Remote Sensing Estimation of Forest Aboveground Biomass Based on Lasso-SVR
Abstract
1. Introduction
2. Materials and Methods
2.1. Overview of the Research Area
2.2. Ground Survey Data
2.3. Remote Sensing Data
2.4. Candidate Variables for Modeling
2.5. NASA DEM Data
2.6. Method Flow Chart
2.7. Pearson Correlation
2.8. Lasso Algorithm
2.9. SVR Model
3. Results and Analysis
3.1. Correlation Analysis
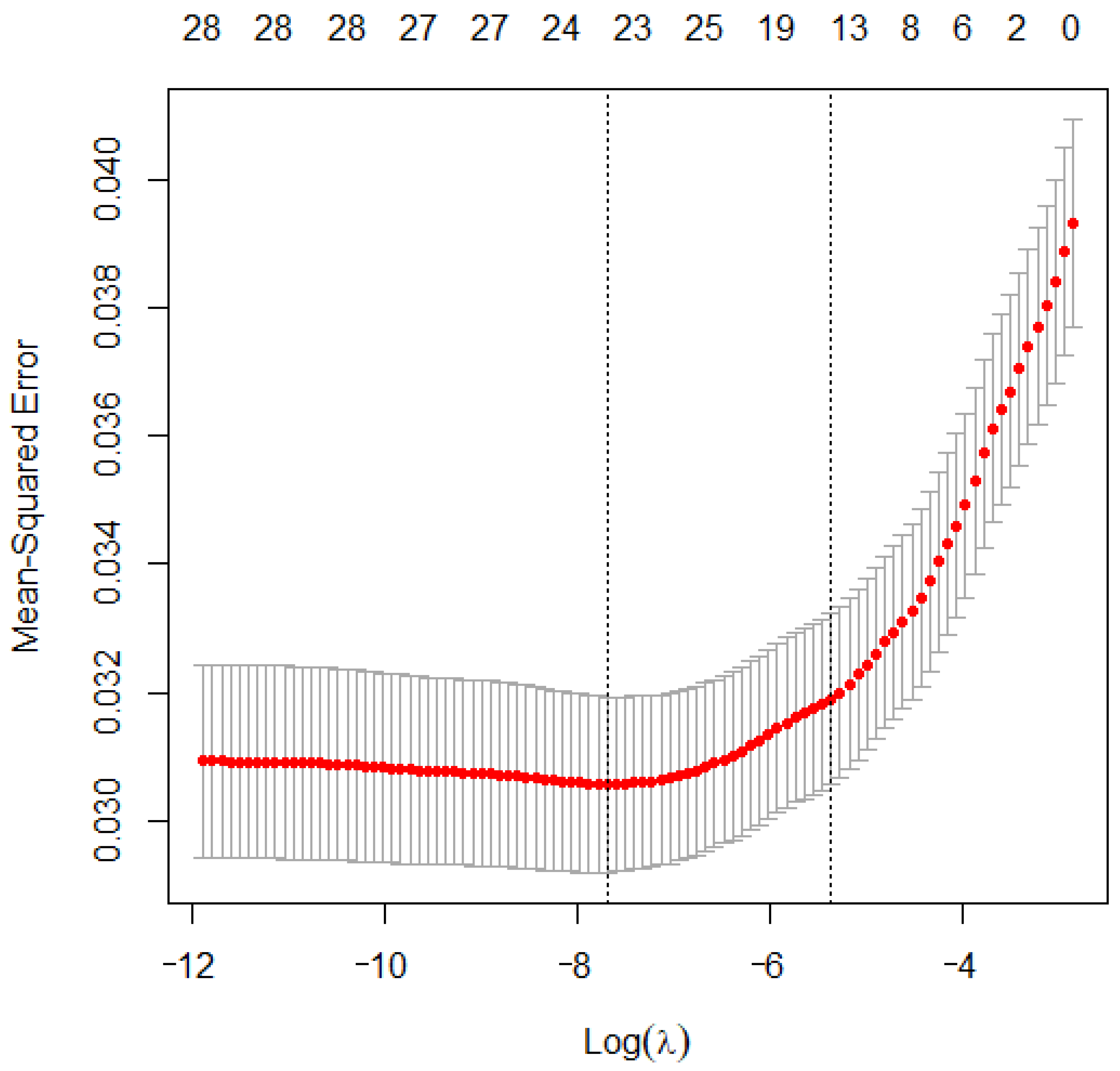
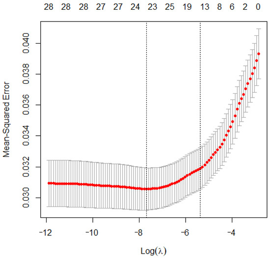
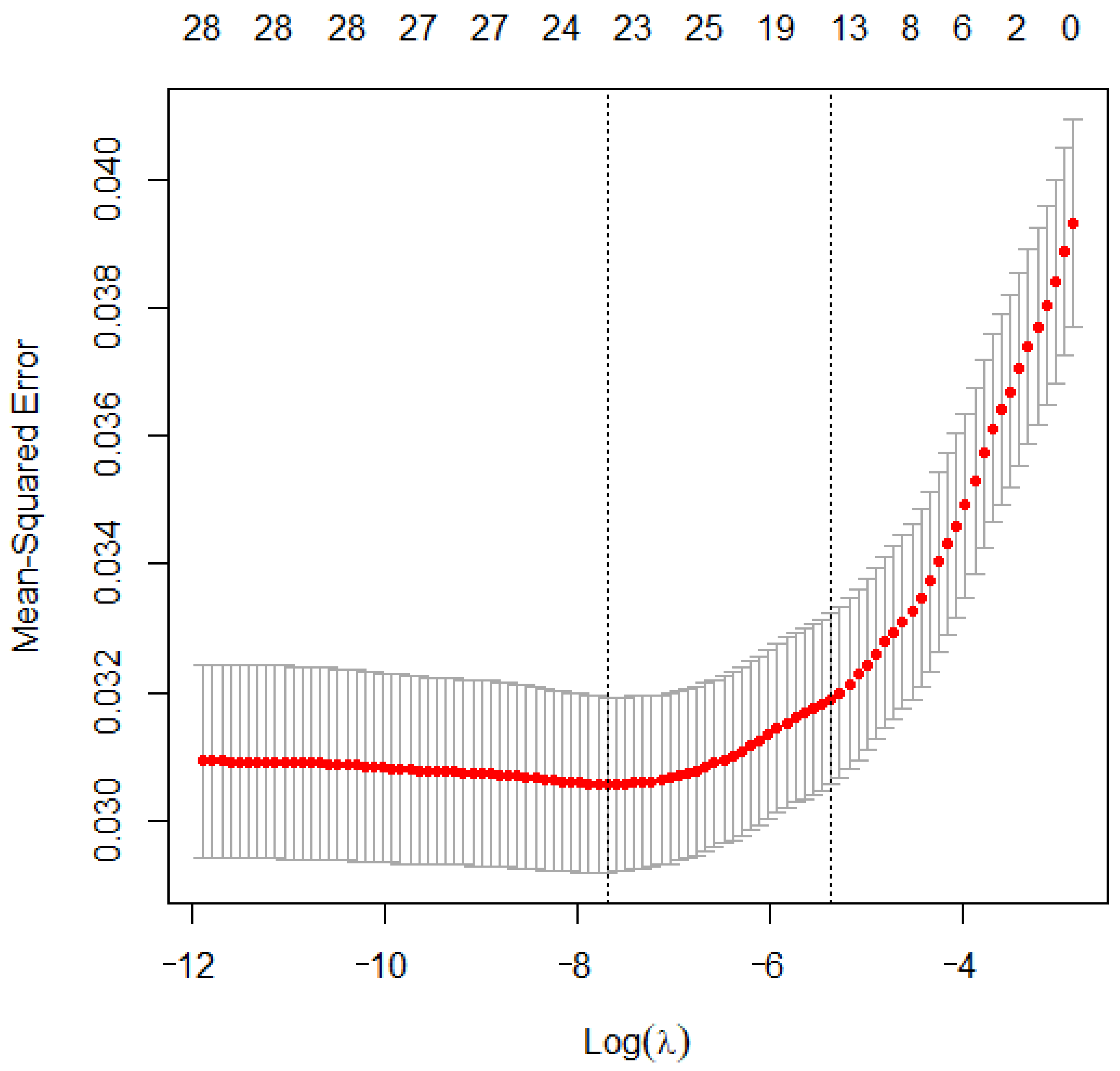
3.2. Lasso Algorithm Feature Selection
3.3. SVR Model Kernel Function and Parameter Selection
3.4. Estimation and Accuracy Evaluation of Forest Aboveground Biomass
3.5. Mapping of Forest Aboveground Biomass Estimation
4. Discussion
5. Conclusions
Author Contributions
Funding
Institutional Review Board Statement
Informed Consent Statement
Data Availability Statement
Conflicts of Interest
References
- Saint-André, L.; M’Bou, A.T.; Mabiala, A.; Mouvondy, W.; Jourdan, C.; Roupsard, O.; Deleporte, P.; Hamel, O.; Nouvellon, Y. Age-related equations for above- and below-ground biomass of a Eucalyptus hybrid in Congo. For. Ecol. Manag. 2005, 205, 199–214. [Google Scholar] [CrossRef]
- Zhang, X.Q.; Xu, D. Calculating forest biomass changes in China. Science 2002, 296, 1359. [Google Scholar] [CrossRef] [PubMed][Green Version]
- Fang, J.Y.; Wang, Z.M. Forest biomass estimation at regional and global levels, with special reference to China’s forest biomass. Ecol. Res. 2001, 16, 587–592. [Google Scholar] [CrossRef]
- Wijaya, A.; Kusnadi, S.; Gloaguen, R.; Heilmeier, H. Improved strategy for estimating stem volume and forest biomass using moderate resolution remote sensing data and GIS. J. For. Res. 2010, 21, 1–12. [Google Scholar] [CrossRef]
- Santi, E.; Paloscia, S.; Pettinato, S.; Cuozzo, G.; Padovano, A.; Notarnicola, C.; Albinet, C. Machine-Learning Applications for the Retrieval of Forest Biomass from Airborne P-Band SAR Data. Remote Sens. 2020, 12, 804. [Google Scholar] [CrossRef]
- Wu, C.; Shen, H.; Shen, A.; Deng, J.; Gan, M.; Zhu, J.; Xu, H.; Wang, K. Comparison of machine-learning methods for above-ground biomass estimation based on Landsat imagery. J. Appl. Remote Sens. 2016, 10, 35010. [Google Scholar] [CrossRef]
