Abstract
Researchers have used both soil nematode data and soil quality index (SQI) data as indicators of soil quality. However, the relationship between soil nematodes and soil quality index is poorly understood. This study explored the relationship between soil nematode properties and soil quality in different land-use types in a subtropical karst region of Southwest China. We selected the following five typical land-use types that differ in the degree of soil disturbance: cropland (maize and soybean), sugarcane, mulberry, forage grass, and forest. SQI was calculated on the basis of bulk density (BD), soil pH, the ratio of soil organic carbon to total nitrogen (C:N), the contents of soil water (SWC), soil total nitrogen (TN), soil organic carbon content (SOC), calcium (Ca), magnesium (Mg), microbial biomass carbon (MBC), microbial biomass nitrogen (MBN), ammonium nitrogen (AN), nitrate nitrogen (NN), bacteria, fungi, actinomycetes (ACT), and arbuscular mycorrhizal fungi (AMF). We found that the abundance, Simpson dominance index, and metabolic footprint of soil nematodes were highest in the forest, followed by sugarcane, cropland (maize and soybean), forage grass, and mulberry. The SQI was highest in the forest and lowest in the cropland. There was no significant difference observed among the other three regions. In addition, the SQI was positively correlated with the total nematode biomass and abundances of total nematodes, fungivores, and herbivores, the abundances of total nematodes biomass and total nematode abundance, fungivores, and herbivores. A random forest model revealed that the dominant nematode genera (i.e., Coomansus and Acrobeloides) and the rare genera (i.e., Heterocephalobus) were closely associated with soil quality. Our results suggest that the soil nematodes (especially keystone genera) may mediate the effects of ecosystem disturbance on soil quality. These findings increase our understanding of the relationships between soil organisms and soil quality.
1. Introduction
Although adequate soil quality is essential for food production and the functioning of global ecosystems, soil quality is threatened by the growth of human populations, urbanization, and extensive and irrational management of available cultivable land [,]. Soil quality assessment provides a basic means to evaluate the sustainability of human-managed land systems []. At present, soil quality is commonly assessed on the basis of its physical structure, chemical nutrient levels, and biological indicators [,]. The biological indicators include soil nematodes, which are a main component of the soil fauna [] and which occupy multiple niches in soil detrital food webs [,]. They are sensitive to environmental disturbances, which makes them excellent ecological indicators, especially for evaluating the effects of environmental change and agricultural management [,,]. Although a number of studies have used nematodes as indicators of the quality of soil or the health of different ecosystem types and land-use types [,,,], few studies have comprehensively analyzed whether the information indicated by soil nematodes is related to data on other soil properties such as soil nutrients, physical properties, and microorganisms. Therefore, the relationships between soil nematodes and soil physical, chemical, and microbial properties require further study.
Using a single soil property in place of a holistic soil property can be highly misleading because it is neither reliable nor accurate in evaluating and comparing the changes in soil quality [,]. The soil quality index should incorporate both physical and chemical properties of soil [] to better represent soil quality []. Therefore, some researchers proposed to synthesize those soil’s physical and chemical properties to describe the changes in soil quality quantitatively [,,]. After the concept of integrative indices was applied to soil ecosystems by Larson and Pierce [], many methods, such as soil quality cards and test kits [], soil quality index (SQI) methods [], dynamic soil quality models [], and the soil management assessment framework [], have been established for soil quality assessment and soil management of farmlands. Comparatively, the SQI method has been widely applied because of its simplicity and quantitative flexibility []. At present, researchers generally agree that soil nematode is related to soil quality [,,]. However, the relationship between soil nematode communities and SQI is poorly understood.
Karst ecosystems are widely distributed in the world []. They are fragile and are currently experiencing extreme degradation in many regions. Karst rocky desertification has been identified as the most severe ecological problem in Southwest China []. The extensive long-term reclamation of cropland (especially corn) is considered the main cause of rocky desertification [,]. Land planted with corn is being reclaimed in Southwest China because the economic benefits of corn cultivation are too low to alleviate poverty. Therefore, many farmlands have been protected to form forests, and some farmlands have been transformed for the cultivation of sugarcane (Saccharum officinarum L.), mulberry (Morus alba L.), and forage grass [,].
Different land-use types experience different disturbances and management practices resulting in changes in soil quality or soil health. How the land-use changes described in the previous paragraph affect soil quality is not well known in the karst areas of Southwest China. The purpose of our study was to assess the composition of soil nematode communities of different land-use types and determine the relationship between soil nematode properties and SQI. We tested two hypotheses: (1) the intensity of agricultural disturbance (e.g., tillage and replanting frequency) is negatively correlated with soil nematode abundance, diversity, and community maturity, and (2) there is a positive relationship between the properties of soil nematode communities and SQI values.
2. Materials and Methods
2.1. Study Region and Experimental Design
The study was conducted in Huanjiang County (107°51′–108°43′ E, 24°44′–25°33′ N), Guangxi Province, China (Figure 1). The region has a subtropical monsoon climate with distinct wet and dry seasons. The wet season is from April to August, and the dry season is from September to March. The area has an annual average temperature of 19.9 °C and precipitation of 1411.9 mm. The karst areas have calcareous lithosols [,].

Figure 1.
