Interaction of Subculture Cycle, Hormone Ratio, and Carbon Source Regulates Embryonic Differentiation of Somatic Cells in Pinus koraiensis
Abstract
:1. Introduction
2. Materials and Methods
2.1. Plant Materials
2.2. SE Proliferation, Maturation and Capability Evaluation
2.3. Different Subculture Cycles
2.4. Different Hormone Ratios
2.5. Different Carbon Sources Set
2.6. Chemical Analysis of Long-Term Subcultured Embryogenic Calli
2.7. Data Analysis
3. Results
3.1. Effects of Different Culture Methods on the Number of Somatic Embryos
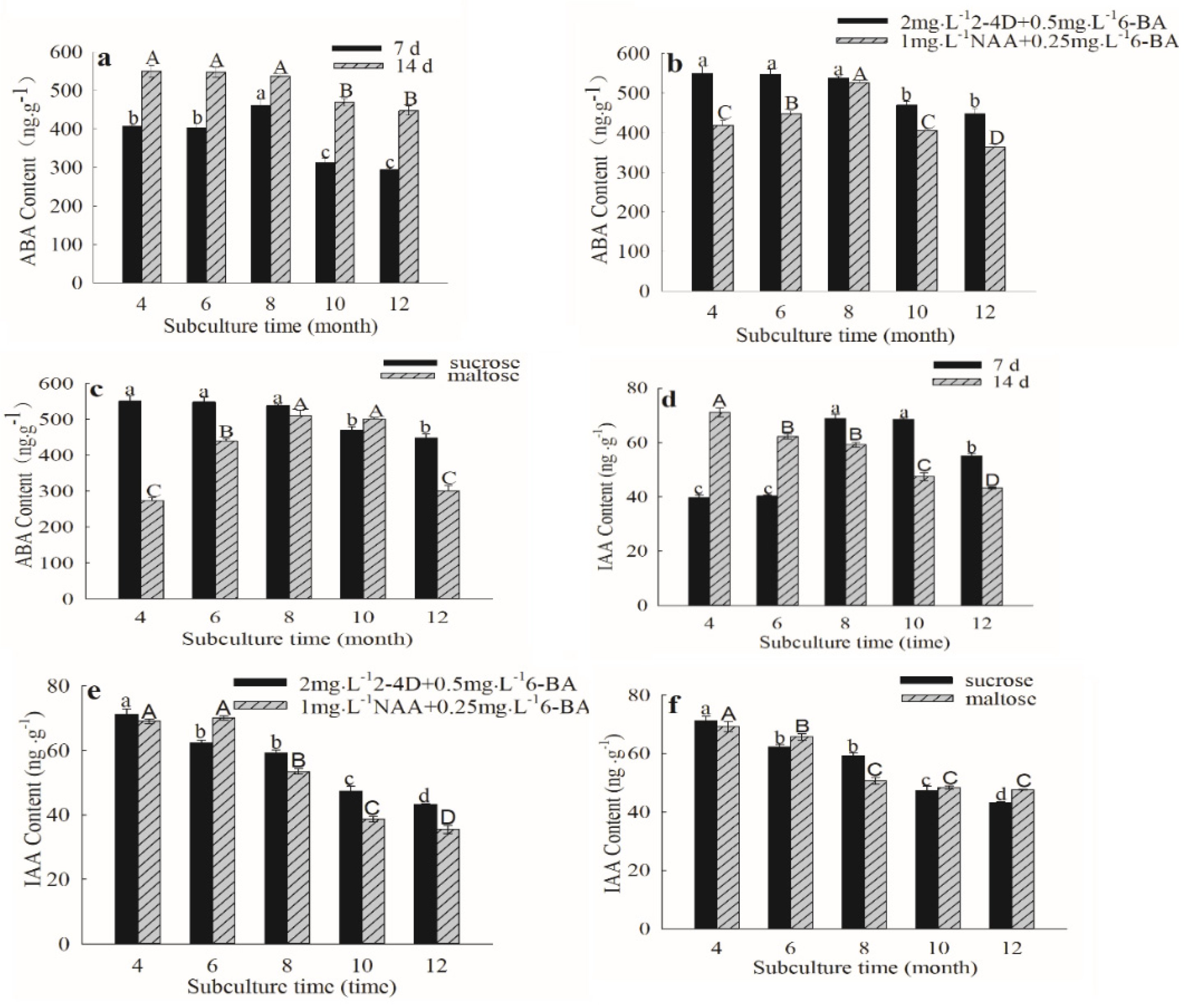
3.2. Effects of Different Culture Methods on Endogenous Hormones
3.2.1. ABA Content Change
3.2.2. IAA Content Change
3.2.3. Change in Stored Substance Content
Effect of Subculture Cycle on Stored Substance Content
Effect of hormone ratio on storage material content
Effect of carbon source on stored material content
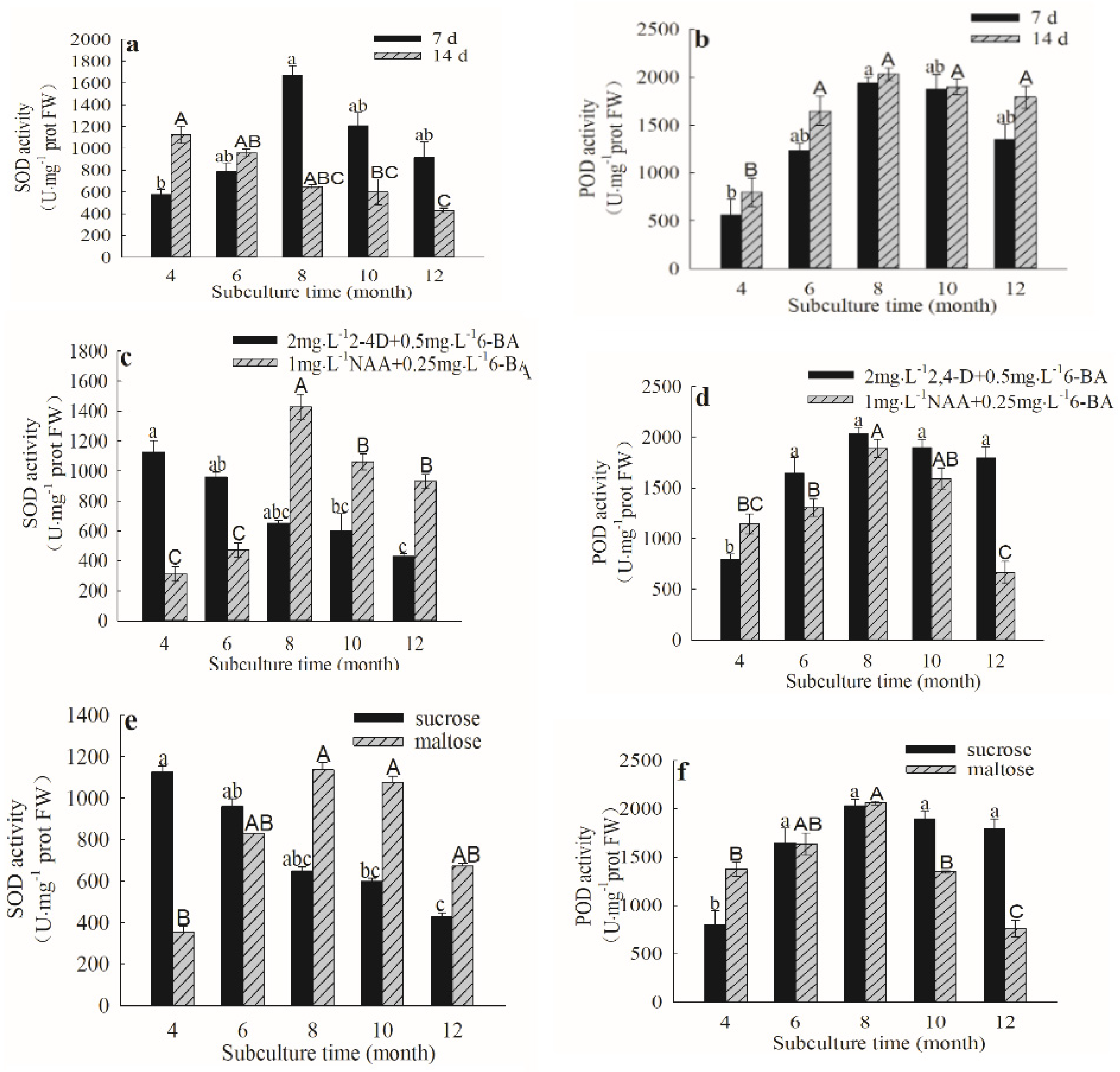
3.2.4. Antioxidants
Effect of Subculture Cycle on Antioxidants
Effect of Hormone Ratio on Antioxidant
Effect of Carbon Source on Antioxidants
4. Discussion
4.1. Shorter Subculture cycles Is More Favorable to Embryogenic Maintenance of Long-Term Subculture of Calli
4.2. Proper Hormone Ratio Affects Embryogenic Maintenance of Long-Term Subculture of Embryogenic Calli
4.3. Maltose as Carbon Source Is More Favorable to Embryogenic Maintenance of Long-Term Subculture of Embryogenic Calli
5. Conclusions
Supplementary Materials
Author Contributions
Funding
Data Availability Statement
Conflicts of Interest
References
- Chen, J.H.; Shi, J.W.; Zhu, G.Q.; Huang, M.R. Progress on the mechanism of somatic embryogenesis of plants and research trends. J. Nanjing For. Univ. 2003, 46, 75. [Google Scholar]
- Trontin, J.F.; Reymond, I.; Quoniou, S.; Canlet, F.; Debille, S.; Bruneau, G.; Harvengt, L.; Lelu-Walter, M.A. An overview of current achievements and shortcomings in developing maritime pine somatic embryogenesis and enabling technologies in France. In Proceedings of the 1st IUFRO 2 September 2002 Conference, Advances in Somatic Embryogenesis of Trees and Its Application for the Future Forests and Plantations, Suwon, Korea, 19–21 August 2010. [Google Scholar]
