Abstract
Denitrification, as an important part of the soil nitrogen cycle, is widely considered to be a major source of nitrous oxide (N2O). Both biotic and abiotic denitrification processes contribute significantly to soil N2O emission, especially under acidic conditions. Increasing soil pH was found to suppress N2O emissions from denitrification, while the underlying mechanism remains uncertain. In this study, we incubated fresh forest soil anaerobically after increasing soil pH and adding nitrate (NO3−) under both sterilized and unsterilized conditions. The dynamic changes of NO3−, nitrite (NO2−), N2O and dinitrogen (N2) were monitored continuously during the 15 days of incubation. The results showed that nitrate reduction rates increased with soil pH in both sterilized and unsterilized soils, with the former having higher rates. The obvious production and consumption of nitrite were found at pH 7.1, rather than at pH 5.5, especially in sterilized soils. In both sterilized and unsterilized soils, accumulative emission of N2O and N2O-N/(N2O+N2)-N product ratios decreased significantly with increasing pH, while N2 showed the opposite trend. In sterilized soils, N2O was the dominant end gas product, accounting for 40.88% and 29.42% of the added nitrate at pH 5.5 and 7.1, respectively. In unsterilized soils, N2 was the only final gas product at pH 7.1 (59.34% of the added nitrate), whereas N2O dominated at pH 5.5 (26.67% of the added nitrate). Our results here showed that increasing soil pH promoted the conversion of N2O to N2 under both sterilized and unsterilized conditions, and highlighted the potential importance of abiotic denitrification on N2O emission.
1. Introduction
Nitrous oxide (N2O) is well known as the third important greenhouse gas [1,2,3] and the largest anthropogenic contributor to stratospheric ozone decomposition for the remainder of this century [4,5]. Its atmospheric concentration at present has increased by 20% compared to pre-industrial levels [1]. Soil has been identified as the main source of atmospheric N2O, contributing 50%–70% of the increase [6,7]. Biotic and abiotic denitrification, by which nitrate (NO3−) can be reduced to nitrite (NO2−), nitric oxide (NO), nitrous oxide and dinitrogen (N2), are thought to play a key role in soil N2O emissions [8,9,10,11,12,13]. Biotic denitrification is performed primarily by a wide variety of bacteria, archaea and fungi, and requires different enzymes (i.e., nitrate reductase (Nar/Nap), nitrite reductase (Nir), nitric oxide reductase (Nor) and nitrous oxide reductase (Nos) [10,14,15]. Abiotic denitrification is considered as a series of redox reactions between nitrogen and ferrous iron (FeII) or FeII-bearing compounds or zero-valent Fe [16,17,18,19,20,21]. So far, the relative contributions of biotic and abiotic denitrification to N2O emissions are still unclear and may vary due to differences in environmental conditions (e.g., temperature and precipitation) and soil properties (e.g., pH, organic carbon, total nitrogen, bulk density, texture) [16,18,19,22,23].
Soil pH, as the chief modifier for regional nitrous oxide emission, regulates both biotic and abiotic denitrification. In general, high soil pH increases both biotic and abiotic denitrification rates, but simultaneously decreases the contribution of N2O to total nitrogenous gas (i.e., N2O/(N2O+N2) product ratio) [23,24,25,26,27]. However, the mechanisms of pH affecting biotic and abiotic denitrification are quite different. So far, the possible mechanisms for the effects of pH on biotic denitrification rate and N2O emissions have been attributed to its effect on the structure of the denitrifying community and the activity of four denitrification reductases, especially Nos [28,29]. In acidic soils, the higher sensitivity of Nos to that of the other reductases, or the lack of functional nosZ gene (encoding Nos) in some de-nitrifiers (e.g., fungi), blocks N2O reduction to N2, and, thus, N2O is released as the end product [24,30]. The effects of pH on abiotic denitrification may mainly depend on the role of the protons (H+), which were involved as a final product of abiotic denitrification [22,31,32]. Higher pHs are more conducive to nitrate reduction to N2 and NH4+, while lower pHs are more conducive to reduction to NO and N2O [22,23,32,33]. The responses of biotic and abiotic denitrification to pH imply that both processes play important roles in N2O emission from acidic soils.
From 1980 to 2019, China’s forest soils have been acidified significantly, with an average decrease of 0.56 pH units [34]. Since forest soils are also being simultaneously affected by high nitrogen deposition, their contribution to N2O emission may be non-negligible. Increasing soil pH can reduce N2O emission and N2O/(N2O+N2) product ratio, which has potential significance for alleviating the greenhouse effect. Here, we incubated sterilized and unsterilized acidic forest soils anaerobically after NO3− addition and soil pH increase. Dynamic changes of N2O and N2 were monitored at an interval of 8 h during the 15 days of incubation, and the concentrations of NO3− and NO2− were analyzed at 8, 16, 24, 36, 48, 72, 96, 144, 168, 264, and 360 h, respectively. The primary objectives of this work were to: (i) investigate the effects of pH increase on the reduction of NO3− and emissions of N2O and N2 from biotic and abiotic denitrification; (ii) elucidate the potential importance of abiotic denitrification to N2O emission; (iii) clarify the different responses of biotic and abiotic denitrification to soil pH.
2. Materials and Methods
2.1. Site Description and Soil Sample Collection
Soil used in this study was collected from a mixed broad-leaved/Korean pine forest in Changbai Mountain, located in Jilin Province of northeastern China (42°99′ N, 127°06′ E). This region has a subtropical continental monsoon climate with long, cold winters and warm, rainy summers. The annual mean temperature is 2.9–4.8 °C and annual mean precipitation is 700–800 mm. The atmospheric wet N deposition in this region was about 10–15 kg N ha−1 yr−1 [35]. The dominant tree species is the Korean pine (Pinus koraiensis), mixed with other species such as Amur linden (Tilia amurensis), Mongolian oak (Quercus mongolica), and mono maple (Acer mono). The soil is an upland, mountain dark brown forest soil classified as cambisols, according to the World Reference Base for Soil Resources (WRB), and developed from volcanic ashes (mainly basalt). It is rich in organic matter and iron providing an optimal environment for denitrification. Soil samples were collected from the upper 15 cm soil layer after removing the litter fall. Fresh soil was sieved through 2.0 mm meshes to remove stones and visible roots, and then stored at 4 °C until used. The initial soil samples had a pH (H2O) of 5.5, 6.8% of soil organic carbon, and 0.6% of total N. The original contents of soil moisture, NO3−-N, NO2−-N and total Fe are shown in Table 1.