- Dang, A.T.N.; Nandy, S.; Srinet, R.; Luong, N.V.; Ghosh, S.; Kumar, A.S. Forest aboveground biomass estimation using machine learning regression algorithm in Yok Don National Park, Vietnam. Ecol. Inform. 2019, 50, 24–32. [Google Scholar] [CrossRef]
- Zhang, Y.Y.; Li, F.R.; Liu, F.X. Forest biomass estimation based on remote sensing method for north Daxingan moun-tains. In Advanced Materials Research; Trans Tech Publications Ltd.: Zurich, Switzerland, 2011; Volume 339, pp. 336–341. [Google Scholar] [CrossRef]
- Gleason, C.J.; Im, J. Forest biomass estimation from airborne LiDAR data using machine learning approaches. Remote Sens. Environ. 2012, 125, 80–91. [Google Scholar] [CrossRef]
- Zhang, L.; Shao, Z.; Liu, J.; Cheng, Q. Deep Learning Based Retrieval of Forest Aboveground Biomass from Combined LiDAR and Landsat 8 Data. Remote Sens. 2019, 11, 1459. [Google Scholar] [CrossRef]
- López-Serrano, P.M.; Cárdenas Domínguez, J.L.; Corral-Rivas, J.J.; Jiménez, E.; López-Sánchez, C.A.; Vega-Nieva, D.J. Modeling of aboveground biomass with Landsat 8 OLI and machine learning in temperate forests. Forests 2019, 11, 11. [Google Scholar] [CrossRef]
- Halme, E.; Pellikka, P.; Mõttus, M. Utility of hyperspectral compared to multispectral remote sensing data in estimating forest biomass and structure variables in Finnish boreal forest. Int. J. Appl. Earth Obs. Geoinf. 2019, 83, 101942. [Google Scholar] [CrossRef]
- Kohavi, R.; John, G.H. Wrappers for feature subset selection. Artif. Intell. 1997, 97, 273–324. [Google Scholar] [CrossRef]
- Nilsson, R.; Pena, J.M.; Björkegren, J.; Tegnér, J. Consistent feature selection for pattern recognition in polynomial time. J. Mach. Learn. Res. 2007, 8, 589–612. [Google Scholar]
- Wang, K.; Liu, L.; Yuan, C.; Wang, Z. Software defect prediction model based on LASSO–SVM. Neural Comput. Appl. 2021, 33, 8249–8259. [Google Scholar] [CrossRef]
- Tibshirani, R. Regression shrinkage and selection via the lasso. J. R. Stat. Soc. 1996, 58, 267–288. [Google Scholar] [CrossRef]
- He, H.; Zhu, G.; Ma, W.; Liu, F.; Zhang, X. Additivity of stand basal area predictions in canopy stratifications for natural oak forests. For. Ecol. Manag. 2021, 492, 119246. [Google Scholar] [CrossRef]