- Breton, D.; Harvengt, L.; Trontin, J.F. High subculture frequency, maltose-based and hormone-free medium sustained early development of somatic embryos in maritime pine. Vitr. Cell. Dev. Biol. Plant 2005, 41, 494–504. [Google Scholar] [CrossRef]
- Gao, F.; Peng, C.; Wang, H.; Tretyakova, L.N.; Nosov, A.M.; Shen, H.L.; Yang, L. Key Techniques for Somatic Embryogenesis and Plant Regeneration of Pinus koraiensis. Forests 2020, 11, 912. [Google Scholar] [CrossRef]
- Jain, S.M.; Newton, R.J.; Soltes, E.J. Enhancement of somatic embryogenesis in Norway spruce (Picea abies L.). Tag. Theor. Appl. Genetics. Theor. Und Angew. Genet. 1988, 76, 501–506. [Google Scholar] [CrossRef] [PubMed]
- Passamani, L.Z.; Reis, R.S.; Vale, E.M.; Sousa, K.R.; Aragão, V.P.M.; Santa-Catarina, C.; Silveira, V. Long-term culture with 2,4-dichlorophenoxyacetic acid affects embryogenic competence in sugarcane callus via changes in starch, polyamine and protein profiles. Plant Cell Tissue Organ. Cult. 2019, 140, 415–429. [Google Scholar] [CrossRef]
- Song, Y.; Zhen, C.; Zhang, H.G.; Li, S.J. Embryogenic callus induction and somatic embryogenesis from immature zygotic embryos of Larix olgensis. Sci. Silvae Sin. 2016, 52, 45–54. [Google Scholar]
- Raghavan, V. Role of 2, 4-dichlorophenoxyacetic acid (2,4-D) in somatic embryogenesis on cultured zygotic embryos of Arabidopsis: Cell expansion, cell cycling, and morphogenesis during continuous exposure of embryos to 2, 4-D. Am. J. Bot. 2004, 91, 1743–1756. [Google Scholar] [CrossRef]
- Evans, D.A.; Sharp, W.R.; Flick, E. Growth and behavior of cell cultures: Embryogenesis and organogenesis. Plant Tissue Culture: Methods and Application in Agriculture; Trevor, A.T., Ed.; Academic Press: New York, NY, USA, 1981; pp. 45–113. [Google Scholar]
- Lai, Z.X.; Chen, Z.G. Somatic embryogenesis of high frequency from longan embryogenic calli. J. Fujian Agric. Univ. 1997, 26, 271–276. [Google Scholar]
- Li, X.Y.; Huang, F.H.; Murphy, J.B. Polyethylene glycol and maltose enhance somatic embryo maturation in loblolly pine (Pinus taeda L.). Vitr. Cell. Dev. Biol. Plant 1998, 34, 22–26. [Google Scholar] [CrossRef]