Table 1.
Related properties of the original soil and soil samples after pre-incubation.
2.2. Soil Pretreatment
To remove the indigenous NOx−, fresh soil was washed with deionized water thoroughly 3–4 times. The washed soil was air dried to a moisture content close to the initial value, then sieved (2 mm) and homogenized again. The content of NO3−-N and NO2−-N in the soil were found to be less than 0.01 mg kg−1.
2.3. Experimental Set-Up
The washed fresh soil was divided into two sub-samples. One (6.0 kg) was restored by spraying with 180 mL Na2CO3 solution with concentration of 0.64 mmol mL−1 to adjust soil pH to 7.1. The other (6.0 kg) was maintained at the initial pH of 5.5 by spraying with an equal volume of deionized water. After thoroughly mixing, two sub-samples were stored at 4 °C for 30 days until soil pH was stable [36].
Nine replicates of 30 g fresh weight of each sub-sample were wrapped in aluminum foil and then sterilized by 60Co-γ irradiation. Sterilized soil samples were transferred to 120 mL serum flasks in an aseptic preparation chamber, and then capped immediately with a bromobutyl stopper and screw cap (Macherey-Nagel, Düren, Germany). At the same time, 30 g of fresh soil (nine replicates of each sub-sample) were transferred directly to 120 mL serum flasks and sealed. The sealed flasks with both sterilized and unsterilized soils were vacuumed and replenished with ultrapure helium (He, 99.999%), and this procedure was repeated three times to create an anaerobic condition. Then, the flasks were pre-incubated anaerobically in an artificial climate box at 20 °C for 5 days to deplete NOx− produced during 60Co-γ sterilization. After pre-incubation, three flasks of each pH gradient were opened to analyze NOx−. The content of NOx−-N was found to be less than 0.01 mg kg−1 (Table 1). Three replicates of the six remaining flasks were sprayed with 3 mL sterile deionized water using a disposable sterile syringe and the other three were sprayed with 3 mL potassium nitrate (KNO3) solution with a concentration of 450 mg N L−1. Two NO3−-N gradients were 0 and 64 mg kg−1, recorded as N0 and N64, respectively. All flasks were flushed again using ultrapure He through 3 vacuuming-replenishing cycles. The pressure in the headspace was then equilibrated with atmosphere using a syringe filled with sterilized water. Finally, all sample flasks were incubated for 15 days at 20 °C, using a robotized online incubation-monitoring system similar to that described by Molstad et al. (2007) [37]. N2O and N2 in the headspace were monitored at an interval of 8 h during the whole incubation.
To elucidate the dynamic changes of NO3− and NO2− after nitrate addition, the above soil samples in N64 treatments were incubated in the artificial climate box at 20 °C for 15 days a total of eleven times. The concentrations of NO3− and NO2− in the flasks were analyzed at 8, 16, 24, 36, 48, 72, 96, 144, 168, 264, 360 h, respectively.
2.4. Sterilization
For sterilized incubation, soil samples were sterilized by 60Co-γ irradiation with a dose of 25 kGy for 72 h, which has been widely used as an effective method to sterilize soil samples [38,39,40]. Sterilization of media and other solutions was achieved by autoclaving for 30 min at 121 °C.
2.5. Nitrogenous Gas and Aqueous Phase Analysis
The analysis methods of nitrogenous gas in the head space and soil physiochemical characteristics were described in detail in our earlier work [22]. Briefly, N2O and N2 in the headspace were analyzed simultaneously by the robotized incubation system. It consists of a temperature adjustable thermostatic water bath, a headspace gas auto-sampler, and a gas chromatograph (model 7890A, Agilent Technologies, Santa Clara, CA, USA). Soil physiochemical characteristics were determined using frequently used methods. For example, soil pH was determined potentiometrically in deionized water (1:2.5 w:v) using a combination pH electrode (PHS-3E, Shanghai Precision & Scientific Instrument Co., Ltd., Shanghai, China). Soil moisture content was measured from weight loss after drying at 105 °C for 8 h. Soil organic carbon (SOC) and total nitrogen (TN) were monitored using an elemental analyzer (vario MACRO cube, Elementar, Langenselbold, Germany). NOx− were extracted from soil samples using 1.0 mol L−1 KCl (1:2.5 w:v) and determined using the sulphanilamide method. Total iron was extracted from soil samples using 0.5 mol L−1 HCl (1:5 w:v) and analyzed using the ferrozine method. In this paper, all reported results are based on dry soil weight.
2.6. Statistical Analyses
The results were analyzed using Student’s t-test by SPSS software (version 24.0). Statistical significance was denoted at p < 0.01 unless otherwise noted. All figures were made using Origin 8.5.
3. Results
3.1. Dynamic Changes in Nitrate Concentration
Since NOx−-N concentrations in soil samples without nitrate addition (N0 treatments) were negligible (Table 1), only the results from nitrate addition treatments (N64) are presented in this paper. As shown in Figure 1a, clear nitrate decreases were found in both sterilized and unsterilized soils. In sterilized soils, nitrate concentrations decreased almost linearly in the first 72 h at pH 5.5 and 7.1, with the latter having a greater rate. Subsequently, the rate of nitrate decrease slowed down gradually until nitrate concentrations were negligible. Nitrate was almost depleted (less than 1.00 mg N kg−1) at 144 h and 96 h at pH 5.5 and 7.1, respectively. This suggested that increasing soil pH accelerated abiotic nitrate reduction. Similar results were found in unsterilized soils, but with slightly lower rates. In unsterilized soils, nitrate was reduced thoroughly (less than 1.00 mg N kg−1) at 264 h and 144 h at pH 5.5 and 7.1, respectively. The comparable nitrate reduction in sterilized and unsterilized soils demonstrated that nitrate reduction in acidic and neutral forest soils can be achieved by both abiotic and biotic processes.