Map of the study area and locations of sample sites. The two maps on the left indicate China and Guangxi Province, and the map on the right indicates Huanjiang County. In the key, high/low indicates altitude (m a.s.l.). The black dot indicates the location of the farmland sample site. The red dot indicates the location of the forest sample site. In each sample site, five land-use types (cropland, sugarcane, mulberry, forage grass, and mature forest) were selected.
The experiment used a completely randomized block design, which distributed four blocks (about 9 km2 each) in karst areas. Each block included four land-use types randomly: cropland (maize-soybean), sugarcane field, mulberry field, and forage grass. One plot was selected for soil samples in each field. The sugarcane field, mulberry field, and forage grass are transformed from maize and soybean fields and have been cultivated and planted for 15 years. All plots were in valleys or on lower slopes. As an experimental comparison, five forest sites (with a cultivation history of more than 50 years) were selected in the Mulun National Nature Reserve (107°53′–108°05′ E, 25°06′–25°12′ N). Detailed information on the study and study sites was provided by Li, Liu, Chen, Zheng and Wang [].
2.2. Soil Sampling and Analyses
In October 2016, soil sampling was collected for physicochemical analysis. Ten soil cores (0–10 cm) were thoroughly mixed to form a composite sample in each plot. Bulk density (BD) was measured with metal rings. Soil water content (SWC) was determined after drying about 10 g of soils at 105 °C for 24 h. Nitrate nitrogen (NN) and ammonium nitrogen (AN) concentrations were analyzed with an autoanalyzer (FIAstar 5000, FOSS, Sweden). For the determination of soil pH, the soil was mixed with water (1:2.5 soil/water ratio) and assayed using a pH meter (FE20K, Mettler-Toledo, Switzerland). The dichromate redox colorimetric method was used to determine soil organic carbon (SOC) content after wet oxidation of soil. Soil total nitrogen (TN) was measured with an elemental analyzer (EA 300; Euro Vector, Italy). To determine exchangeable magnesium (Mg) and calcium (Ca), soils were extracted with 1 M ammonium acetate and assayed by inductively coupled plasma atomic emission spectroscopy. Soil microbial biomass carbon (MBC) and microbial biomass nitrogen (MBN) were measured with the chloroform fumigation–extraction method []. PLFAs were extracted from 8 g of freeze-dried soil and were analyzed as described elsewhere []. The abundance of bacterial PLFAs was represented by i14:0, 15:0, i15:0, a15:0, i16:0, 16:1ω7c, i17:0, a17:0, 17:0, cy17:0, 18:1ω7c, and cy19:0 [], and 18:2ω6,9c and 18:1ω9c were used to represent fungal PLFAs []. Actinomycete PLFAs were represented by 10 Me 16:0, 10 Me 17:0, and 10 Me 18:0 []. The PLFA 16:1ω5c was used to indicate arbuscular mycorrhizal fungi []
Nematodes were extracted from 50 g of moist soil using the Baermann funnel method []. Turbid nematode suspensions were cleaned by repeated settling at 4 °C []. After fixation with a 4% formalin solution, nematodes were counted with a differential interference contrast (DIC) microscope (ECLIPSE 80i, Nikon), and 100 nematodes were randomly selected (less than 100 nematodes were identified by the full amount of treatment) for identification of genus. On the basis of trophic behavior and esophagus characteristics, nematodes were assigned to five trophic groups: bacterivores, fungivores, herbivores, predators, and omnivores [,].
The formulas for these indices were as follows [,]. The enrichment index (EI) = 100 × (e/ (e + b)), structure index (SI) = 100 × (s/ (s + b)). For EI and SI, e represents Ba2 and Fu2, b represents Ba2 and Fu2, and s represents Ba3Ba5, Fu3-Fu4, Om4-Om5, and Pr3-Pr5. Channel index (NCR) = Ba/ (Ba + Fu). For NCR, Ba represents the abundance of bacterivores, and Fu represents the abundance of fungivores. Shannon–Wiener diversity index (H’) =, Simpson index (λ) = ∑Pi2. Pi represents the proportion of taxon i of the total number of nematodes. SR = (S − −1)/lnN. S represents the number of taxa. N represents the number of nematodes. MI or PPI =. For MI and PPI, v(i) represents the value assigned according to the different life strategies of free-living nematodes (herbivores) in ecological succession, and the f(i) represents the proportion of soil nematode genus in the nematode taxon.
2.3. Data Analysis
The effects of land-use type on soil physicochemical properties and nematode communities were determined using one-way ANOVA. Statistical significance was determined at p < 0.05. Pearson correlation analysis was used to examine the correlation between nematode communities and soil physicochemical properties. SPSS 26.0 software for Windows (SPSS Inc., Chicago, IL, USA) was used for the above analysis. The network of nematode genera compositions in different land-use types was analyzed using Gephi 0.9.2 software (WebAtlas, Paris., FRA). The network was constructed using a Spearman rank correlation matrix of nematode biomass data of each trophic group. The relationship between nematode characteristics and SQI was evaluated by Spearman correlation analysis.
In the present work, SQI was computed using the complete data set (TDS). The TDS can provide a comprehensive outcome in evaluating the SQI and apply all measurable and accessible soil data. Generally, the indicators’ scoring functions follow “more is better”, “less is better”, or “optimum” scoring curve trends. We used “more is better” functions for soil nutrients and “less is better” functions for BD because of the inhibitory effect of high bulk density on root growth and soil porosity [].