- Zhou, G.Y.; Yin, G.C.; Tang, X.L. Carbon Stocks in China’s Forest Ecosystems: A Biomass Equation; Science Publishers: BeiJing, China, 2018; p. 70. [Google Scholar]
- Li, H.K.; Lei, Y.C. Assessment of Forest Vegetation Biomass and Carbon Stocks in China; Chinese Forestry Press: Beijing, China, 2010; p. 58. [Google Scholar]
- Phiri, D.; Simwanda, M.; Salekin, S.; Nyirenda, V.R.; Murayama, Y.; Ranagalage, M. Sentinel-2 Data for Land Cover/Use Mapping: A Review. Remote Sens. 2020, 12, 2291. [Google Scholar] [CrossRef]
- Chen, Y.; Guerschman, J.; Shendryk, Y.; Henry, D.; Harrison, M. Estimating Pasture Biomass Using Sentinel-2 Imagery and Machine Learning. Remote Sens. 2021, 13, 603. [Google Scholar] [CrossRef]
- Raiyani, K.; Gonçalves, T.; Rato, L.; Salgueiro, P.; da Silva, J.M. Sentinel-2 Image Scene Classification: A Comparison between Sen2Cor and a Machine Learning Approach. Remote Sens. 2021, 13, 300. [Google Scholar] [CrossRef]
- Muhsoni, F.F.; Sambah, A.B.; Mahmudi, M.; Wiadnya, D.G.R. Comparison of different vegetation indices for assessing mangrove density using sentinel-2 imagery. GEOMATE J. 2018, 14, 42–51. [Google Scholar] [CrossRef]
- Yuan, F.; Bauer, M.E. Comparison of impervious surface area and normalized difference vegetation index as indicators of surface urban heat island effects in Landsat imagery. Remote Sens. Environ. 2007, 106, 375–386. [Google Scholar] [CrossRef]
- Gitelson, A.A.; Merzlyak, M.N. Remote estimation of chlorophyll content in higher plant leaves. Int. J. Remote Sens. 1997, 18, 2691–2697. [Google Scholar] [CrossRef]
- Sims, D.A.; Gamon, J.A. Relationships between leaf pigment content and spectral reflectance across a wide range of species, leaf structures and developmental stages. Remote Sens. Environ. 2002, 81, 337–354. [Google Scholar] [CrossRef]
- Wilson, N.R.; Norman, L.M. Analysis of vegetation recovery surrounding a restored wetland using the normalized difference infrared index (NDII) and normalized difference vegetation index (NDVI). Int. J. Remote Sens. 2018, 39, 3243–3274. [Google Scholar] [CrossRef]
- Gitelson, A.A.; Gritz, Y.; Merzlyak, M.N. Relationships between leaf chlorophyll content and spectral reflectance and algorithms for non-destructive chlorophyll assessment in higher plant leaves. J. Plant Physiol. 2003, 160, 271–282. [Google Scholar] [CrossRef]