Figure 1.
Dynamic changes in nitrate (a) and nitrite (b) concentration in N64 treatments during the incubation of sterilized and unsterilized soils. Error bars represent standard deviation (n = 3).
3.2. Dynamic Changes in Nitrite Concentration
As shown in Figure 1b, nitrite was observed as a transient intermediate during anaerobic incubation after nitrate addition in both sterilized and unsterilized soils. In sterilized soils, the accumulation and consumption of nitrites varied significantly with soil pH. At pH 7.1, nitrite concentration increased sharply during the first 36 h, decreased rapidly afterward, and had virtually disappeared (0.07 mg N kg−1) at 96h. The maximum cumulative of nitrite was 5.34 mg N kg−1. At pH 5.5, nitrite concentration reached a peak of 0.54 mg N kg−1 at 16 h, and then decreased slowly to 0.06 mg N kg−1 at 144 h. The fast formation and consumption of nitrite at pH 7.1 was primarily due to the rapid reduction of nitrate (Figure 1a), reflecting that elevating pH promoted the abiotic reduction of nitrate to nitrite and the further reduction of nitrite. Despite the low nitrite concentrates (less than 0.15 mg N kg−1) in unsterilized soils, clear accumulation and consumption of nitrite was still found at pH 7.1, similar to that in sterilized soils.
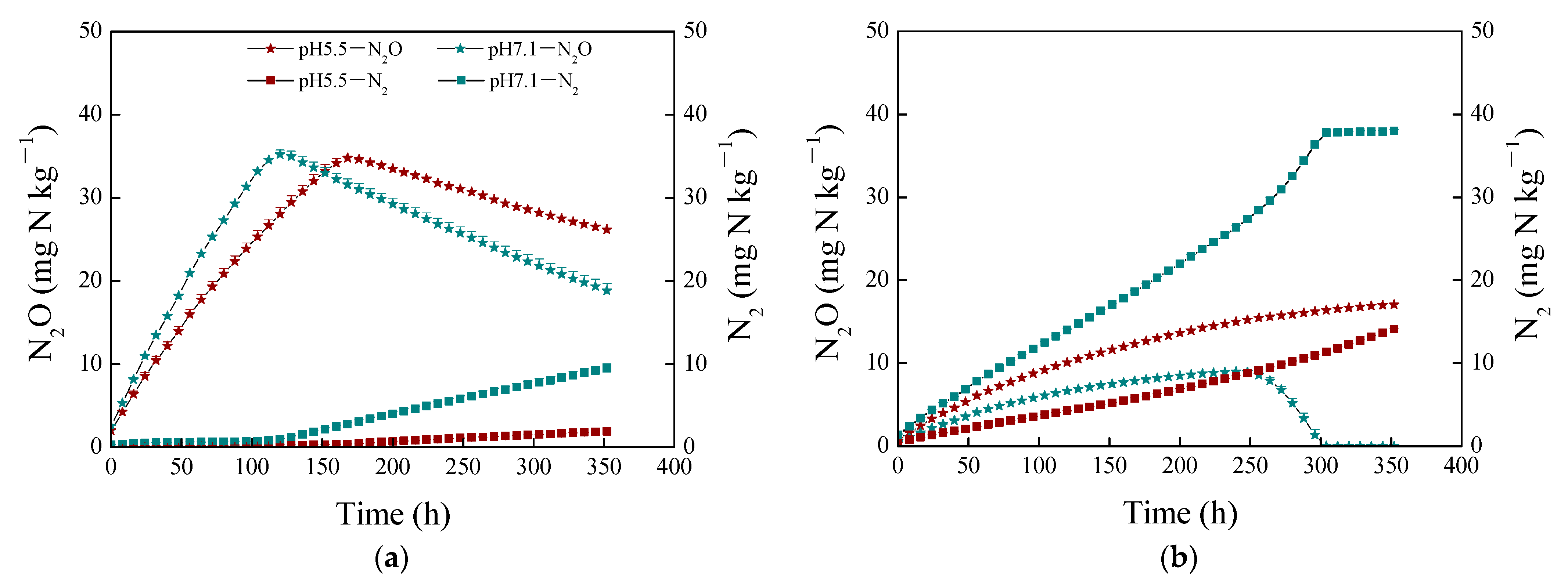
3.3. Dynamic Changes in N2O and N2
Due to the negligible nitrate content, the maximum accumulations of N2O and N2 were less than 0.01 and 0.25 mg N kg−1 in sterilized and unsterilized soils in N0 treatments, respectively. As shown in Figure 2, there were obvious accumulations of N2O and N2 in N64 treatments. In sterilized soils (Figure 2a), it was visible that there were inflection points in both N2O and N2 at pH 5.5 and 7.1. The corresponding inflection points occurred earlier at high soil pHs. At pH 7.1, N2O increased almost linearly in the first 120 h to a maximum of 35.19 mg N kg−1, and then decreased linearly to 18.83 mg N kg−1 at the end of incubation. The final concentration of N2O represented 29.42% of the added nitrate. N2 increased slowly to 0.98 mg N kg−1 at 120 h, and then increased sharply to 9.49 mg N kg−1 at the end of incubation. The accumulative emission of N2 accounted for 14.83% of the added nitrate. At the end of incubation, N2O was the dominant gas product instead of N2. The dynamic changes in N2O and N2 at pH 5.5 followed the same pattern as that at pH 7.1, but at a slightly slower rate. The maximum and final concentrations of N2O were 34.77 mg N kg−1 at 168 h and 26.16 mg N kg−1 at the end of incubation, respectively. The final concentrations of N2 were 1.91 mg N kg−1, representing 2.98% of the added nitrate. Comparison of the results at pH 7.1 and 5.5 indicated that increasing soil pH accelerated the production of N2O and N2, and the conversion of N2O to N2.