Equations (1) and (2) were used for linear scoring of “more is better” and “less is better” curves, respectively:
where f(x) is the linear score of the soil variable (0–1), x is the soil variable value, a is the minimum value, and b is the maximum value of a soil variable [].
The SQI followed the Integrated Quality Index equation. []:
where W is the weighting of each indicator, S is the indicator score, and n is the number of selected variables.
The ordinary least squares (OLS) linear regression model was constructed to test the relationships between nematode communities and soil quality. The linear regression analyses were conducted using SPSS 26.0 software for Windows (SPSS Inc., Chicago, IL). A random forest model was used to identify major nematode predictors of soil multifunctionality. The model was analyzed using R software with the “Random Forest” package. A total of 10 nematode genera were selected for random forest modeling.
3. Results
3.1. Soil Nematode Community
3.1.1. Total Number of Soil Nematodes and Trophic Groups
A total of 56 genera of nematodes were identified in the soil samples (Table S2). A total of 524 soil nematodes and 36 genera were identified in the cropland field. Clarkus and Acrobeloides were the dominant genus. A total of 511 soil nematodes and 41 genera were identified in the sugarcane field. Clarkus and Mylonchulus were the dominant genus. A total of 447 soil nematodes and 57 genera were identified in the mulberry field. Acrobeloides and Filenchus were the dominant genus. A total of 534 soil nematodes and 51 genera were identified in the forage grass. A total of Clarkus and Mylonchulus were the dominant genus. A total of 747 soil nematodes and 39 genera were identified in the forest. Coomansus and Filenchus were the most dominant genus. The abundances of total nematodes and each trophic group were higher in the forest plots than in the plots of the other four land-use types (Figure 2). The order of total nematode abundance was forest > sugarcane > forage grass > cropland > mulberry (Figure 2a). Bacterivore was the most abundant trophic group (Figure 2b), and bacterivore abundance and fungivore abundance were significantly higher in the forest plots than in the pots of other land-use types. Herbivore, predator, and omnivore were highest in the forest plots, lowest in the mulberry plots, and intermediate in the other plots (Figure 2d–f).

Figure 2.
Abundances of total nematodes and different nematode trophic groups in the cropland, sugarcane, mulberry, forage grass, and forest. (a) Total nematodes; (b) bacterivores; (c) fungivores; (d) herbivores; (e) predators; (f) omnivores. Values are mean ± SE. Within each panel, values with the same or no letters are not significantly different (p > 0.05) according to the LSD test.
3.1.2. Ecological Index and Metabolic Footprint of The Soil Nematode Communities
The nematode structure and maturity index were significantly lower in the mulberry plots than in the plots of other land-use types. The footprint of soil nematodes and omnivores–predators, were significantly higher in forest and sugarcane plots than in forage grass, mulberry, or cropland plots (Table 1). The metabolic footprints of herbivores, bacterivores, and fungivores did not significantly differ among land-use types. Whether in the forest or agricultural plots, the sizes of the metabolic footprints of nematodes were in the following order: predator and omnivore > herbivore > bacterivore > fungivore (Figure S1). The nematode network pattern was more complex in the forest plots than in the agricultural plots (Figure 3).

Table 1.
Nematode community indices of five land-use types: cropland, sugarcane, mulberry, forage grass, and forest.

Figure 3.
Network visualization of the interaction strengths within the soil nematode communities of cropland, sugarcane field, mulberry field, forage grass field, and mature forests. A connection stands for a strong (Spearman’s p > 0.75) correlation. The size of each node is proportional to the biomass of the nematode trophic group, and the nodes filled in purple are bacterivores, in light green are fungivores, in dark green are herbivores, in blue are predators, and in orange are omnivores. The connecting lines are colored according to interaction types; positive correlations are red, and negative correlations are green.
3.1.3. Relationship between Soil Nematode Communities and Soil Physicochemical Properties
Nematode trophic group structure and ecological indices were correlated with soil physicochemical properties (Table 2). Total soil nematode abundances were negatively correlated with BD and positively correlated with SOC, C:N, and Mg. Fungivore and herbivore abundances were positively correlated with TN and SWC. Nematode EI was negatively correlated with pH and Ca. The abundances of Coomansus (the dominant genus) and Plectus (a common genus) were positively correlated with most soil physicochemical properties, while the abundance of Acrobeloides (a common genus) was negatively correlated with most soil properties (Figure S2).

Table 2.
Pearson’s correlation coefficients between soil physicochemical properties and soil nematode variables.
3.2. Relationship between Nematode Properties and Soil Quality
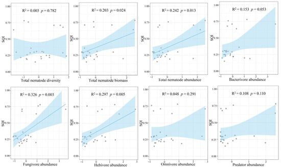
The SQI was the highest in the forest (0.71 ± 0.03) and lowest in the cropland (0.21 ± 0.02). The soil quality of the other land-use types followed the order of forage grass (0.36 ± 0.09) > sugarcane (0.28 ± 0.02) > mulberry (0.26 ± 0.02), although no significant differences were observed among them (Figure 4). The ordinary least squares (OLS) regression models revealed a positive linear correlation between SQI and the total nematodes biomass (R2 = 0.203, p < 0.05) and abundances of total nematodes (R2 = 0.242, p < 0.05), fungivores (R2 = 0.326, p < 0.01), and herbivores (R2 = 0.297, p < 0.01) (Figure 5). A total of 10 genera were incorporated in the random forest model. The results showed that the most important nematodes associated with SQI were predators and bacterivores, especially the following genera: Coomansus (Spearman, p < 0.01), Acrobeloide (Spearman, p < 0.05), Mononchus (Spearman, p < 0.05), Plectus (Spearman, p < 0.01), and Heterocephalobus (Spearman, p < 0.01) (Figure 6)

Figure 4.
