the Physical Soil Properties (Metody Issledovaniya Fizicheskih Svojstv Pochv); Agropromizdat: Moscow, Russia, 1986; p. 416. (In Russian) [Google Scholar]
- Vorobyova, L.A. Theory and Practice of Soil Chemical Analysis (Teoriya I Praktika Himicheskogo Analiza Pochv); GEOS: Moscow, Russia, 2006; p. 400. (In Russian) [Google Scholar]
- Mehra, O.P.; Jackson, M.L. Iron oxide removal from soils and clays by a dithionite-citrate system buffered with sodium bicarbonate. Clays Clay Miner. 2013, 7, 317–327. [Google Scholar] [CrossRef]
- Vodyanitsky, Y.N. Iron in Hydromorphic Soils (ZHelezo v Gidromorfnyh Pochvah); APR: Moscow, Russia, 2017; p. 160. (In Russian) [Google Scholar]
- Smagin, A.V.; Sadovnikova, N.B.; Smagina, M.V.; Glagolev, M.V.; Shevchenko, E.M.; Hajdapova, D.D.; Guber, A.K. Modeling the Dynamics of Soil Organic Matter (Modelirovanie Dinamiki Organicheskogo Veshchestva Pochv); Izd-vo MGU: Moscow, Russia, 2001; p. 120. (In Russian) [Google Scholar]
- Field Guide on Soils of Russia (Polevoj Opredelitel’ Pochv Rossii); Soil. Dokuchaev. Inst.: Moscow, Russia, 2008; p. 182, (In Russian). Available online: https://www.elibrary.ru/item.asp?id=19511799 (accessed on 26 December 2021).
- IUSS Working Group WRB. World Reference Base for Soil Resources 2014, Update 2015. International Soil Classification System for Naming Soils and Creating Legends for Soil Maps; World Soil Resources Reports; FAO: Rome, Italy, 2015; № 106. [Google Scholar]
- Alexandrovskiy, A.L.; Alexandrovskaya, E.I. Evolution of Soils and Geographic Environment (Evolyuciya Pochv i Geograficheskaya sreda); Nauka: Moscow, Russia, 2005; p. 223, (In Russian). Available online: https://elibrary.ru/item.asp?id=19508073 (accessed on 26 December 2021).
- Pietrzykowski, M.; Krzaklewski, W. Soil organic matter, C and N accumulation during natural succession and reclamation in an opencast sand quarry (southern Poland). Arch. Agron. Soil Sci. 2007, 53, 473–483. [Google Scholar] [CrossRef]
- Nejshtadt, M.I. Stratigraphy of peat deposits in the light of absolute age data (Stratigrafiya torfyanyh mestorozhdenij v svete dannyh absolyutnogo vozrasta). In The Wetland Environment and Methods of Their Research (Priroda Bolot I Metody Ih Issledovanij); Nauka: Leningrad, Russia, 1967; pp. 90–95. (In Russian) [Google Scholar]
- Kolesnikov, B.P. Forest Vegetation in the Southeastern Part of the Vychegda River Basin (Lesnaya Rastitel’nost’ Yugo-Vostochnoj Chasti Bassejna Vychegdy); Nauka: Leningrad, Russia, 1985; p. 216. (In Russian) [Google Scholar]
- Liss, O.L.; Abramova, L.I.; Avetov, N.A.; Berezina, N.A.; Inisheva, L.I.; Kurnishkova, T.V.; Sluka, Z.A.; Tolpysheva, T.Y.; Shvedchikova, N.K. Wetland Systems of Western Siberia and Their Nature Conservation Value (Bolotnye Sistemy Zapadnoj Sibiri i ih Prirodoohrannoe Znachenie); Grif i K0: Tula, Russia, 2001; p. 584, (In Russian). Available online: https://elibrary.ru/item.asp?id=22573195 (accessed on 26 December 2021).