Figure 2.
Dynamic changes in N2O and N2 in N64 treatments during the incubation of sterilized (a) and unsterilized (b) soils. Error bars represent standard deviation (n = 3).
In unsterilized soils (Figure 2b), the inflection point was only found at pH 7.1. Within the first 240 h, N2O at pH 7.1 increased gradually at a decreasing rate to a maximum of 9.00 mg N kg−1, and then decreased rapidly to less than 0.01 mg N kg−1 at 312 h. Concomitantly, N2 increased continuously to 37.82 mg N kg−1 at 312 h at an increasing rate, and then remained almost constant until the end of incubation. The accumulative emission of N2 represented 59.34% of the added nitrate. At the end of incubation, N2 was the only gaseous product. At pH 5.5, N2O increased at a decreasing rate and N2 increased at an increasing rate throughout the incubation. At the end of soil incubation, the total N2O emission was 17.07 mg N kg−1, accounting for 26.67% of the added nitrate. The accumulative emission of N2 was 14.12 mg N kg−1, representing 22.06% of the added nitrate. This suggested that N2O was the main gas product at pH 5.5. Clear decrease of N2O and simultaneous rapid increase of N2 at pH 7.1, rather than at pH 5.5, suggested that increasing soil pH promoted the conversion of N2O to N2. Moreover, at the same pHs, the inflection points were achieved earlier in sterilized soils (Figure 2a) than those in unsterilized soils (Figure 2b). The final N2O emissions in sterilized soils were significantly higher than those in unsterilized soils, while N2 accumulations had an opposite trend.
3.4. Dynamic Changes in (N2O+N2) and N2O-N/(N2O+N2)-N Product Ratio
As shown in Figure 3a, the total gas emissions (i.e., N2O+N2) varied significantly with incubation conditions. In sterilized soils, the emission rates of total gas increased significantly with pH before the inflection points. Subsequently, the total gas decreased slightly at almost similar rates at pH 5.5 and 7.1. At the end of incubation, the accumulative total gas emissions were unaffected by soil pH. Total gas emissions accounted for 43.86% and 44.25% of the added nitrate at pH 5.5 and 7.1, respectively. In unsterilized soils, the total gas production rates increased with pH throughout the incubation. Gas emissions at the end of incubation were 31.19 and 37.99 mg N kg−1, accounting for 48.73% and 59.36% of the added nitrate at pH 5.5 and 7.1, respectively. At the same pH conditions, in the early stage of incubation, total gas emission rates were found to be significantly higher in sterilized soils than in unsterilized soils. However, at the later stage, the total gas emissions increased continuously in unsterilized soils and decreased slightly in sterilized soils. This led to slightly higher total gas emissions in unsterilized soils than those in sterilized soils at the end of incubation.
Figure 3.
Dynamic changes in N2O+N2 (a) and N2O/(N2O+N2) ratio (b) in N64 treatments during the incubation of sterilized and unsterilized soils. Error bars represent standard deviation (n = 3).
As shown in Figure 3b, N2O/(N2O+N2) product ratios increased during the first 48 h and then decreased slowly during the incubation in both sterilized and unsterilized soils, which further indicated the reduction of N2O to N2. It was found that N2O/(N2O+N2) product ratios in sterilized soils were significantly (p < 0.01) higher than those in unsterilized soils. In sterilized and unsterilized soils, N2O/(N2O+N2) product ratios ranged from 0.66 to 0.99 and 0.00 to 0.72, respectively. In sterilized soils, N2O/(N2O+N2) product ratios were lower at higher pH, especially at the end of incubation, which was mainly due to the decrease in absolute N2O emissions (Figure 2a). A similar result was observed in unsterilized soils, but it was probably due to both the decrease in absolute N2O emissions (Figure 2b) and increase in total gas emissions (Figure 3a).
4. Discussion
4.1. The Potential Importance of Abiotic Denitrification to N2O Emission
Our study suggested that there was a substantial N2O emission through abiotic nitrate reduction in forest soils. The accumulative emissions of N2O through abiotic nitrate reduction ranged from 29.42% to 40.88% of the added nitrate, which were significantly higher than those under unsterilized conditions (up to 26.67% of the added nitrate). However, most previous research conceived that N2O released from upland soils after nitrate addition was predominantly by microbial denitrification [41,42]. Parkin et al. (1985) found no N2O emissions from sterilized (achieved by autoclaving) neutral soil after nitrate addition [41]. Cayuela et al. (2013) suggested that sterilization (achieved by autoclaving) of agricultural soils completely eliminated N2O production from nitrate [42]. Several studies also demonstrated the emission of N2O from sterilized soils after NO2− addition, but the release was not sufficient to compare with the biological process [41,43,44]. Nägele and Conrad (1990) found that abiotic emission of N2O from an acidic forest soil accounted for only 6% of the nitrite loss [43]. Venterea (2007) estimated that 31%–75% of total N2O production came from abiotic NO2− reduction in an agricultural soil [44]. The common explanation for the different contributions of abiotic nitrate and nitrite reduction to N2O emissions is that the process of nitrate reduction to nitrite is mainly mediated by microorganisms. This may be plausible, since previous works undertaken in aqueous and slurry systems suggested that the abiotic nitrate reduction to nitrite was the rate-limiting step of abiotic denitrification [32,45,46,47]. However, our study suggested that nitrate was rapidly reduced by abiotic process and nitrite was found as a transient intermediate. Our results illustrated that abiotic nitrate reduction is an alternative and potentially important pathway for nitrate loss and N2O emission from acidic and neutral forest soil after sterilization. However, the results from sterilized soils could not clarify the absolute contribution of abiotic denitrification to N2O emission under unsterilized conditions, since the total N2O emission was the result of a combination of abiotic and biotic processes.