- Zheng, W.J. Dendrography of China; China Forestry Press: Beijing, China, 1983; pp. 213–218. [Google Scholar]
- Nørgaard, J.V.; Duran, V.; Johnsen, Ø.; Krogstrup, P.; Baldursson, S.; Arnold, S.V. Variations in cryotolerance of embryogenic Picea abies cell lines and the association to genetic, morphological, and physiological factors. Can. J. For. Res. 1993, 23, 2560–2567. [Google Scholar] [CrossRef]
- Peng, C.; Gao, F.; Wang, H.; Shen, H.L.; Yang, L. Physiological and biochemical traits in Korean pine somatic embryogenesis. Forests 2020, 11, 577. [Google Scholar] [CrossRef]
- Klimaszewska, K.; Noceda, C.; Pelletier, G.; Rodriguez, R.; Lelu-Walter, M.A. Biological characterization of young and aged embryogenic cultures of Pinus pinaster (Ait.). Vitr. Cell. Dev. Biol. Plant 2009, 45, 20–33. [Google Scholar] [CrossRef]
- Nic-Can, G.I.; Galaz-Ávalos, R.M.; De-La-Peña, C.; Alcazar-Magana, A.; Wrobel, K.; Loyola-Vargas, V.M. Somatic embryogenesis: Identified factors that lead to embryogenic repression. A case of species of the same genus. PLoS ONE 2015, 10, e0126414. [Google Scholar] [CrossRef] [PubMed]
- Bartos, P.M.C.; Gomes, H.T.; Velho do Amaral, L.I.V.; Teixeira, J.B.; Scherwinski-Pereira, J.E. Biochemical events during somatic embryogenesis in Coffea arabica L. 3 Biotech 2018, 8, 1–10. [Google Scholar] [CrossRef] [PubMed]
- Lai, F.-M.; McKersie, B.D. Regulation of starch and protein accumulation in alfalfa (Medicago sativa L.) somatic embryos. Plant Sci. 1994, 100, 211–219. [Google Scholar]
- Amini, M.; Deljou, A.; Nabiabad, H.S. Improvement of in vitro embryo maturation, plantlet regeneration and transformation efficiency from alfalfa (Medicago sativa L.) somatic embryos using Cuscuta campestris extract. Physiol. Mol. Biol. Plants 2016, 22, 321–330. [Google Scholar] [CrossRef]
- Chen, W.; Davey, M.; Power, J.; Cocking, E.C. Control and maintenance of plant regeneration in sugarcane callus cultures. J. Exp. Bot. 1988, 39, 251–261. [Google Scholar] [CrossRef]