- Shamrikova, E.V.; Gruzdev, I.V.; Punegov, V.V.; Khabibullina, F.M.; Kubik, O.S. Water-soluble low-molecular-weight organic acids in automorphic loamy soils of the tundra and taiga zones. Eurasian Soil Sci. 2013, 46, 654–659. [Google Scholar] [CrossRef]
- Abakumov, E.V.; Trubetskoj, O.; Demin, D.; Celi, L.; Cerli, C.; Trubetskaya, O. Humic acid characteristics in podzol soil chronosequence. Chem. Ecol. 2010, 26, 59–66. [Google Scholar] [CrossRef]
- Chestnykh, O.V.; Lyzhin, V.A.; Koksharova, A.V. The Carbon Reserves in Litters of Forests in Russia. Lesovedenie 2007, 6, 114–121. (In Russian). Available online: https://www.elibrary.ru/item.asp?id=9568148 (accessed on 26 December 2021).
- Osipov, A.F.; Bobkova, K.S.; Dymov, A.A. Carbon stocks of soils under forest in the Komi Republic of Russia. Geoderma Reg. 2021, 27, e00427. [Google Scholar] [CrossRef]
- Osipov, A.F.; Kuznetsov, M.A. Organic Carbon Content in Bog-Podzolic Soils under Coniferous Forests of the Middle Taiga of the European North-East of Russia. Lesovedenie 2010, 6, 65–70. (In Russian). Available online: https://www.elibrary.ru/item.asp?id=15510019 (accessed on 26 December 2021).
- Olsson, M.T.; Erlandsson, M.; Lundin, L.; Nilsson, T.; Nilsson, Å.; Stendahl, J. Organi carbon stocks in Swedish podzol soils in relation to soil hydrology and other site characteristics. Silva Fenn. 2009, 43, 209–222. [Google Scholar] [CrossRef] [Green Version]
- Ganjegunte, G.K.; Wick, A.F.; Stahl, P.D.; Vance, G.F. Accumulation and composition of total organic carbon in reclaimed coal mine lands. Land Degrad. Dev. 2009, 20, 156–175. [Google Scholar] [CrossRef]
- Morozova, R.M. Mineral Composition of Plants in Forests of Karelia (Mineral’nyj Sostav Rastenij Lesov Karelii); Goskomizdat KASSR: Petrozavodsk, Russia, 1991; p. 96. (In Russian) [Google Scholar]
- Aristovskaja, T.V. Microbiology of Podzolic Soils (Mikrobiologiya Podzolistyh Pochv); Nauka: Moscow/Leningrad, Russia, 1965; p. 183. (In Russian) [Google Scholar]
- Lihanova, I.A.; Lapteva, E.M.; Kovaleva, V.A. Productivity of plant communities and forest litter formation during self-restoring succession on technogenic materials. Izv. SSC RAS 2014, 16, 182–189. (In Russian). Available online: https://www.elibrary.ru/item.asp?id=23316938 (accessed on 26 December 2021).
- Bobkova, K.S.; Tuzhilkina, V.V.; Senkina, S.N.; Galenko, E.P.; Zagirova, S.V. Ecological and Physiological Bases of the Productivity of Pine Forests in the European North-East (Ekologo-Fiziologicheskie Osnovy Produktivnosti Sosnovyh Lesov Evropejskogo Severo-Vostoka); Komi SC UB RAS: Syktyvkar, Russia, 1993; p. 173. (In Russian) [Google Scholar]
- Kutyavin, I.N.; Torlopova, N.V.; Osipov, A.F.; Kuzmina, E.S.; Bobkova, K.S. Biological productivity of native Pinetum vaccinioso-cladinosum of middle taiga (mid Pechora River). Rast. Resur. 2016, 52, 484–500. (In Russian). Available online: https://www.elibrary.ru/item.asp?id=28392747 (accessed on 26 December 2021).