4.2. The Effect of pH on Denitrification Rate
Our results showed that the rates of denitrification (i.e., the rates of nitrate loss) at pH 7.1 were significantly higher than those at pH 5.5, in both sterilized and unsterilized soils. The direct effect of pH on nitrate reduction in unsterilized soils was commonly due to its effect on the bacterial community composition and the activity of nitrate reductase (Nar/Nap) [48,49]. Early studies have suggested that pH was an important driver of de-nitrifier community composition and the optimum pH for cultures of de-nitrifiers was in the neutral area [48,50]. In addition, the activity of nitrate reductase was also closely related to pH. Richardson et al. (2009) suggested that nitrate reductase was generally more active at pH < 7 [49]. Townsend (1970) showed that less nitrate reductase activity was found at pH 4.0 than that at pH 6.0 [51]. Generally, the optimum pH for bacteria strains and nitrate reductase activity seems to be neutral, which strongly supports our results. Furthermore, the influence of pH on the availability of organic carbon to de-nitrifiers might also indirectly affect N2O emissions from denitrification [52,53]. The direct effect of pH on abiotic nitrate reduction was usually attributed to the role of H+. Previous studies have suggested that higher pH was more conducive to the reduction of NO3− by FeII since H+ was involved as the final product [22,32,54]. In addition, the indirect influence of pH on abiotic denitrification rate might be attributed to its effect on the availability of organic carbon and electron donors (especially FeII). Iron involved in abiotic denitrification is usually associated with minerals and soil organic matter and is predominantly in the form of FeII and FeIII [55]. The FeII-FeIII system could be used as both a reducing agent and oxidizing agent, which depended mainly on the reaction system of pE-pH conditions [56]. Compared with our previous study in agricultural soils [22], we found that at the same pH (7.1) nitrate reduction rates under sterilized and unsterilized conditions were significantly higher in this study. This was mainly due to the significantly higher contents of SOC and iron in this study.
4.3. The Effect of pH on N2O Emission and Gaseous Product Stoichiometry
Our results showed that the cumulative emissions of N2O and N2O/(N2O+N2) product ratios substantially decreased with increasing soil pH under unsterilized conditions, which were in accordance with general results in previous studies [24,26,52,57]. Thus, increasing soil pH by lime, biochar and dolomite application has been studied as a means to mitigate soil N2O emissions [24,26,39,42,58,59]. Studies from long-term liming experiments showed decreases in N2O emission and N2O/(N2O+N2) product ratio with increase in soil pH [24]. Under laboratory conditions, similar conclusions were obtained during microbial denitrification from short-term liming experiments [26]. Recently, Obia et al. (2015) suggested that increase of soil pH by biochar can also suppress N2O emissions while increasing N2 emissions [58]. The underlying biological mechanism for the above conclusions is that high soil pH enhances the activity of N2O reductase, thus facilitating the reduction N2O to N2 [24,28]. Liu et al. (2010) implied that the detrimental effect of low pH on N2O reductase occurred at a post-transcriptional level, either by interfering with translation, protein assembly, or by directly affecting the activity of the functional enzymes [24]. Bergaust et al. (2010) demonstrated that the translation or protein assembly of N2O reductase was positively affected by high pH [28]. However, we were unable to find published data that analyzed the effects of pH increase on N2O and N2 emissions during abiotic denitrification incubation in acidic forest soil. Our results under sterilized conditions demonstrated a negative control of pH on both the cumulative emissions of N2O and N2O/(N2O+N2) product ratio as well as under unsterilized conditions, but the mechanisms may differ. Low N2O cumulative emissions and low N2O/(N2O+N2) product ratio at high pH under sterilized conditions was probably due to the rapid reduction of N2O by FeII at high pH. Moraghan and Buresh (1977) showed that N2O was stable in the FeII medium in the presence of Cu2+ at pH 6, while it was rapidly reduced to N2 at pH 8 [60].
4.4. Differences in the Responses of Abiotic and Biotic Denitrification to Soil pH
Under both sterilized and unsterilized conditions, our results suggest that high pH favored nitrate reduction, nitrite transient accumulation, N2 emission and conversion of N2O to N2. However, the responses of total gas emissions (i.e., N2O+N2) under sterilized and unsterilized conditions to soil pH were different. Under unsterilized conditions, total gas emissions increased with soil pH. It was obvious that oxidized N compounds, principally NO3−, NO2− and N2O, were completely reduced to N2 at pH 7.1, while N2O dominated at pH 5.5. However, total gas emissions at the end of incubation in sterilized soils were substantially unaffected by soil pH. This might be attributed to the fact that abiotic nitrate reductions were incomplete at both pH 5.5 and 7.1. In addition, total gas emissions showed a decreasing trend in sterilized soils at both pH 5.5 and 7.1. This suggested that there might still be other nitrogen products, such as NO, NH2OH and NH4+, that were not measured. Previous studies reported that NO3− was reduced stoichiometrically to NH4+ by green rusts under neutral and alkaline conditions and by wüstite under slightly acidic conditions [31,33,61]. Van Hecke et al. (1990) found NH2OH was produced as an intermediate during the reduction of NO3− to NH4+ in the presence of FeII and CuII in the pH range 7.5 to 8.1 [62]. Homyak et al. (2017) suggested that acidity promoted abiotic NO production in drying soils with pH ranging from 4.4 to 6.2 [63].
Author Contributions
Conceptualization, Y.W. and J.G.; methodology, Y.W., W.C. and M.Z.; software, Y.W. and M.Z.; validation, W.C. and J.G.; formal analysis, W.C. and M.Z.; data curation, Y.W.; writing—original draft preparation, Y.W.; writing—review & editing, Y.W., W.C. and J.G.; visualization, Y.W. and W.C.; supervision, Y.W.; project administration, Y.W.; funding acquisition, Y.W. All authors have read and agreed to the published version of the manuscript.
Funding
This research was funded by National Natural Science Foundation of China (42107345), Natural Science Foundation of Hebei (D2020204006) and Startup Fund of Hebei Agricultural University (YJ201845). The APC was funded by (42107345).
Institutional Review Board Statement
Not applicable.
Informed Consent Statement
Not applicable.
Data Availability Statement
Not applicable.
Acknowledgments
We are very grateful to Lars Molstad (UMB Nitrogen group, Norwegian University of Life Science) for the help in designing and programming of our robotized incubation system.