- Kamada, H.; Harada, H. Changes in the endogenous level and effects of abscisic acid during somatic embryogenesis of Daucus carota L. Plant Cell Physiol. 1981, 22, 1423–1429. [Google Scholar] [CrossRef]
- Kapik, R.H.; Dinus, R.J.; Dean, J.F.D. Abscisic acid and zygotic embryogenesis in Pinus taeda. Tree Physiol. 1995, 15, 485–490. [Google Scholar] [CrossRef]
- Shun, D.; Li, H.B.; Li, Q. Dynamic variation of endogenous hormone during somatic embryo develop-ment of schisandra incarnata. Plant Physiol. J. 2013, 49, 5. [Google Scholar]
- Chen, J.H.; Shi, J.S.; Zhu, G.Q.; Huang, M.R. Studies on the somatic embryogenesis of liriodenron hybrids(L.Chinense × L.Tulipifera). Sci. Silvae Sin. 2003, 39, 49–53. [Google Scholar]
- Verma, D.C.; Dougall, D.K. Influence of carbohydrates on quantitative aspects of growth and embryo formation in wild carrot suspension cultures. Plant Physiol. 1977, 59, 81–85. [Google Scholar] [CrossRef] [PubMed]
- Strickland, S.G.; Nichol, J.W.; Mccall, C.M.; Stuart, D.A. Effect of carbohydrate source on alfalfa somatic embryogenesis. Plant Sci. 1987, 48, 113–121. [Google Scholar] [CrossRef]
- Traore, A. Effects of Carbon Source and Explant Type on Somatic Embryogenesis of Four Cacao Genotypes. Hortscience A Publ. Am. Soc. Hortic. Sci. 2006, 41, 753–758. [Google Scholar] [CrossRef]
- Wu, G.Y.; Wei, X.L.; Wang, X.; Liang, X.; Wei, Y. Changes in biochemistry and histochemical characteristics during somatic embryogenesis in Ormosia henryi Prain. Plant Cell Tissue Organ. Cult. 2021, 144, 505–517. [Google Scholar] [CrossRef]
- Wang, X.; Shi, L.; Lin, G.; Xiao, P.; Chen, H.; Wu, X.; Takáč, T.; Šamaj, J.; Xu, C. A systematic comparison of embryogenic and non-embryogenic cells of banana (Musa spp. AAA): Ultrastructural, biochemical and cell wall component analyses. Sci. Hortic. 2013, 159, 178–185. [Google Scholar] [CrossRef]
- Martin, A.B.; Cuadrado, Y.; Guerra, H.; Gallego, P.; Hita, O.; Martin, L.; Dorado, A.; Villalobos, N. Differences in the contents of total sugars, reducing sugars, starch and sucrose in embryogenic and non-embryogenic calli from Medicago arborea L. Plant Sci. 2000, 154, 143–151. [Google Scholar] [CrossRef]