- Kätterer, T.; Reichstein, M.; Andrén, O.; Lomander, A. Temperature dependence of organic matter decomposition: A critical review using literature data analysed with different models. Biol. Fertil. Soils 1998, 27, 258–262. [Google Scholar] [CrossRef]
- Paul, K. Temperature and moisture effects on decomposition. In Net Ecosystem Exchange, Workshop Proceedings, Cooperative Research Centre for Greenhouse Accounting, Australia, April 2001; Kirschbaum, M.U.F., Mueller, R., Eds.; The Communications Office, CRC for Greenhouse Accounting: Canberra, Australia, 2001; pp. 95–102. Available online: http://www.kirschbaum.id.au/NEE_Workshop_Proceedings.pdf (accessed on 26 December 2021).
- Bobkova, K.S.; Mashika, A.V.; Smagin, A.V. Dynamics of Carbon Organic Matter Content of Spruce Forests in Middle Taiga Growing on Automorphic Soils (Dinamika Soderzhaniya Ugleroda Organicheskogo Veshchestva V Srednetaezhnyh Elnikah Na Avtomorfnyh Pochvah); Nauka: St. Petersburg, Russia, 2014; p. 270, (In Russian). Available online: https://ib.komisc.ru/rus/book-2014/1392-dinamika-soderzhaniya-ugleroda-organicheskogo-veshchestva-v-srednetaezhnykh-elnikakh-na-avtomorfnykh-pochvakh (accessed on 26 December 2021).
- Yin, S.; Bai, J.; Wang, W.; Zhang, G.; Jia, J.; Cui, B.; Liu, X. Effects of soil moisture on carbon mineralization in floodplain wetlands with different flooding frequencies. J. Hydrol. 2019, 574, 1074–1084. [Google Scholar] [CrossRef]
- Shrestha, R.K.; Lal, R. Ecosystem carbon budgeting and soil carbon sequestration in reclaimed mine soil. Environ. Int. 2006, 32, 781–796. [Google Scholar] [CrossRef] [PubMed]
- Wali, M.K. Ecological succession and the rehabilitation of disturbed terrestrial ecosystems. Plant Soil 1999, 213, 195–220. [Google Scholar] [CrossRef]
- Schafer, W.M.; Nielsen, G.A. Soil development and plant succession on 1- to 50-year old strip mine spoils in south-eastern Montana. In Ecology and Coal Resources Development; Wali, M.K., Ed.; Pergamon: New York, NY, USA, 1979; Volume 2, pp. 541–649. [Google Scholar] [CrossRef]







| Site, Altitude, m a.s.l. | Vegetation Community | Soil Name | Horizon | Soil Horizon Color by Munsell System | |
|---|---|---|---|---|---|
| RSC | WRB | RSC/WRB (Depth, cm) | |||
| Quarry site | |||||