Conflicts of Interest
The authors declare no conflict of interest.
References
- Alexander, L.; Allen, S.; Bindoff, N.L.; Breon, F.-M. Climate Change 2013: The Physical Science Basis. In Contribution of Working Group I to the Fifth Assessment Report of the Intergovernmental Panel on Climate Change; Stocker, T.F., Qin, D., Plattner, G.K., Tignor, M., Allen, S.K., Boschung, J., Nauels, A., Xia, Y., Bex, V., Midgley, P.M., Eds.; Cambridge University Press: Cambridge, UK; New York, NY, USA, 2013; pp. 659–740. [Google Scholar]
- Reay, D.S.; Davidson, E.A.; Smith, K.A.; Smith, P.; Melillo, J.M.; Dentener, F.; Crutzen, P.J. Global agriculture and nitrous oxide emissions. Nat. Clim. Chang. 2012, 2, 410–416. [Google Scholar] [CrossRef]
- Schlesinger, W.H. On the fate of anthropogenic nitrogen. Proc. Natl. Acad. Sci. USA 2009, 106, 203–208. [Google Scholar] [CrossRef] [PubMed]
- Kanter, D.; Mauzerall, D.L.; Ravishankarac, A.R.; Danile, J.S.; Portmann, R.W.; Grabiel, P.M.; Moomaw, W.R.; Galloway, J.N. A post-Kyoto partner: Considering the stratospheric ozone regime as a tool to manage nitrous oxide. Proc. Natl. Acad. Sci. USA 2013, 110, 4451–4457. [Google Scholar] [CrossRef] [PubMed]
- Ravishankara, A.R.; Daniel, J.S.; Portmann, R.W. Nitrous oxide (N2O): The dominant ozone-depleting substance emitted in the 21st century. Science 2009, 326, 123–125. [Google Scholar] [CrossRef]
- Seitzinger, S.P.; Kroeze, C.; Styles, R.V. Global distribution of N2O emissions from aquatic systems: Natural emissions and anthropogenic effects. Chemosphere Glob. Chang. Sci. 2000, 2, 267–279. [Google Scholar] [CrossRef]
- Conrad, R. Soil microbial processes and the cycling of atmospheric trace gases. Philos. Trans. R. Soc. Lond. 1995, 351, 219–230. [Google Scholar]
- Wang, M.L.; Hu, R.G.; Ruser, R.; Schmidt, C.; Kappler, A. Role of chemodenitrification for N2O emissions from nitrate reduction in rice paddy soils. ACS Earth Space Chem. 2020, 4, 122–132. [Google Scholar] [CrossRef]
- Heil, J.; Vereecken, H.; Brüggemann, N. A review of chemical reactions of nitrification intermediates and their role in nitrogen cycling and nitrogen trace gas formation in soil. Eur. J. Soil Sci. 2016, 67, 23–39. [Google Scholar] [CrossRef]
- Matocha, C.J.; Dhakal, P.; Pyzola, S.M. The role of abiotic and coupled biotic/abiotic mineral controlled redox processes in nitrate reduction. Adv. Agron. 2012, 115, 181–214. [Google Scholar]
- Braker, G.; Conrad, R. Diversity, structure, and size of N2O-producing microbial communities in soils-what matters for their functing? Adv. Appl. Microbiol. 2011, 75, 33–57. [Google Scholar]
- Mosier, A.R. Soil processes and global change. Biol. Fertil. Soils 1998, 27, 221–229. [Google Scholar] [CrossRef]
- Regaert, D.; Aubinet, M.; Moureaux, C. Mitigating N2O emissions from agriculture: A review of the current knowledge on soil system modeling, environmental factors and management practices influencing emissions. J. Soil Sci. Environ. Manag. 2015, 6, 178–186. [Google Scholar]
- Zumft, W. Cell biology and molecular basis of denitrification. Microbiol. Mol. Biol. Rev. 1997, 61, 533–616. [Google Scholar] [PubMed]
- Shoun, H.; Fushinobu, S.; Jiang, L.; Kim, S.W.; Wakagi, T. Fungal denitrification and nitric oxide reductase cytochrome P450nor. Philos. Trans. R. Soc. B 2012, 367, 1186–1194. [Google Scholar] [CrossRef]
- Kim, I.; Cha, D.K. Effect of low temperature on abiotic and biotic nitrate reduction by zero-valent iron. Sci. Total Environ. 2021, 754, 142410. [Google Scholar] [CrossRef]
- Robinson, T.C.; Latta, D.E.; Notini, L.; Schilling, K.E.; Scherer, M.M. Abiotic reduction of nitrite by Fe(II): A comparison of rates and N2O production. Environ. Sci. Process. Impacts 2021, 23, 1531. [Google Scholar] [CrossRef]
- Chen, G.J.; Zhao, W.Q.; Yang, Y.; Chen, D.D.; Wang, Y.; Li, F.B.; Zhao, Z.Y.; Cao, F.; Liu, T.X. Chemodenitrification by Fe(II) and nitrite: Effects of temperature and dual N-O isotope fractionation. Chem. Geol. 2021, 575, 120258. [Google Scholar] [CrossRef]
- Chen, D.D.; Yuan, X.; Zhao, W.Q.; Luo, X.B.; Li, F.B.; Liu, T.X. Chemodenitrification by Fe(II) and nitrite: pH effect, mineralization and kinetic modeling. Chem. Geol. 2020, 541, 119586. [Google Scholar] [CrossRef]
- Dhakal, P.; Coyne, M.S.; McNear, D.H.; Wendroth, O.O.; Vandiviere, M.M.; D’Angelo, E.M.; Matocha, C.J. Reactions of nitrite with goethite and surface Fe(II)-goethite complexes. Sci. Total Environ. 2021, 782, 146406. [Google Scholar] [CrossRef]
- Picardal, F. Abiotic and microbial interactions during anaerobic transformations of Fe(II) and NOx−. Front. Microbiol. 2012, 3, 112. [Google Scholar] [CrossRef]