- Huete, A.; Didan, K.; Miura, T.; Rodriguez, E.P.; Gao, X.; Ferreira, L.G. Overview of the radiometric and biophysical performance of the MODIS vegetation indices. Remote Sens. Environ. 2002, 83, 195–213. [Google Scholar] [CrossRef]
- Chen, J.M. Evaluation of vegetation indices and a modified simple ratio for boreal applications. Can. J. Remote Sens. 1996, 22, 229–242. [Google Scholar] [CrossRef]
- Naji, T.A.H. Study of vegetation cover distribution using DVI, PVI, WDVI indices with 2D-space plot. In Journal of Physics: Conference Series; IOP Publishing: Bristol, UK, 2018; Volume 1003, p. 012083. [Google Scholar] [CrossRef]
- Goel, N.S.; Qin, W. Influences of canopy architecture on relationships between various vegetation indices and LAI and FPAR: A computer simulation. Remote Sens. Rev. 1994, 10, 309–347. [Google Scholar] [CrossRef]
- Frampton, W.J.; Dash, J.; Watmough, G.; Milton, E.J. Evaluating the capabilities of Sentinel-2 for quantitative estimation of biophysical variables in vegetation. ISPRS J. Photogramm. Remote Sens. 2013, 82, 83–92. [Google Scholar] [CrossRef]
- Liu, Y.; Mu, Y.; Chen, K.; Li, Y.; Guo, J. Daily Activity Feature Selection in Smart Homes Based on Pearson Correlation Coefficient. Neural Process. Lett. 2020, 51, 1771–1787. [Google Scholar] [CrossRef]
- Fonti, V.; Belitser, E. Feature selection using lasso. VU Amst. Res. Pap. Bus. Anal. 2017, 30, 1–25. [Google Scholar]
- Marabel, M.; Alvarez-Taboada, F. Spectroscopic determination of aboveground biomass in grasslands using spectral transfor-mations, support vector machine and partial least squares regression. Sensors 2013, 13, 10027–10051. [Google Scholar] [CrossRef] [PubMed]
- Chicco, D.; Warrens, M.J.; Jurman, G. The coefficient of determination R-squared is more informative than SMAPE, MAE, MAPE, MSE and RMSE in regression analysis evaluation. PeerJ Comput. Sci. 2021, 7, e623. [Google Scholar] [CrossRef] [PubMed]
- Wang, H.; Xu, D. Parameter Selection Method for Support Vector Regression Based on Adaptive Fusion of the Mixed Kernel Function. J. Control Sci. Eng. 2017, 2017, 3614790. [Google Scholar] [CrossRef]








| ORIG_ FID | Area | Area (Acre) | Tree Species | Soil Type | Diameter at Breast Height | Tree Height | Number of Plants | Slope | Soil Thickness |