| T1, 83–84 | Young lichen pine forest (Sylvestri Pinetum miti cladinosum) | Podzolized gleyic humus psammozem | Arenosols (Nechic, Stagnic) | W1/Oi(0–0.2)–W2/Ch(0.2–2)–We/Ch(2–10)–C˙˙/C(10–40)–C˙˙g/Cg(40–70) | 10YR5/1(5/2, 8/1)–10YR5/3– 10YR6/4–10YR6/4–10YR 6/6 |
| T5, 82–83 | Polytrichum pine forest (Pinetum nutansi pohlioso-polytrichosum) | Humus podzolized gleyic psammozem | Arenosols (Nechic, Stagnic) | W/Oi(0–0.5)–W1e/Ch(0.5–2)– W2e/Ch(2–4)–W3e/Ch(4–12)– C˙˙/C(12–40)–C˙˙g/Cg(40–50)–C˙˙g/Cg(50–70) | 10YR6/4–10YR6/4–10YR6/6–10YR5/4–10YR6/4–10 YR6/6–10YR5/4 |
| T2, 82 | Dead-cover (pine straw) pine forest (Pinetum communi polytrichosum) | Raw-humus humus-infiltrated podzolized gleyic humus psammozem | Arenosols (Nechic, Stagnic) | Wao/Oi(0–3)–W1hi,e,g/Chg(3–5)– W2hi,e,g/Chg(5–10)–C˙˙g/Cg(10–30)–D1g/Cgs(30–40)–D2g/Cgs(40–50) | 10YR2/1–10YR5/1–10YR6/3–10YR6/4–10YR5/6– 10YR4/6 |
| T3, 80–81 | Sedge community (Caricoso-exannulatae warnstorfiosum) | Silty-mucky humus-infiltrated gley psammozem | Folic Gleyic Arenosols | Tmr/H(0–7(10)–Ghi/Chg(7(10)–12)–G(12–18)–Cg/Cg(12(18)–30)–Dg/Cg(30–50). | 10YR3/3–10YR6/4–10YR5/6–10YR5/4 |
| Background site | |||||
| BT1, 100 | Lichen pine forest (Pinetum cladinosum) | Iron-illuvial gleyic podzol | Stagnic Albic Rustic Podzols (Arenic) | O/Oi(0–2)–E/E(2–11)–BF/Bs(11–30)–B/B(30–52)–Bg/Bgs(52–100)–BCg/Cg(100–115) | 2.5Y3/1–2.5Y5/2–2.5Y6/4–2.5Y6/4–2.5Y7/3–2.5Y6/3 |
| BT2, 90–95 | Bilberry-green moss pine forest (Pinetum myrtilloso-hylocomiosum) | Iron-illuvial tonguing -gleyic podzol | Glossic Stagnic Albic Rustic Podzols (Arenic) | O/Oi(0–3(4))–E/E(3(4)-6(7))–BE/B(6(7)-15)–BFy/Bs(15–27)–By/B(27–59)–Bg/Bg(59–83)–BCg/Cg(83–110) | 10YR4/2–10YR7/1–10YR6/4–10YR6/6–10YR6/4– 10YR7/2–10YR7/2 |
| BT3, 85 | Sedge-sphagnum pine forest (Pinetum globulari caricoso-sphagnosum) | Mineral-peat gleyic peat-podzol | Gleyic Histic Podzols (Arenic) | O/Oi(0–3(4))–T/Hi(3(4)-10(12))–Tmr/He(10(12)-18(20))–Eg/Eg(20–34)–BFg/Bsg(34–45)–G/Cr(45–70) | 2.5Y6/3–2.5Y3/3(4/3,5/3)–2.5Y3/2(3/3,4/3)–2.5Y5/1–2.5Y7/2–10 YR5/4–2.5Y 7/4 |
| BT4, 80 | Sphagnum peatland (Lasiocarpi Caricoso-fallaci sphagnosum) | Oligotrophic peat soil | Dystric Fibric Histosols | TO1/Oi(0–20)–TO2/He(20–50)–TT/Ha(50–85)–DGhi/Crh(85–100)-DG/Cr(100–120) | 2.5Y7/4–2.5Y5/3(6/3)–2.5Y4/3(5/3,6/3)–2.5Y4/3–2.5Y5/3 |
| Site, № | Tree Stand | Projective Cover of Layer, % | Aboveground Phytomass, t ha−1 | ||||||||
|---|---|---|---|---|---|---|---|---|---|---|---|