Effects of land-use type on the SQI. Values are means ± SE. Means with the same letter are not significantly different (p > 0.05) according to the LSD test.

Figure 5.
Relationships between SQI and soil nematode properties. Solid line represents a significant linear regression according to an ordinary least squares (OLS) regression model. The area shaded in light blue indicates the 95% confidence interval.

Figure 6.
Random forest regression model showing the main nematode genera associated with SQI. * and ** indicate that the genera were significantly associated with SQI at p < 0.05 and <0.01, respectively.
4. Discussion
4.1. Effects of Land-Use Type on Soil Nematode Communities
In the current study, nematode abundance, diversity, and footprint were highest in the forest and sugarcane plots, intermediate in the forage grass and cropland plots, and lowest in the mulberry plots. These results were partially consistent with our first hypothesis, which was that these nematode properties would be negatively correlated with the degree of agricultural disturbance. In previous studies, soil nematode abundance or diversity was generally higher in less disturbed than more disturbed ecosystems [,,]. With less disturbance and a relatively stable input of leaf litter and rhizodeposition, forests may support relatively complex nematode community structures and networks []. Natural forest ecosystems, such as those in the current study, generally support more abundant and diverse soil nematode communities than agricultural ecosystems [], probably because soil nematodes depend mostly on the distribution of soil organic matter [,]. In agricultural soils, nematode abundance was found to be higher with no tillage than with conventional tillage (Fu, Coleman, Hendrix and Crossley []). In the current study, however, the abundance and diversity of nematodes were higher in the sugarcane plots than in the forage grass plots, probably because almost all the leaves are left on the soil surface when the sugarcane is harvested, eventually providing a substantial input of organic matter to support soil food webs. Tillage is often found to be the main cause of organic carbon depletion in agricultural soil []. Therefore, frequent tillage leading to lower organic carbon levels may partly account for the lower abundance and diversity of soil nematodes in the maize and soybean plots. Nematode abundance and diversity were the lowest in mulberry plots, which may be related to the frequent disturbances and harvesting of leaves and branches of mulberry plants. In the studied area, the mulberry leaves were manually harvested every 20 days from April to November, and all of the aboveground stems and branches were cut and removed at the end of the growing season in July and December (personal communication with local farmers) []. In addition, compound fertilizer (N: P2O5: K2O = 15:15:15) was applied to the mulberry plots in March and July at a rate of about 1,100 kg ha−1 each time, and weed control was conducted every month [,].
Nematodes in the genus Filenchus were previously reported to be more likely to occur in soils with abundant organic matter []. Consistent with the last report, we found that the nematodes in the genus Filenchus were especially abundant in forest and sugarcane plots (Table S2), which had high soil organic carbon contents (Table S1). The changes in soil nematodes in Fu2 and Pr4 functional guilds might be the reason for such changes in soil nematode communities between the five land-use types.
The abundances of soil nematodes were significantly related to SOC, C: N, and Mg contents in the current study. Previous studies reported that soil physicochemical properties had substantial effects on the soil biota [,]. Yeates [] found a positive correlation between nematode abundance and SOC content. In another study, the abundances of total nematodes, herbivores, and omnivores were positively correlated with SOM content []. That is reasonable because the abundance of soil nematodes and the size of the entire food web are ultimately determined by the availability of SOM [].
We found that soil Mg content was correlated with nematode abundance and diversity, which is reasonable because the stability of SOM in the karst region depends on organic matter complexes formed with Ca2+ and Mg2+ [,]. Total nitrogen and the C:N ratio is also an important factor affecting nematode communities []. Changes in soil carbon and nitrogen resources can affect the microbial community and plant growth and, therefore, change the food resources for different nematode trophic groups [,], ultimately affecting the number, community composition, and ecological indices of soil nematodes []. Moreover, the plots of the current study were in the karst area, Southwest China, where pH is strongly influenced by land-use type (Table S1). In accordance with our results, previous studies reported that soil pH was an important factor affecting soil nematode communities in various ecosystems in different regions [,].
4.2. Relationship between Nematodes and Soil Quality
The results clearly showed that land-use changes have resulted in different soil quality levels. SQI for cropland, sugarcane, mulberry, forage grass, and forested were 0.21, 0.284, 0.264, 0.358, and 0.714, respectively. Consistent with our research, Fu, Liu, Lu, Chen, Ma and Liu [] have found that the SQI of the natural forest was significantly higher than the grassland and cultivated land. The results validated the hypothesis that cultivation could reduce soil quality levels. Vegetation plays an important role in controlling soil quality by influencing soil organic matter quality, the availability of nutrients, bulk density, etc. [,].
In line with our second hypothesis, there was a significant positive relationship between soil nematode abundance and SQI. An increasing number of studies have demonstrated that nematodes make good bioindicators to help determine soil quality [,]. The current study showed that the soil nematodes had similar patterns with the soil quality index. However, it is unclear which nematode genera have more important roles in regulating soil quality holistically. Regarding soil nematodes, almost all studies focus on the dominant taxa, and the rare taxa are commonly overlooked. In the present study, both rare genera (e.g., Heterocephalobus) and dominant genera (e.g., Coomansus and Acrobeloide) were found to be important contributors to SQI. Rare species may be more important than originally believed. The rarity of taxa may not be permanent, and their abundance is influenced by both abiotic and biotic factors [,]. The ecological role of the rare nematode genera is poorly understood and warrants additional research.