|---|---|---|---|---|---|---|---|---|---|
| 0 | 1.64 | 25 | 310,000 | 103 | 6.00 | 10.00 | 1223 | 4 | 40 |
| 1 | 1.85 | 28 | 310,000 | 104 | 8.00 | 10.00 | 1950 | 3 | 60 |
| 2 | 4.27 | 64 | 310,000 | 103 | 8.00 | 10.00 | 2600 | 4 | 50 |
| 3 | 0.52 | 8 | 310,000 | 103 | 0.00 | 10.00 | 2100 | 4 | 40 |
| 4 | 18.18 | 273 | 310,000 | 103 | 14.00 | 10.00 | 2311 | 4 | 50 |
| 5 | 0.36 | 5 | 590,000 | 103 | 6.00 | 10.00 | 1415 | 4 | 40 |
| 6 | 1.01 | 15 | 310,000 | 103 | 14.00 | 10.00 | 1194 | 4 | 50 |
| 7 | 1.55 | 23 | 310,000 | 103 | 8.00 | 10.00 | 1061 | 4 | 50 |
| 8 | 2.81 | 42 | 310,000 | 103 | 14.00 | 10.00 | 1194 | 4 | 50 |
| 9 | 4.92 | 74 | 310,000 | 103 | 16.00 | 10.00 | 1238 | 4 | 50 |
| 10 | 0.27 | 4 | 310,000 | 103 | 18.00 | 10.00 | 1452 | 5 | 40 |
| 11 | 0.15 | 2 | 310,000 | 103 | 12.00 | 10.00 | 2746 | 4 | 50 |
| 12 | 0.48 | 7 | 590,000 | 103 | 10.00 | 10.00 | 1415 | 5 | 40 |
| 13 | |||||||||
| 14 | |||||||||
| 1236 | 0.48 | 7 | 590,000 | 103 | 18.00 | 10.00 | 1452 | 5 | 40 |
| Serial Number | Tree Species (Group) | Calculation Formula | References | |
|---|---|---|---|---|
| 1 | Horsetail Pine | [18] | ||
| ; | [18] | |||
| 2 | Camphor Tree | ; | [18] | |
| ; | [18] | |||
| 3 | Cedarwood | ; | ; | [18] |
| ; | ; | [18] | ||
| 4 | Oak | ; | ; | [18] |
| ; | ; | [18] | ||
| 5 | hard broad-leaved forest | ; | ; | [18] |
| ; | ; | [18] | ||
| 6 | soft broad-leaved forest | ; | ; | [18] |
| ; | ; | [18] | ||
| 7 | Bamboo | WT = 0.6439D1.5373; | [19] | |
| Serial Number | Vegetation Index | Acronym | Formula | References |
|---|---|---|---|---|
| 1 | Ratio vegetation index | [23] | ||
| 2 | Red edge ratio vegetation index | [23] | ||
| 3 | Normalized difference vegetation index | [24] | ||
| 4 | Normalized Difference Red Edge Band 5 Vegetation Index | [25] | ||
| 5 | Normalized Difference Red Edge Band 6 Vegetation Index | [26] | ||
| 6 | Modified Normalized Difference Vegetation Index | ) | [26] | |
| 7 | Modified Normalized Difference Red Edge Vegetation Index | [26] | ||
| 8 | Normalized Difference Infrared Index | [27] | ||
| 9 | Green Light Chlorophyll Vegetation Index | [28] | ||
| 10 | Red Edge Chlorophyll Vegetation Index | [28] | ||
| 11 | Enhanced vegetation index | [29] | ||