| Compo-sition | Crown Density | Density, Thous. Units ha−1 | Height, m | Diameter, cm | HD | ML | Dwarf Shrubs | Herbs | Mosses | Lichens | |
| Background site | |||||||||||
| BT1 | 10P | 0.5 | 1.4 | 12 | 12 | 5 | 70 | 0.04 ± 0.01 | 0.00 ± 0.00 | 0.34 ± 0.16 | 3.08 ± 0.70 |
| BT2 | 10P | 0.6 | 2.4 | 15 | 15 | 40 | 95 | 0.61 ± 0.09 | 0.03 ± 0.01 | 2.56 ± 0.63 | 0.00 ± 0.00 |
| BT3 | 10P + B | 0.4 | 3.0 | 12 | 12 | 30 | 95 | 0.44 ± 0.25 | 0.22 ± 0.07 | 3.50 ± 0.20 | – |
| BT4 | – | – | – | – | – | 30 | 100 | 0.11 ± 0.05 | 0.40 ± 0.07 | 5.30 ± 0.130 | – |
| Quarry site | |||||||||||
| T1 | 10P | <0.1 | 0.55 | 2.7 | 4.9 | 1 | 80 | 0.00 ± 0.00 | 0.06 ± 0.01 | 1.12 ± 0.44 | 2.20 ± 0.69 |
| T5 | 10P | 0.3 | 2.4 | 3.3 | 3.3 | 5 | 80 | 0.01 ± 0.01 | 0.16 ± 0.04 | 1.54 ± 0.36 | 0.08 ± 0.04 |
| T2 | 9P1B + Asp + Alder | 0.8 | 8.9 | 7.4 | 6.4 | 5 | 20 | 0.06 ± 0.02 | 0.05 ± 0.02 | 0.09 ± 0.01 | – |
| T3 | – | – | – | – | – | 60 | 40 | – | 1.3 ± 0.43 | 0.46 ± 0.16 | – |
| Depth, cm | Background Sites | Quarry Sites | ||||
|---|---|---|---|---|---|---|
| BT1 | BT2 | BT3 | T1 | T5 | T2 | |
| 1 | 20.8 ± 4.1 | 17.3 ± 2.6 | 17.1 ± 2.2 | 26.9 ± 5.4 | 22.9 ± 3.3 | 17.1 ± 1.9 |
| 39.1 | 29.8 | 25.1 | 39.8 | 28.5 | 21.9 | |
| 5 | 16.9 ± 1.8 | 14.9 ± 1.5 | 13.4 ± 0.8 | 23.0 ± 3.3 | 20.5 ± 2.9 | 15.3 ± 1.2 |
| 21.0 | 19.8 | 11.7 | 29.0 | 28.1 | 16.3 | |
| 15 | 15.0 ± 1.3 | 13.8 ± 0.9 | 12.7 ± 0.5 | 20.4 ± 2.7 | 18.2 ± 2.2 | 14.6 ± 1.1 |
| 17.8 | 13.6 | 8.3 | 26.2 | 23.9 | 15.1 | |
| 25 | 14.4 ± 1.3 | 12.9 ± 0.7 | 12.3 ± 0.3 | 18.5 ± 2.0 | 17.6 ± 2.0 | 14.3 ± 1.0 |
| 18.4 | 11.0 | 5.0 | 22.0 | 22.3 | 13.5 | |
| 35 | 13.7 ± 1.0 | 12.4 ± 0.6 | – | 17.6 ± 1.8 | 17.3 ± 1.7 | – |
| 14.2 | 9.2 | 20.0 | 20.0 | |||
| Horizon | C, % | N, % | C/N | Horizon | C, % | N, % | C/N | Horizon | C, % | N, % | C/N | Horizon | C, % | N, % | C/N |
|---|---|---|---|---|---|---|---|---|---|---|---|---|---|---|---|
| Background lichen pine forests (n = 5) Iron-illuvial podzols | Background green moss pine forests (n = 3) Iron-iluvial podzols | Background sphagnum pine forests (n = 5) Peat gley podzols | Background peatlands (n = 4) Oligotrophic peat soils | ||||||||||||
| O | 36.6 ± 9.45 | 0.864 ± 0.244 | 42.4 | O | 44.37 ± 4.75 | 1.187 ± 0.250 | 37.4 | O | 44.41 ± 3.28 | 1.260 ± 0.580 | 35.2 | TO1 | 43.35 ± 2.38 | 0.945 ± 0.232 | 45.9 |
| E | 0.73 ± 0.41 | 0.024 ± 0.012 | 30.2 | E | 0.21 ± 0.13 | 0.013 ± 0.005 | 16.4 | T | 36.05 ± 5.29 | 1.075 ± 0.247 | 33.5 | TO2 | 47.03 ± 2.98 | 1.708 ± 0.624 | 27.5 |