5. Conclusions
The soil quality was evaluated by nematode and soil quality index in different land- use types. Our soil nematode data indicate that soil quality was highest in the forest plots and lowest in the mulberry plots. The main factors determining the properties of soil nematode communities may be the intensity of ecosystem disturbance and the quantity of resource input. The differences in soil quality among the five land-use types did match the differences in soil nematode properties. Finally, soil nematode properties were positively correlated with SQI, which suggests that soil nematodes may greatly affect soil quality. In addition, both the rare and dominant nematode genera contributed to soil quality. These results increase our understanding of nematodes as ecological indicators and the relationship between soil nematodes and soil quality.
Supplementary Materials
The following supporting information can be downloaded at: https://www.mdpi.com/article/10.3390/f13101658/s1, Table S1: soil properties and biological characteristics under different land-use types. Values are means ± SE, Table S2: nematode abundance (individuals per 100 g of dry soil) at 0–10 soil depth as affected by five land-use types (cropland, sugarcane, mulberry, forage grass, and forest). Values are means ± SE, Figure S1: soil nematode metabolic footprints as affected by land-use type: cropland, sugarcane, mulberry, forage grass, and forest. Tn—total nematode; Ba—bacterivore; Fu—fungivore; Pl—herbivore; OP—predator and omnivore. Values are mean ± SE. Within each group of bars, the mean with the same or no letters are not significantly different (p > 0.05) according to the LSD test, Figure S2, the correlation between soil nematode genera and physicochemical properties as affected by land-use type. Red and blue indicate positive and negative correlations, respectively (p < 0.05). Environmental factors: BD—bulk density; SWC—soil water content; TN—soil total nitrogen; SOC—soil organic carbon; C: N—ratio of soil organic carbon to total nitrogen; soil pH; Ca—calcium; Mg—magnesium; MBC—microbial biomass carbon; MBN—microbial biomass nitrogen; AN—ammonium nitrogen; NN—nitrate nitrogen.
Author Contributions
Conceptualization, Z.L., W.Z. and J.Z.; methodology, J.Z. and X.C.; software, Z.L., X.L. and J.L.; formal analysis, Z.L. and J.L.; investigation, resources, D.L. and J.Z.; data curation, D.L. and J.Z.; writing—original draft preparation, Z.L. and J.Z.; writing—review and editing, Z.L., W.Z. and J.Z.; visualization, Z.L. and X.L.; supervision, X.C., J.Z. and X.H.; project administration, D.L. and J.Z.; funding acquisition, D.L. and J.Z. All authors have read and agreed to the published version of the manuscript.
Funding
This research was supported by the Joint Funds of the Natural Science Foundation of China (No. U21A20189), the Natural Science Foundation for Distinguished Young Scholars of Hunan Province (No. 2021JJ10042), the Youth Innovation Promotion Association of the Chinese Academy of Sciences (No. Y201969), and the Guangxi Bagui Scholarship Program given to Dejun Li.
Acknowledgments
We thank Bruce Jaffee for his help in preparing the manuscript.
Conflicts of Interest
The authors declare no conflict of interest.
References
- Andrews, S.S.; Flora, C.B.; Mitchell, J.P.; Karlen, D.L. Growers’ perceptions and acceptance of soil quality indices. Geoderma 2003, 114, 187–213. [Google Scholar] [CrossRef]
- Andrews, S.S.; Karlen, D.L.; Mbardella, C.C. The Soil Management Assessment Framework. Soil Sci. Soc. Am. J. 2004, 68, 1945. [Google Scholar] [CrossRef]
- Baker, J.M.; Ochsner, T.E.; Venterea, R.T.; Griffis, T.J. Tillage and soil carbon sequestration—What do we really know? Agric. Ecosyst. Environ. 2007, 118, 1–5. [Google Scholar] [CrossRef]
- Bardgett, R.D.; van der Putten, W.H. Belowground biodiversity and ecosystem functioning. Nature 2014, 515, 505–511. [Google Scholar] [CrossRef] [PubMed]
- Barker, K.R. Nematode Extraction and Bioassays. Adv. Treatise Meloidogyne 1985, 2, 19–35. [Google Scholar]
- Barrios, E.; Delve, R.J.; Bekunda, M.; Mowo, J.; Agunda, J.; Ramisch, J.; Trejo, M.T.; Thomas, R.J. Indicators of soil quality: A South–South development of a methodological guide for linking local and technical knowledge. Geoderma 2006, 135, 248–259. [Google Scholar] [CrossRef]