- Wang, Y.J.; Cao, W.C.; Zhang, X.M.; Guo, J.H. Abiotic nitrate loss and nitrogenous trace gas emission from Chinese acidic forest soils. Environ. Sci. Pollut. Res. 2017, 24, 22679–22687. [Google Scholar] [CrossRef] [PubMed]
- Wang, Y.J.; Cao, W.C.; Zhang, X.M.; Guo, J.H. Rate of denitrification and stoichiometry of its products in fluvo-aquic Cambisols for sterilized and unsterilized incubations. Eur. J. Soil Sci. 2019, 70, 530–539. [Google Scholar] [CrossRef]
- Liu, B.B.; Mørkved, P.T.; Frostegård, Å.; Bakken, L.R. Denitrification gene pools, transcription and kinetics of NO, N2O and N2 production as affected by soil pH. FEMS Microbiol. Ecol. 2010, 72, 407–417. [Google Scholar] [CrossRef] [PubMed]
- Raut, N.; Dörsch, P.; Sitaula, B.K.; Bakken, L.R. Soil acidification by intensified crop production in South Asia results in higher N2O/(N2+N2O) product rations of denitrification. Soil Biol. Biochem. 2012, 55, 104–112. [Google Scholar] [CrossRef]
- Qu, Z.; Wang, J.G.; Almøy, T.; Bakken, L.R. Excessive use of nitrogen in Chinese agricultural results in high N2O/(N2O+N2) product ratio of denitrification, primarily due to acidification of the soils. Glob. Chang. Biol. 2014, 20, 1685–1698. [Google Scholar] [CrossRef] [PubMed]
- Van Cleemput, O. Subsoils: Chemo- and biological denitrification, N2O and N2 emissions. Nutr. Cycl. Agroecosyst. 1998, 52, 187–194. [Google Scholar] [CrossRef]
- Bergaust, L.; Mao, Y.J.; Bakken, L.R.; Frostegård, Å. Denitrification response patterns during the transition to anoxic respiration and posttranscriptional effects of suboptimal pH on nitrogen oxide reductase in Paracoccus denitrificans. Appl. Environ. Microbiol. 2010, 76, 6387–6396. [Google Scholar] [CrossRef]
- Čuhel, J.; Šimek, M. Proximal and distal control by pH of denitrification rate in a pasture soil. Agric. Ecosyst. Environ. 2011, 141, 230–233. [Google Scholar] [CrossRef]
- Philippot, L.; Andert, J.; Jones, C.M.; Bru, A.; Hallin, S. Importance of denitrifiers lacking the genes encoding the nitrous oxide reductase for N2O emissions from soil. Glob. Chang. Biol. 2011, 17, 1497–1504. [Google Scholar] [CrossRef]
- Hansen, H.C.B.; Guldberg, S.; Erbs, M.; Koch, C.B. Kinetics of nitrate reduction by green rusts-effects of interlayer anion and Fe(II):Fe(II) ratio. Appl. Clay Sci. 2001, 18, 81–91. [Google Scholar] [CrossRef]
- Ottley, C.J.; Davison, W.; Edmunds, W.M. Chemical catalysis of nitrate reduction by iron(II). Geochim. Cosmochim. Acta 1997, 61, 1819–1828. [Google Scholar] [CrossRef]
- Choi, J.; Batchelor, B.; Won, C.; Chung, J. Nitrate reduction by green rusts modified with trace metals. Chemosphere 2012, 86, 860–865. [Google Scholar] [CrossRef] [PubMed]
- Zhang, Q.Y.; Zhu, J.X.; Wang, Q.F.; Xu, L.; Li, M.X.; Dai, G.H.; Mulder, J.; Xi, Y.; He, N.P. Soil acidification in China’s forests due to atmospheric acid deposition from 1980 to 2050. Sci. Bull. 2022, 67, 914–917. [Google Scholar] [CrossRef]
- Zhu, J.X.; He, N.P.; Wang, Q.F.; Yuan, G.F.; Wen, D.; Yu, G.R.; Jia, Y.L. The composition, spatial patterns, and influencing factors of atmospheric wet nitrogen deposition in Chinese terrestrial ecosystems. Sci. Total Environ. 2015, 511, 777–785. [Google Scholar] [CrossRef] [PubMed]
- Tarkalson, D.D.; Payero, J.O.; Hergert, G.W.; Cassman, K.G. Acidification of soil in a dry land winter wheat-sorghum/corn-fallow rotation in the semiarid U.S. Great Plains. Plant Soil 2006, 283, 367–379. [Google Scholar] [CrossRef]
- Molstad, L.; Dörsch, P.; Bakken, L.R. Robotized incubation system for monitoring gases (O2, NO, N2O, N2) in denitrifying cultures. J. Microbiol. Methods 2007, 71, 202–211. [Google Scholar] [CrossRef]
- Hartel, P.G.; Alexander, M. Decline of cowpea rhizobia in acid soils after gamma-irradiation. Soil Biol. Biochem. 1983, 15, 489–490. [Google Scholar] [CrossRef]
- Quin, P.; Joseph, S.; Husson, O.; Donne, S.; Mitchell, D.; Munroe, P.; Phelan, D.; Cowie, A.; Van Zwieten, L. Lowering N2O emissions from soils using eucalypt biochar: The importance of redox reactions. Sci. Rep. 2015, 5, 16773. [Google Scholar] [CrossRef]
- Wei, J.; Amelung, W.; Lehndorff, E.; Schloter, M.; Vereecken, H.; Brüggemann, N. N2O and NOx emissions by reactions of nitrite with soil organic matter of a Norway spruce forest. Biogeochemistry 2017, 132, 325–342. [Google Scholar] [CrossRef]
- Parkin, T.B.; Sexstone, A.J.; Tiedje, J.M. Adaptation of denitrifying populations to low soil pH. Appl. Environ. Microbiol. 1985, 49, 1053–1056. [Google Scholar] [CrossRef]
- Cayuela, M.L.; Sánchez-Monedero, M.A.; Roig, A.; Hanley, K.; Enders, A.; Lehmann, J. Biochar and denitrification in soils: When, how much and why does biochar reduce N2O emissions? Sci. Rep. 2013, 3, 1732. [Google Scholar] [CrossRef] [PubMed]