| BF | 0.42 ± 0.10 | 0.023 ± 0.007 | 18.0 | BFy | 0.47 ± 0.16 | 0.028 ± 0.009 | 16.8 | Eg | 0.28 ± 0.18 | 0.021 ± 0.018 | 17.1 | TT | 48.60 ± 8.21 | 2.093 ± 0.438 | 23.2 |
| Bg | 0.06 ± 0.02 | 0.006 ± 0.002 | 10.4 | Bg | 0.14 ± 0.07 | 0.015 ± 0.008 | 9.3 | BFg | 0.98 ± 0.59 | 0.058 ± 0.016 | 15.7 | DGhi | 8.67 ± 3.52 | 0.337 ± 0.127 | 25.5 |
| BC | 0.03 ± 0.01 | 0.003 ± 0.003 | 8.6 | BCg | 0.14 ± 0.06 | 0.015 ± 0.007 | 9.1 | G | 0.41 ± 0.20 | 0.025 ± 0.000 | 16.2 | DG | 0.48 ± 0.15 | 0.030 ± 0.220 | 16.2 |
| Young lichen pine forests (n = 2) Humus psammozems | Young polytrichum pine forests (n = 3) Humus psammozems | Young dead-cover (pine straw) pine forests (n = 3) Humus psammozems | Sedge communities (n = 3) Gley psammozems | ||||||||||||
| W1 | 24.60 ± 8.32 | 0.467 ± 0.181 | 52.7 | W | 16.63 ± 4.91 | 0.450 ± 0.242 | 37.0 | Wao1 | 39.55 ± 7.57 | 1.100 ± 0.495 | 36.0 | Tmr | 31.3 ± 7.43 | 1.530 ± 0.750 | 20.5 |
| W2 | 0.66 ± 0.22 | 0.023 ± 0.002 | 28.6 | W1e | 0.57 ± 0.13 | 0.028 ± 0.005 | 20.5 | Wao2 | 19.07 ± 9.42 | 0.653 ± 0.314 | 29.2 | Ghi | 1.63 | 0.09 | 18.1 |
| We | 0.12 ± 0.05 | 0.007 ± 0.004 | 17.1 | W2e | 0.17 ± 0.12 | 0.010 ± 0.009 | 16.3 | Whi,e,g | 1.12 ± 0.30 | 0.054 ± 0.021 | 20.7 | G | 0.18 ± 0.07 | 0.013 ± 0.004 | 13.8 |
| C˙˙ | 0.04 ± 0.02 | 0.002 ± 0.001 | 16.6 | C˙˙ | 0.07 ± 0.02 | 0.006 ± 0.004 | 12.1 | C˙˙g | 0.15 ± 0.06 | 0.014 ± 0.005 | 11.0 | C˙˙g | 0.13 ± 0.13 | 0.013 ± 0.005 | 10.5 |
| C˙˙g | 0.03 ± 0.01 | 0.003 ± 0.000 | 8.3 | C˙˙g | 0.04 ± 0.02 | 0.004 ± 0.003 | 10.7 | D | 0.22 ± 0.06 | 0.020 ± 0.002 | 10.7 | Dg | 0.18 ± 0.09 | 0.019 ± 0.001 | 9.5 |
| Plant Community | Stocks in Layer, t ha−1 | |||
|---|---|---|---|---|
| Organic/ Organic-Mineral Soil Horizon | 0–20 cm | 0–50 cm | 0–100 cm | |
| Background sites | ||||
| Lichen pine forests (n = 5) | 7.3 ± 1.9 | 18.7 ± 5.1 | 24.2 ± 7.5 | 27.7 ± 7.8 |
| Green-moss pine forests (n = 3) | 20.8 ± 6.1 | 27.1 ± 2.4 | 38.4 ± 9.1 | 50.6 ± 14.6 |
| Sphagnum pine forests (n = 5) | 44.7 ± 10.9 | 46.1 ± 9.4 | 73.0 ± 15.0 | 103.0 ± 21.5 |
| Peatlands (n = 4) | 323.8 ± 95.3 | 54.2 ± 1.2 | 168.4 ± 28.7 | 398.5 ± 129.9 |
| Regression equation | y = 1.8502e1.214x | Y = 13.223e0.3724x | y = 11.556e0.6462x | y = 9.8767e0.8706x |
| R² | 0.9569 | 0.9652 | 0.9835 | 0.9608 |
| H | 14.9 | 12.7 | 14.4 | 14.6 |
| p | 0.002 * | 0.005 * | 0.002 * | 0.002 * |