| 12 | Modified simple ratio index | [30] | ||
| 13 | Difference vegetation index | [31] | ||
| 14 | Nonlinear index | [32] | ||
| 15 | Red edge nonlinear index | [32] | ||
| 16 | Novel inverted red-edge chlorophyll index | [33] |
| Characteristic Variable | Modeling Set | Validation Set | ||||
|---|---|---|---|---|---|---|
| RMSE (t/ha) | MAE (t/ha) | RMSE (t/ha) | MAE (t/ha) | |||
| Original characteristic variable | 29.58 | 19.85 | 0.75 | 36.46 | 24.79 | 0.60 |
| Lasso characteristic variable | 32.34 | 24.78 | 0.73 | 34.76 | 24.61 | 0.62 |
| Kernel Function | Cost | Gamma | Number of Support Vector Machines | Modeling Set | Validation Set |
|---|---|---|---|---|---|
| Radial Basis Function | 2 | 0.01 | 766 | 0.73 | 0.62 |
| Polynomial Kernel | 1 | 3 | 776 | 0.63 | 0.55 |
| Sigmoid Kernel | 1 | 0.077 | 848 | 0.57 | 0.51 |
| Linear Kernel | 1 | None | 773 | 0.65 | 0.53 |
| Model | Modeling Set | Validation Set | ||||
|---|---|---|---|---|---|---|
| RMSE (t/ha) | MAE (t/ha) | RMSE (t/ha) | MAE (t/ha) | |||
| Lasso + SVR | 32.34 | 24.78 | 0.73 | 34.76 | 24.61 | 0.62 |
Publisher’s Note: MDPI stays neutral with regard to jurisdictional claims in published maps and institutional affiliations. |
© 2022 by the authors. Licensee MDPI, Basel, Switzerland. This article is an open access article distributed under the terms and conditions of the Creative Commons Attribution (CC BY) license (https://creativecommons.org/licenses/by/4.0/).
Share and Cite
Wang, P.; Tan, S.; Zhang, G.; Wang, S.; Wu, X. Remote Sensing Estimation of Forest Aboveground Biomass Based on Lasso-SVR. Forests 2022, 13, 1597. https://doi.org/10.3390/f13101597
Wang P, Tan S, Zhang G, Wang S, Wu X. Remote Sensing Estimation of Forest Aboveground Biomass Based on Lasso-SVR. Forests. 2022; 13(10):1597. https://doi.org/10.3390/f13101597
Chicago/Turabian StyleWang, Ping, Sanqing Tan, Gui Zhang, Shuang Wang, and Xin Wu. 2022. "Remote Sensing Estimation of Forest Aboveground Biomass Based on Lasso-SVR" Forests 13, no. 10: 1597. https://doi.org/10.3390/f13101597
APA StyleWang, P., Tan, S., Zhang, G., Wang, S., & Wu, X. (2022). Remote Sensing Estimation of Forest Aboveground Biomass Based on Lasso-SVR. Forests, 13(10), 1597. https://doi.org/10.3390/f13101597