- Berkelmans, R.; Ferris, H.; Tenuta, M.; van Bruggen, A.H.C. Effects of long-term crop management on nematode trophic levels other than plant feeders disappear after 1 year of disruptive soil management. Appl. Soil Ecol. 2003, 23, 223–235. [Google Scholar] [CrossRef]
- Bongers, T. The maturity index: An ecological measure of environmental disturbance based on nematode species composition. Oecologia 1990, 83, 14–19. [Google Scholar] [CrossRef] [PubMed]
- Bongers, T.; Bongers, M. Functional diversity of nematodes. Appl. Soil Ecol. 1998, 10, 239–251. [Google Scholar] [CrossRef]
- Bongers, T.; Ferris, H. Nematode community structure as a bioindicator in environmental monitoring. Trends Ecol. Evol. 1999, 14, 224–228. [Google Scholar] [CrossRef]
- Bünemann, E.K.; Bongiorno, G.; Bai, Z.; Creamer, R.E.; De Deyn, G.; de Goede, R.; Fleskens, L.; Geissen, V.; Kuyper, T.W.; Mäder, P.; et al. Soil quality—A critical review. Soil Biol. Biochem. 2018, 120, 105–125. [Google Scholar] [CrossRef]
- Carter, M.; Gregorich, E. Soil Sampling and Methods of Analysis; Lewis Publishers: Boca Raton FL, USA, 2006; pp. 481–483. [Google Scholar]
- Ditzler, C.A.; Tugel, A.J. Soil Quality Field Tools. Agron. J. 2002, 94, 33–38. [Google Scholar]
- Doran, J.W. The Dynamics of Soil Quality as a Measure of Sustainable Management; American Society of Agronomy: Madison, WI, USA, 1994. [Google Scholar]
- Doran, J.W.; Parkin, T.B. Defining and Assessing Soil Quality. In Defining Soil Quality for a Sustainable Environment; Doran, J.W., Coleman, D.C., Bezdicek, D.F., Stewart, B.A., Eds.; SSSA Special Publications: Madison, WI, USA, 1994; pp. 3–21. [Google Scholar]
- Doran, J.W.; Parkin, T.B. Quantitative Indicators of Soil Quality, a Minimum Data Set; Doran, J.W., Jones, A.J., Eds.; Methods for Assessing Soil Quality, Special Publication No. 49; Soil Science Society of America: Madison, WI, USA, 1996; pp. 25–37. [Google Scholar]
- Dumanski, J.; Pieri, C. Land quality indicators: Research plan. Agric. Ecosyst. Environ. 2000, 81, 93–102. [Google Scholar] [CrossRef]
- Elliott, E.T.; Pankhurst, C.E.; Doube, B.M.; Gupta, V.; Grace, P.R. The Potential Use of Soil Biotic Activity as an Indicator of Productivity, Sustainability, and Pollution; CSIRO Publications: Melbourne, Australia, 1994. [Google Scholar]
- Ferris, H.; Bongers, T.; de Goede, R.G.M. A framework for soil food web diagnostics: Extension of the nematode faunal analysis concept. Appl. Soil Ecol. 2001, 18, 13–29. [Google Scholar] [CrossRef]
- Frostegård, A.; Bååth, E. The use of phospholipid fatty acid analysis to estimate bacterial and fungal biomass in soil. Biol. Fertil. Soils 1996, 22, 59–65. [Google Scholar] [CrossRef]
- Fu, B.J.; Liu, S.L.; Lu, Y.H.; Chen, L.D.; Ma, K.M.; Liu, G.H. Comparing the soil quality changes of different land uses determined by two quantitative methods. J. Environ. Sci. 2003, 15, 167–172. [Google Scholar]
- Fu, S.L.; Coleman, D.C.; Hendrix, P.F.; Crossley, D.A. Responses of trophic groups of soil nematodes to residue application under conventional tillage and no-till regimes. Soil Biol. Biochem. 2000, 32, 1731–1741. [Google Scholar] [CrossRef]
- Gao, D.; Wang, F.; Li, J.; Yu, S.; Li, Z.; Zhao, J. Soil nematode communities as indicators of soil health in different land use types in tropical area. Nematology 2020, 22, 595–610. [Google Scholar] [CrossRef]
- Gao, X.; Wu, P.; Zhao, X.; Wang, J.; Shi, Y. Effects of land use on soil moisture variations in a semi-arid catchment: Implications for land and agricultural water management. Land Degrad. Dev. 2014, 25, 163–172. [Google Scholar] [CrossRef]
- Gaston, K.J. Biodiversity and extinction: The importance of being common. Prog. Phys. Geogr. Earth Environ. 2008, 32, 73–79. [Google Scholar] [CrossRef]
- Gong, W.Z. Assessment and analysis of soil quality changes after eleven years of reclamation in subtropical China. Geoderma 1998, 81, 339–355. [Google Scholar]
- Guan, P.; Zhang, X.; Yu, J.; Cheng, Y.; Li, Q.; Andriuzzi, W.S.; Liang, W. Soil microbial food web channels associated with biological soil crusts in desertification restoration: The carbon flow from microbes to nematodes. Soil Biol. Biochem. 2018, 116, 82–90. [Google Scholar] [CrossRef]
- Gudelj, I.; Weitz, J.S.; Ferenci, T.; Claire Horner-Devine, M.; Marx, C.J.; Meyer, J.R.; Forde, S.E. An integrative approach to understanding microbial diversity: From intracellular mechanisms to community structure. Ecol. Lett. 2010, 13, 1073–1084. [Google Scholar] [CrossRef] [PubMed]