| Quarry sites | ||||
| Young lichen pine forest (n = 3) | 0.64 ± 0.2 | 4.5 ± 0.7 | 5.5 ± 0.3 | − |
| Young polytrichum pine forest (n = 3) | 1.8 ± 0.4 | 5.2 ± 1.2 | 7.4 ± 2.1 | − |
| Young dead-cover (pine straw) pine forest (n = 3) | 8.2 ± 3.0 | 16.1 ± 2.5 | 25.8 ± 2.8 | − |
| Sedge community (n = 3) | 21.9 ± 1.5 | 25.2 ± 1.2 | 32.7 ± 4.0 | − |
| Regression equation | y = 0.1835e1.2115x | y = 2.0442e0.6298x | y = 2.6164e0.6597x | − |
| R² | R² = 0.9929 | R² = 0.9245 | R² = 0.9182 | − |
| H | 10.4 | 10,4 | 10,4 | − |
| p | 0.016 * | 0.016 * | 0.016 * | − |
Publisher’s Note: MDPI stays neutral with regard to jurisdictional claims in published maps and institutional affiliations. |
© 2022 by the authors. Licensee MDPI, Basel, Switzerland. This article is an open access article distributed under the terms and conditions of the Creative Commons Attribution (CC BY) license (https://creativecommons.org/licenses/by/4.0/).
Share and Cite
Likhanova, I.A.; Deneva, S.V.; Kholopov, Y.V.; Kuznetsova, E.G.; Shakhtarova, O.V.; Lapteva, E.M. The Effect of Hydromorphism on Soils and Soil Organic Matter during the Primary Succession Processes of Forest Vegetation on Ancient Alluvial Sands of the European North-East of Russia. Forests 2022, 13, 230. https://doi.org/10.3390/f13020230
Likhanova IA, Deneva SV, Kholopov YV, Kuznetsova EG, Shakhtarova OV, Lapteva EM. The Effect of Hydromorphism on Soils and Soil Organic Matter during the Primary Succession Processes of Forest Vegetation on Ancient Alluvial Sands of the European North-East of Russia. Forests. 2022; 13(2):230. https://doi.org/10.3390/f13020230
Chicago/Turabian StyleLikhanova, Irina A., Svetlana V. Deneva, Yuriy V. Kholopov, Elena G. Kuznetsova, Olga V. Shakhtarova, and Elena M. Lapteva. 2022. "The Effect of Hydromorphism on Soils and Soil Organic Matter during the Primary Succession Processes of Forest Vegetation on Ancient Alluvial Sands of the European North-East of Russia" Forests 13, no. 2: 230. https://doi.org/10.3390/f13020230
APA StyleLikhanova, I. A., Deneva, S. V., Kholopov, Y. V., Kuznetsova, E. G., Shakhtarova, O. V., & Lapteva, E. M. (2022). The Effect of Hydromorphism on Soils and Soil Organic Matter during the Primary Succession Processes of Forest Vegetation on Ancient Alluvial Sands of the European North-East of Russia. Forests, 13(2), 230. https://doi.org/10.3390/f13020230