- Nägele, W.; Conrad, R. Influence of soil pH on the nitrate-reducing microbial populations and their potential to reduce nitrate to NO and N2O. FEMS Microbiol. Ecol. 1990, 74, 49–58. [Google Scholar] [CrossRef]
- Venterea, R.T. Nitrite-driven nitrous oxide production under aerobic soil conditions: Kinetics and biochemical controls. Glob. Chang. Biol. 2007, 13, 1798–1809. [Google Scholar] [CrossRef]
- Sørensen, J.; Thorling, L. Stimulation by lepidocrocite (γ-FeOOH) of Fe(II)-dependent nitrite reduction. Geochim. Cosmochim. Acta 1991, 55, 1289–1294. [Google Scholar] [CrossRef]
- Samarkin, V.A.; Madigan, M.T.; Bowles, M.W.; Casciotti, K.L.; Priscu, J.C.; Mckay, C.P.; Joye, S.B. Abiotic nitrous oxide emission from the hypersaline Don Juan Pond in Antarctica. Nat. Geosci. 2010, 3, 341–344. [Google Scholar] [CrossRef]
- Dhakal, P.; Matocha, C.J.; Huggins, F.E.; Vandiviere, M.M. Nitrite reactivity with magnetite. Environ. Sci. Technol. 2013, 47, 6206–6213. [Google Scholar] [CrossRef]
- Philippot, L.; Hallin, S.; Schloter, M. Ecology of denitrifying prokaryotes in agricultural soil. Adv. Agron. 2007, 96, 250–305. [Google Scholar]
- Richardson, D.; Felgate, H.; Watmough, N.; Thomson, A.; Baggs, E. Mitigating release of the potent greenhouse gas N2O from the nitrogen cycle—Could enzymic regulation hold the key? Trends Biotechnol. 2009, 27, 388–397. [Google Scholar] [CrossRef]
- Bollag, J.M.; Orcutt, M.L.; Bollag, B. Denitrification by isolated soil bacteria under various environmental conditions. Soil Sci. Soc. Am. J. 1970, 34, 875–879. [Google Scholar] [CrossRef]
- Townsend, L.R. Effect of form of N and pH on nitrate reductase activity in lowbush blueberry leaves and roots. Can. J. Plant Sci. 1970, 50, 603–605. [Google Scholar] [CrossRef]
- Šimek, M.; Cooper, J.E. The influence of soil pH on denitrification: Progress towards the understanding of this interaction over the last 50 years. Eur. J. Soil Sci. 2002, 53, 345–354. [Google Scholar] [CrossRef]
- Farquharson, R.; Baldock, J. Concepts in modeling N2O emissions from land use. Plant Soil 2008, 309, 147–167. [Google Scholar] [CrossRef]
- Etique, M.; Zegeye, A.; Grégoire, B.; Carteret, C.; Ruby, C. Nitrate reduction by mixed iron (II-III) hydroxycarbonate green rust in the presence of phosphate anions: The key parameters influencing the ammonium selectivity. Water Res. 2014, 62, 29–39. [Google Scholar] [CrossRef] [PubMed]
- Davidson, E.A.; Chorover, J.; Dail, D.B. A mechanism of abiotic immobilization of nitrate in forest ecosystems: The ferrous wheel hypothesis. Glob. Chang. Biol. 2003, 9, 228–236. [Google Scholar] [CrossRef]
- Wang, Y.J.; Liu, J.; Guo, J.H. Chemical transformation of soil nitrogen under the influence of iron: A review. J. China Agric. Univ. 2014, 19, 95–99. [Google Scholar]
- Čuhel, J.; Šimek, M.; Laughlin, R.J.; Bru, D.; Chèneby, D.; Watson, C.J.; Philippot, L. Insights into the effect of soil pH on N2O and N2 emissions and denitrifier community size and activity. Appl. Environ. Microbio. 2010, 76, 1870–1878. [Google Scholar] [CrossRef] [PubMed]
- Obia, A.; Cornelissen, G.; Mulder, J.; Dörsch, P. Effect of soil pH increased by biochar on NO, N2O and N2 production during denitrification in acid soils. PLoS ONE 2015, 10, e0138781. [Google Scholar] [CrossRef]
- Shaaban, M.; Peng, Q.A.; Hu, R.G.; Wu, Y.P.; Lin, S.; Zhao, J.S. Dolomite application to acidic soils: A promising option for mitigating N2O emissions. Environ. Sci. Pollut. Res. 2015, 22, 19961–19970. [Google Scholar] [CrossRef]
- Moraghan, J.T.; Buresh, R.J. Chemical reduction of nitrite and nitrous oxide by ferrous iron. Soil Sci. Soc. Am. J. 1977, 41, 47–50. [Google Scholar] [CrossRef]
- Rakshit, S.; Matocha, C.J.; Haszler, G.R. Nitrate reduction in the presence of wüstite. J. Environ. Qual. 2005, 34, 1286–1292. [Google Scholar] [CrossRef]
- Van Hecke, K.; Van Cleemput, O.; Baert, L. Chemo-denitrification of nitrate-polluted water. Environ. Pollut. 1990, 63, 261–274. [Google Scholar] [CrossRef]
- Homyak, P.M.; Kamiyama, M.; Sickman, J.O.; Schimel, J.P. Acidity and organic matter promote abiotic nitric oxide production in drying soils. Glob. Chang. Biol. 2017, 23, 1735–1747. [Google Scholar] [CrossRef] [PubMed]
Publisher’s Note: MDPI stays neutral with regard to jurisdictional claims in published maps and institutional affiliations. |
© 2022 by the authors. Licensee MDPI, Basel, Switzerland. This article is an open access article distributed under the terms and conditions of the Creative Commons Attribution (CC BY) license (https://creativecommons.org/licenses/by/4.0/).