- Ingham, R.E.; Trofymow, J.A.; Ingham, E.R.; Coleman, D.C. Interactions of bacteria, fungi, and their nematode grazers—Effects on nutrient cycling and plant-growth. Ecol. Monogr. 1985, 55, 119–140. [Google Scholar] [CrossRef]
- Larson, W.E.; Pierce, F. Conservation and Enhancement of Soil Quality. Evaluation for Sustainable Land Management in the Developing World; Dumanski, J., Pushparajah, E., Latham, M., Myers, R., Eds.; Board for Soil Research and Management: Bangkok, Thailand, 1991; pp. 175–203. [Google Scholar]
- Li, D.; Liu, J.; Chen, H.; Zheng, L.; Wang, K. Soil gross nitrogen transformations in responses to land use conversion in a subtropical karst region. J. Environ. Manag. 2018, 212, 1–7. [Google Scholar] [CrossRef] [PubMed]
- Li, D.; Liu, J.; Chen, H.; Zheng, L.; Wang, K. Soil microbial community responses to forage grass cultivation in degraded karst soils, Southwest China. Land Degrad. Dev. 2018, 29, 4262–4270. [Google Scholar] [CrossRef]
- Li, D.J.; Wen, L.; Yang, L.Q.; Luo, P.; Xiao, K.C.; Chen, H.; Zhang, W.; He, X.Y.; Chen, H.S.; Wang, K.L. Dynamics of soil organic carbon and nitrogen following agricultural abandonment in a karst region. J. Geophys. Res. Biogeosciences 2017, 122, 230–242. [Google Scholar] [CrossRef]
- Li, Q.; Liang, W.; Ou, W. Response of nematode community to land use pattern in aquic brown soil. Biodivers. Sci. 2007, 15, 8. [Google Scholar]
- Liu, J.; Wu, L.; Chen, D.; Li, M.; Wei, C. Soil quality assessment of different Camellia oleifera stands in mid-subtropical China. Appl. Soil Ecol. 2017, 113, 29–35. [Google Scholar] [CrossRef]
- Liu, L.; Gundersen, P.; Zhang, T.; Mo, J. Effects of phosphorus addition on soil microbial biomass and community composition in three forest types in tropical China. Soil Biol. Biochem. 2012, 44, 31–38. [Google Scholar] [CrossRef]
- Mamehpour, N.; Rezapour, S.; Ghaemian, N. Quantitative assessment of soil quality indices for urban croplands in a calcareous semi-arid ecosystem. Geoderma 2021, 382, 114781. [Google Scholar] [CrossRef]
- Masto, R.E.; Chhonkar, P.K.; Singh, D.; Patra, A.K. Alternative soil quality indices for evaluating the effect of intensive cropping, fertilisation and manuring for 31 years in the semi-arid soils of India. Environ. Monit. Assess. 2008, 136, 419–435. [Google Scholar] [CrossRef] [PubMed]
- Mcmahon, S.K.; Williams, M.A.; Bottomley, P.J.; Myrold, D.D. Dynamics of Microbial Communities during Decomposition of Carbon-13 Labeled Ryegrass Fractions in Soil. Soil Sci. Soc. Am. J. 2005, 69, 1238–1247. [Google Scholar] [CrossRef]
- Neher, D.A. Role of nematodes in soil health and their use as indicators. J. Nematol. 2001, 33, 161–168. [Google Scholar] [PubMed]
- Neher, D.A.; Campbell, C.L. Nematode communities and microbial biomass in soils with annual and perennial crops. Appl. Soil Ecol. 1994, 1, 17–28. [Google Scholar] [CrossRef]
- Neher, D.A.; Wu, J.; Barbercheck, M.E.; Anas, O. Ecosystem type affects interpretation of soil nematode community measures. Appl. Soil Ecol. 2005, 30, 47–64. [Google Scholar] [CrossRef]
- Ngo-Mbogba, M.; Yemefack, M.; Nyeck, B. Assessing soil quality under different land cover types within shifting agriculture in South Cameroon. Soil Tillage Res. 2015, 150, 124–131. [Google Scholar] [CrossRef]
- Okada, H.; Kadota, I. Host status of 10 fungal isolates for two nematode species, Filenchus misellus and Aphelenchus avenae. Soil Biol. Biochem. 2003, 35, 1601–1607. [Google Scholar] [CrossRef]
- Olsson, P.A. Signature fatty acids provide tools for determination of distribution and interactions of mycorrhizal fungi in soil. FEMS Microbiol. Ecol. 2006, 29, 303–310. [Google Scholar] [CrossRef]
- Ou, W.; Liang, W.; Jiang, Y.; Li, Q.; Wen, D. Vertical distribution of soil nematodes under different land use types in an aquic brown soil. Pedobiologia 2005, 49, 139–148. [Google Scholar] [CrossRef]
- Paz-Ferreiro, J.; Fu, S. Biological Indices for Soil Quality Evaluation: Perspectives and Limitations. Land Degrad. Dev. 2013, 27, 14–25. [Google Scholar] [CrossRef]
- Porazinska, D.L.; Duncan, L.W.; McSorley, R.; Graham, J.H. Nematode communities as indicators of status and processes of a soil ecosystem influenced by agricultural management practices. Appl. Soil Ecol. 1999, 13, 69–86. [Google Scholar] [CrossRef]
- Quist, C.W.; Schrama, M.; de Haan, J.J.; Smant, G.; Bakker, J.; van der Putten, W.H.; Helder, J. Organic farming practices result in compositional shifts in nematode communities that exceed crop-related changes. Appl. Soil Ecol. 2016, 98, 254–260. [Google Scholar] [CrossRef]