- Alscher, R.G.; Erturk, N. Heath, L.S. Role of superoxide dismutase (SODS) in controlling oxidative stress in plants. J. Exp. Bot. 2018, 53, 1331–1341. [Google Scholar] [CrossRef]
- Chen, S.Y. Injury of membrane lipid peroxidation to plant cell. Plant Physiol. Commun. 1991, 27, 84–90. [Google Scholar]
- Blazquez, S.; Olmos, E.; Hernández, J.A.; Fernández-García, N.; Fernández, J.A.; Piqueras, A. Somatic embryogenesis in saffron (Crocus sativus L.). Histological differentiation and implication of some components of the antioxidant enzymatic system. Plant Cell Tissue Organ. Cult. 2009, 97, 49–57. [Google Scholar] [CrossRef]






Publisher’s Note: MDPI stays neutral with regard to jurisdictional claims in published maps and institutional affiliations. |
© 2022 by the authors. Licensee MDPI, Basel, Switzerland. This article is an open access article distributed under the terms and conditions of the Creative Commons Attribution (CC BY) license (https://creativecommons.org/licenses/by/4.0/).
Share and Cite
Ren, Y.; Yu, X.; Xing, H.; Tretyakova, I.N.; Nosov, A.M.; Yang, L.; Shen, H. Interaction of Subculture Cycle, Hormone Ratio, and Carbon Source Regulates Embryonic Differentiation of Somatic Cells in Pinus koraiensis. Forests 2022, 13, 1557. https://doi.org/10.3390/f13101557
Ren Y, Yu X, Xing H, Tretyakova IN, Nosov AM, Yang L, Shen H. Interaction of Subculture Cycle, Hormone Ratio, and Carbon Source Regulates Embryonic Differentiation of Somatic Cells in Pinus koraiensis. Forests. 2022; 13(10):1557. https://doi.org/10.3390/f13101557
Chicago/Turabian StyleRen, Yuhui, Xiaoqian Yu, Honglin Xing, Iraida Nikolaevna Tretyakova, Alexander Mikhaylovich Nosov, Ling Yang, and Hailong Shen. 2022. "Interaction of Subculture Cycle, Hormone Ratio, and Carbon Source Regulates Embryonic Differentiation of Somatic Cells in Pinus koraiensis" Forests 13, no. 10: 1557. https://doi.org/10.3390/f13101557
APA StyleRen, Y., Yu, X., Xing, H., Tretyakova, I. N., Nosov, A. M., Yang, L., & Shen, H. (2022). Interaction of Subculture Cycle, Hormone Ratio, and Carbon Source Regulates Embryonic Differentiation of Somatic Cells in Pinus koraiensis. Forests, 13(10), 1557. https://doi.org/10.3390/f13101557