- Röty, M.; Huhta, V. Earthworms and pH affect communities of nematodes and enchytraeids in forest soil. Biol. Fertil. Soils 2003, 38, 52–58. [Google Scholar] [CrossRef]
- Smith, J.L.; Halvorson, J.J.; Papendick, R.I. Using Multiple-Variable Indicator Kriging for Evaluating Soil Quality. Soil Sci. Soc. Am. J. 1993, 57, 743–749. [Google Scholar] [CrossRef]
- van den Hoogen, J.; Geisen, S.; Routh, D.; Ferris, H.; Traunspurger, W.; Wardle, D.A.; de Goede, R.G.M.; Adams, B.J.; Ahmad, W.; Andriuzzi, W.S.; et al. Soil nematode abundance and functional group composition at a global scale. Nature 2019, 572, 194–198. [Google Scholar] [CrossRef]
- Viketoft, M. Determinants of small-scale spatial patterns: Importance of space, plants and abiotics for soil nematodes. Soil Biol. Biochem. 2013, 62, 92–98. [Google Scholar] [CrossRef]
- Wall, J.; Skene, K.; Neilson, R. Nematode community and trophic structure along a sand dune succession. Biol. Fertil. Soils 2002, 35, 293–301. [Google Scholar] [CrossRef]
- Wang, K.L.; Yue, Y.M.; Chen, H.S.; Wu, X.B.; Xiao, J.; Qi, X.K.; Zhang, W.; Du, H. The comprehensive treatment of karst rocky desertification and its regional restoration effects. Acta Ecol. Sin. 2019, 39, 7432–7440. [Google Scholar]
- Wardle, D.A. Impacts of Disturbance on Detritus Food Webs in Agro-Ecosystems of Contrasting Tillage and Weed Management Practices. Adv. Ecol. Res. 1995, 26, 105–185. [Google Scholar]
- Wen, L.; Li, D.; Yang, L.; Luo, P.; Chen, H.; Xiao, K.; Song, T.; Zhang, W.; He, X.; Chen, H.; et al. Rapid recuperation of soil nitrogen following agricultural abandonment in a karst area, southwest China. Biogeochemistry 2016, 129, 341–354. [Google Scholar] [CrossRef]
- Yang, L.; Luo, P.; Wen, L.; Li, D. Soil organic carbon accumulation during post-agricultural succession in a karst area, southwest China. Sci. Rep. 2016, 6, 37118. [Google Scholar] [CrossRef] [PubMed]
- Yeates, G.W. Populations of nematode genera in soils under pasture. N. Z. J. Agric. Res. 1978, 21, 321–330. [Google Scholar] [CrossRef]
- Yeates, G.W. Soil nematodes in terrestrial ecosystems. J. Nematol. 1979, 11, 213–229. [Google Scholar] [PubMed]
- Yeates, G.W.; Bongers, T. Nematode diversity in agroecosystems. Agric. Ecosyst. Environ. 1999, 74, 113–135. [Google Scholar] [CrossRef]
- Yeates, G.W.; Bongers, T.; Freckman, R.G.D.W.; Georgieva, S.S. Feeding habits in soil nematode families and genera-an outline for soil ecologists. J. Nematol. 1993, 25, 315–331. [Google Scholar] [PubMed]
- Zhang, C.; Liu, G.B.; Xue, S.; Wang, G.L. Soil bacterial community dynamics reflect changes in plant community and soil properties during the secondary succession of abandoned farmland in the Loess Plateau. Soil Biol. Biochem. 2016, 97, 40–49. [Google Scholar] [CrossRef]
- Zhang, Q.; Li, S.; Hu, S.; Mao, L.; Han, R. Discussion on Fertilization Techniques of Mulberry in Summer and Autumn. Agric. Technol. Equip. 2021, 1, 135–136. [Google Scholar]
- Zhao, J.; Li, S.; He, X.; Liu, L.; Wang, K. The soil biota composition along a progressive succession of secondary vegetation in a karst area. PLoS ONE 2014, 9, e112436. [Google Scholar] [CrossRef][Green Version]
- Zhao, J.; Neher, D.A. Soil energy pathways of different ecosystems using nematode trophic group analysis: A meta analysis. Nematology 2014, 16, 379–385. [Google Scholar] [CrossRef]
- Zhao, J.; Wang, K. Methods for cleaning turbid nematode suspensions collected from different land-use types and soil types. Soil Ecol. Lett. 2021, 4, 429–434. [Google Scholar] [CrossRef]
- Zhao, J.; Zeng, Z.; He, X.; Chen, H.; Wang, K. Effects of monoculture and mixed culture of grass and legume forage species on soil microbial community structure under different levels of nitrogen fertilization. Eur. J. Soil Biol. 2015, 68, 61–68. [Google Scholar] [CrossRef]
- Zhao, J.; Zhang, W.; Wang, K.; Song, T.; Du, H. Responses of the soil nematode community to management of hybrid napiergrass: The trade-off between positive and negative effects. Appl. Soil Ecol. 2014, 75, 134–144. [Google Scholar] [CrossRef]
Publisher’s Note: MDPI stays neutral with regard to jurisdictional claims in published maps and institutional affiliations. |
© 2022 by the authors. Licensee MDPI, Basel, Switzerland. This article is an open access article distributed under the terms and conditions of the Creative Commons Attribution (CC BY) license (https://creativecommons.org/licenses/by/4.0/).